Comprehensive Characterization of the Immune Microenvironment of Colorectal and Gastric Signet Ring Cell Cancer
Highlights
- The immune components of gastric and colorectal SRCCs are distinct from their corresponding non-SRCC counterparts.
- IL13RA2 was identified as a potential biomarker and therapeutic target candidate for colorectal SRCC.
- Gastric and colorectal SRCC tumors likely employ immune evasion mechanisms.
- Overall, our descriptive study highlights pathways (IL-13, complement) that may be targeted for drug development in SRCC.
Abstract
1. Introduction
2. Materials and Methods
2.1. Patients and Samples
2.2. Nucleic Acid Extraction and Purification
2.3. NanoString Assay for Gene Expression Analysis
2.4. Cell Type Profiling Methods for Nanostring nCounter Gene Expression Data
3. Results
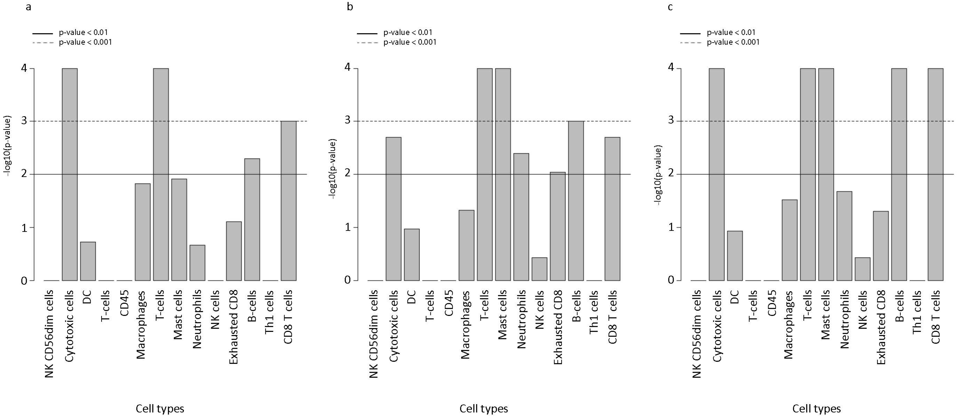
3.1. SRCC Immune Gene Expression Profile Is Distinct from Adenocarcinoma
3.2. Colorectal and Gastric SRCC Show Distinct Immune-Related Gene Expression Profiles
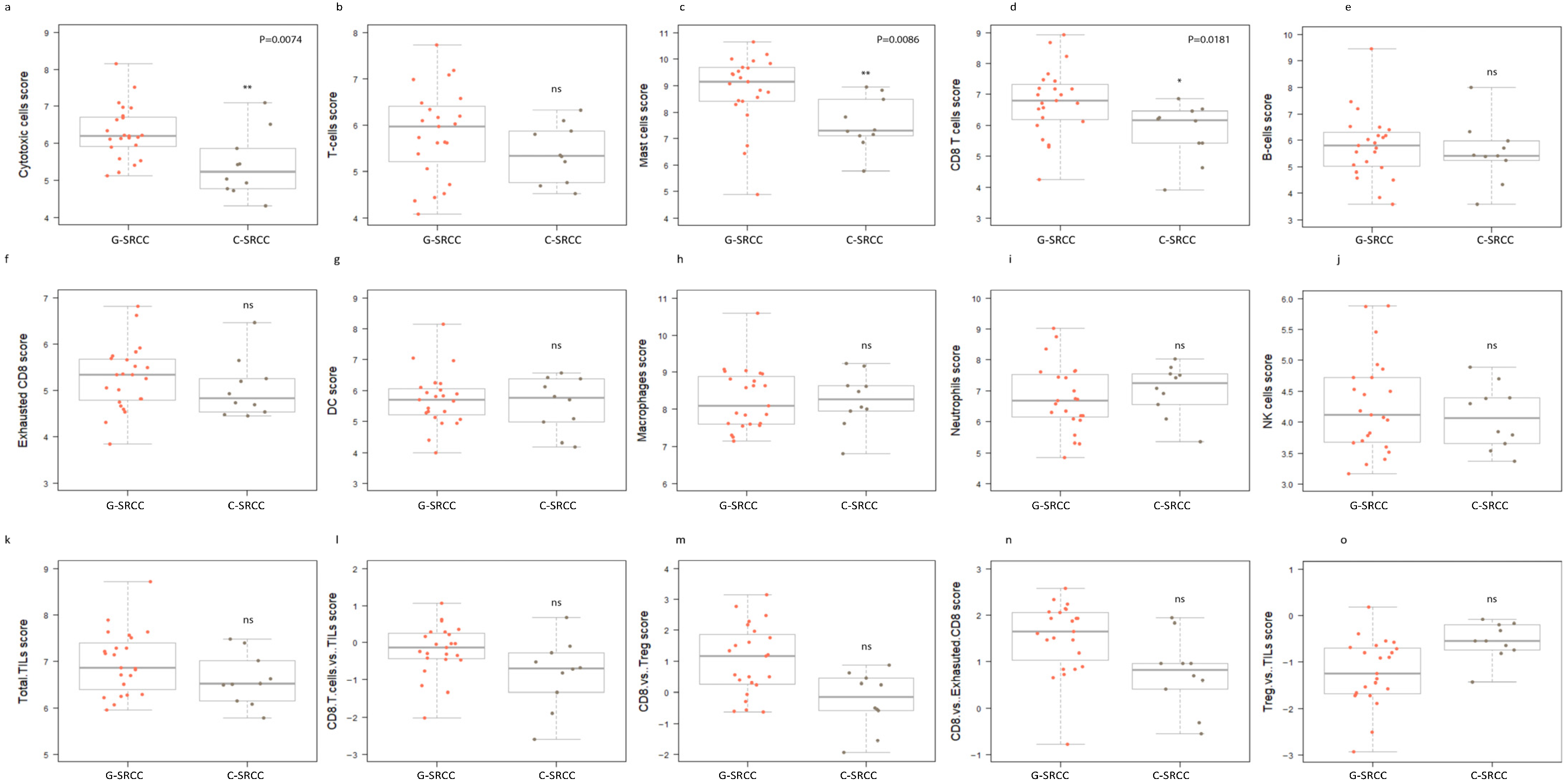
3.3. Cytotoxic T Cells Predominate in the Colorectal and Gastric SRCC Microenvironment
4. Discussion
5. Conclusions
Supplementary Materials
Author Contributions
Funding
Institutional Review Board Statement
Informed Consent Statement
Data Availability Statement
Conflicts of Interest
References
- Benesch, M.G.K.; Mathieson, A. Epidemiology of Signet Ring Cell Adenocarcinomas. Cancers 2020, 12, 1544. [Google Scholar] [CrossRef]
- Tamhankar, A.S.; Ingle, P.; Engineer, R.; Bal, M.; Ostwal, V.; Saklani, A. Signet ring colorectal carcinoma: Do we need to improve the treatment algorithm? World J. Gastrointest. Oncol. 2016, 8, 819–825. [Google Scholar] [CrossRef] [PubMed]
- Reboux, N.; Jooste, V.; Goungounga, J.; Robaszkiewicz, M.; Nousbaum, J.-B.; Bouvier, A.-M. Incidence and Survival in Synchronous and Metachronous Liver Metastases from Colorectal Cancer. JAMA Netw. Open 2022, 5, e2236666. [Google Scholar] [CrossRef] [PubMed]
- Bouvier, A.M.; Jooste, V.; Sanchez-Perez, M.J.; Bento, M.J.; Rocha Rodrigues, J.; Marcos-Gragera, R.; Carmona-Garcia, M.C.; Luque-Fernandez, M.A.; Minicozzi, P.; Bouvier, V.; et al. Differences in the management and survival of metastatic colorectal cancer in Europe. A population-based study. Dig. Liver Dis. 2021, 53, 639–645. [Google Scholar] [CrossRef]
- Yang, L.-L.; Wang, M.; He, P. Clinicopathological characteristics and survival in colorectal signet ring cell carcinoma: A population-based study. Sci. Rep. 2020, 10, 10460. [Google Scholar] [CrossRef]
- Lee, H.S.; Soh, J.S.; Lee, S.; Bae, J.H.; Kim, K.J.; Ye, B.D.; Byeon, J.S.; Myung, S.J.; Yang, S.K.; Kim, S.A.; et al. Clinical Features and Prognosis of Resectable Primary Colorectal Signet-Ring Cell Carcinoma. Intest. Res. 2015, 13, 332–338. [Google Scholar] [CrossRef]
- Inamura, K.; Yamauchi, M.; Nishihara, R.; Kim, S.A.; Mima, K.; Sukawa, Y.; Li, T.; Yasunari, M.; Zhang, X.; Wu, K.; et al. Prognostic significance and molecular features of signet-ring cell and mucinous components in colorectal carcinoma. Ann. Surg. Oncol. 2015, 22, 1226–1235. [Google Scholar] [CrossRef]
- Hugen, N.; Verhoeven, R.H.; Lemmens, V.E.; van Aart, C.J.; Elferink, M.A.; Radema, S.A.; Nagtegaal, I.D.; de Wilt, J.H. Colorectal signet-ring cell carcinoma: Benefit from adjuvant chemotherapy but a poor prognostic factor. Int. J. Cancer 2015, 136, 333–339. [Google Scholar] [CrossRef]
- Zhao, S.; Lv, L.; Zheng, K.; Tian, Y.; Zheng, J.C.; Jiang, C.G. Prognosis and Biological Behavior of Gastric Signet-Ring Cell Carcinoma Better or Worse: A Meta-Analysis. Front. Oncol. 2021, 11, 603070. [Google Scholar] [CrossRef]
- Ma, J.; Meng, Y.; Zhou, X.; Guo, L.; Fu, W. The Prognostic Significance and Gene Expression Characteristics of Gastric Signet-Ring Cell Carcinoma: A Study Based on the SEER and TCGA Databases. Front. Surg. 2022, 9, 819018. [Google Scholar] [CrossRef] [PubMed]
- Puccini, A.; Poorman, K.; Catalano, F.; Seeber, A.; Goldberg, R.M.; Salem, M.E.; Shields, A.F.; Berger, M.D.; Battaglin, F.; Tokunaga, R.; et al. Molecular profiling of signet-ring-cell carcinoma (SRCC) from the stomach and colon reveals potential new therapeutic targets. Oncogene 2022, 41, 3455–3460. [Google Scholar]
- Jin, S.; Xu, B.; Yu, L.; Fu, Y.; Wu, H.; Fan, X.; Wei, J.; Liu, B. The PD-1, PD-L1 expression and CD3+ T cell infiltration in relation to outcome in advanced gastric signet-ring cell carcinoma, representing a potential biomarker for immunotherapy. Oncotarget 2017, 8, 38850–38862. [Google Scholar]
- Nielsen, T.; Wallden, B.; Schaper, C.; Ferree, S.; Liu, S.; Gao, D.; Barry, G.; Dowidar, N.; Maysuria, M.; Storhoff, J. Analytical validation of the PAM50-based Prosigna Breast Cancer Prognostic Gene Signature Assay and nCounter Analysis System using formalin-fixed paraffin-embedded breast tumor specimens. BMC Cancer 2014, 14, 177. [Google Scholar]
- Geiss, G.K.; Bumgarner, R.E.; Birditt, B.; Dahl, T.; Dowidar, N.; Dunaway, D.L.; Fell, H.P.; Ferree, S.; George, R.D.; Grogan, T.; et al. Direct multiplexed measurement of gene expression with color-coded probe pairs. Nat. Biotechnol. 2008, 26, 317–325. [Google Scholar] [PubMed]
- Cesano, A. nCounter((R)) PanCancer Immune Profiling Panel (NanoString Technologiess, Inc., Seattle, WA). J. Immunother. Cancer 2015, 3, 42. [Google Scholar] [PubMed]
- Chen, Y.; Sun, Z.; Chen, W.; Liu, C.; Chai, R.; Ding, J.; Liu, W.; Feng, X.; Zhou, J.; Shen, X.; et al. The Immune Subtypes and Landscape of Gastric Cancer and to Predict Based on the Whole-Slide Images Using Deep Learning. Front. Immunol. 2021, 12, 685992. [Google Scholar] [CrossRef]
- Janjigian, Y.Y.; Shitara, K.; Moehler, M.; Garrido, M.; Salman, P.; Shen, L.; Wyrwicz, L.; Yamaguchi, K.; Skoczylas, T.; Campos Bragagnoli, A.; et al. First-line nivolumab plus chemotherapy versus chemotherapy alone for advanced gastric, gastro-oesophageal junction, and oesophageal adenocarcinoma (CheckMate 649): A randomised, open-label, phase 3 trial. Lancet 2021, 398, 27–40. [Google Scholar]
- Schoemig-Markiefka, B.; Eschbach, J.; Scheel, A.H.; Pamuk, A.; Rueschoff, J.; Zander, T.; Buettner, R.; Schroeder, W.; Bruns, C.J.; Loeser, H.; et al. Optimized PD-L1 scoring of gastric cancer. Gastric Cancer 2021, 24, 1115–1122. [Google Scholar] [CrossRef]
- Gutierrez, C.; Ogino, S.; Meyerhardt, J.A.; Iorgulescu, J.B. The Prevalence and Prognosis of Microsatellite Instability-High/Mismatch Repair-Deficient Colorectal Adenocarcinomas in the United States. JCO Precis. Oncol. 2023, 7, e2200179. [Google Scholar] [CrossRef] [PubMed]
- Bao, D.; Zhang, C.; Li, L.; Wang, H.; Li, Q.; Ni, L.; Lin, Y.; Huang, R.; Yang, Z.; Zhang, Y.; et al. Integrative Analysis of Complement System to Prognosis and Immune Infiltrating in Colon Cancer and Gastric Cancer. Front. Oncol. 2021, 10, 553297. [Google Scholar] [CrossRef]
- Guo, H.; Yan, Z.; Hu, Y.; Huang, X.; Pan, C. Complement C7 is Specifically Expressed in Mesangial Cells and is a Potential Diagnostic Biomarker for Diabetic Nephropathy and is Regulated by miR-494-3p and miR-574-5p. Diabetes Metab. Syndr. Obes. 2021, 14, 3077–3088. [Google Scholar] [PubMed]
- Markiewski, M.M.; Daugherity, E.; Reese, B.; Karbowniczek, M. The Role of Complement in Angiogenesis. Antibodies 2020, 9, 67. [Google Scholar] [CrossRef]
- Fan, Y.; Bai, B.; Liang, Y.; Ren, Y.; Liu, Y.; Zhou, F.; Lou, X.; Zi, J.; Hou, G.; Chen, F.; et al. Proteomic Profiling of Gastric Signet Ring Cell Carcinoma Tissues Reveals Characteristic Changes of the Complement Cascade Pathway. Mol. Cell. Proteom. 2021, 20, 100068. [Google Scholar] [CrossRef]
- Xie, Y.Q.; Li, C.C.; Yu, M.R.; Cao, J. Immunosuppressive tumor microenvironment in gastric signet-ring cell carcinoma. World J. Clin. Oncol. 2024, 15, 1126–1131. [Google Scholar] [CrossRef] [PubMed]
- Alvi, M.A.; Loughrey, M.B.; Dunne, P.; McQuaid, S.; Turkington, R.; Fuchs, M.A.; McGready, C.; Bingham, V.; Pang, B.; Moore, W.; et al. Molecular profiling of signet ring cell colorectal cancer provides a strong rationale for genomic targeted and immune checkpoint inhibitor therapies. Br. J. Cancer 2017, 117, 203–209. [Google Scholar] [CrossRef]
- Giannakis, M.; Mu, X.J.; Shukla, S.A.; Qian, Z.R.; Cohen, O.; Nishihara, R.; Bahl, S.; Cao, Y.; Amin-Mansour, A.; Yamauchi, M.; et al. Genomic Correlates of Immune-Cell Infiltrates in Colorectal Carcinoma. Cell Rep. 2016, 15, 857–865. [Google Scholar] [CrossRef]
- Ogino, S.; Nosho, K.; Irahara, N.; Meyerhardt, J.A.; Baba, Y.; Shima, K.; Glickman, J.N.; Ferrone, C.R.; Mino-Kenudson, M.; Tanaka, N.; et al. Lymphocytic reaction to colorectal cancer is associated with longer survival, independent of lymph node count, microsatellite instability, and CpG island methylator phenotype. Clin. Cancer Res. 2009, 15, 6412–6420. [Google Scholar] [CrossRef]
- An, Y.; Su, L.; Lin, G.; Chen, H.; Liu, Y.; Zhou, J. The tumor immune microenvironment features and their prognostic value in rectal and sigmoid colon signet-ring cell carcinoma. J. Clin. Oncol. 2024, 42, 3544. [Google Scholar] [CrossRef]
- Chen, J.; Liu, K.; Luo, Y.; Kang, M.; Wang, J.; Chen, G.; Qi, J.; Wu, W.; Wang, B.; Han, Y.; et al. Single-Cell Profiling of Tumor Immune Microenvironment Reveals Immune Irresponsiveness in Gastric Signet-Ring Cell Carcinoma. Gastroenterology 2023, 165, 88–103. [Google Scholar] [CrossRef]
- Zhao, W.; Jia, Y.; Sun, G.; Yang, H.; Liu, L.; Qu, X.; Ding, J.; Yu, H.; Xu, B.; Zhao, S.; et al. Single-cell analysis of gastric signet ring cell carcinoma reveals cytological and immune microenvironment features. Nat. Commun. 2023, 14, 2985. [Google Scholar] [CrossRef] [PubMed]
- Lawal, B.; Tseng, S.H.; Olugbodi, J.O.; Iamsaard, S.; Ilesanmi, O.B.; Mahmoud, M.H.; Ahmed, S.H.; Batiha, G.E.; Wu, A.T.H. Pan-Cancer Analysis of Immune Complement Signature C3/C5/C3AR1/C5AR1 in Association with Tumor Immune Evasion and Therapy Resistance. Cancers 2021, 13, 4124. [Google Scholar] [CrossRef] [PubMed]
- Rutkowski, M.J.; Sughrue, M.E.; Kane, A.J.; Mills, S.A.; Parsa, A.T. Cancer and the complement cascade. Mol. Cancer Res. 2010, 8, 1453–1465. [Google Scholar] [CrossRef]
- Talaat, I.M.; Elemam, N.M.; Saber-Ayad, M. Complement System: An Immunotherapy Target in Colorectal Cancer. Front. Immunol. 2022, 13, 810993. [Google Scholar] [CrossRef]
- Barderas, R.; Bartolome, R.A.; Fernandez-Acenero, M.J.; Torres, S.; Casal, J.I. High expression of IL-13 receptor alpha2 in colorectal cancer is associated with invasion, liver metastasis, and poor prognosis. Cancer Res. 2012, 72, 2780–2790. [Google Scholar] [CrossRef]
- He, B.; Liang, J.; Qin, Q.; Zhang, Y.; Shi, S.; Cao, J.; Zhang, Z.; Bie, Q.; Zhao, R.; Wei, L.; et al. IL-13/IL-13RA2 signaling promotes colorectal cancer stem cell tumorigenesis by inducing ubiquitinated degradation of p53. Genes Dis. 2024, 11, 495–508. [Google Scholar] [CrossRef] [PubMed]
- Bartolome, R.A.; Jaen, M.; Casal, J.I. An IL13Ralpha2 peptide exhibits therapeutic activity against metastatic colorectal cancer. Br. J. Cancer 2018, 119, 940–949. [Google Scholar] [CrossRef] [PubMed]




| Clinical Characteristics | CR-SRCC (n = 10) | G-SRCC (n = 24) | |
|---|---|---|---|
| Gender | Male | 5 (50%) | 13 (54%) |
| Female | 5 (50%) | 11 (46%) | |
| Age | Mean (years) | 64.2 | 66.3 |
| Range (years) | 39–83 | 46–86 | |
| Tumor Location | Proximal | 5 (50%) | 7 (29%) |
| Distal | 5 (50%) | 14 (71%) | |
| Tumor Differentiation | Well | - | - |
| Moderate | - | 1 (4%) | |
| Poor | 9 (90%) | 22 (92%) | |
| Not Reported | 1 (10%) | 1 (4%) | |
| Mismatch Repair (MMR) Protein Status | MMR-Deficient | 1 (10%) | - |
| MMR-Proficient | 4 (40%) | - | |
| Unknown | 5 (50%) | 24 (100%) | |
| Stage—Tumor (T) | 4 | 5 (50%) | 9 (38%) |
| 3 | 5 (50%) | 7 (29%) | |
| 2 | - | 5 (21%) | |
| 1 | - | 3 (13%) | |
| Stage—Node (N) | 3 | 7 (70%) | 2 (8%) |
| 2 | 3 (10%) | 9 (38%) | |
| 1 | - | 9 (38%) | |
| Stage—Metastasis (M) | 1 | 2 (20%) | 1 (4%) |
| Gene Symbol | log2-Fold Change | Linear Fold Change | p-Value | p-adj |
|---|---|---|---|---|
| Overexpressed | ||||
| CXCL6 | 4.23 | 18.77 | 0.000484 | 0.004431 |
| C7 | 4.18 | 18.09 | 0.000105 | 0.001398 |
| CCL11 | 4.07 | 16.85 | 0.000005 | 0.000134 |
| IL13RA2 | 3.87 | 14.57 | 0.000317 | 0.003164 |
| BID | 3.68 | 12.80 | 0.000003 | 0.000095 |
| C3 | 3.41 | 10.65 | 0.000026 | 0.000496 |
| CCL14 | 3.39 | 10.46 | 0.000002 | 0.000068 |
| SELE | 3.37 | 10.31 | 0.002438 | 0.015140 |
| FCER1A | 3.31 | 9.90 | 0.000651 | 0.005375 |
| CMA1 | 3.28 | 9.70 | 0.010342 | 0.044597 |
| Underexpressed | ||||
| CD70 | −3.08 | −8.43 | 0.001809 | 0.012369 |
| MME | −3.01 | −8.04 | 0.009847 | 0.043288 |
| CCL20 | −2.53 | −5.78 | 0.006342 | 0.032281 |
| IFNA7 | −2.32 | −5.00 | 0.002771 | 0.016601 |
| HLA-DRB3 | −2.16 | −4.46 | 0.000143 | 0.001732 |
| CXCL11 | −2.15 | −4.43 | 0.006180 | 0.031830 |
| IL26 | −1.81 | −3.51 | 0.003810 | 0.022233 |
| TNFRSF12A | −1.81 | −3.50 | 0.000548 | 0.004723 |
| ELANE | −1.81 | −3.50 | 0.011381 | 0.047855 |
| CT45A1 | −1.76 | −3.40 | 0.008076 | 0.037967 |
| Gene Symbol | log2-Fold Change | Linear Fold Change | p-Value | p-adj |
|---|---|---|---|---|
| Overexpressed | ||||
| SERPINB2 | 3.37 | 10.33 | 0.012025 | 0.258465 |
| CD207 | 3.15 | 8.85 | 0.003043 | 0.223443 |
| FN1 | 3.10 | 8.60 | 0.003961 | 0.223443 |
| C6 | 3.09 | 8.53 | 0.005833 | 0.240869 |
| LTF | 2.92 | 7.59 | 0.006847 | 0.257518 |
| PRAME | 2.71 | 6.56 | 0.038177 | 0.349486 |
| PTGDR2 | 2.71 | 6.53 | 0.012507 | 0.258465 |
| FCER2 | 2.63 | 6.19 | 0.045733 | 0.373031 |
| SPP1 | 2.59 | 6.00 | 0.038717 | 0.349486 |
| CCL11 | 2.57 | 5.95 | 0.004668 | 0.225900 |
| Underexpressed | ||||
| MME | −2.89 | −7.43 | 0.014220 | 0.258465 |
| CCL27 | −2.69 | −6.43 | 0.000197 | 0.044501 |
| NOS2A | −2.65 | −6.27 | 0.012858 | 0.258465 |
| KIR_INHIBITING_SUBGROUP_2 | −2.39 | −5.23 | 0.006048 | 0.240869 |
| CD70 | −2.23 | −4.70 | 0.029734 | 0.304996 |
| IFNA7 | −2.09 | −4.25 | 0.003237 | 0.223443 |
| NCR1 | −2.06 | −4.16 | 0.012254 | 0.258465 |
| IFNG | −2.05 | −4.13 | 0.020150 | 0.271510 |
| LAIR2 | −1.81 | −3.51 | 0.000053 | 0.035803 |
| GAGE1 | −1.81 | −3.51 | 0.008518 | 0.258465 |
| Gene Symbol | log2 Fold Change | Linear Fold Change | p-Value | p-adj |
|---|---|---|---|---|
| Overexpressed | ||||
| CCL24 | 3.25 | 9.51 | 0.000040 | 0.005406 |
| MASP1 | 2.25 | 4.76 | 0.000090 | 0.010188 |
| TNFRSF11B | 2.15 | 4.43 | 0.000301 | 0.016978 |
| IL13RA2 | 1.88 | 3.69 | 0.001201 | 0.046690 |
| IL22RA1 | 1.62 | 3.07 | 0.000189 | 0.011639 |
| CD9 | 0.66 | 1.58 | 0.000594 | 0.025137 |
| C4BPA | 1.41 | 2.66 | 0.041827 | 0.247267 |
| CEACAM6 | 1.28 | 2.43 | 0.032559 | 0.229828 |
| TNFSF4 | 1.24 | 2.36 | 0.004432 | 0.081094 |
| NEFL | 1.21 | 2.31 | 0.006537 | 0.108424 |
| Underexpressed | ||||
| LTF | −3.88 | −14.77 | 0.000000 | 0.000277 |
| IL1RN | −2.83 | −7.10 | 0.000006 | 0.001420 |
| C6 | −2.77 | −6.84 | 0.000108 | 0.010419 |
| DPP4 | −1.90 | −3.72 | 0.000159 | 0.011509 |
| IRAK2 | −1.54 | −2.91 | 0.000003 | 0.001154 |
| ITGB4 | −1.30 | −2.47 | 0.000031 | 0.005236 |
| F2RL1 | −1.14 | −2.21 | 0.000464 | 0.020946 |
| CTSH | −1.07 | −2.09 | 0.000170 | 0.011509 |
| TCF7 | −1.05 | −2.07 | 0.001241 | 0.046690 |
| SMAD3 | −0.87 | −1.83 | 0.000424 | 0.020495 |
| TNFSF13 | −0.86 | −1.81 | 0.000347 | 0.018054 |
| CD59 | −0.70 | −1.63 | 0.000155 | 0.011509 |
Disclaimer/Publisher’s Note: The statements, opinions and data contained in all publications are solely those of the individual author(s) and contributor(s) and not of MDPI and/or the editor(s). MDPI and/or the editor(s) disclaim responsibility for any injury to people or property resulting from any ideas, methods, instructions or products referred to in the content. |
© 2025 by the authors. Licensee MDPI, Basel, Switzerland. This article is an open access article distributed under the terms and conditions of the Creative Commons Attribution (CC BY) license.
Share and Cite
Zhang, J.; Collingwood, R.; Al Diffalha, S.; Manna, D.D.; Paluri, R.K.; Mejbel, H.A.; Gbolahan, O. Comprehensive Characterization of the Immune Microenvironment of Colorectal and Gastric Signet Ring Cell Cancer. Cells 2026, 15, 30. https://doi.org/10.3390/cells15010030
Zhang J, Collingwood R, Al Diffalha S, Manna DD, Paluri RK, Mejbel HA, Gbolahan O. Comprehensive Characterization of the Immune Microenvironment of Colorectal and Gastric Signet Ring Cell Cancer. Cells. 2026; 15(1):30. https://doi.org/10.3390/cells15010030
Chicago/Turabian StyleZhang, Jianqing, Robin Collingwood, Sameer Al Diffalha, Deborah Della Manna, Ravi Kumar Paluri, Haider A. Mejbel, and Olumide Gbolahan. 2026. "Comprehensive Characterization of the Immune Microenvironment of Colorectal and Gastric Signet Ring Cell Cancer" Cells 15, no. 1: 30. https://doi.org/10.3390/cells15010030
APA StyleZhang, J., Collingwood, R., Al Diffalha, S., Manna, D. D., Paluri, R. K., Mejbel, H. A., & Gbolahan, O. (2026). Comprehensive Characterization of the Immune Microenvironment of Colorectal and Gastric Signet Ring Cell Cancer. Cells, 15(1), 30. https://doi.org/10.3390/cells15010030

