You are currently viewing a new version of our website. To view the old version click .
Agronomy
  • Article
  • Open Access

10 December 2019

Adjusting Ceptometer Data to Improve Leaf Area Index Measurements

and
1
Department of Soil Physics and Water Management, Institute for Soil Sciences and Agricultural Chemistry, Centre for Agricultural Research, Herman O. St. 15, 1022 Budapest, Hungary
2
Crop Production Department, Agricultural Institute, Centre for Agricultural Research, Brunszvik u. 2, 2462 Martonvásár, Hungary
*
Author to whom correspondence should be addressed.

Abstract

Leaf Area Index (LAI) is an important plant parameter for both farmers and plant scientists to monitor and/or model the growth and the well-being of plants. Since direct LAI measurement techniques are relatively laborious and time-consuming, various indirect methods have been developed and widely used since the early 1990s. The LP-80 ceptometer uses a linear array of PAR (photosynthetically active radiation) sensors for non-destructive LAI measurements that is backed by 15 years of research. Despite this, considerable discrepancy can be found between the expert opinions regarding the optimal illumination conditions recommended for the measurement. The sensitivity of ceptometer-based LAI values to PAR was investigated, and a simple method was devised to correct raw ceptometer data collected under non-ideal light conditions. Inadequate light conditions (PAR < 1700 µmol m−2 s−1) could cause an underestimation of LAI. Using the corrected LAI values, the ceptometer data showed a significantly better fit (higher R2, smaller mean average error and closer to zero mean signed error values) to the destructive LAI data for both wheat and maize. With the help of the correction equations, the use of the LP-80 ceptometer could be extended to days when light conditions are not ideal.

1. Introduction

Leaves represent the largest portion of the canopy surface of field crops and are the primary interface for energy and mass exchange between the atmosphere and plants. Significant processes, such as canopy light interception, element deposition, transpiration, respiration and assimilation, are directly proportional to the surface of leaves. Leaf area (LA) and leaf area index (LAI) are important structural properties of the plant canopy. LAI is the ratio of the total, one-sided leaf surface area of the canopy and the ground area below the canopy. These parameters are important for both farmers and plant scientists to monitor the growth and well-being of plants [1] and are especially important for crop modelers for scaling up the leaf and plant level processes to canopy level [2,3]. Its practical usefulness and the increasing need to simulate the plant–atmosphere interactions with dynamic models has led to a growing demand for reliable information on leaf area. Several methods have been developed to measure LA and LAI, including direct contact (destructive and non-destructive) methods, passive optical methods and active remote sensing methods [4]. The direct measurement methods are considered to be the most accurate, and usually serve as a standard for validating the indirect methods [5], though in some cases newly developed instruments are compared to well-performing and thoroughly tested indirect methods [6,7].
Direct techniques are relatively laborious and time-consuming, and the destructive kinds are not necessarily feasible in small plot experiments, especially when the canopy growth monitoring requires several samplings at different dates during the growing season. Due to the time requirements, the large-scale implementation of direct LAI measurements is practically not feasible. In order to find a practical alternative, various indirect methods have been developed and widely used since the early 1990s. Based on a thorough literature review, Yan and his colleagues identified four main periods of indirect LAI measurement [8]. Instruments using indirect, Beer-Lambert law-based measurement techniques started to be developed, commercialized and successfully used in low crops during the first period. In the second period, still in the 1990s, several enhancements have been made to eliminate the shortcoming of the instruments that caused underestimation of LAI in forests where leaves are not randomly distributed. The 2000s saw several comprehensive reviews and comparisons to be published that summarized the underlying theories and provided an overview on sensors, errors and sampling in indirect LAI measurement. Today, in the fourth period, apart from the new methods and instruments [7,9,10,11], considerable efforts are made in widening the range of applications, as well as in overcoming the challenges that still exist in order to enhance the overall accuracy of the methods and the instruments that are using them. Due to the significant developments achieved in the past decades, indirect LAI measurement methods are widely recognized in the scientific community and have been applied in large fields and industries [8]. Among these methods, the Beer-Lambert law-based optical techniques have become the most widely used methods and instruments for LAI measurement. LAI-2200C (LI-COR, Inc., Lincoln, NE, USA) [12], SS1 SunScan (Delta-T Devices, Ltd., Cambridge, UK) [13], and ACCUPAR LP-80 (METER Group, Inc., Pullman, WA, USA) [14] are the major models of this category, the latter two of which are also called ceptometer. Ceptometer is an instrument that measures the above and below canopy photosynthetically active radiation (PAR) and calculates LAI based on the ratio of the two. Besides the theoretical simplifications, the plant species specific leaf angle distribution, the inhomogeneity of the foliage (clumping effect) and the also species-specific and development stage dependent ratio of woody components in the canopy, are the main factors influencing the accuracy of ceptometer measurements. Obviously, the measurement results are highly dependent on the measurement protocol; the way the sensor readings are taken and averaged [15]. ACCUPAR LP-80 [14] is a cost-effective, portable, linear array of PAR sensors designed for non-destructive LAI measurements that is backed by 15 years of research [16,17,18,19,20].
A large number of publications is available about the in-situ measurement of the LAI of field crops with various devices including ceptometers. Relatively little study was found about investigating the reliability of ceptometer measurements for crops by comparing the field data to the results of destructive measurements [5,21,22,23]. Francone et al. [6] tested a newly developed method (PocketLAI) against LP-80 ceptometer data, which implies that ceptometry is regarded to be an accurate LAI measurement method in spite of its limitations. Finzel et al. [18] found the LP-80 ceptometer performing poorly in the case of sagebrush-steppe rangelands when it was compared to the accurate point–intercept method. They attributed the high variability of ceptometer-measured LAI to the high instrument sensitivity of the angle of the instrument relative to the sun, which suggests that ceptometers are probably not suitable for measuring the LAI of highly non-uniform canopies. This really could be an issue in case of a natural vegetation, but for croplands, the canopy is much more uniform. Despite this, Salter et al. [24] underline the importance of avoiding row orientation bias caused by the non-isotropic nature of row orientation. They suggest taking ceptometer measurements only on overcast days. Another simple alternative is to avoid taking measurements during the time of the day when the sun is shining parallel to the row direction.
Studies that investigated the performance of LP-80 reported the following issues that affected the measurement results, thus requesting special attention when using LP-80: (1) especially in crops with larger row space (e.g., maize or sunflower), a certain area should be scanned through by placing the sensor bar of the ceptometer in different positions relative to the crop rows [15,21,25]; (2) Salter et al. [24] suggest taking ceptometer measurements only on overcast days to avoid or reduce row orientation bias caused by the non-isotropic nature of row orientation.
Although they admit that it contrasts with the usual practice and advice, which holds that the ideal conditions for ceptometry are cloudless skies when the proportion of diffuse radiation is relatively low; (3) the issue of optimal illumination condition is probably the most interesting practical question where considerable discrepancy can be found between the expert opinions. The ACCUPAR LP-80 manual [14] states no explicit minimum requirements on the environmental conditions, but calculation examples are presented for both overcast and clear days, which suggests that both conditions are acceptable for reliable measurements. Finzel et al. [18] assessed that ceptometers are most effective in strong sunlight. Some papers suggest that the measurements should be carried out around solar noon, which implies that high above canopy PAR values are recommended for accurate measurements [16,26,27]. Note that high solar elevation does not imply high PAR during cloudy days when PAR can be less than 500 µmol m−2 s−1 around noon, even in summer. Ramirez-Garcia et al. [28] conducted PAR measurements by sun fleck ceptometer during days with clear skies and close to solar noon. Facchi et al. [21] reported that the ceptometer measurements were carried out during the morning, which is too indefinite in terms of the light conditions: it may refer to times just before noon, but also to times shortly after sunrise. Yan et al. [8] stated that it is acceptable to use ceptometers both under diffuse and direct light conditions, in other words: both at cloudy and clear skies. Pask et al. [25] recommended taking measurements when the sky is clear and sunny and the light conditions remain constant during the sampling period. They, however, state that measurements may be taken when there is continuous cloud cover, though this is not recommended. Based on an instrument intercomparing study for various crops, Garrigues et al. [17] argue that ceptometer measurements under diffuse illumination are expected to be optimal, although they did not compare the indirectly measured LAI data to directly measured ones. Our experience on this issue strengthens the opinion that measurements on overcast days may considerably underestimate the leaf area index of crops (see Results section). It would be a serious limitation on using ceptometers if this equipment would be capable of providing reliable LAI measurements only in clear sky conditions. For example, based on the CARPATCLIM database [29] covering the area between latitudes 44° N and 50° N, and longitudes 17° E and 27° E, on lowlands (altitude is less than 200 m a.s.l.), the percentage of days with cloudiness smaller than 3, 2 and 1 (on a 0–10 scale; zero indicating the totally clear sky days) is 28%, 17% and 7%, respectively, in the summer half year (between the 1st of April and 30th of September). The summary of the above findings is that inadequate light conditions (overcast skies or days with cloud drifts) pose serious limitation on the use of ceptometers. In this study, the sensitivity of ceptometer-based LAI values to the photosynthetically active radiation is investigated, and an attempt is made to devise a simple method to correct raw ceptometer data collected under non-ideal light conditions.

2. Materials and Methods

An ACCUPAR LP-80 [14] ceptometer was used for measuring leaf area index values in winter wheat (Triticum aestivum, cultivar: Mv Nemere) and maize (Zea mays, cultivar: Mv Tarján) experiments at the experimental site of the Center for Agricultural Research, Martonvásár, Hungary (latitude: 47°18ʹ40.93″N; longitude: 18° 46ʹ 50.18″ E) in 2018 and 2019. In both years, Mv Nemere (winter wheat, early maturity group) and Mv Tarján (maize, FAO380) cultivars were investigated. The soil of the experiment site belongs to the chernozem FAO soil unit as well as to the medium textural class (sand fraction: 51.4%, silt fraction: 34.0%, clay fraction: 14.6%) with a deep (>50 cm) A horizon. The average bulk density is 1.47 g cm−3, while the humus content of the top soil ranges between 2.82% and 2.92% across the site. Saturated hydraulic conductivity of the soil surface was measured in situ with a mini disc infiltrometer [30] providing 9 cm d−1 average value. The most important climatic parameters of the site are presented in Figure 1.
Figure 1. Monthly average cumulative global radiation, mean temperature and cumulative precipitation of the experimental site, based on 50 years of locally measured (unpublished) data. Martonvásár, Hungary.
From the 14 ongoing, long-term field experiments at Martonvásár, we selected experiments and treatments where zero, moderate (80 and 100 kg/ha) and adequate (160 and 180 kg/ha) nitrogen fertilizer doses were applied for wheat and maize, respectively. In 2019, a Free-air concentration enrichment (FACE) experiment with wheat was also included in the investigations. LAI measurements were carried out from early growth stage to flowering in both years: For wheat between 11 of April and 11 of May in 2018 and between 28 of March and 25 of May in 2019 and for maize between 23 of May and 4 of June in 2018 and between 26 of June and 10 of July in 2019.

2.1. ACCUPAR LP-80 Ceptometer

LP-80 is a hand-held linear PAR ceptometer that consists of a read-out/data-logger unit and a probe containing 80 independent sensors along an 80 cm long rod. An optional external PAR sensor can be connected to the device that is designed to measure simultaneous above canopy radiation. The photosensors measure PAR in the 400 to 700 nm waveband, and the read-out unit displays PAR in µmol m−2 s−1 and LAI in m2 m−2. Owing to its logger mode the instrument is capable of unattended measurement, taking readings in every minute as a shortest time interval between the consecutive measurements. Based on the above and below canopy PAR values, the integrated microprocessor of the LP-80 calculates leaf area index (LAI) using a simplified version [1] of the Norman-Jarvis radiation transmission and scattering model [31]:
LAI = [ ( 1     0.5 χ 2 + tan Θ 2 χ   +   1.744   ( χ   +   1.182 ) 0.733 ) f b     1 ]   ×   ln P A R b P A R a 0.9   ( 1     0.47 f b )
where Θ is the zenith angle of the sun; χ is the leaf distribution parameter referring to the distribution of leaf angles within a canopy; fb is the fraction of beam radiation which is the ratio of direct beam radiation coming from the sun to radiation coming from all ambient sources; PARb and PARa are the photosynthetically active radiation values measured below and above the canopy, respectively.
Based on the global position, the date and the time of day of the measurement, the zenith angle can be easily calculated and automatically done so by LP-80. χ is a plant specific parameter that has to be provided by the user? In this study, based on the LP-80 manual, 0.96 and 1.5 values were used for wheat and maize, respectively. Based on the latitude and time of day-dependent potential PAR (PAR outside the earth’s atmosphere), as well as the measured above canopy PAR, LP-80 calculates fb according to the empirical polynomial Equation (2) of Spitters et al. [32].
f b = 1.395   +   P A R a 2550 cos θ ( 14.43   +   P A R a 2550 cos θ   ( 48.57   +   P A R a 2550 cos θ   ( 59.024   +   P A R a 2550 cos θ ) ) )

2.2. Measuring LAI with LP-80

Before every measurement session the factory-calibrated external PAR sensor was used to calibrate the LP-80 probe, ensuring that the PAR response between the external sensor and the probe are the same. Following the recommendations of earlier studies [15,25] and the user manual, the below methodology was devised to measure the LAI of the experimental plots. Each LAI value was calculated as an average of 22 individual readings taken in different probe positions parallel and perpendicular to the crop rows, scanning an approximately 0.6 m2 area under the canopy (Figure 2). At each position, actually two readings were taken to decrease the influence of the accidental leaf movements.
Figure 2. Measurement protocol for obtaining one single LAI value for an experimental spot: example for maize (Left) and wheat (Right). Dots symbolize the individual plants.
Measurements were scheduled for around noon (± 1.5 hour), and locations were purposefully selected in a way that row direction would not be parallel with the sun direction during this time of the day.
Ceptometer measurements were carried out in three different circumstances: For (measurement 1), measurements were taken in one particular experiment (FACE experiment with wheat, ambient CO2 concentration set to 600 ppm, N fertilizer level: 160 kg ha−1) on an overcast day (fb = 0.02) that were repeated in the very next day at the same time of the day at the same locations (experimental plots) in clear sky conditions (fb = 0.83). This could only be done for wheat in 2019. On the second day of the measurements, after taking the ceptometer readings, plants from a 0.5 m long section of the scanned areas were collected and the leaf area of the samples was measured with the LI-3100C (LI-COR, Inc., Lincoln, NE, USA) [33] in the laboratory. Leaf area index values obtained with the ceptometer were compared to the corresponding directly-measured LAI values. The clear-sky-day and the overcast-day LAI data were compared with a paired sample t-test [34]. The results of this measurement campaign were purposefully picked for demonstrating the PAR sensitivity of LAI measurements because the PAR effect was particularly significant in this case. On the other hand, we did not want this experiment to be overrepresented in the further investigations, and thus only two data pairs of this dataset were used in the further parts of the study. For out (measurement 2), these measurements were taken by placing the LP-80 under a canopy of wheat and maize and setting the device into logger mode with 1 min reading interval on a day with cloud drifts when light conditions can change rapidly. Short (less 15 min long, in order to minimize the effect of the zenith angle change) periods were selected from the log file when the above canopy PAR significantly changed during the interval. The logged LAI values were plotted against the corresponding above canopy PAR values. With respect to (measurement 3), our measurement-pairs were carried out in two ways to obtain LAI data of the same location at high and low above canopy PAR conditions: (I) On days with cloud drifts repeating the protocol (Figure 2) at two times, in 20 or maximum 30 min apart, at the selected experimental plots: At one time when the sun was covered by clouds (fb was closer to 0 and PAR was around 1000 µmol m−2 s−1 or even below) and at another time when the sun was not covered by clouds (fb was closer to 1 and PAR was above 1500 µmol m−2 s−1 or even above 2000 µmol m−2 s−1 many times); (II) repeating the protocol on two different days (but within two days to avoid significant changes in LAI) at same time of the day around noon, having one of the days with clear and the other with overcast sky. The LAI value pairs that were measured at two different PAR values were used to establish simple correction equations both for maize and wheat. Raw and corrected ceptometer LAI values (LAIraw and LAIcorr) were compared to directly measured LAI values (LAId) using simple statistical indicators: Coefficient of determination, mean signed error (MSE) and mean absolute error (MAE), where the mean function calculates the arithmetic average of the arguments. Error indicator equations are presented only for the corrected LAI values, knowing that the exact same formulae could be used for the raw LAI values. A paired sample t-test [34] was used for comparing the LAIraw and LAIcorr values to see if the correction made any significant improvement.
For the destructive measurements, plants from a 0.5 m long section of the scanned area were removed in case of wheat. For maize, five plants were taken from the scanned area.
R 2 =   ( i = 1 n ( L A I c o r r i     m e a n ( L A I c o r r i ) )   ×   ( L A I d i     m e a n ( L A I d i ) ) ) 2 i = 1 n ( L A I c o r r i     m e a n ( L A I c o r r i ) ) 2   ×   i = 1 n ( L A I d i     m e a n ( L A I d i ) ) 2
M S E =   i = 1 n L A I c o r r     L A I d n
M A E   =   i = 1 n | L A I c o r r     L A I d | n

2.3. Demonstrating the Effect of Zenith Angle on the LAI Measurements

Due to the assumptions, the LAI value measured with LP-80 is mainly determined by the above- and below-canopy PAR, but the calculations are affected by two parameters: the zenith angle (Θ) and the leaf distribution parameter (χ). Since the focus of our study was to investigate the PAR sensitivity of the measurements, the available data does not allow a thorough analysis of all the factors that may influence the LAI measurements, or rather the LAI correction equations. However, we had sufficient data to investigate the effect of zenith angle on the LAI measurements, or rather on the trend of the LAI-PAR correlation. For both crops, two groups of measured LAI data were investigated, all from 3-week long periods before flowering to avoid considerable changes in canopy structure, keeping χ to be constant. The first group of data was collected on overcast days (fb ≤ 0.1), while data of the second group was recorded on clear sky days (fb ≥ 0.9). Measured LAI data were plotted against the corresponding Θ values to see if there was any trend in the correlation. Additionally, the slopes of the linear sections defined by LAI measurements taken at low and high PAR values (cf. measurement 3) were plotted against Θ, as well.

3. Results

Table 1. summarizes the basic characteristics of the conducted measurements.
Table 1. Overview of the LAI measurement results obtained in 2018 and 2019, at Martonvásár, Hungary.

3.1. LAI Values Measured on An Overcast Vs. on A Clear Sky Day (cf. Measurement 1)

According to the t-test, the leaf area index values measured at the very same locations and at the same time of the day were significantly different depending on the light conditions (t-value = −5.91; p = 0.000004). On average, almost two times higher LAI values (5.51 vs. 3.62 m2 m−2) were recorded on a clear sky day than on an overcast day. The LAI values obtained on a clear day fitted much better to the corresponding destructive LAI values (Figure 3), resulting in R2 = 0.00043, MAE = 3.08 m2 m−2 and R2 = 0.2434, MAE = 1.32 m2 m−2 for overcast and clear day, respectively.
Figure 3. Corresponding wheat LAI data measured with ceptometer as well as with the destructive method, on an overcast day (fb ≤ 0.2) as well as on a clear day (fb ≥ 0.8).

3.2. Saturation of LAI Values as A Function of Photosynthetically Active Radiation (cf. Measurement 2)

For both maize and wheat, the apparent LAI values exhibit saturation when plotted against PAR (Figure 4). Below 1700 µmol m−2 s−1 the recorded LAI values follow a linear-like interrelation with the PAR values, but LAI does not increase further when PAR exceeds 1700 µmol m−2 s−1. For the sake of simplicity, below the 1700 µmol m−2 s−1 threshold a linear correlation was assumed between the ceptometer LAI values and the corresponding PAR values.
Figure 4. Logged (time interval = 1 min) LAI values in wheat (Left) and maize (Right). Two circa 10 min long periods (indicated with different symbols: solid circle and void triangle) for both crops.

3.3. Correction of Raw LAI Data Using the Corresponding PAR Values (cf. Measurement 3)

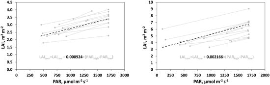
After analyzing the LAI pairs measured at the same location at low and high PAR values, the linear LAI-PAR interrelations were found to be considerably different for low LAI values than for high LAI values (Figure 5 and Figure 6). Similarly, to the results in the Section 3.2, the outcomes of the LAI measurements were highly sensitive to the incident PAR value. By averaging the slopes of the linear sections delimited by data-points measured at low and high PAR values (Figure 5 and Figure 6), simple correction equations could be developed assuming that the LAI values obtained at higher PAR values are closer to the real LAI. The saturation nature of the LAI-PAR interrelation was taken into account by maximizing the PARhigh value in 1700 µmol m−2 s−1 (cf. Figure 4) when determining the slopes on Figure 5 and Figure 6. In every measurement where the higher PAR value was greater than 1700 µmol m−2 s−1, PARhigh was set to 1700 µmol m−2 s−1.
Figure 5. LAI-PAR interrelation (data pairs) for wheat (LAIcorr < 4, Left; LAIcorr > 4, Right). Dashed lines represent the average slope of the linears defined by the data pairs. The average slope is highlighted in the equations on the graphs. Please note that different maximums were used on the y-axes.
Figure 6. LAI-PAR interrelation (data pairs) for maize (LAIcorr < 2, Left; LAIcorr > 2, Right). Dashed lines represent the average slope of the linears defined by the data pairs. The average slope is highlighted in the equations on the graphs. Please note that different maximums were used on the y-axes.
wheat (LAIcorr ≤ 4): L A I c o r r   =   L A I r a w   +   0.000924   ×   ( P A R h i g h     P A R l o w )
wheat (LAIcorr > 4): L A I c o r r   =   L A I r a w   +   0.002166   ×   ( P A R h i g h     P A R l o w )
maize (LAIcorr ≤ 2): L A I c o r r   =   L A I r a w   +   0.000901   ×   ( P A R h i g h     P A R l o w )
maize (LAIcorr > 2): L A I c o r r   =   L A I r a w   +   0.001802   ×   ( P A R h i g h     P A R l o w )
Using the corrected LAI values, the ceptometer data showed a better fit (higher R2, smaller MAE and closer to zero MSE values) to the destructive LAI data for both crops (Figure 7 and Figure 8), and the improvements were proved to be significant according to the t-tests (wheat: t-value = −4.83; p = 0.000089; maize: t-value = −4.95; p = 0.00013). The correction improved the slope of the fit of the ceptometer LAI data, as well.
Figure 7. Raw and corrected ceptometer LAI data for wheat plotted against the corresponding destructive LAI values. The dimension of the mean absolute error (MAE) and mean squared error (MSE) error indicators is m2 m−2.
Figure 8. Raw and corrected ceptometer leaf area index (LAI) data for maize plotted against the corresponding destructive LAI values. The dimension of the MAE and MSE error indicators is m2 m−2.

3.4. Demonstrating the Effect of Zenith Angle on the LAI Measurements

Figure 9 shows the measured LAI values as well as the slopes of the linear sections (Figure 5) plotted against the corresponding Θ values for wheat.
Figure 9. Impact of zenith angle on the ceptometer LAI measurements at clear sky (fb > 0.9) and overcast (fb < 0.1) conditions, as well as on the slope of the LAI-PAR function.
No specific trends were found for the LAI vs. Θ and Slope (of the LAI-PAR function) vs. Θ relationships for wheat as well as for maize (not presented here). The presented data confirm that zenith angle does not have a clear, significant impact on the elaborated LAI correction method within the investigated range.

4. Discussion

Based on the few studies that investigated the performance of ceptometer in crops it is quite difficult to see if the instrument tends to over- or underestimate the reference (direct) LAI measurement method. Levy and Jarvis [22] found the ceptometer under- or overestimated the LAI of millet when it was less or more than 1 m2 m−2, respectively, although within the confidence interval of direct estimates. According to Casa et al. [5], in the only paper that published data for wheat, the ceptometer overestimated wheat LAI especially at large LAI values. In their study, a SunScan ceptometer [13] was used, which is similar to the LP-80. The authors admit that their result of overestimating wheat LAI is somewhat surprising in the light of the observation of many authors that all indirect methods adopted for the estimation of LAI generally lead to an underestimation of the measured value to the direct method [35,36]. Additionally, Sone and Saito [37] found that the SunScan ceptometer tends to underestimate rice LAI.
Since Casa et al. [5] published only four data points for wheat and another eight for durum wheat (eleven of the data points in the LAI < 3 m2 m−2 range), it is probably correct to say that our results (24 data points covering more or less uniformly the 1.5–7.5 m2 m−2 LAI range) do not contradict but complement the previous findings, especially if we look at results published for maize. For maize, diverse results were published. Casa et al. [5] and Facchi et al. [21] reported clear under- and overestimation, respectively. To make the picture more complex, Wilhelm et al. [23] found underestimation for some varieties and overestimation for other varieties. We found that the LP-80 ceptometer data, even the adjusted LAI values, underestimate the reference LAI values for both wheat and maize. The measure of underestimation could be decreased significantly by applying the elaborated correction equations. After adjusting the raw LAI data, the expected value of the error associated with the ceptometer measurements is 0.457 and 0.343 m2 m−2 for wheat and maize, respectively.
Hyer and Goetz [38] demonstrated that ceptometer-based LAI measurements are most sensitive to the incident PAR than to any other factors; 10% change in PAR caused 4–20 times more change in the LAI values than changes caused by other factors. In our experiments the changes in PAR ranged between 12 % and 290%, with an average of 121%. The results of measurement 2, when LP-80 was used in logger mode, are particularly important because it may prove that PAR and the beam fraction have a major impact on the measured LAI values. Since it took only a couple of minutes to carry out these measurements, the zenith angle and the leaf distribution parameter were certainly invariant during those short intervals. On the other hand, PAR may change significantly even in such a short time. The uncertainty caused by the possible changes of PAR during the measurement can be decreased by using the correction equations.
Irrespective of the N supply level, as well as of the development phase, the zenith angle has so little impact on the LAI measurement results that it could not be detected. When measurements are not conducted too early in the morning (high Θ), the zenith angle is not expected to influence the LAI measurement significantly. The other factor that may considerably affect the LAI measurement is the leaf distribution parameter. To investigate the effect of χ on the LAI correction (on the slope of the LAI-PAR function) a special experiment would be necessary which is designed for that particular purpose, but that is beyond the scope of this study. Since the slope of the LAI-PAR function shows strong correlation with LAI it would be quite problematic to separate the effect of χ on it.
The transferability of the equations was not investigated, but by following the prescribed methodology, the site and/or crop specific corrections can be developed by any LP-80 user. The study is planned to be carried on in two directions: (1) The database for wheat and maize is to be expanded with further observations in order to enhance our understanding of the PAR dependence of ceptometer measurements, as well as to establish more robust correction equations; (2) correction equations are planned to be elaborated for other crops (e.g., sunflower) by using the presented methodology.

5. Conclusions

In this study, the sensitivity of ceptometer-based LAI values to the photosynthetically active radiation was investigated, and an attempt was made to devise a simple method to correct raw ceptometer data collected under non-ideal light conditions. Based on the results, inadequate light conditions (PAR < 1700 µmol m−2 s−1) could cause the underestimation of LAI. The raw LAI values can be improved by adjusting the proposed correction equations. With the help of the correction equations, the use of the LP-80 ceptometer could be extended to days when light conditions are not ideal. Authors publishing ceptometer-based LAI data are encouraged to present the associated PAR values recorded during the LAI measurements.

Author Contributions

Conceptualization, N.F.; investigation, K.P.; methodology, K.P. and N.F.; supervision, N.F.; writing—original draft, K.P. and N.F.; writing—review & editing, K.P.

Funding

The research was funded by the Széchenyi 2020 program, the European Regional Development Fund and the Hungarian Government (GINOP-2.3.2-15-2016-00028).

Conflicts of Interest

The authors declare no conflict of interest. The funders had no role in the design of the study; in the collection, analyses, or interpretation of data; in the writing of the manuscript, or in the decision to publish the results.

References

  1. Rundquist, D.; Gitelson, A.; Leavitt, B.; Zygielbaum, A.; Perk, R.; Keydan, G. Elements of an Integrated Phenotyping System for Monitoring Crop Status at Canopy Level. Agronomy 2014, 4, 108–123. [Google Scholar] [CrossRef]
  2. Novelli, F.; Spiegel, H.; Sandén, T.; Vuolo, F. Assimilation of Sentinel-2 Leaf Area Index Data into a Physically-Based Crop Growth Model for Yield Estimation. Agronomy 2019, 9, 255. [Google Scholar] [CrossRef]
  3. Röll, G.; Batchelor, W.; Castro, A.; Simón, M.; Graeff-Hönninger, S. Development and Evaluation of a Leaf Disease Damage Extension in Cropsim-CERES Wheat. Agronomy 2019, 9, 120. [Google Scholar] [CrossRef]
  4. Fleck, S.; Raspe, S.; Cater, M.; Schleppi, P.; Ukonmaanaho, L.; Greve, M.; Hertel, C.; Weis, W.; Rumpf, S. Leaf Area Measurments. Manual Part XVII. In Manual on Methods and Criteria for Harmonized Sampling, Assessment, Monitoring and Analysis of the Effects of Air Pollution on Forests; UNECE ICP Forests Co-ordinating Centre: Hamburg, Germany, 2012; ISBN 978-3-926301-03-1. [Google Scholar]
  5. Casa, R.; Upreti, D.; Pelosi, F. Measurement and Estimation of Leaf Area Index (LAI) Using Commercial Instruments and Smartphone-Based Systems. IOP Conf. Ser. Earth Environ. Sci. 2019, 275, 012006. [Google Scholar] [CrossRef]
  6. Francone, C.; Pagani, V.; Foi, M.; Cappelli, G.; Confalonieri, R. Comparison of Leaf Area Index Estimates by Ceptometer and PocketLAI Smart App in Canopies with Different Structures. Field Crop. Res. 2014, 155, 38–41. [Google Scholar] [CrossRef]
  7. Confalonieri, R.; Foi, M.; Casa, R.; Aquaro, S.; Tona, E.; Peterle, M.; Boldini, A.; De Carli, G.; Ferrari, A.; Finotto, G.; et al. Development of an App for Estimating Leaf Area Index Using a Smartphone. Trueness and Precision Determination and Comparison with Other Indirect Methods. Comput. Electron. Agric. 2013, 96, 67–74. [Google Scholar] [CrossRef]
  8. Yan, G.; Hu, R.; Luo, J.; Weiss, M.; Jiang, H.; Mu, X.; Xie, D.; Zhang, W. Review of Indirect Optical Measurements of Leaf Area Index: Recent Advances, Challenges, and Perspectives. Agric. For. Meteorol. 2019, 265, 390–411. [Google Scholar] [CrossRef]
  9. Chen, J.M. Remote Sensing of Leaf Area Index of Vegetation Covers. In Remote Sensing of Natural Resources; Wang, G., Weng, Q., Eds.; CRC Press: Boca Raton, FL, USA, 2013; pp. 375–398. Available online: https://books.google.com/books?hl=hu&lr=&id=TZoAAAAAQBAJ&oi=fnd&pg=PA375&ots=n1CFcEdket&sig=kv95T8dRPnIdIu3L0uH17TSzX0A (accessed on 9 July 2019).
  10. Hu, R.; Bournez, E.; Cheng, S.; Jiang, H.; Nerry, F.; Landes, T.; Saudreau, M.; Kastendeuch, P.; Najjar, G.; Colin, J.; et al. Estimating the Leaf Area of an Individual Tree in Urban Areas Using Terrestrial Laser Scanner and Path Length Distribution Model. ISPRS J. Photogramm. 2018, 144, 357–368. [Google Scholar] [CrossRef]
  11. Chávez, R.O.; Rocco, R.; Gutiérrez, Á.G.; Dörner, M.; Estay, S.A. A Self-Calibrated Non-Parametric Time Series Analysis Approach for Assessing Insect Defoliation of Broad-Leaved Deciduous Nothofagus Pumilio Forests. Remote Sens. 2019, 11, 204. [Google Scholar] [CrossRef]
  12. LI-COR Biosciences, LAI-2200C Plant Canopy Analyser. Available online: https://www.licor.com/env/products/leaf_area/LAI-2200C/ (accessed on 26 August 2019).
  13. Delta-T Devices, SS1 SunScan Canopy Analysis Software. Available online: https://www.delta-t.co.uk/product/sunscan/ (accessed on 26 August 2019).
  14. METER Group. Canopy Interception and Leaf Are Index, Accurate Canopy Analysis in Real Time. Available online: https://www.metergroup.com/environment/products/accupar-lp-80-leaf-area-index/ (accessed on 26 August 2019).
  15. Johnson, M.V.V.; Kiniry, J.R.; Burson, B.L. Ceptometer Deployment Method Affects Measurement of Fraction of Intercepted Photosynthetically Active Radiation. Agron. J. 2010, 4, 1132–1137. [Google Scholar] [CrossRef]
  16. Tewolde, H.; Sistani, K.R.; Rowe, D.E.; Adeli, A.; Tsegaye, T. Estimating Cotton Leaf Area Index Nondestructively with a Light Sensor. Agronomy 2005, 97, 1158–1163. [Google Scholar] [CrossRef]
  17. Garrigues, S.; Shabanov, N.V.; Swanson, K.; Morisette, J.T.; Baret, F.; Myneni, R.B. Intercomparison and Sensitivity Analysis of Leaf Area Index Retrievals from LAI-2000, AccuPAR, and Digital Hemispherical Photography over Croplands. Agric. For. Meteorol. 2008, 148, 1193–1209. [Google Scholar] [CrossRef]
  18. Finzel, J.A.; Seyfried, M.S.; Weltz, M.A.; Kiniry, J.R. Indirect Measurement of Leaf Area Index in Sagebrush-Steppe Rangelands. Rangel. Ecol. Manag. 2012, 65, 208–212. [Google Scholar] [CrossRef]
  19. Chianucci, F.; Cutini, A. Estimation of Canopy Properties in Deciduous Forests with Digital Hemispherical and Cover Photography. Agric. For. Meteorol. 2013, 168, 130–139. [Google Scholar] [CrossRef]
  20. Seidel, S.J.; Werisch, S.; Barfus, K.; Wagner, M.; Schütze, N.; Laber, H. Field Evaluation of Irrigation Scheduling Strategies Using a Mechanistic Crop Growth Model. Irrig. Drain. 2016, 65, 214–223. [Google Scholar] [CrossRef]
  21. Facchi, A.; Baroni, G.; Boschetti, M.; Gandolfi, C. Comparing Optical and Direct Methods for Leaf Area Index Determination in a Maize Crop. J. Agric. Eng. 2010, 1, 27–34. [Google Scholar]
  22. Levy, P.E.; Jarvis, P.G. Direct and Indirect Measurements of LAI in Millet and Fallow Vegetation in HAPEX-Sahel. Agric. For. Meteorol. 1999, 97, 199–212. [Google Scholar] [CrossRef]
  23. Wilhelm, W.W.; Ruwe, K.; Schlemmer, M.R. Comparison of Three Leaf Area Index Meters in a Corn Canopy. Crop. Sci. 2000, 40, 1179–1183. [Google Scholar] [CrossRef]
  24. Salter, W.T.; Gilbert, M.E.; Buckley, T.N. Time-Dependent Bias in Instantaneous Ceptometry Caused by Row Orientation. Plant Phenome J. 2018, 1. Available online: https://dl.sciencesocieties.org/publications/tppj/abstracts/1/1/180004 (accessed on 19 September 2019). [CrossRef]
  25. Pask, A.J.D.; Pietragalla, J. Leaf Area, Green Crop Area and Senescence. In Physiological Breeding II: A Field Guide to Wheat Phenotyping; Pask, A.J.D., Pietragalla, J., Mullan, D.M., Reynolds, M.P., Eds.; CIMMYT: Mexico, 2012; pp. 58–62. Available online: https://www.google.com/books?hl=hu&lr=&id=lYVL-db0AtQC&oi=fnd&pg=PA2&dq=+++++Pask+et+al.+2012+leaf&ots=Rmi48ZZSfX&sig=P9VHxybWrtcYtgYfub9a15dyEAM (accessed on 8 August 2019).
  26. O’Connell, M.G.; O’Leary, G.J.; Whitfield, D.M.; Connor, D.J. Interception of Photosynthetically Active Radiation and Radiation-Use Efficiency of Wheat, Field Pea and Mustard in a Semi-Arid Environment. Field Crop. Res. 2004, 85, 111–124. [Google Scholar] [CrossRef]
  27. Camargo, D.C.; Montoya, F.; Moreno, M.A.; Ortega, J.F.; Corcoles, J.I. Impact of Water Deficit on Light Interception, Radiation Use Efficiency and Leaf Area Index in a Potato Crop (Solanum Tuberosum L.). J. Agric. Sci. 2016, 4, 662–673. [Google Scholar] [CrossRef]
  28. Ramírez García, J.; Almendros García, P.; Quemada Saenz-Badillos, M. Ground Cover and Leaf Area Index Relationship in a Grass, Legume and Crucifer Crop. Plant Soil Environ. 2012, 58, 385–390. [Google Scholar] [CrossRef]
  29. Spinoni, J.; Szalai, S.; Szentimrey, T.; Lakatos, M.; Bihari, Z.; Nagy, A.; Németh, Á.; Kovács, T.; Mihic, D.; Dacic, M.; et al. Climate of the Carpathian Region in the Period 1961-2010: Climatologies and Trends of 10 Variables. Int. J. Climatol. 2015, 35, 1322–1341. [Google Scholar] [CrossRef]
  30. METER Group. Mini Disk Infiltrometer. User Manual. Available online: http://manuals.decagon.com/Manuals/10564_Mini%20Disk%20Infiltrometer_Web.pdf (accessed on 23 September 2019).
  31. Norman, J.M.; Jarvis, P.G. Photosynthesis in Sitka Spruce (Picea Sitchensis (Bong.) Carr.). III. Measurements of Canopy Structure and Interception of Radiation. J. Appl. Ecol. 1974, 11, 375–398. [Google Scholar] [CrossRef]
  32. Spitters, C.J.T.; Toussaint, H.; Goudriaan, J. Separating the Diffuse and Direct Component of Global Radiation and Its Implications for Modeling Canopy Photosynthesis Part I. Components of Incoming Radiation. Agric. For. Meteorol. 1986, 38, 217–229. [Google Scholar] [CrossRef]
  33. LI-COR Biosciences, LI-3100C Area Meter. Available online: https://www.licor.com/env/products/leaf_area/LI-3100C/ (accessed on 26 August 2019).
  34. Haynes, W. Student’s t-Test. In Encyclopedia of Systems Biology; Dubitzky, W., Wolkenhauer, O., Cho, K.H., Yokota, H., Eds.; Springer: New York, NY, USA, 2013. [Google Scholar] [CrossRef]
  35. Stroppiana, D.; Boschetti, M.; Confalonieri, R.; Bocchi, S.; Brivio, P.A. Evaluation of LAI-2000 for Leaf Area Index Monitoring in Paddy Rice. Field Crop. Res. 2006, 99, 167–170. [Google Scholar] [CrossRef]
  36. Breda, N.J. Ground-Based Measurements of Leaf Area Index: A Review of Methods, Instruments and Current Controversies. J. Exp. Bot. 2003, 54, 2403–2417. [Google Scholar] [CrossRef]
  37. Sone, C.; Saito, K.; Futakuchi, K. Comparison of Three Methods for Estimating Leaf Area Index of Upland Rice Cultivars. Crop. Sci. 2009, 49, 1438–1443. [Google Scholar] [CrossRef]
  38. Hyer, E.J.; Goetz, S.J. Comparison and sensitivity analysis of instruments and radiometric methods for LAI estimation: Assessments from a boreal forest site. Agric. For. Meteorol. 2004, 122, 157–174. [Google Scholar] [CrossRef]

Article Metrics

Citations

Article Access Statistics

Multiple requests from the same IP address are counted as one view.