Distillery Anaerobic Digestion Residues as Fertilizers for Field Vegetable Crops: Performance and Efficiency in Mid-term Successions
Abstract
1. Introduction
2. Materials and Methods
2.1. Experimental Structure
2.2. Experimental Design
2.3. Crop Sampling
2.4. Nitrogen Use Efficiency
2.5. Statistical Analysis
3. Results
3.1. Distillery Anaerobic Digestion Residues
3.2. Production–Succession 1
3.3. Production–Succession 2
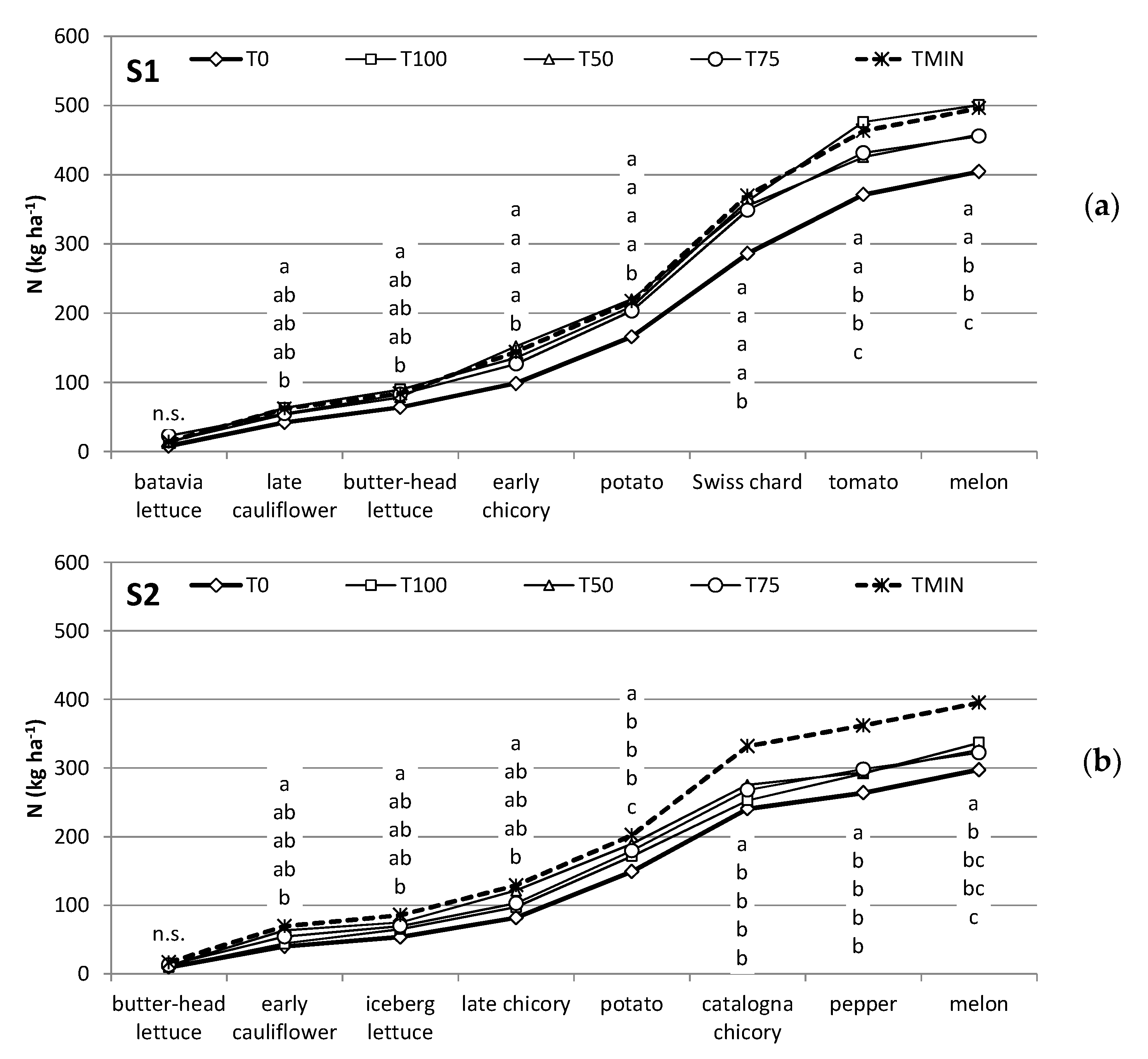
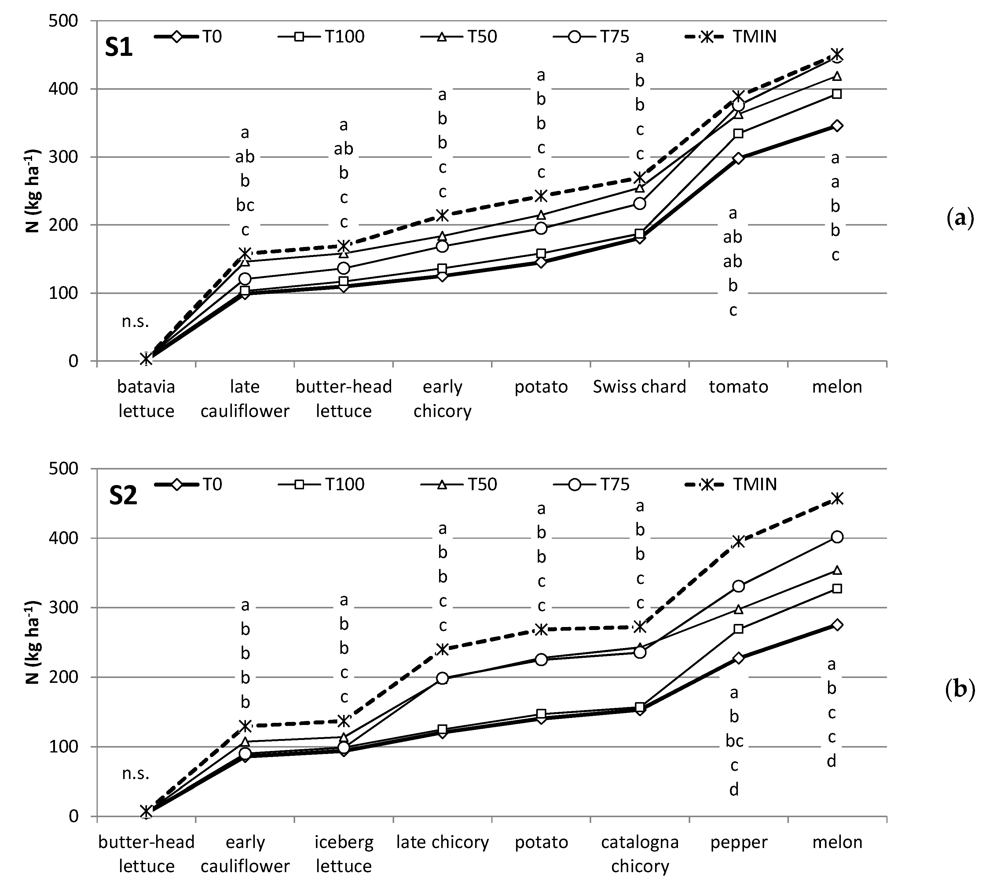
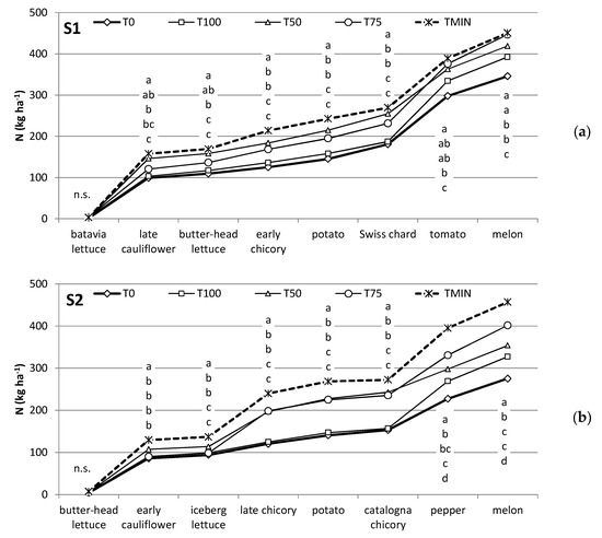
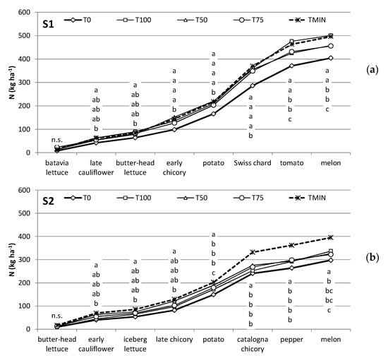
3.4. Nitrogen Crops Uptake
3.5. N Harvest Index (NHI)
3.6. Nitrogen Use Efficiency
4. Discussion
5. Conclusions
Author Contributions
Funding
Conflicts of Interest
References
- Hollinger, E.; Baginska, B.; Cornish, P.S. Factors influencing soil and nutrient loss in storm water from a market garden. In Proceedings of the 9th Australian Agronomy Conference, Wagga, Australia, 20–23 July 1998; Australian Society of Agronomy: Parkville, VIC, Australia, 1998; pp. 741–744. [Google Scholar]
- Romaniuk, R.; Giuffré, L.; Costantini, A.; Nannipieri, P. Assessment of soil microbial diversity measurements as indicators of soil functioning in organic and conventional horticulture systems. Ecol. Indic. 2011, 11, 1345–1353. [Google Scholar] [CrossRef]
- Coutinho, J.; Dalla Costa, L.; Borin, M.; Battilani, A.; Dolezal, F.; Bizik, J.; Mazurczyk, W.; Plauborg, F.L. One Single Value for Maximum N Application from Organic Residues: Is it Technically and Environmentally Sound? ESA Congress: Varsavia, Polonia, 2006. [Google Scholar]
- Gaskell, M.; Smith, R.; Mitchell, J.; Koike, S.T.; Fouche, C.; Hartz, T.; Horwath, W.; Jackson, L. Soil Fertility Management for Organic Crops. 2006. Available online: https://escholarship.org/uc/item/1ws2d496 (accessed on 21 June 2019). [CrossRef]
- Morelli, J. Environmental sustainability: A definition for environmental professionals. J. Environ. Sustain. 2011, 1, 2. [Google Scholar]
- Weiland, P. Biogas production: Current state and perspectives. Appl. Microbiol. Biotechnol. 2010, 85, 849–860. [Google Scholar] [CrossRef] [PubMed]
- Nkoa, R. Agricultural benefits and environmental risks of soil fertilization with anaerobic digestates: A review. Agron. Sustain. Dev. 2014, 34, 473–492. [Google Scholar] [CrossRef]
- Teglia, C.; Tremier, A.; Martel, J.L. Characterization of solid digestates: Part 1, review of existing indicators to assess solid digestates agricultural use. Waste Biomass Valori. 2011, 2, 43–58. [Google Scholar] [CrossRef]
- Insam, H.; Gómez-Brandón, M.; Ascher, J. Manure-based biogas fermentation residues—Friend or foe of soil fertility? Soil Biol. Biochem. 2015, 84, 1–14. [Google Scholar] [CrossRef]
- Qi, G.; Pan, Z.; Sugawa, Y.; Andriamanohiarisoamanana, F.J.; Yamashiro, T.; Iwasaki, M.; Umetsu, K. Comparative fertilizer properties of digestates from mesophilic and thermophilic anaerobic digestion of dairy manure: Focusing on plant growth promoting bacteria (PGPB) and environmental risk. J. Mater. Cycles Waste Manag. 2018, 20, 1448–1457. [Google Scholar] [CrossRef]
- Jaffar, M.; Pang, Y.; Yuan, H.; Zou, D.; Liu, Y.; Zhu, B.; Li, X. Wheat straw pretreatment with KOH for enhancing biomethane production and fertilizer value in anaerobic digestion. Chin. J. Chem. Eng. 2016, 24, 404–409. [Google Scholar] [CrossRef]
- Yan, X.; Gong, W. The role of chemical and organic fertilizers on yield, yield variability and carbon sequestration—Results of a 19-year experiment. Plant Soil 2010, 331, 471–480. [Google Scholar] [CrossRef]
- Garg, S.; Bahl, G.S. Phosphorus availability to maize as influenced by organic manures and fertilizer P associated phosphatase activity in soils. Bioresour. Technol. 2008, 99, 5773–5777. [Google Scholar] [CrossRef]
- Bouallagui, H.; Lahdheb, H.; Romdan, E.B.; Rachdi, B.; Hamdi, M. Improvement of fruit and vegetable waste anaerobic digestion performance and stability with co-substrates addition. J. Environ. Manag. 2009, 90, 1844–1849. [Google Scholar] [CrossRef] [PubMed]
- Möller, K.; Müller, T. Effects of anaerobic digestion on digestate nutrient availability and crop growth: A review. Eng. Life Sci. 2012, 12, 242–257. [Google Scholar] [CrossRef]
- Alburquerque, J.A.; De la Fuente, C.; Campoy, M.; Carrasco, L.; Nájera, I.; Baixauli, C.; Caravaca, F.; Roldàn, A.; Cegarra, J.; Bernal, M.P. Agricultural use of digestate for horticultural crop production and improvement of soil properties. Eur. J. Agron. 2012, 43, 119–128. [Google Scholar] [CrossRef]
- Montemurro, F.; Ferri, D.; Tittarelli, F.; Canali, S.; Vitti, C. Anaerobic digestate and on-farm compost application: Effects on lettuce (Lactuca sativa L.) crop production and soil properties. Compost Sci. Util. 2010, 18, 184–193. [Google Scholar] [CrossRef]
- Lošák, T.; Zatloukalová, A.; Szostková, M.; Hlušek, J.; Fryč, J.; Vítěz, T. Comparison of the effectiveness of digestate and mineral fertilisers on yields and quality of kohlrabi (Brassica oleracea, L.). Acta Univ. Agric. Silvic. Mendel. Brun. 2014, 59, 117–122. [Google Scholar] [CrossRef]
- Montemurro, F.; Ciaccia, C.; Leogrande, R.; Ceglie, F.; Diacono, M. Suitability of different organic amendments from agro-industrial wastes in organic lettuce crops. Nutr. Cycl. Agroecosyst. 2015, 102, 243–252. [Google Scholar] [CrossRef]
- Lošák, T.; Hlušek, J.; Válka, T.; Elbl, J.; Vítěz, T.; Bělíková, H.; Von Bennewitz, E. The effect of fertilisation with digestate on kohlrabi yields and quality. Plant Soil Environ. 2016, 62, 274–278. [Google Scholar] [CrossRef]
- Frøseth, R.B.; Bakken, A.K.; Bleken, M.A.; Riley, H.; Pommeresche, R.; Thorup-Kristensen, K.; Hansen, S. Effects of green manure herbage management and its digestate from biogas production on barley yield, N recovery, soil structure and earthworm populations. Eur. J. Agron. 2014, 52, 90–102. [Google Scholar] [CrossRef]
- Bjornsson, W.J.; Nicol, R.W.; Dickinson, K.E.; McGinn, P.J. Anaerobic digestates are useful nutrient sources for microalgae cultivation: Functional coupling of energy and biomass production. J. Appl. Phycol. 2013, 25, 1523–1528. [Google Scholar] [CrossRef]
- Nicoletto, C.; Galvao, A.; Maucieri, C.; Borin, M.; Sambo, P. Distillery anaerobic digestion residues: A new opportunity for sweet potato fertilization. Sci. Hortic. 2017, 225, 38–47. [Google Scholar] [CrossRef]
- Novello, V. Filiera vitivinicola: Valorizzare residui e sottoprodotti. L’Informatore Agrar. 2015, 33, 61–63. [Google Scholar]
- Schenk, H.J. Root competition: Beyond resource depletion. J. Ecol. 2006, 94, 725–739. [Google Scholar] [CrossRef]
- Booij, R.; Meurs, B. Supplementary nitrogen application in leeks, based on determination of crop nitrogen status. Acta Hortic. 2002, 571, 155–161. [Google Scholar] [CrossRef]
- Han, M.; Okamoto, M.; Beatty, P.H.; Rothstein, S.J.; Good, A.G. The genetics of nitrogen use efficiency in crop plants. Annu. Rev. Genet. 2015, 49, 269–289. [Google Scholar] [CrossRef]
- Rahn, C.R.; Bending, G.D.; Turner, M.K.; Lillywhite, R.D. Management of N mineralization from crop residues of high N content using amendment materials of varying quality. Soil Use Manag. 2003, 19, 193–200. [Google Scholar] [CrossRef]
- Gastal, F.; Lemaire, G.; Durand, J.L.; Louarn, G. Quantifying crop responses to nitrogen and avenues to improve nitrogen-use efficiency. In Crop Physiology; Academic Press: Cambridge, MA, USA, 2015; pp. 161–206. [Google Scholar]
- Perelli, M.; Graziano, P.L.; Calzavara, R. Nutrire le Piante; Arvan Editore: Venezia, Italy, 2009. [Google Scholar]
- Fageria, N.K.; De Morais, O.P.; Dos Santos, A.B. Nitrogen use efficiency in upland rice genotypes. J. Plant Nutr. 2010, 33, 1696–1711. [Google Scholar] [CrossRef]
- Nelson, D.W.; Sommers, L.E. Total carbon, organic carbon, and organic matter. In Methods of Soil Analysis Part 3—Chemical Methods (Methodsofsoilan3); Soil Science Society of America, American Society of Agronomy: Madison, WI, USA, 1996; pp. 961–1010. [Google Scholar]
- Zancan, S.; Cesco, S.; Ghisi, R. Effect of UV-B radiation on iron content and distribution in maize plants. Environ. Exp. Bot. 2006, 55, 266–272. [Google Scholar] [CrossRef]
- Haynes, R.J.; Murtaza, G.; Naidu, R. Inorganic and organic constituents and contaminants of biosolids: Implications for land application. Adv. Agron. 2009, 104, 165–267. [Google Scholar]
- Salminen, E.; Rintala, J.; Harkonen, J.; Kuitunen, M.; Hogmander, H.; Oikari, A. Anaerobically digested poultry slaughterhouse wastes as fertiliser in agriculture. Bioresour. Technol. 2001, 78, 81–88. [Google Scholar] [CrossRef]
- Tambone, F.; Genevini, P.; D’Imporzano, G.; Adani, F. Assessing amendment properties of digestate by studying the organic matter composition and the degree of biological stability during the anaerobic digestion of the organic fraction of MSW. Bioresour. Technol. 2009, 100, 3140–3142. [Google Scholar] [CrossRef]
- Tambone, F.; Scaglia, B.; D’Imporzano, G.; Schievano, A.; Orzi, V.; Salati, S.; Adani, F. Assessing amendment and fertilizing properties of digestates from anaerobic digestion through a comparative study with digested sludge and compost. Chemosphere 2010, 81, 577–583. [Google Scholar] [CrossRef]
- Loh, T.C.; Lee, Y.C.; Liang, J.B.; Tan, D. Vermicomposting of cattle and goat manures by Eisenia foetida and their growth and reproduction performance. Bioresour. Technol. 2005, 96, 111–114. [Google Scholar] [CrossRef]
- Gobbi, V.; Bonato, S.; Nicoletto, C.; Zanin, G. Spent mushroom substrate as organic fertilizer: Vegetable organic trials. Acta Hortic. 2016, 1146, 49–56. [Google Scholar] [CrossRef]
- Gobbi, V.; Nicoletto, C.; Zanin, G.; Sambo, P. Specific humus systems from mushrooms culture. Appl. Soil Ecol. 2017, 123, 709–713. [Google Scholar] [CrossRef]
- Viaene, J.; Nelissen, V.; Vandecasteele, B.; Willekens, K.; De Neve, S.; Reubens, B. Field storage conditions for cattle manure to limit nitrogen losses and optimise fertiliser value. Anim. Prod. Sci. 2017, 57, 2148–2166. [Google Scholar] [CrossRef]
- Fagnano, M.; Adamo, P.; Zampella, M.; Fiorentino, N. Environmental and agronomic impact of fertilization with composted organic fraction from municipal solid waste: A case study in the region of Naples, Italy. Agric. Ecosyst. Environ. 2011, 141, 100–107. [Google Scholar] [CrossRef]
- Mylavarapu, R.S.; Zinati, G.M. Improvement of soil properties using compost for optimum parsley production in sandy soils. Sci. Hortic. 2009, 120, 426–430. [Google Scholar] [CrossRef]
- Mkhabela, M.S.; Warman, P.R. The influence of municipal solid waste compost on yield, soil phosphorus availability and uptake by two vegetable crops grown in a Pugwash sandy loam soil in Nova Scotia. Agric. Ecosyst. Environ. 2005, 106, 57–67. [Google Scholar] [CrossRef]
- Benincasa, P.; Guiducci, M.; Tei, F. The nitrogen use efficiency: Meaning and sources of variation—Case studies on three vegetable crops in Central Italy. HortTechnology 2011, 21, 266–273. [Google Scholar] [CrossRef]
- Santamaria, P.; Elia, A.; Serio, F.; Gonnella, M.; Parente, A. Comparison between nitrate and ammonium nutrition in fennel, celery, and Swiss chard. J. Plant Nutr. 1999, 22, 1091–1106. [Google Scholar] [CrossRef]
- Hessini, K.; Lachaal, M.; Cruz, C.; Soltani, A. Role of ammonium to limit nitrate accumulation and to increase water economy in wild Swiss Chard. J. Plant Nutr. 2009, 32, 821–836. [Google Scholar] [CrossRef]
- Bianco, V.V.; Santamaria, P.; Elia, A. Nutritional value and nitrate content in edible wild species used in southern Italy. Acta Hortic. 1998, 467, 71–90. [Google Scholar] [CrossRef]
- Filippini, M.F.; Cavagnaro, J.B.; Nicoletto, C.; Pimpini, F.; Sambo, P. Influence of fertilization on the growth of radicchio” Rosso di Chioggia. Rev. Fac. Cienc. Agrar. 2011, 43, 111–131. [Google Scholar]
- Maucieri, C.; Nicoletto, C.; Caruso, C.; Sambo, P.; Borin, M. Effects of digestate solid fraction fertilisation on yield and soil carbon dioxide emission in a horticulture succession. Ital. J. Agron. 2017, 12, 116–123. [Google Scholar] [CrossRef]
- Nicoletto, C.; Santagata, S.; Zanin, G.; Sambo, P. Effect of the anaerobic digestion residues use on lettuce yield and quality. Sci. Hortic. 2014, 180, 207–213. [Google Scholar] [CrossRef]
- Sánchez, L. Effect of timing of application of municipal solid waste compost on N availability for crops in central Spain. Biol. Fertil. Soils 1997, 25, 136–141. [Google Scholar] [CrossRef][Green Version]






| Parameters | Soil Depth | ||
|---|---|---|---|
| 0–0.20 m | 0.20–0.40 m | ||
| pH | 7.35 | 7.30 | |
| EC | µS cm−1 | 250 | 250 |
| NO3- | mg kg−1 | 101 | 87 |
| K+ | mg kg−1 | 94 | 61 |
| PO43− | mg kg−1 | 100 | 213 |
| Na+ | mg kg−1 | 2921 | 2283 |
| NH4+ | mg kg−1 | 49 | 24 |
| Cl− | mg kg−1 | 187 | 228 |
| Parameters | DADRs | Methods | ||
|---|---|---|---|---|
| Water Extract | Ash Content | |||
| pH | 7.68 | EN13037 | ||
| Electrical conductivity | µS cm−1 | 1.462 | EN13038 | |
| Total organic matter | % | 49.94 | EN13039 | |
| Total organic carbon | % | 28.97 | [32] | |
| Total N | % | 3.48 | ISO1656 | |
| C:N | 8.32 | |||
| Ash | % | 50.06 | ||
| Dry matter | % | 30.21 | EN13040 | |
| P | mg kg−1 | 42.6 | 5824 | [33] |
| K | mg kg−1 | 1942 | 3044 | |
| Ca | mg kg−1 | 134 | 19189 | |
| Mg | mg kg−1 | 14.7 | 941 | |
| Mn | mg kg−1 | 0.038 | 63.7 | |
| Al | mg kg−1 | 0.363 | 3125 | |
| Fe | mg kg−1 | 0.238 | 1659 | |
| Na | mg kg−1 | 126 | 2039 | |
| Co | mg kg−1 | 0.006 | 0.42 | |
| Cd | mg kg−1 | nd | nd | |
| Cr | mg kg−1 | 0.006 | 6.72 | |
| Cu | mg kg−1 | 0.371 | 488 | |
| Pb | mg kg−1 | nd | 1.81 | |
| Ni | mg kg−1 | 0.054 | 3.96 | |
| Zn | mg kg−1 | 0.904 | 56.8 | |
| As | mg kg−1 | 0.038 | 0.75 | |
| B | mg kg−1 | 4.11 | 64.6 | |
| Li | mg kg−1 | 0.665 | 6.79 | |
| Mo | mg kg−1 | 0.018 | 0.60 | |
| S | mg kg−1 | 72.3 | 1509 | |
| Sb | mg kg−1 | 0.031 | 0.25 | |
| Se | mg kg−1 | 0.031 | 0.25 | |
| Sn | mg kg−1 | 0.018 | 1.73 | |
| Sr | mg kg−1 | 0.542 | 56.4 | |
| Ti | mg kg−1 | 0.006 | 23.3 | |
| V | mg kg−1 | 0.012 | 3.97 | |
| Year | Season | Crop | Variety | Date of | Spacing between: | Density (Plant m−2) | Mineral N-P2O5-K2O Fertilization (TMIN) kg ha−1 (*) | 100% DADRs Fertilization (T100) kg ha−1 | ||
|---|---|---|---|---|---|---|---|---|---|---|
| Sowing/Transplant | Harvest | Rows (m) | Plants (m) | |||||||
| Succession 1 | ||||||||||
| 1st | spring-summer | batavia lettuce | Funtine | May 11 | June 18 | 0.50 | 0.33 | 6.1 | 80–60–110 | 7662 |
| fall-winter | late cauliflower | Atalaya | Aug 10 | Dec 2 | 0.65 | 0.50 | 3.1 | 100–60–160 | 9578 | |
| 2nd | spring-summer | butter-head lettuce | Pronto | June 30 | Aug 11 | 0.40 | 0.30 | 8.5 | 80–60–110 | 7662 |
| fall-winter | early chicory | Adige precoce | Aug 27 | Nov 24 | 0.40 | 0.30 | 8.5 | 130–60–180 | 12452 | |
| 3rd | spring-summer | potato | Etna | April 5 | July 18 | 0.65 | 0.25 | 6.2 | 180–100–200 | 17241 |
| fall-winter | Swiss chards | White silver | Aug 23 | Nov 2 | 0.45 | 0.35 | 6.3 | 120–150–160 | 11494 | |
| 4th | spring-summer | tomato | Perfect Peel | May 15 | Aug 23 | 0.50 | 0.50 | 4.0 | 130–100–200 | 12452 |
| 5th | spring-summer | melon | Macigno | June 11 | Aug 17 | 1.60 | 0.80 | 0.8 | 150–100–200 | 14367 |
| Succession 2 | ||||||||||
| 1st | spring-summer | butter-head lettuce | Marenia | April 10 | May 25 | 0.50 | 0.33 | 6.1 | 80–60–110 | 7662 |
| fall-winter | early cauliflower | Freemont | Aug 10 | Nov 11 | 0.65 | 0.50 | 3.1 | 100–60–160 | 9578 | |
| 2nd | spring-summer | iceberg lettuce | Silvinas | June 30 | Aug 11 | 0.40 | 0.30 | 8.5 | 80–60–110 | 7662 |
| fall-winter | late radicchio | Adige tardivo | Aug 27 | Jan 13 | 0.40 | 0.30 | 8.5 | 130–60–180 | 12452 | |
| 3rd | spring-summer | potato | Etna | April 5 | July 18 | 0.65 | 0.25 | 6.2 | 180–100–200 | 17241 |
| fall-winter | chicory | Romea | Aug 23 | Nov 17 | 0.45 | 0.35 | 6.3 | 120–150–160 | 11494 | |
| 4th | spring-summer | pepper | Pompeo | May 15 | Aug 1–28 | 0.50 | 0.50 | 4.0 | 130–100–200 | 12452 |
| 5th | spring-summer | melon | Macigno | June 11 | Aug 17 | 1.60 | 0.80 | 0.8 | 150–100–200 | 14367 |
| Succession 1 (S1) | ||||||||
|---|---|---|---|---|---|---|---|---|
| Batavia Lettuce | Late Cauliflower | Butter-Head Lettuce | Early Chicory | Potato | Swiss Chard | Tomato | Melon | |
| Yield (t ha−1 fw) | ||||||||
| T0 | 8.2 b | 11.3 c | 11.9 b | 18.3 b | 33.1 | 34.3 b | 54.3 b | 19.3 b |
| TMIN | 13.2 ab | 17.3 b | 15.4 a | 27.8 a | 35.1 | 47.9 a | 69.9 ab | 39.9 a |
| T50 | 13.2 ab | 17.3 b | 14.3 a | 23.5 ab | 33.2 | 40.2 ab | 68.6 ab | 39.4 a |
| T75 | 17.7 a | 14.2 bc | 14.0 ab | 23.7 ab | 37.4 | 39.4 ab | 75.4 a | 29.9 ab |
| T100 | 12.7 ab | 23.4 a | 14.8 a | 20.0 b | 35.3 | 41.2 ab | 84.1 a | 31.8 ab |
| Total biomass (t ha−1 fw) | ||||||||
| T0 | 10.4 b | 47.4 b | 15.0 b | 28.8 c | 39.3 | 51.3 | 87.7 d | 34.5 b |
| TMIN | 16.2 ab | 73.6 a | 19.1 a | 50.6 a | 44.4 | 61.9 | 100.7 cd | 59.9 a |
| T50 | 16.0 ab | 69.1 a | 17.5 ab | 37.4 bc | 45.6 | 59.8 | 137.1 b | 60.7 a |
| T75 | 21.1 a | 70.1 a | 18.4 a | 40.1 ab | 45.0 | 52.5 | 119.0 bc | 52.0 ab |
| T100 | 16.0 ab | 64.9 a | 18.1 a | 30.9 bc | 41.0 | 58.5 | 172.3 a | 50.7 ab |
| Succession 2 (S2) | ||||||||
| butter-head lettuce | early cauliflower | iceberg lettuce | late chicory | potato | catalogna chicory | sweet pepper | melon | |
| Yield (t ha−1 fw) | ||||||||
| T0 | 9.5 b | 15.4 b | 13.8 b | 11.6 c | 31.9 | 31.1 b | 17.6 | 21.3 c |
| TMIN | 16.3 a | 28.1 a | 23.0 a | 22.3 a | 35.5 | 46.8 a | 24.1 | 35.2 b |
| T50 | 12.4 ab | 24.5 ab | 20.4 a | 16.7 b | 33.0 | 34.3 b | 17.5 | 41.5 a |
| T75 | 13.2 ab | 22.4 ab | 21.8 a | 20.2 a | 33.1 | 37.9 b | 24.8 | 33.2 b |
| T100 | 10.1 b | 18.3 ab | 18.4 ab | 16.1 b | 35.6 | 34.7 b | 21.7 | 35.2 b |
| Total biomass (t ha−1 fw) | ||||||||
| T0 | 14.2 b | 49.4 b | 17.8 b | 21.0 b | 39.8 | 39.2 c | 37.3 | 40.8 b |
| TMIN | 23.5 a | 78.9 a | 28.7 a | 59.8 a | 46.4 | 48.9 a | 51.0 | 57.6 a |
| T50 | 18.1 ab | 66.8 ab | 24.2 ab | 37.4 b | 41.8 | 40.3 bc | 39.3 | 48.8 ab |
| T75 | 19.0 ab | 57.8 ab | 28.5 a | 56.9 a | 42.6 | 46.1 ab | 49.8 | 48.9 ab |
| T100 | 14.5 b | 52.3 ab | 25.0 ab | 27.2 b | 44.3 | 41.6 bc | 48.0 | 57.2 ab |
© 2019 by the authors. Licensee MDPI, Basel, Switzerland. This article is an open access article distributed under the terms and conditions of the Creative Commons Attribution (CC BY) license (http://creativecommons.org/licenses/by/4.0/).
Share and Cite
Nicoletto, C.; Dalla Costa, L.; Sambo, P.; Zanin, G. Distillery Anaerobic Digestion Residues as Fertilizers for Field Vegetable Crops: Performance and Efficiency in Mid-term Successions. Agronomy 2019, 9, 463. https://doi.org/10.3390/agronomy9080463
Nicoletto C, Dalla Costa L, Sambo P, Zanin G. Distillery Anaerobic Digestion Residues as Fertilizers for Field Vegetable Crops: Performance and Efficiency in Mid-term Successions. Agronomy. 2019; 9(8):463. https://doi.org/10.3390/agronomy9080463
Chicago/Turabian StyleNicoletto, Carlo, Luisa Dalla Costa, Paolo Sambo, and Giampaolo Zanin. 2019. "Distillery Anaerobic Digestion Residues as Fertilizers for Field Vegetable Crops: Performance and Efficiency in Mid-term Successions" Agronomy 9, no. 8: 463. https://doi.org/10.3390/agronomy9080463
APA StyleNicoletto, C., Dalla Costa, L., Sambo, P., & Zanin, G. (2019). Distillery Anaerobic Digestion Residues as Fertilizers for Field Vegetable Crops: Performance and Efficiency in Mid-term Successions. Agronomy, 9(8), 463. https://doi.org/10.3390/agronomy9080463

