Comparative Assessment of the Anti-Helicobacter pylori Activity and Gastroprotective Effects of Three Herbal Formulas for Functional Dyspepsia In Vitro
Abstract
1. Introduction
2. Materials and Methods
2.1. Extraction and Preparation of Herbal Formulas
2.2. Determination of Total Phenolic and Flavonoid Content
2.3. Determination of Antioxidative Capacity
2.4. H. pylori Strain and AGS Cell Culture
2.5. Assessment of Urease Activity in H. pylori Using Ammonia Assay
2.6. Antibacterial Activity Assessment
2.7. Cell Viability Assessment
2.8. Establishment of H. pylori-Infected AGS Cell Model and Morphological Evaluation
2.9. Real-Time PCR Analysis of Inflammation-Associated and Tight Junction Genes
2.10. Statistical Analysis
3. Results
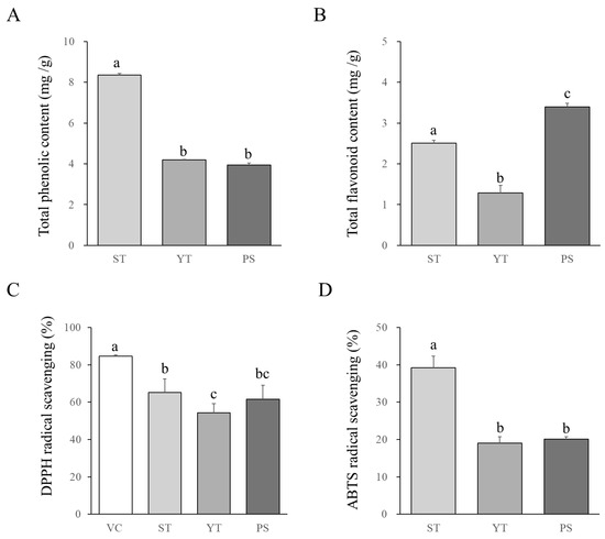
3.1. ST Contained a Higher Amount of Total Phenolic Compounds Compared to PS, While PS Exhibited a Higher Concentration of Total Flavonoids
3.2. ST Demonstrated Superior Antioxidative Effects Compared to YT and PS
3.3. ST Inhibited H. pylori Urase More Effectively Compared to YT and PS
3.4. ST Exerted Higher Anti-H. pylori Activity than YT and PS
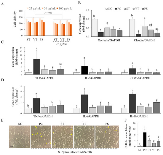
3.5. Three Herbal Formulas Exhibited Potential Anti-Inflammatory Effects in the H. pylori-Infected AGS Cell Model
3.6. ST and YT Potentially Elevated the Tight Junction Proteins in the H. pylori-Infected AGS Cell Model Rather than PS
3.7. YT Exhibited Greater Morphological Improvement in Vacuolation Compared to ST and PS in the H. pylori-Infected AGS Cell Model
4. Discussion
5. Conclusions
Supplementary Materials
Author Contributions
Funding
Institutional Review Board Statement
Informed Consent Statement
Data Availability Statement
Conflicts of Interest
References
- Brun, R.; Kuo, B. Functional dyspepsia. Ther. Adv. Gastroenterol. 2010, 3, 145–164. [Google Scholar] [CrossRef] [PubMed]
- Mahadeva, S.; Goh, K.L. Epidemiology of functional dyspepsia: A global perspective. World J. Gastroenterol. 2006, 12, 2661–2666. [Google Scholar] [CrossRef] [PubMed]
- Kim, S.E.; Kim, N.; Lee, J.Y.; Park, K.S.; Shin, J.E.; Nam, K.; Kim, H.J.; Song, H.J.; Joo, Y.-E.; Myung, D.-S.; et al. Prevalence and Risk Factors of Functional Dyspepsia in Health Check-up Population: A Nationwide Multicenter Prospective Study. J. Neurogastroenterol. Motil. 2018, 24, 603–613. [Google Scholar] [CrossRef] [PubMed]
- Yamawaki, H.; Futagami, S.; Wakabayashi, M.; Sakasegawa, N.; Agawa, S.; Higuchi, K.; Kodaka, Y.; Iwakiri, K. Management of functional dyspepsia: State of the art and emerging therapies. Ther. Adv. Chronic Dis. 2018, 9, 23–32. [Google Scholar] [CrossRef] [PubMed]
- Lacy, B.E.; Chase, R.C.; Cangemi, D.J. The treatment of functional dyspepsia: Present and future. Expert. Rev. Gastroenterol. Hepatol. 2023, 17, 9–20. [Google Scholar] [CrossRef] [PubMed]
- Lacy, B.E.; Talley, N.J.; Locke, G.R., 3rd; Bouras, E.P.; DiBaise, J.K.; El-Serag, H.B.; Abraham, B.P.; Howden, C.W.; Moayyedi, P.; Prather, C. Review article: Current treatment options and management of functional dyspepsia. Aliment. Pharmacol. Ther. 2012, 36, 3–15. [Google Scholar] [CrossRef] [PubMed]
- Kusters, J.G.; van Vliet, A.H.; Kuipers, E.J. Pathogenesis of Helicobacter pylori infection. Clin. Microbiol. Rev. 2006, 19, 449–490. [Google Scholar] [CrossRef] [PubMed]
- Salih, B.A. Helicobacter pylori infection in developing countries: The burden for how long? Saudi J. Gastroenterol. Off. J. Saudi Gastroenterol. Assoc. 2009, 15, 201–207. [Google Scholar] [CrossRef] [PubMed]
- Adadi, S.; Bennani, B.; Elabkari, M.; Ibrahimi, A.; Boukhris, S.; El Khadir, M.; Harmouch, T.; Mahmoud, M.; Nejjari, C.; Benajah, D. Prevalence of Helicobacter pylori and the Interest of Its Eradication during the Functional Dyspepsia. J. Biosci. Med. 2018, 6, 43–51. [Google Scholar] [CrossRef][Green Version]
- Tanaka, I.; Ono, S.; Shimoda, Y.; Inoue, M.; Kinowaki, S.; Tsuda, M.; Ono, M.; Yamamoto, K.; Shimizu, Y.; Kato, M.; et al. Eradication of Helicobacter pylori may improve dyspepsia in the elderly for the long term. BMC Gastroenterol. 2021, 21, 445. [Google Scholar] [CrossRef]
- Engelsberger, V.; Gerhard, M.; Mejías-Luque, R. Effects of Helicobacter pylori infection on intestinal microbiota, immunity and colorectal cancer risk. Front. Cell. Infect. Microbiol. 2024, 14, 1339750. [Google Scholar] [CrossRef] [PubMed]
- Hafeez, M.; Qureshi, Z.A.; Khattak, A.L.; Saeed, F.; Asghar, A.; Azam, K.; Khan, M.A. Helicobacter pylori Eradication Therapy: Still a Challenge. Cureus 2021, 13, e14872. [Google Scholar] [CrossRef] [PubMed]
- Tian, T.; Wang, Z.; Zhang, J. Pathomechanisms of Oxidative Stress in Inflammatory Bowel Disease and Potential Antioxidant Therapies. Oxidative Med. Cell. Longev. 2017, 2017, 4535194. [Google Scholar] [CrossRef] [PubMed]
- Ding, S.Z.; Minohara, Y.; Fan, X.J.; Wang, J.; Reyes, V.E.; Patel, J.; Dirden-Kramer, B.; Boldogh, I.; Ernst, P.B.; Crowe, S.E. Helicobacter pylori infection induces oxidative stress and programmed cell death in human gastric epithelial cells. Infect. Immun. 2007, 75, 4030–4039. [Google Scholar] [CrossRef] [PubMed]
- Bassotti, G.; Antonelli, E.; Villanacci, V.; Salemme, M.; Coppola, M.; Annese, V. Gastrointestinal motility disorders in inflammatory bowel diseases. World J. Gastroenterol. 2014, 20, 37–44. [Google Scholar] [CrossRef] [PubMed]
- Lee, B.; Ha, N.-Y.; Park, H.-J.; Kim, A.-R.; Kwon, O.J.; Cho, J.-H.; Shin, S.M.; Kim, J.; Yang, C. Herbal Medicine Yukgunja-Tang for Functional Dyspepsia: A Protocol for a Randomized, Controlled, Multicenter Clinical Trial. Healthcare 2023, 11, 1456. [Google Scholar] [CrossRef] [PubMed]
- Hwang, S.J.; Wang, J.H.; Lee, J.S.; Lee, H.D.; Choi, T.J.; Choi, S.H.; Son, C.G. Yeokwisan, a Standardized Herbal Formula, Enhances Gastric Emptying via Modulation of the Ghrelin Pathway in a Loperamide-induced Functional Dyspepsia Mouse Model. Front. Pharmacol. 2021, 12, 753153. [Google Scholar] [CrossRef] [PubMed]
- Kim, Y.S.; Kim, J.-W.; Ha, N.-Y.; Kim, J.; Ryu, H.S. Herbal Therapies in Functional Gastrointestinal Disorders: A Narrative Review and Clinical Implication. Front. Psychiatry 2020, 11, 601. [Google Scholar] [CrossRef] [PubMed]
- Singleton, V.L.; Rossi, J.A., Jr. Colorimetry of Total Phenolics with Phosphomolybdic-Phosphotungstic Acid Reagents. Am. J. Enol. Vitic. 1965, 16, 144. [Google Scholar] [CrossRef]
- Wang, J.H.; Bose, S.; Lim, S.K.; Ansari, A.; Chin, Y.W.; Choi, H.S.; Kim, H. Houttuynia cordata Facilitates Metformin on Ameliorating Insulin Resistance Associated with Gut Microbiota Alteration in OLETF Rats. Genes 2017, 8, 239. [Google Scholar] [CrossRef]
- Woo, H.J.; Yang, J.Y.; Lee, P.; Kim, J.B.; Kim, S.H. Zerumbone Inhibits Helicobacter pylori Urease Activity. Molecules 2021, 26, 2663. [Google Scholar] [CrossRef] [PubMed]
- Lai, C.H.; Fang, S.H.; Rao, Y.K.; Geethangili, M.; Tang, C.H.; Lin, Y.J.; Hung, C.H.; Wang, W.C.; Tzeng, Y.M. Inhibition of Helicobacter pylori-induced inflammation in human gastric epithelial AGS cells by Phyllanthus urinaria extracts. J. Ethnopharmacol. 2008, 118, 522–526. [Google Scholar] [CrossRef] [PubMed]
- Li, W.; Fan, M.; Chen, Y.; Zhao, Q.; Song, C.; Yan, Y.; Jin, Y.; Huang, Z.; Lin, C.; Wu, J. Melatonin Induces Cell Apoptosis in AGS Cells Through the Activation of JNK and P38 MAPK and the Suppression of Nuclear Factor-Kappa B: A Novel Therapeutic Implication for Gastric Cancer. Cell. Physiol. Biochem. Int. J. Exp. Cell. Physiol. Biochem. Pharmacol. 2015, 37, 2323–2338. [Google Scholar] [CrossRef] [PubMed]
- Chaudhary, P.; Janmeda, P.; Docea, A.O.; Yeskaliyeva, B.; Abdull Razis, A.F.; Modu, B.; Calina, D.; Sharifi-Rad, J. Oxidative stress, free radicals and antioxidants: Potential crosstalk in the pathophysiology of human diseases. Front. Chem. 2023, 11, 1158198. [Google Scholar] [CrossRef] [PubMed]
- Suzuki, H.; Nishizawa, T.; Tsugawa, H.; Mogami, S.; Hibi, T. Roles of oxidative stress in stomach disorders. J. Clin. Biochem. Nutr. 2012, 50, 35–39. [Google Scholar] [CrossRef] [PubMed]
- Vona, R.; Pallotta, L.; Cappelletti, M.; Severi, C.; Matarrese, P. The Impact of Oxidative Stress in Human Pathology: Focus on Gastrointestinal Disorders. Antioxidants 2021, 10, 201. [Google Scholar] [CrossRef] [PubMed]
- Thai, T.D.; Chuenchom, C.; Donsa, W.; Faksri, K.; Sripa, B.; Edwards, S.W.; Salao, K. Helicobacter pylori extract induces purified neutrophils to produce reactive oxygen species only in the presence of plasma. Biomed. Rep. 2023, 19, 89. [Google Scholar] [CrossRef] [PubMed]
- Jarmakiewicz-Czaja, S.; Ferenc, K.; Filip, R. Antioxidants as Protection against Reactive Oxidative Stress in Inflammatory Bowel Disease. Metabolites 2023, 13, 573. [Google Scholar] [CrossRef]
- Mutha, R.E.; Tatiya, A.U.; Surana, S.J. Flavonoids as natural phenolic compounds and their role in therapeutics: An overview. Future J. Pharm. Sci. 2021, 7, 25. [Google Scholar] [CrossRef]
- Baj, J.; Forma, A.; Sitarz, M.; Portincasa, P.; Garruti, G.; Krasowska, D.; Maciejewski, R. Helicobacter pylori Virulence Factors—Mechanisms of Bacterial Pathogenicity in the Gastric Microenvironment. Cells 2020, 10, 27. [Google Scholar] [CrossRef]
- Krishnamurthy, P.; Parlow, M.; Zitzer, J.B.; Vakil, N.B.; Mobley, H.L.; Levy, M.; Phadnis, S.H.; Dunn, B.E. Helicobacter pylori containing only cytoplasmic urease is susceptible to acid. Infect. Immun. 1998, 66, 5060–5066. [Google Scholar] [CrossRef] [PubMed]
- Baker, D.A. Plants against Helicobacter pylori to combat resistance: An ethnopharmacological review. Biotechnol. Rep. 2020, 26, e00470. [Google Scholar] [CrossRef] [PubMed]
- Safavi, M.; Shams-Ardakani, M.; Foroumadi, A. Medicinal plants in the treatment of Helicobacter pylori infections. Pharm. Biol. 2015, 53, 939–960. [Google Scholar] [CrossRef] [PubMed]
- Schneider, S.; Carra, G.; Sahin, U.; Hoy, B.; Rieder, G.; Wessler, S. Complex cellular responses of Helicobacter pylori-colonized gastric adenocarcinoma cells. Infect. Immun. 2011, 79, 2362–2371. [Google Scholar] [CrossRef]
- Petersen, A.M.; Blom, J.; Andersen, L.P.; Krogfelt, K.A. Role of strain type, AGS cells and fetal calf serum in Helicobacter pylori adhesion and invasion assays. FEMS Immunol. Med. Microbiol. 2000, 29, 59–67. [Google Scholar] [CrossRef] [PubMed]
- Tegtmeyer, N.; Ghete, T.D.; Schmitt, V.; Remmerbach, T.; Cortes, M.C.C.; Bondoc, E.M.; Graf, H.-L.; Singer, B.B.; Hirsch, C.; Backert, S. Type IV secretion of Helicobacter pylori CagA into oral epithelial cells is prevented by the absence of CEACAM receptor expression. Gut Pathog. 2020, 12, 25. [Google Scholar] [CrossRef]
- Huang, Y.; Wang, Q.L.; Cheng, D.D.; Xu, W.T.; Lu, N.H. Adhesion and Invasion of Gastric Mucosa Epithelial Cells by Helicobacter pylori. Front. Cell. Infect. Microbiol. 2016, 6, 159. [Google Scholar] [CrossRef] [PubMed]
- Leker, K.; Lozano-Pope, I.; Bandyopadhyay, K.; Choudhury, B.P.; Obonyo, M. Comparison of lipopolysaccharides composition of two different strains of Helicobacter pylori. BMC Microbiol. 2017, 17, 226. [Google Scholar] [CrossRef]
- Ito, N.; Tsujimoto, H.; Ueno, H.; Xie, Q.; Shinomiya, N. Helicobacter pylori-Mediated Immunity and Signaling Transduction in Gastric Cancer. J. Clin. Med. 2020, 9, 3699. [Google Scholar] [CrossRef]
- Yu, Y.; Zhu, S.; Li, P.; Min, L.; Zhang, S. Helicobacter pylori infection and inflammatory bowel disease: A crosstalk between upper and lower digestive tract. Cell Death Dis. 2018, 9, 961. [Google Scholar] [CrossRef]
- Foegeding, N.J.; Caston, R.R.; McClain, M.S.; Ohi, M.D.; Cover, T.L. An Overview of Helicobacter pylori VacA Toxin Biology. Toxins 2016, 8, 173. [Google Scholar] [CrossRef] [PubMed]
- McClain, M.S.; Beckett, A.C.; Cover, T.L. Helicobacter pylori Vacuolating Toxin and Gastric Cancer. Toxins 2017, 9, 316. [Google Scholar] [CrossRef] [PubMed]
- Akeel, M.; Shehata, A.; Elhafey, A.; Elmakki, E.; Aboshouk, T.; Ageely, H.; Mahfouz, M. Helicobacter pylori vacA, cagA and iceA genotypes in dyspeptic patients from southwestern region, Saudi Arabia: Distribution and association with clinical outcomes and histopathological changes. BMC Gastroenterol. 2019, 19, 16. [Google Scholar] [CrossRef] [PubMed]





Disclaimer/Publisher’s Note: The statements, opinions and data contained in all publications are solely those of the individual author(s) and contributor(s) and not of MDPI and/or the editor(s). MDPI and/or the editor(s) disclaim responsibility for any injury to people or property resulting from any ideas, methods, instructions or products referred to in the content. |
© 2024 by the authors. Licensee MDPI, Basel, Switzerland. This article is an open access article distributed under the terms and conditions of the Creative Commons Attribution (CC BY) license (https://creativecommons.org/licenses/by/4.0/).
Share and Cite
Wang, J.-H.; Han, S.-Y.; Kim, J.; Lim, S.; Jeong, C.; Wu, L.; Kim, H. Comparative Assessment of the Anti-Helicobacter pylori Activity and Gastroprotective Effects of Three Herbal Formulas for Functional Dyspepsia In Vitro. Cells 2024, 13, 901. https://doi.org/10.3390/cells13110901
Wang J-H, Han S-Y, Kim J, Lim S, Jeong C, Wu L, Kim H. Comparative Assessment of the Anti-Helicobacter pylori Activity and Gastroprotective Effects of Three Herbal Formulas for Functional Dyspepsia In Vitro. Cells. 2024; 13(11):901. https://doi.org/10.3390/cells13110901
Chicago/Turabian StyleWang, Jing-Hua, Song-Yi Han, Jisuk Kim, Sookyoung Lim, Chaehee Jeong, Liangliang Wu, and Hojun Kim. 2024. "Comparative Assessment of the Anti-Helicobacter pylori Activity and Gastroprotective Effects of Three Herbal Formulas for Functional Dyspepsia In Vitro" Cells 13, no. 11: 901. https://doi.org/10.3390/cells13110901
APA StyleWang, J.-H., Han, S.-Y., Kim, J., Lim, S., Jeong, C., Wu, L., & Kim, H. (2024). Comparative Assessment of the Anti-Helicobacter pylori Activity and Gastroprotective Effects of Three Herbal Formulas for Functional Dyspepsia In Vitro. Cells, 13(11), 901. https://doi.org/10.3390/cells13110901

