Abstract
This study was conducted to examine plant biomass and phosphorus (P) accumulation and partitioning in response P availability and to determine the optimal P concentration during growth phases of two plant species with contrasting growth characteristics: geranium (Pelargonium × hortorum Bailey) “Bullseye Scarlet”, a flowering plant, and coleus (Solenostemon scutellarioides (L.) Codd) “Chocolate Mint”, a foliage plant. Plants were grown in inert media (1:1 mixture of perlite and vermiculite) with complete nutrient solutions containing a range of P concentrations considered low (3 and 5 mg/L), intermediate (10 and 15 mg/L), and high (20 and 30 mg/L). Higher P rates logarithmically increased shoot and root dry mass of geranium and coleus plants regardless of the growth phase, but linearly enhanced flower dry mass of reproductive geranium plants resulting from the accelerated flower development. During the vegetative phase, the intermediate-P increased the shoot biomass production of geranium plants, but high-P was more effective for coleus plants. During the reproductive phase, however, the intermediate-P increased shoot biomass production of both geranium and coleus plants to the level achieved by high-P. The change from vegetative to reproductive phase increased the relative biomass to flowers, roots, and shoots of reproductive geranium plants and roots and shoots of reproductive coleus plants in decreasing orders, resulting in an increased root-to-shoot ratio. The P content of all plant parts showed a logarithmical increase with higher P rates for reproductive geranium plants but a linear increase for reproductive coleus plants. During the reproductive phase, a higher proportion of acquired P was allocated to flowers of low-P geranium plants than the roots of high-P coleus. Our results demonstrate that geranium plants require intermediate-P throughout the growth phases, while coleus plants require high-P during the vegetative phase and intermediate-P during the reproductive phase. P-use efficiency (PUE) ranged from 5 to 15% in high-P, which was improved with intermediate-P by 36 to 70%. To further improve PUE, the application method also needs to be taken into consideration such that the fertigation volume is reduced during the vegetative phase and increased before the reproductive phase.
1. Introduction
Excess nitrogen (N) and phosphorus (P) runoff from agricultural production sites are known to be major contributors to declining surface water quality resulting from eutrophication, a biological process that causes algal blooms [1]. Particularly, P accumulation in the lakes, rivers, and coastal drainages has generated national attention and concerns for a dwindling freshwater supply [2,3]. This situation is not only harmful to aquatic species, due to the depleted oxygen levels associated with excessive growth of algae, but also may pose detrimental health hazards on humans due to toxins released from dead algae [4]. While both N and P are required for algae growth, P cannot be fixed from the atmosphere, thus P is the key nutrient limiting eutrophication [1,5]. It is difficult to control dissolved P once it is released from greenhouse and nursery facilities because dissolved P is immediately bioavailable for algal bloom [6]. Therefore, it is critical to avoid using excess P fertilizers for crop production, and therefore mitigate serious environmental problems.
P is mostly obtained from ground rock phosphate after being mixed with sulfuric acid and then processed to produce mineral fertilizers. Existing rock phosphate reserves, which are non-renewable resources, could be exhausted in the next 50 to 100 years [7,8,9]. In addition, the quality of reserves is declining, and the cost of extraction, processing, and shipping is increasing [8,10,11,12]. One of the most efficient ways to avoid P waste is to apply the optimal rate of P fertilizer required for crop growth. However, the optimal P rate is largely unknown for most greenhouse crops, and therefore P fertilizer has been applied far in excess of what is required to achieve high crop productivity [13,14,15], with the application rate ranging from 90 to 150 mg/L [15]. P is often applied as a water-soluble fertilizer at each irrigation, but most P applied to the soilless substrates are drained as the leachate due to common cultural practices in these operations which include over-fertilization, excessive irrigation, and the use of soilless potting media with considerably less ability to retain P than mineral soils [15]. To minimize the environmental impact caused by these operations, P requirements of greenhouse crops should be determined.
Studies have demonstrated that some container-grown plants require only minimal amounts of P for optimal growth and that applications of high-P fertilizers do not promote either root or shoot growth [15,16]. Low-P increases the root-to-shoot ratios by allocating a greater dry matter to root overshoot growth [15,17,18], but a deficient level of P can limit plant growth. Only a few studies have reported the optimal P application rate, however, this was estimated based on the final biomass production. For example, the P application rate of 20 mg/L in irrigation water maximized the growth of greenhouse crops such as lantana, vinca, and new guinea impatiens [15,19]. P supply at 10 mg/L maximized the growth of woody plants such as Ilex crenata Thunb. cv. Helleri and Chamaecyparis lawsoniana Parl. [20,21]. Higher P rates over this range not only had little effects on increasing biomass production, but also increased P leaching from the substrates [15,22,23], of which concentrations can range from 30 to 300 mg/L in wastewater [24,25,26].
Optimal P promotes flower development but does not increase the flower number [15]. The transition from vegetative to reproductive phase is likely to affect P demand as the growth rate or the rate of biomass production increases and sink-source strength changes. However, P demand during the growth phases is largely unknown and has been demonstrated only in a limited number of studies [15,27], and there is no information on how such demand can be changed by different plant species having different expanding organs during the reproductive phase. For example, plants dominated by foliage growth during the reproductive phase may require different P levels as compared with those dominated by flowering.
The objectives of this study were to examine biomass and P accumulation and partitioning of geranium and coleus plants in response to P availability and to determine the optimal P concentration as affected by their growth phase. The two plant species were selected for their contrasting growth characteristics during their reproductive phase; geraniums and coleus of which growth are dominated by inflorescence formation and foliage development, respectively. This approach will allow more efficient use of P fertilizer based on the crop type and growth phase, contributing to more sustainable greenhouse crop production.
2. Materials and Methods
2.1. Plant Growth and Culture Methods
The following two plant species were chosen in this study: geranium (Pelargonium × hortorum Bailey) “Bullseye Scarlet”, a flowering plant, and coleus (Solenostemon scutellarioides (L.) Codd) “Chocolate Mint”, a foliage plant. Seeds of geranium (Ball Horticulture, West Chicago, IL, USA) and coleus (Burpee Seed Co., Warminster, PA, USA) were purchased from commercial sources and sown in cell plug trays (each cell: 2.5 × 2.5 × 4 cm) filled with a commercial germination mix (Conrad Fafard, Agawam, MA, USA). Each tray was covered with a clear plastic dome and provided with bottom heat to maintain substrate temperatures in the range of 22 to 24 °C and placed in a climate room under 150 μmol/m2/s using full-spectrum LEDs (320-W “VYPRx”, Fluence Bioengineering, Inc., Austin, TX, USA) for 18 h/day and irrigated as described by Kim et al. (2018) [28]. The air temperatures of the climate room were 21 ± 1 °C day/18 ± 1 °C night, and relative humidity were in ranges of 45% to 64%, respectively. Once the cotyledons had expanded fully, the seedlings were transferred to a glass-glazed greenhouse in West Lafayette, IN (lat. 40° N, long. 86° W) and grown under supplemental lighting using overhead high-pressure sodium (HPS) lamps (600-W, P.L. Light Systems Inc., Beamsville, ON, Canada) for 16 h photoperiod (9:00 to 1:00 h) until the first three to four leaves were formed. The seeds were initially imbibed with tap water followed by a half-strength fertilizer solution and full-strength fertilizer after seedlings developed true leaves [28]. The seedlings were irrigated as necessary with a combination of two water-soluble fertilizers (3:1 mixture of 15N–2.2P–12.5K Cal-Mag Special and 21N–2.2P–16.6K Multi-Purpose fertilizers, respectively; Everris NA Inc., Dublin, OH, USA). The fertilizer consisted of (mg/L) 150 nitrogen (N), 20 phosphorous (P), 122 potassium (K), 38 calcium (Ca), 15 magnesium (Mg), 0.8 iron (Fe), 0.4 manganese (Mn) and zinc (Zn), 0.2 copper (Cu) and boron (B), and 0.1 molybdenum (Mo). The recommended N rates for geranium and coleus are 100 to 300 and 150 to 300 mg/L, respectively [29]. Nitrate form was 76% of nitrogen provided. The pH for the fertilizer was 5.5 to 6.0. Uniform healthy seedlings were randomly chosen and transplanted into 15 cm plastic containers filled with a 1:1 (v/v) perlite and vermiculite mix.
The plants were grown in a glass-glazed greenhouse with exhaust fan and evaporative-pad cooling, radiant hot water heating, and retractable shade curtains controlled by an environmental computer (Maximizer Precision 10; Priva Computers, Vineland Station, ON, Canada). The average day and night temperatures were 24 ± 1 °C and 21 ± 1 °C, respectively, and the average day and night relative humidity were 55% ± 5% and 64% ± 5%, respectively. The photoperiod was 14 h (8:00 to 22:00 h) consisting of natural day lengths with supplemental lighting using high-pressure sodium (HPS) lamps. A supplemental photosynthetic photon flux (PPF) was measured using a quantum sensor (LI-250A light meter; LI-COR Biosciences, Lincoln, NE, USA) and was 153 ± 5 µmol/m2/s at canopy height. The average daily light integral (DLI) for both solar and supplemental lighting, was 14.6 mol/m2/d during the study period.
2.2. P Treatment
The P treatment consisted of the following 6 different levels: 0.1, 0.166, 0.335, 0.5, 0.665, and 1 mM (3, 5, 10, 15, 20, and 30 mg/L) using an aqueous solution of 0.5 mM KH2PO4 as final concentration. According to our previous findings [15], these concentrations were considered low (3 and 5 mg/L), intermediate (10 and 15 mg/L), and high (20 and 30 mg/L), respectively. All treatments contained the same amount of nutrients from half-strength modified Hoagland’s solution [30,31] consisting of 2.5 mM KNO3, 2.5 mM Ca(NO3)2·4H2O, 0.25 mM K2SO4, 1 mM MgSO4·7H2O, 80 μM Fe-EDTA, 4.5 μM MnCl2·4H2O, 0.3 μM ZnSO4·7H2O, 0.16 μM CuSO4·5H2O, 0.16 μM (NH4)6Mo7O24·4H2O, and 20 μM H3BO3 except KH2PO4. Plants of each treatment received fertilizer solution from its nutrient reservoir which was supplied by a submersible pump attached to the irrigation pipe that turned on and fertigated the plants based on the irrigation schedule. The pH was adjusted with KOH or H2SO4 if necessary, to maintain the pH at 6. Plants were fertigated once a day during the first 3 weeks and twice every day for the rest of the growing period.
2.3. Growth Measurements
The growth of plants was closely monitored during their production period. Plants were harvested at two different times, i.e., 3 weeks (vegetative phase) and 5 weeks (reproductive phase). Growth parameters including plant height (measured from the pot rim to the top of the tallest leaf), plant width (averaged from two perpendicular measurements), branch number (longer than 5 cm), and leaf number (longer than 3 cm) were measured weekly. For geranium plants, the number of inflorescences was counted from the third week after transplanting when each floret started to bloom. The number of open florets in each inflorescence was also counted. At the time of harvest, all growth parameters were recorded again. Inflorescence diameter was measured from two perpendicular measurements and averaged. Individual leaves longer than 3 cm were removed to measure leaf area with a LI-3100 Area Meter (Lincoln, NE, USA). Leave, stems, roots, and inflorescences were separately harvested and dried in an oven set at 75 °C until the samples were completely dry to weigh the dry mass. For coleus plants, data were recorded similarly as described above. Since coleus flowers formed on the terminal spiked stalks, it was not possible to separate flower spikes from the stems. Therefore, leaves and stems including flower spikes were separated from the roots and dried in an oven for dry mass measurements.
2.4. Root Characteristic Measurements
Roots were carefully harvested and rinsed before being scanned using a Epson Expression 110000XL (Epson, Long Beach, CA, USA) scanner. When the roots were small, entire roots were used for root scanning. The scanned images were, then, used to estimate root length, root average diameter, volume, surface area, and tips using WinRhizo Pro software (Regent Instrument Inc., Quebec City, QC, Canada). If the roots were too large to be scanned at one time, about one-tenth of the roots were sampled, scanned using the scanner, and analyzed for the root characteristics. The debris removal filter was set to discount objects less than 1 cm2 with a length/width ratio less than 4. After root images were taken, the roots were dried in an oven set at 75 °C until the samples were completely dry to weigh dry weight. The total root length, surface area, and volume were estimated by multiplying the root length, surface area, and volume of a subsample, respectively, by dry weight ratio of the scanned subsample and the total dry weight of the roots.
2.5. Total P Measurements
When preparing samples for P contents in plant parts, dry plant materials were ground to a particle size of 10 mesh with a Wiley mill (Thomas Scientific, Philadelphia, PA, USA) and about 0.07 g sample for each treatment was transferred into a 20 mL glass vial, then ashed in a muffle furnace at 495 °C for 8 h. Each sample was then added with 8 mL of 100 mM hydrochloric acid (100 mM HCl) and 1.6 mL reagent B (50 mL of reagent A + 12 mL distilled water + 0.264 g L ascorbic acid; 2 L reagent A: 12 g ammonium molybdate + 0.2908 g antimony potassium tartrate + 1 L 5 N sulfuric acids), then set for 30 min. Samples were diluted by 40-fold by adding Millipore-filtered water and added with a reagent liquid following the protocol of the colorimetric method for phosphorus analysis [32]. The total P content of each sample was analyzed by Epoch microplate spectrophotometer (BioTek Instruments, Inc., Winooski, VT, USA) at a wavelength of 880 nm. By calculating the slope of P standard solutions in the same spectrophotometer, P contents were quantified in each part of the plant. The total P content was calculated as the sum of the content of all plant parts.
2.6. Phosphorus Use Efficiency (PUE) Calculations
On the basis of the definition by Rose and Wissuwa (2012), PUE was calculated as the total dry biomass per the amount of P applied [33]. The PUE of plant parts was calculated by dry biomass of the individual part divided by the total amount of P applied. Similarly, the PUE of the whole plant was determined as the sum of dry biomass of all plant parts divided by the total amount of applied.
2.7. Experimental Design and Statistical Analysis
Treatments consisted of six P levels, two plant species, and two harvest times and were arranged in a completely randomized design with three replicates per each treatment. The experiment was repeated twice from March to September 2016. The block effect was not included in the data output since we observed consistent results from the two trials. Therefore, the data were pooled and analyzed with analysis of variance (ANOVA) using JMP® for Windows, Version 13.2 (SAS Institute Inc., Cary, NC, USA). Mean separation within each measured parameter was performed by Tukey’s honestly significant difference (HSD) test at p ≤ 0.05. Interaction effects among P level, plant species, and growth phase were tested using the standard least squares model. Regression analysis was carried out to look for trends in response to weeks after transplanting or P level.
3. Results
3.1. Plant Growth Responses to P Availability
P level, plant species, and growth phase had significant effects on plant growth parameters including plant height, plant width, branch number, leaf number, and leaf area (Figure 1 and Table 1). There were significant interactions among these factors for leaf number, but not other growth parameters. Higher P levels (intermediate-P and high-P) positively affected growth parameters of geranium and coleus plants regardless of the growth phase (Table 1). The number of leaves and total leaf area decreased considerably by low-P but maintained by intermediate-P similar to or lower than high-P in both species. Weekly measurements of growth parameters showed that the differences in the leaf number among P treatments started from two to three weeks and three to four weeks after transplanting in geraniums and coleus, respectively, while the differences in other growth parameters became more pronounced toward the end of production period (Figure 2).
Figure 1.
The effects of phosphorus (P) level on the growth of geranium and coleus plants at 3 and 5 weeks after P treatment.
Table 1.
The effects of P level on shoot growth parameters of geranium and coleus plants during the vegetative and reproductive phases.
Figure 2.
The effects of P level on weekly growth parameters of geranium and coleus plants. Each symbol is the mean of 6 replicates ± SE. The regression lines were fitted through the data, which were presented only for 3 mg/L in dotted line; 10 mg/L in dashed line and 20 mg/L in solid line to demonstrate clear comparisons. * 0.01 < p ≤ 0.05; ** 0.001 < p ≤ 0.01; *** p ≤ 0.001
In geranium plants, the growth of vegetative parts slowed down during the reproductive phase as demonstrated by gradual increases in plant height and width except for the number of leaves and flowers which increased exponentially (Figure 2c,d). Anthesis occurred between three and four weeks after transplanting in all P treatments (Figure 2d). While the number of inflorescences was not significantly different among P levels, the number of open florets was greater in high-P, leading to a larger inflorescence size (Table 1). In coleus plants, plant height and leaf number showed exponential increases by intermediate- and high-P. Leaf number of coleus increased to nearly twice the number of geraniums by the same P treatment (Figure 2c,g).
3.2. Plant Biomass Accumulation and Allocation in Response to P Availability
In general, the P level, plant species, and growth phase had significant effects on the whole plant, shoot, root, and flower dry mass (Table 2). P level and growth phase showed significant interactions for the whole plant and root dry mass. High-P significantly increased the total dry mass of both geranium and coleus plants regardless of the growth phase. The shoot and whole dry mass of geranium plants increased by both intermediate-P and high-P regardless of the growth phase, but inflorescence dry mass increased only by high-P. Meanwhile, the shoot and whole dry mass of coleus plants increased only by high-P during the vegetative phase, but by both intermediate-P and high-P during the reproductive phase. Root dry mass was not significantly different between intermediate-P and high-P treatments in both plant species (Table 2).
Table 2.
The effects of P level on dry biomass accumulation of whole plant, shoots, roots, and inflorescences in geranium and coleus plants during the vegetative and reproductive phases.
Shoot biomass production was increased to a similar extent to root biomass by high-P, and therefore the root-to-shoot ratio was not different among the P treatment. Root-to-shoot ratio significantly (p < 0.001) increased in reproductive plants as compared to vegetative plants (Table 2). The whole plant, shoot, and root dry mass increased logarithmically with increasing P rates regardless of the growth phase and plant species (Figure 3). The slope of the logarithmic curve for the whole plant was greater for reproductive plants than vegetative plants, indicating that reproductive plants accumulated greater biomass in response to higher P rates than did vegetative plants. Especially, higher P rates linearly increased flower dry mass of reproductive geranium plants.
Figure 3.
The effects of P level on dry biomass accumulation of geranium and coleus plants. Each symbol is the mean of 6 replicates ± SE. Solid lines indicate logarithmic fits to the respective data (p < 0.05). The regression lines were fitted through the data during the vegetative phase as shown in dashed line; and during the reproductive phase in solid line.
The root-to-shoot ratio of geranium plants tended to increase with low-P at 3 mg/L regardless of the growth phase (Figure 4A). Similarly, higher P increased proportionally both shoot and root dry mass of reproductive coleus plants without affecting the root-to-shoot ratio. A relative biomass allocation, as expressed in relative biomass (%) of each plant part to whole plant biomass, demonstrated that P levels ranging from 3 to 30 mg/L had little effect on biomass allocation pattern in both geranium and coleus plants regardless of the growth phase, although there was a trend of increasing root biomass allocation under lower P during vegetative growth.
Figure 4.
The effects of P level on (A) dry mass allocation (%) and (B) relative P content (%) of shoots, roots, and flowers in geranium and coleus plants during the vegetative (a,b) and reproductive (c,d) phases.
3.3. Plant Root Growth Responses
In general, the P level, plant species, and growth phase had significant (p < 0.001) effects on total root length, surface area, and root volume (Table 3). There were significant interactions among the P level, plant species, and growth phase on the root growth parameters. In general, higher P levels increased or tended to increase these root parameters in both species regardless of the growth phase. For example, high-P increased nearly two- and four-times the root length of geranium and coleus plants, respectively, during the reproductive phase relative to the vegetative phase. Regardless of the plant species, root diameter was not affected by the P treatment during the vegetative phase but increased by high-P and intermediate-P during the reproductive phase. The root-to-leaf area was significantly (p < 0.001) higher in coleus than in geranium regardless of the growth phase.
Table 3.
The effects of P level on root growth parameters of geranium and coleus plants during the vegetative and reproductive phases.
3.4. Plant P Content and Concentration and Allocation in Response to P Availability
There were significant interactions among the P level, plant species, and growth phase on P content and concentration in the whole plant, shoots, roots, and flowers (Table 4). In general, higher P levels increased P content and concentration in all plant parts of geranium and coleus plants during the vegetative and reproductive phases. The whole plant P content of reproductive geranium and coleus plants was nearly 2.5- and 2.7-times, respectively, higher than that of vegetative counterparts. P concentration in shoots was reduced in reproductive plants as compared with vegetative plants. However, high-P significantly increased P concentration in the roots of reproductive coleus plants as compared with those in low-P and intermediate-P, resulting in a significantly higher P concentration in the whole plant (Table 4).
Table 4.
The effects of P level on P content, concentration, and P-use efficiency (PUE) of whole plant, shoots, roots and flowers in geranium and coleus plants during the vegetative and reproductive phases.
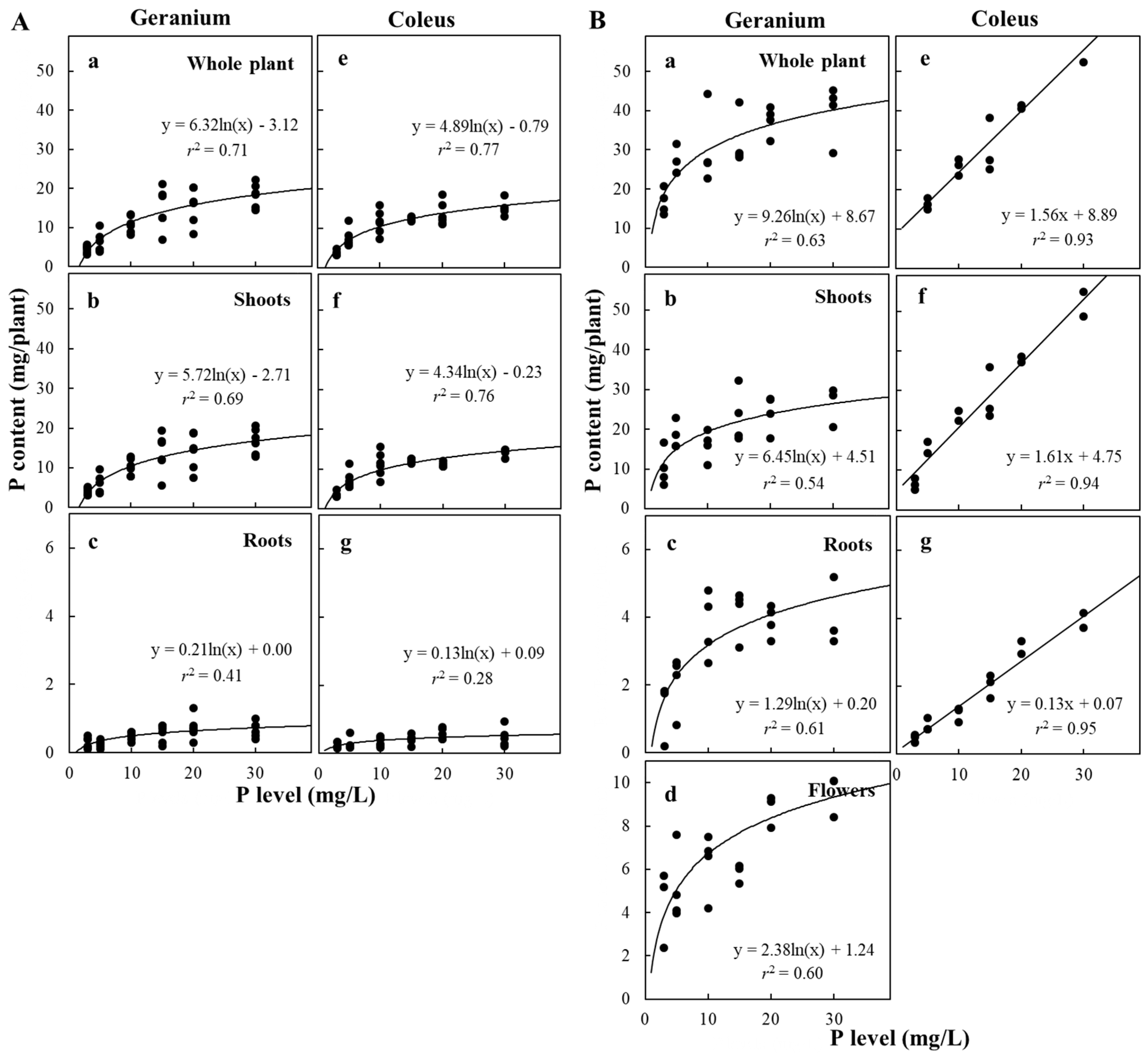
During the vegetative phase, the P content of both plant species increased logarithmically with increasing P levels (Figure 5A). This trend was maintained in reproductive geranium plants, however, the P content of reproductive coleus plants linearly increased with increasing P rates in both shoots and roots (Figure 5B). The P partitioning pattern was significantly different between geraniums and coleus plants (Figure 4B). A relative P content, as expressed in percentage of tissue P content to total P content, showed that vegetative plants contained over 90% P in shoots regardless of P availability (Figure 4B). Even during the reproductive phase, a significantly higher proportion of P was contained in the above-ground parts regardless of P levels, plant species, and growth phase. However, low-P at 3 mg/L tended to increase P partitioning of reproductive geranium plants toward flowers relative to other plant parts (Figure 4Bc). Contrarily, P partitioning of reproductive coleus plants tended to increase toward roots by high-P at 30 mg/L (Figure 4Bd).
Figure 5.
The effects of P level on P content in whole plant (a,e), shoots (b,f), roots (c,g), and flowers (d) of geranium and coleus plants during the vegetative (A) and reproductive (B) phases. Solid lines indicate logarithmic or linear fits to the respective data (p < 0.05).
There were interactions among P level, plant species, and growth phase in PUE (Table 4). In both plant species, PUE was low for all P treatments ranging from 5 to 24%. High-P treatment had the lowest PUE regardless of the plant growth phase, but intermediate-P improved PUE of vegetative and reproductive plants by 36 to 70% as compared with high-P. Especially, reproductive coleus plants had significantly (p < 0.001) higher PUE than did vegetative coleus plants. Intermediate-P increased PUE of reproductive coleus plants to the level of low-P.
4. Discussion
4.1. Biomass Accumulation and Partitioning Are Influenced by P Level, Plant Species, and Growth Phase
Biomass allocation is a fundamental process of plant responses to limited resources [34], however, plant allocation responses to P availability remains poorly addressed, especially in greenhouse crops. Plant biomass and P partitioning can be influenced by the major organ for expansion, growth phase, and P availability. This is because the expanding organ during the reproductive phase such as leaves and flowers can affect sink-source strength, and therefore is likely to affect biomass and P allocation among the plant parts. In a previous study, we demonstrated that P deficiency reduces vegetative growth more drastically than reproductive growth in flowering lantana (Lantana camara “New Gold”) plants and a prolonged P deficiency during the vegetative phase can have an accumulative effect on the growth and partitioning in the later stage of growth [15]. To consolidate the findings, we examined two plant species, geraniums and coleus, for their contrasting characteristics during the reproductive phase and, in both plant species, blossom is a sign of developmental transition from vegetative to reproductive phase.
We demonstrated in this study that plant biomass and P accumulation and partitioning are affected by P level, plant species, and growth phase. In both geraniums and coleus plants, total biomass increased to a greater extent after anthesis in all P treatments and this ontogenetic shift was accompanied by increased production of root biomass, resulting in a greater root-to-shoot ratio during the reproductive phase. A relative biomass allocation was the highest in shoots, flowers, and roots for geranium plants and shoots and roots for coleus plants. This higher allocation to shoots appears to be the common pattern for annual herbaceous plants, but the opposite allocation pattern is common for woody species [34]. Meanwhile, the root-to-shoot ratio was not affected by the growth phase but only by P level in lantana [15] and was greater in lantana as compared with geranium and coleus plants at both growth phases regardless of P levels. Allocation to roots occurred very early in ontogeny for annual plants, Abutilon theophrasti Medic. and Chenopodium album L., when these species were grown under continuous nutrient regimes, after which the relative growth of shoot exceeded that of roots in low-nutrient grown plants as compared with their high-nutrient counterparts [35]. Therefore, these results support our view that the relative partitioning of roots to shoots is controlled by nutrient availability, developmental stage, and plant species.
We also found that the biomass production and P partitioning pattern of plant species are largely dependent on the P availability and plant growth phase. For example, low-P availability most negatively affected leaf number, area, and thus shoot biomass accumulation (Table 1 and Table 2). This reduction in leaf production is likely to influence the production of photosynthates and partitioning to a strong sink during the reproductive phase [36]. Recent proteome analysis in maize demonstrated that the reduction in photosynthesis under low-P treatment was due to the downregulation of the proteins involved in CO2 enrichment, the Calvin cycle, and the electron transport system, and this resulted in a large accumulation of peroxides, triggering reactive oxygen species (ROS) scavenging mechanisms to cope with low P stress [37]. In fact, the plants grown with low-P in our study did not develop P-deficiency symptoms characterized by stunted growth and purple leaves, but rather showed healthy appearance but reduced size of plants. P levels higher than 3 mg/L proportionally increased root growth relative to shoot growth without affecting the biomass allocation pattern in both plant species. A large increase in root allocation commonly occurs when nutrients are limiting which comes primarily at the expense of leaf biomass. Therefore, low-P employed in our study is considered not a deficient level, and the optimal P level can be specifically designed depending on plant species and growth phase.
We demonstrated that root morphological characteristics of geranium and coleus plants were altered by P availability. Although decreasing P rate reduced root biomass, it also reduced root diameter positively correlated with a higher PUE (r2 = 0.35 and 0.48, respectively). It is well recognized that low-P availability alters root architectural traits to favor efficient P uptake under P limiting conditions [38], which include increased lateral root density and length and reduced root diameter. Although the evidence is scarce in greenhouse crops and we did not examine how P availability affected root architecture due to the massive root growth, the reduced root length and diameter observed in this pot study suggest that the root system was modified as a result of P availability leading to a higher P uptake per unit of root length or mass.
Regardless of the P level and growth phase, both plant species allocated a greater biomass to shoots than to roots (Figure 4 A), however, relative biomass allocation to the roots and flowers increased during the reproductive phase as compared to during the vegetative phase. Vegetative shoots, flowers, and roots of reproductive geranium plants accounted for nearly 64%, 25%, and 11% of the total dry mass, respectively, and vegetative shoots and roots of coleus plants accounted for nearly 90% and 10% of the total dry mass, respectively. As such, our study provides evidence to support not only the suggestion of changes in the source-sink relationships during the phase transition but also the plant species-dependent allocation pattern. Similarly, in a study using buffered-P to provide root zone with a constant P level, Hansen and Lynch (1998) found that reproductive chrysanthemum plants showed a higher commitment of the whole plant to the production of developing flowers than to leaves and roots, whereas vegetative plants had a higher commitment to the production of leaves. However, it was demonstrated in their study that the allocation to the roots increased during the reproductive phase although this aspect was not discussed in their study. Our results indicate that roots function as strong sinks in reproductive geranium and coleus plants, which may be an important characteristic to support continuously developing shoots during the reproductive phase. It also implies that a nutrient uptake rate of older and larger roots may be less efficient relative to the function of the leaves [39].
4.2. Phosphorus Accumulation and Partitioning Are Influenced by P Level, Plant Species, and Growth Phase
Consistently, the P partitioning of plant organs was increased during the reproductive phase as compared with the vegetative phase and most of the P acquired by the plants was assimilated to the shoots. This P partitioning pattern was affected not only by P availability but also by plant species and growth phase (Figure 4B). During the vegetative phase, P deficient geranium and coleus plants (3 mg/L) tended to allocate or allocated more P toward roots. This seems to be a typical response to low-P as observed in chrysanthemum plants, soybean, and spring wheat [27,36,40]. In other words, vegetative plants tended to allocate more P to shoots when P is not deficient (Figure 4B). During the reproductive phase, however, P deficient geranium plants allocated nearly 30% P toward flowers primarily at the cost of shoot P, but coleus at high-P (30 mg/L) accumulated excess P in the roots. In fact, the roots are considered less competitive sinks than developing flowers during the reproductive growth phase in some plants [27,41,42]. However, it should be noted that reproductive shoots of geranium and coleus plants allocated not only the highest relative dry mass but also the highest level of relative P regardless of P availability to support continuously developing leaves. These results indicate that the leaves of reproductive plants remained as a relatively strong sink for P regardless of the growth phase. It appears that increasing P allocation to flowers is of primary importance under low-P for reproductive geranium plants to ensure reproductive success, however, increasing P allocation to roots of reproductive coleus plants indicates that excess P is stored primarily in the roots. Although direct evidence is missing to support this notion, it was reported that P deficient olive trees had higher pollen viability and accumulated carbohydrates in inflorescences at levels comparable to or higher than trees that received high-P despite having significantly impaired assimilation rate [43]. Furthermore, the shoot P concentration of reproductive coleus plants was lower than that of vegetative ones despite the higher P uptake (Table 4), suggesting that lower tissue P concentration of reproductive coleus plants resulted from P dilution due to the accumulation of new biomass from the faster growth rate and greater leaf expansion [44].
Redistribution of P is a quantitatively important P source for growth at later stages of plant development, and plants tend to remobilize over 50% of P from senescing leaves [27,45], especially under low-P availability. In cereal crops, P required for grain development derives from two sources, directly from plant roots and remobilization of P stored in vegetative parts prior to anthesis [46,47,48]. However, the potential P benefit from remobilization is very small for vegetative plants in the exponential growth phase as the proportion of senescing tissues are much smaller relative to growing tissues, for which P uptake by roots is by far the most important P source [49]. Geranium plants allocated 30% higher biomass and P toward roots during the reproductive phase relative to the vegetative phase. However, this biomass and P allocation to roots increased by over 100% in coleus plants in association with their active foliage production and expansion, which dominated during their reproductive growth. This observation coincides with the typical allocation strategy for vegetative plants to facilitate resource acquisition in the soil profile in support of rapid shoot growth.
4.3. Optimal P Rate of Geranium and Coleus Plants Is Varied by the Growth Phase
In this study, we reported that vegetative geranium and coleus plants require a different level of P for their optimal growth. Both intermediate-P and high-P treatments had similar increasing effects on shoot biomass production for vegetative geranium plants, but high-P was more effective for vegetative coleus plants than intermediate-P. Meanwhile, intermediate-P increased shoot biomass production of both reproductive geranium and coleus plants to the level achieved by high-P (Table 2). These results imply that a higher P supply improves the early growth of coleus but there are no benefits from applying beyond the intermediate-P during the reproductive phase. These results are consistent with our previous findings that P is critical during the vegetative phase as reduced P restricts plant growth during both vegetative and reproductive growth, but more prominently during the early stage of growth [15]. Therefore, coleus plants require high-P (20 to 30 mg/L) during the vegetative phase and intermediate-P (10 to 15 mg/L) during the reproductive phase, while geranium plants require intermediate-P throughout the growth phases.
However, there were major differences between intermediate-P and high-P in flower production of geranium plants. Although P level did not affect the number of inflorescences, intermediate-P reduced flower dry mass as compared with high-P resulting from a lower number of open florets in each inflorescence and a smaller inflorescence diameter. Our findings support the view that low P availability delays flower development, and thus tends to reduce the size and fullness of the inflorescence, possibly as a result of the reduced number of floret buds. Such phenological delay may be associated with temporal resource remobilization under limited resources to increase reproductive success [50]. Consistent with our previous report, our current findings confirm that high-P promotes flower development without enhancing flower production [15].
The rapid biomass production of both reproductive geranium and coleus plants led to the higher PUE during the reproductive phase as compared to during the vegetative phase. The major reason for a lower PUE during the vegetative phase is because the plants exhibited slower growth for one to two weeks followed by transplanting in soilless substrates and then resumed their growth, rapidly increasing plant size and leaf number and area (Table 1 and Figure 2). The typical growth lag after transplanting is considered due to transplanting stress resulting from the disturbance of the root system at the soil-root interface prior to the establishment of root systems [18]. Therefore, the volume of fertigation can be reduced during the lag phase to enhance PUE and minimize P waste. It should be noted that both reproductive geranium and coleus plants continued to produce shoots and roots even during the reproductive phase. This indicates that reproductive plants use P more efficiently to support the growth of new vegetative tissues and rapidly developing reproductive tissues while maintaining existing structures. Indeed, PUE of reproductive plants was significantly higher than that of vegetative plants (Table 4). Intermediate-P was found to be sufficient to increase plant biomass without increasing P concentration.
Estimates of the overall efficiency of applied fertilizer have been reported for some field crop species, which was about or lower than 10% for P [51]. Rarely is more than 25% of the applied P taken up by the plants [52], indicating that improvement in the PUE is needed. PUE in this study was in ranges of 5 to 15% when high-P was applied via daily fertigation, and this was increased to the ranges of 9 to 20% by intermediate-P. However, this PUE is very low compared to the ranges of 27 to 62% reported for containerized nursery crop [53,54,55] where pine bark-based substrate was used with controlled-release fertilizer as a major source of P. The primary reason for our low PUE is because we used inert media with a relatively higher volume of irrigation following greenhouse production practices. The P application rate can be further lowered if the substrates containing native P are used for crop production.
On the basis of our findings that PUE was lower during the vegetative phase, we suggest that the irrigation volume should be reduced for the first two weeks after transplanting and then gradually increased before the reproductive phase to support biomass production and achieve a higher PUE for crop production. We also suggest that the P application rate should consider an individual plant’s biomass accumulation pattern to maximize PUE. Future study needs closer scrutiny to suggest practical solutions to increase PUE for greenhouse crop production, which may be achieved by effective fertigation and proper substrate selection in combination with intermediate-P application rates.
5. Conclusions
We demonstrated, in this study, that biomass and phosphorus (P) accumulation and partitioning are affected by P availability, plant species, and growth phases. The practical implications of this study are considered for P management practices that intermediate-P (10 to 15 mg/L) and high-P (20 to 30 mg/L) can be fertigated during seedling establishment of geranium and coleus plants, respectively, with less irrigation volume, and then the volume can be increased with intermediate-P for a couple of weeks before the reproductive phase. This practice will provide sufficient P for the continued vegetative shoot and root growth of reproductive plants and flower development in geranium plants. Our results indicate that not only the application of the optimal P rate but also the fertigation volume need to be taken into consideration to improve PUE. Considering that we used inert media for this study, P levels can be even lowered if the substrates containing native P are used. Applying an optimal rate of P fertilizer represents a simple and effective strategy to address environmental issues associated with wastewater discharge from greenhouse operations.
Author Contributions
J.Z. conducted experiment, collected data, undertook data analysis and interpretation, and drafted the manuscript; S.C. conducted experiment, collected data, assisted in data analysis and interpretation, and contributed to the manuscript; J.F. contributed to manuscript development; H.-J.K. coordinated and supervised the research, performed critical revisions, and completed the final version of the manuscript.
Acknowledgments
The authors gratefully acknowledge Robert Eddy and Michael Russell for their technical support in the greenhouse. This research was supported by the United States Department of Agriculture (USDA) National Institute of Food and Agriculture (NIFA), and the Multistate Hatch project NE 1835 Resource Optimization in Controlled Environment Agriculture.
Conflicts of Interest
The authors declare that they have no conflict of interest.
Data Availability
The data that support the findings of this study are available from the corresponding author, H.K., upon reasonable request.
References
- Correll, D.L. Phosphorus: A rate limiting nutrient in surface waters. Poult. Sci. 1999, 78, 674–682. [Google Scholar] [CrossRef] [PubMed]
- Carpenter, S.R.; Caraco, N.F.; Correll, D.L.; Howarth, R.W.; Sharpley, A.N.; Smith, V.H. Nonpoint pollution of surface waters with phosphorus and nitrogen. Ecol. Appl. 1998, 8, 559–568. [Google Scholar] [CrossRef]
- Gburek, W.J.; Sharpley, A.N. Hydrologic controls on phosphorus loss from upland agricultural watersheds. J. Environ. Qual. 1998, 27, 267–277. [Google Scholar] [CrossRef]
- Daniel, T.C.; Sharpley, A.N.; Lemunyon, J.L. Agricultural phosphorus and eutrophication: A symposium overview. J. Environ. Qual. 1998, 27, 251–257. [Google Scholar] [CrossRef]
- Schindler, D.W.; Hecky, R.E.; Findlay, D.L.; Stainton, M.P.; Parker, B.R.; Paterson, M.J.; Beaty, K.G.; Lyng, M.; Kasian, S.E.M. Eutrophication of lakes cannot be controlled by reducing nitrogen input: Results of a 37-year whole-ecosystem experiment. Proc. Natl. Acad. Sci. USA 2008, 105, 11254–11258. [Google Scholar] [CrossRef] [PubMed]
- Penn, C.; Bowen, J.; McGrath, J.; Nairn, R.; Fox, G.; Brown, G.; Wilson, S.; Gill, C. Evaluation of a universal flow-through model for predicting and designing phosphorus removal structures. Chemosphere 2016, 151, 345–355. [Google Scholar] [CrossRef]
- Steen, I. Phosphorus availability in the 21st Century: Management of a non-renewable resource. Phosphorus Potassium 1998, 217, 25–31. [Google Scholar]
- Smil, V. Phosphorus in the environment: Natural flows and human interferences. Annu. Rev. Energy Environ. 2000, 25, 53–88. [Google Scholar] [CrossRef]
- Cordell, D.; Drangert, J.-O.; White, S. The story of phosphorus: Global food security and food for thought. Glob. Environ. Chang.-Hum. Policy Dimens. 2009, 19, 292–305. [Google Scholar] [CrossRef]
- Driver, J. Phosphates recovery for recycling from sewage and animal waste. Phosphorus Potassium 1998, 216, 17–21. [Google Scholar]
- EcoSanRes. Closing the Loop on Phosphorus; EcoSanRes Factsheet; Stockholm Environment Institute (SEI): Stockholm, Sweden, 2008; Available online: http://www.ecosanres.org/pdf_files/Fact_sheets/ESR4lowres.pdf (accessed on 21 November 2019).
- Cordell, D.; White, S. Peak phosphorus: Clarifying the key issues of a vigorous debate about long-term phosphorus security. Sustainability 2011, 3, 2027–2049. [Google Scholar] [CrossRef]
- Warncke, D.D.; Kraukopf, D.M. Greenhouse Growth Media: Testing & Nutrition Guidelines; MSU Ag Facts Extension Bulletin E-1736; Michigan State University: East Lansing, MI, USA, 1983; Available online: https://archive.lib.msu.edu/DMC/extension_publications/e1736/e1736-1983.pdf (accessed on 21 November 2019).
- Bailey, D.A.; Nelson, P.V. Designing a Greenhouse Crop Fertilization Program; Department of Horticultural Sciences, North Carolina State University: Raleigh, NC, USA, 2004; Available online: http://www.ces.ncsu.edu/depts/hort/floriculture/plugs/fertprog.pdf (accessed on 21 November 2019).
- Kim, H.J.; Li, X.X. Effects of Phosphorus on Shoot and Root Growth, Partitioning, and Phosphorus Utilization Efficiency in Lantana. Hortscience 2016, 51, 1001–1009. [Google Scholar] [CrossRef]
- Broschat, T.K.; Klock-Moore, K.A. Root and shoot growth responses to phosphate fertilization in container-grown plants. HortTechnology 2000, 10, 765–767. [Google Scholar] [CrossRef]
- Lynch, J.P.; Lauchli, A.; Epstein, E. Vegetative growth of the common bean in response to phosphorus-nutrition. Crop Sci. 1991, 31, 380–387. [Google Scholar] [CrossRef]
- Kim, H.J.; Lynch, J.P.; Brown, K.M. Ethylene insensitivity impedes a subset of responses to phosphorus deficiency in tomato and petunia. Plant Cell Environ. 2008, 31, 1744–1755. [Google Scholar] [CrossRef] [PubMed]
- Whitcher, C.L.; Kent, M.W.; Reed, D.W. Phosphorus concentration affects new guinea impatiens and vinca in recirculating subirrigation. Hortscience 2005, 40, 2047–2051. [Google Scholar] [CrossRef]
- Van der Boon, J. A slow-release fertilizer for nursery plants in container. Acta Hortic. 1981, 126, 321–348. [Google Scholar] [CrossRef]
- Yeager, T.H.; Wright, R.D. Phosphorus requirement of Ilex crenata thunb cv Helleri grown in a pine bark medium. J. Am. Soc. Hortic. Sci. 1982, 107, 558–562. [Google Scholar]
- Ristvey, A.G.; Lea-Cox, J.D.; Ross, D.S. Nitrogren and phosphorus uptake efficiency and partitioning of container-grown Azalea during spring growth. J. Am. Soc. Hortic. Sci. 2007, 132, 563–571. [Google Scholar] [CrossRef]
- Shreckhise, J.H.; Owen, J.S.; Niemiera, A.X. Growth response of three containerized woody plant taxa to varying low phosphorus fertilizer concentrations. Hortscience 2018, 53, 628–637. [Google Scholar] [CrossRef]
- Gagnon, V.; Maltais-Landry, G.; Puigagut, J.; Chazarenc, F.; Brisson, J. Treatment of hydroponics wastewater using constructed wetlands in winter conditions. Water Air Soil Pollut. 2010, 212, 483–490. [Google Scholar] [CrossRef]
- Park, J.B.K.; Craggs, R.J.; Sukias, J.P.S. Treatment of hydroponic wastewater by denitrification filters using plant prunings as the organic carbon source. Bioresour. Technol. 2008, 99, 2711–2716. [Google Scholar] [CrossRef] [PubMed]
- Prystay, W.; Lo, K.V. Treatment of greenhouse wastewater using constructed wetlands. J. Environ. Sci. Health Part B-Pestic. Food Contam. Agric. Wastes 2001, 36, 341–353. [Google Scholar] [CrossRef] [PubMed]
- Hansen, C.W.; Lynch, J. Response to phosphorus availability during vegetative and reproductive growth of chrysanthemum: II. Biomass and phosphorus dynamics. J. Am. Soc. Hortic. Sci. 1998, 123, 223–229. [Google Scholar] [CrossRef]
- Kim, H.J.; Yang, T.; Lin, M.Y.; Langenhoven, P. Plant propagation for successful hydroponic production. Acta Hortic. 2018, 109–116. [Google Scholar] [CrossRef]
- Nau, J. Ball Redbook Volume 2 Crop Production, 18th ed.; Ball Publishing: Batavia, IL, USA, 2011. [Google Scholar]
- Epstein, E.; Bloom, A.J. Mineral nutrition of plants: Principles and perspectives. In Mineral Nutrition of Plants Principles and Perspectives, 2nd ed.; Sinauer Associates: Sunderland, MA, USA, 2005. [Google Scholar]
- Hoagland, D.R.; Arnon, D.I. The water-culture method for growing plants without soil. Circ. Calif. Agric. Exp. Stn. 1950, 347–353. [Google Scholar]
- Murphy, J.; Riley, J.P. A modified single solution method for determination of phosphate in natural waters. Anal. Chim. Acta 1962, 26, 31–36. [Google Scholar] [CrossRef]
- Rose, T.J.; Wissuwa, M. Rethinking internal phosphorus utilization efficiency: A new approach is needed to improve pue in grain crops. In Advances in Agronomy; Sparks, D.L., Ed.; Academic Press: Cambridge, MA, USA, 2012; Volume 116, pp. 185–217. [Google Scholar]
- Poorter, H.; Niklas, K.J.; Reich, P.B.; Oleksyn, J.; Poot, P.; Mommer, L. Biomass allocation to leaves, stems and roots: Meta-analyses of interspecific variation and environmental control. New Phytol. 2012, 193, 30–50. [Google Scholar] [CrossRef]
- Gedroc, J.J.; McConnaughay, K.D.M.; Coleman, J.S. Plasticity in root/shoot partitioning: Optimal, ontogenetic, or both? Funct. Ecol. 1996, 10, 44–50. [Google Scholar] [CrossRef]
- Fredeen, A.L.; Rao, I.M.; Terry, N. Influence of phosphorus-nutrition on growth and carbon partitioning in Glycine max. Plant Physiol. 1989, 89, 225–230. [Google Scholar] [CrossRef]
- Zhang, K.; Liu, H.; Tao, P.; Chen, H. Comparative proteomic analyses provide new insights into low phosphorus stress responses in maize leaves. PLoS ONE 2014, 9, e98215. [Google Scholar] [CrossRef] [PubMed]
- Lynch, J.P. Root phenes for enhanced soil exploration and phosphorus acquisition: Tools for future crops. Plant Physiol. 2011, 156, 1040–1049. [Google Scholar] [CrossRef] [PubMed]
- Shipley, B.M.; Meziane, D. The balanced-growth hypothesis and the allometry of leaf and root biomass allocation. Funct. Ecol. 2002, 16, 326–331. [Google Scholar] [CrossRef]
- Elliott, D.E.; Reuter, D.J.; Reddy, G.D.; Abbott, R.J. Phosphorus nutrition of spring wheat (Triticum aestivum L.). 1. Effects of phosphorus supply on plant symptoms, yield, components of yield, and plant phosphorus uptake. Aust. J. Agric. Res. 1997, 48, 855–867. [Google Scholar] [CrossRef]
- Hood, T.M.; Mills, H.A.; Thomas, P.A. Developmental stage affects nutrient uptake by four snapdragon cultivars. Hortscience 1993, 28, 1008–1010. [Google Scholar] [CrossRef]
- Kallarackal, J.; Milburn, J.A. Respiration and phloem translocation in the roots of chickpea (Cicer arietinum). Ann. Bot. 1985, 56, 211–218. [Google Scholar] [CrossRef]
- Erei, R.; Yermiyahu, U.; Yasuor, H.; Cohen Chamus, D.; Schwartz, A.; Ben-Gal, A.; Dag, A. Phosphorus nutritional level, carbohydrate reserves and flower quality in olives. PLoS ONE 2016, 11, e0167591. [Google Scholar] [CrossRef]
- Williams, R.F. The effects of phosphorus supply on the rates of intake of phosphorus and nitrogen and upon certain aspects of phosphorus metabolism in gramineous plants. Aust. J. Sci. Res. Ser. B-Biol. Sci. 1948, 1, 333–361. [Google Scholar] [CrossRef]
- Aerts, R. Nutrient resorption from senescing leaves of perennials: Are there general patterns? J. Ecol. 1996, 84, 597–608. [Google Scholar] [CrossRef]
- Santiveri, F.; Royo, C.; Romagosa, I. Growth and yield responses of spring and winter triticale cultivated under Mediterranean conditions. Eur. J. Agron. 2004, 20, 281–292. [Google Scholar] [CrossRef]
- Rose, T.J.; Rengel, Z.; Ma, Q.; Bowden, J.W. Differential accumulation patterns of phosphorus and potassium by canola cuffivars compared to wheat. J. Plant Nutr. Soil Sci.-Z. Pflanzenernahr. Bodenkd. 2007, 170, 404–411. [Google Scholar] [CrossRef]
- Julia, C.; Wissuwa, M.; Kretzshmar, T.; Jeong, K.; Rose, T. Phosphorus uptake, partitioning and redistribution during grain filling in rice. Ann. Bot. 2016, 118, 1151–1162. [Google Scholar] [CrossRef] [PubMed][Green Version]
- Veneklaas, E.J.; Lambers, H.; Bragg, J.; Finnegan, P.M.; Lovelock, C.E.; Plaxton, W.C.; Price, C.A.; Scheible, W.R.; Shane, M.W.; White, P.J.; et al. Opportunities for improving phosphorus-use efficiency in crop plants. New Phytol. 2012, 195, 306–320. [Google Scholar] [CrossRef] [PubMed]
- Lynch, J.P.; Brown, K.M. Whole plant adaptations to low phosphorus availability. In Plant-Environment Interactions; Huang, B., Ed.; Taylor & Francis: Boca Raton, FL, USA, 2006; pp. 209–242. [Google Scholar]
- Baligar, V.C.; Fageria, N.K.; He, Z.L. Nutrient use efficiency in plants. Commun. Soil Sci. Plant Anal. 2001, 32, 921–950. [Google Scholar] [CrossRef]
- Syers, J.K.; Johnston, A.E.; Curtin, D. Efficiency of Soil and Fertilizer Phosphorus Use: Reconciling Changing Concepts of Soil Phosphorus Behaviour with Agronomic Information; FAO Fertilizer and Plant Nutrition Bulletin; Food and Agriculture Organization of the United Nations (FAO): Rome, Italy, 2008; Volume 18. [Google Scholar]
- Warren, S.L.; Bilderback, T.E.; Tyler, H.H. Efficacy of three nitrogen and phosphorus sources in container-grown azalea production. J. Environ. Hortic. 1995, 13, 147–151. [Google Scholar]
- Tyler, H.H.; Warren, S.L.; Bilderback, T.E. Reduced leaching fractions improve irrigation use efficiency and nutrient efficacy. J. Environ. Hortic. 1996, 14, 199–204. [Google Scholar]
- Owen, J.S., Jr.; Warren, S.L.; Bilderback, T.E.; Albano, J.P. Phosphorus rate, leaching fraction, and substrate influence on influent quantity, effluent nutrient content, and response of a containerized woody ornamental crop. Hortscience 2008, 43, 906–912. [Google Scholar] [CrossRef]
© 2019 by the authors. Licensee MDPI, Basel, Switzerland. This article is an open access article distributed under the terms and conditions of the Creative Commons Attribution (CC BY) license (http://creativecommons.org/licenses/by/4.0/).




