Linking Soil Carbon Fractions to Tea Antioxidant and Quality: Impact of Biochar and Biogas Slurry Applications
Abstract
1. Introduction
2. Materials and Methods
2.1. Test Materials
2.2. Experimental Design
2.3. Sample Collection
2.4. Measurement Items and Methods
2.5. Data Processing and Statistical Analyses
3. Results
3.1. Soil Organic Carbon Fractions Changes with Biogas Slurry and Biochar Application
3.1.1. Content of Soil Organic Carbon
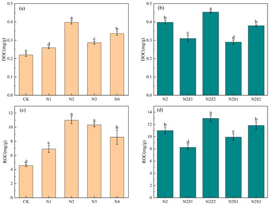
3.1.2. Content of Soil Active Organic Carbon Components
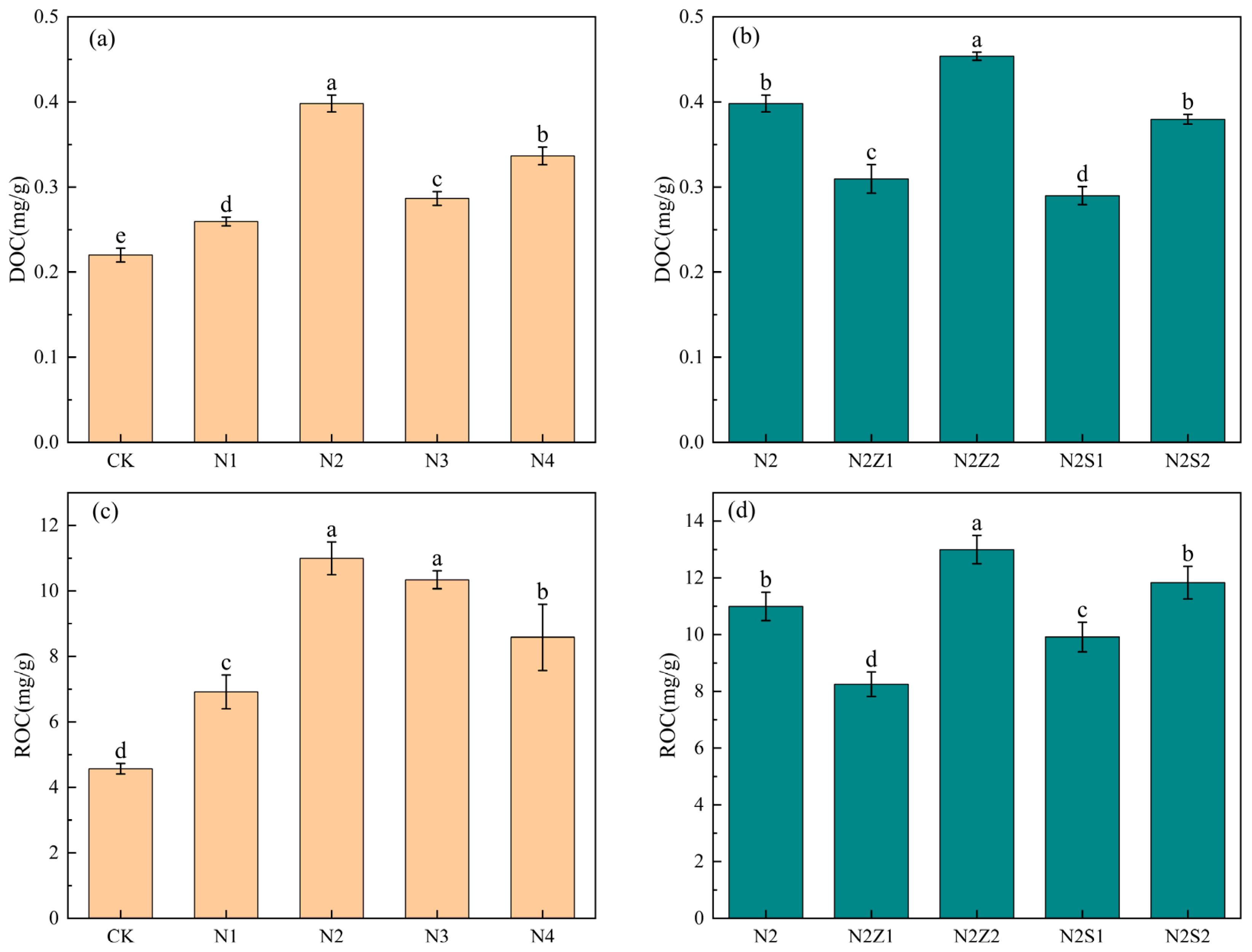
3.1.3. Content of Particle Size of Organic Carbon
3.1.4. Content of Soil Microbial Carbon
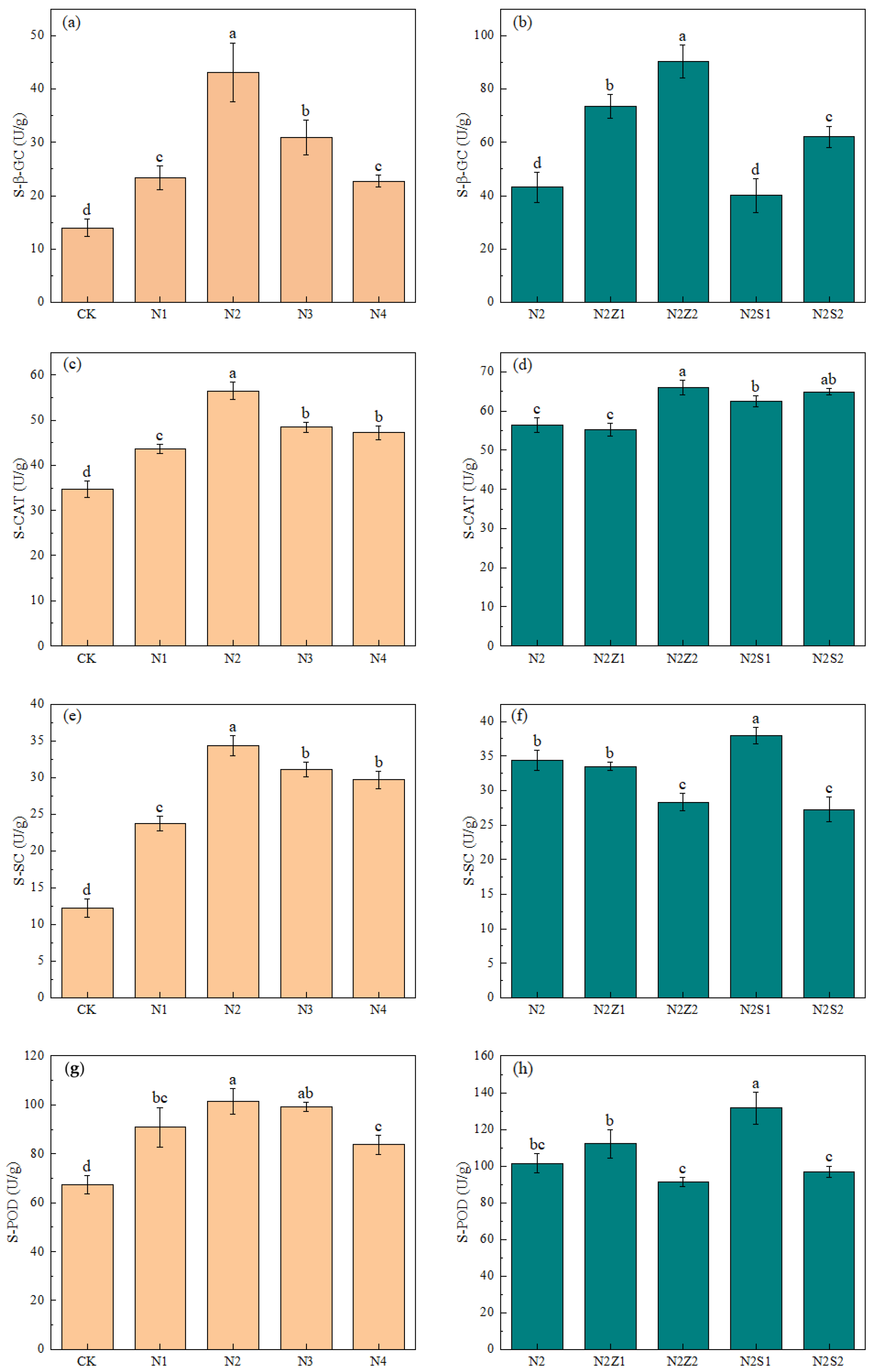
3.2. Soil Carbon-Related Enzyme Activities Change with Biogas Slurry and Biochar Application
3.3. Tea Quality and Antioxidant Properties
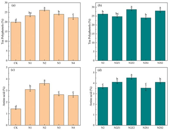
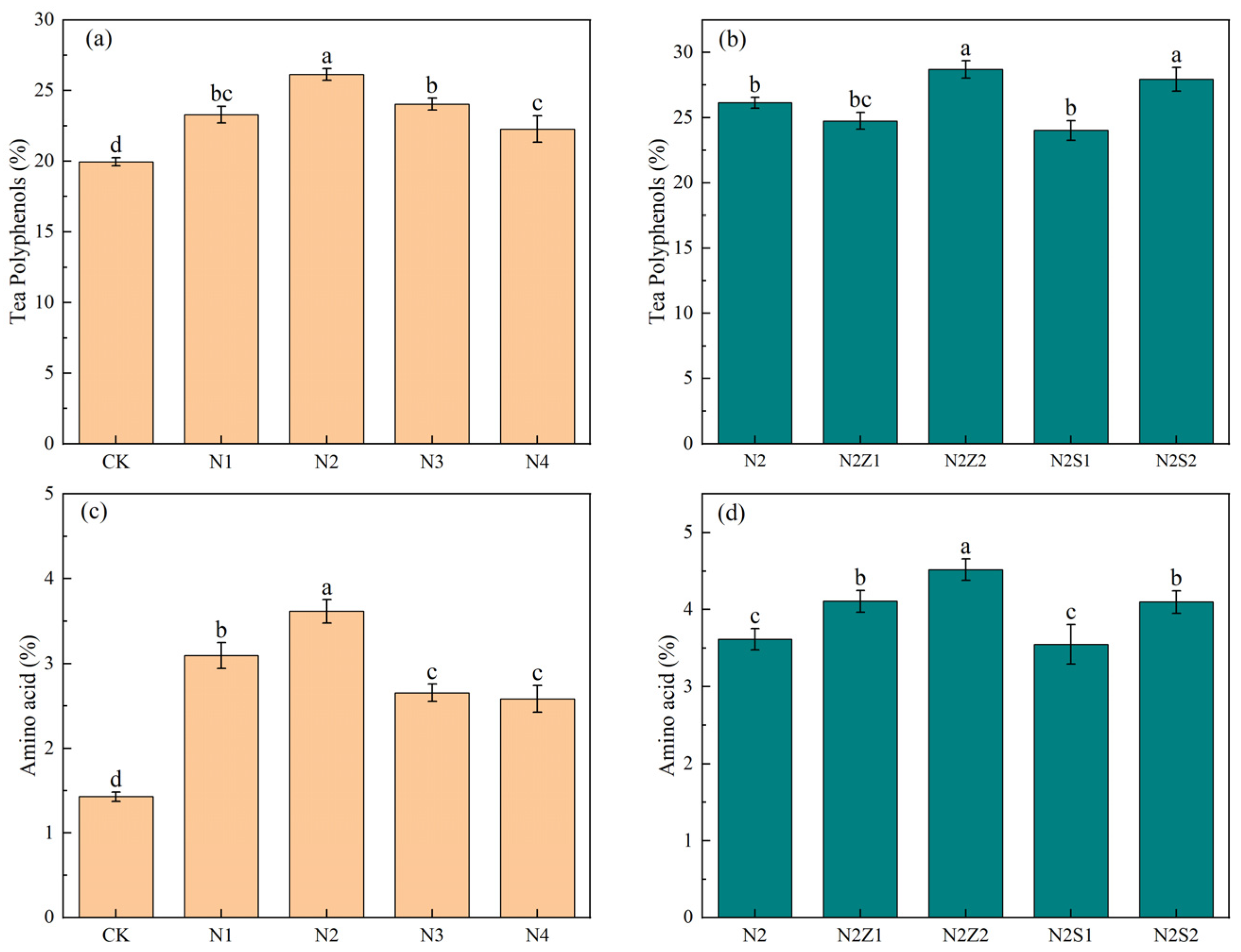
3.3.1. Tea Leaf Quality
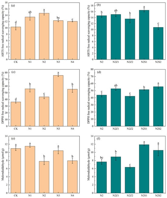
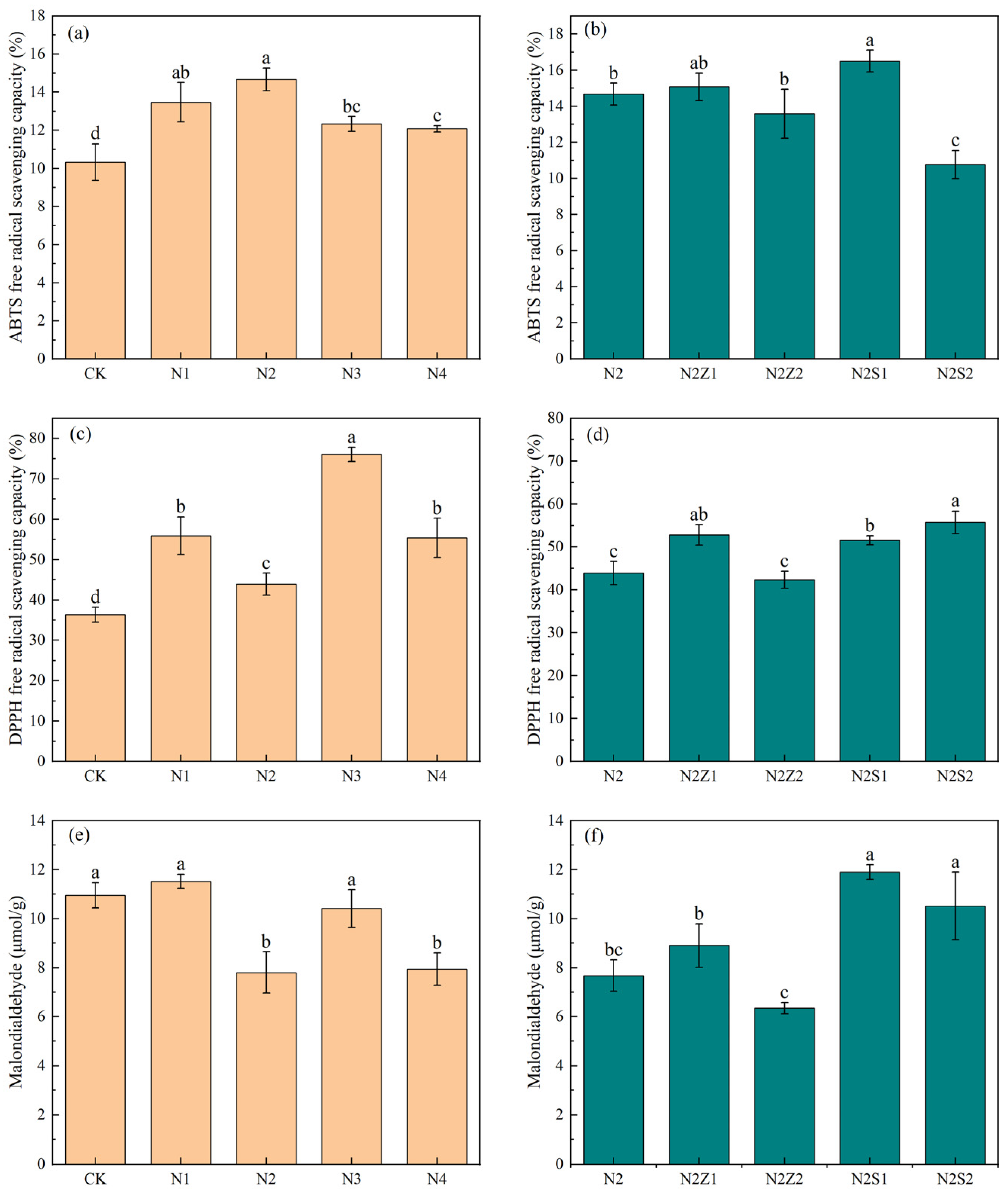
3.3.2. Antioxidant Properties of Tea Leaves
3.4. Correlation Among SOC Fractions, Enzyme Activities, and Tea Quality
4. Discussion
4.1. Effect of Biogas Slurry and Combined Biochar and Biogas Slurry Application on Soil Organic Carbon Fractions
4.2. Effect of Biogas Slurry and Combined Biochar and Biogas Slurry Application on Soil Enzyme Activities
4.3. Effect of Biogas Slurry and Combined Biochar and Biogas Slurry Application on Antioxidant Quality of Tea Leaves
4.4. Mechanisms of Soil Carbon-Enzyme-Tea Quality Interactions
5. Conclusions
Author Contributions
Funding
Data Availability Statement
Acknowledgments
Conflicts of Interest
References
- Lin, S.; Wang, W.; Sardans, J.; Lan, X.; Fang, Y.; Singh, B.P.; Xu, X.; Wiesmeier, M.; Tariq, A.; Alrefaei, A.F.; et al. Effects of slag and biochar amendments on microorganisms and fractions of soil organic carbon during flooding in a paddy field after two years in southeastern China. Sci. Total. Environ. 2022, 824, 153783. [Google Scholar] [CrossRef]
- Luo, Z.; Feng, W.; Luo, Y.; Baldock, J.; Wang, E. Soil organic carbon dynamics jointly controlled by climate, carbon inputs, soil properties and soil carbon fractions. Glob. Change Biol. 2017, 23, 4430–4439. [Google Scholar] [CrossRef] [PubMed]
- Luo, Z.; Viscarra Rossel, R.A.; Shi, Z. Distinct controls over the temporal dynamics of soil carbon fractions after land use change. Glob. Change Biol. 2020, 26, 4614–4625. [Google Scholar] [CrossRef] [PubMed]
- Chen, M.; Liu, D.; Shao, X.; Li, S.; Jin, X.; Qi, J.; Liu, H.; Li, C.; Li, C.; Li, C. Effect of Biochar Types and Rates on SOC and Its Active Fractions in Tropical Farmlands of China. Agronomy 2024, 14, 676. [Google Scholar] [CrossRef]
- Bhattacharya, T.; Khan, A.; Ghosh, T.; Kim, J.T.; Rhim, J.W. Advances and prospects for biochar utilization in food processing and packaging applications. Sustain. Mater. Technol. 2024, 39, e00831. [Google Scholar] [CrossRef]
- López, J.E.; Saldarriaga, J.F.; Tamayo, A. Effect of Biogas Slurry-Modified Biochar on Cd Immobilization, Uptake, Translocation, and the Bioavailability of N, P, and K in Soil. J. Soil Sci. Plant Nutr. 2025, 25, 6281–6293. [Google Scholar] [CrossRef]
- Xu, P.; Wang, Q.; Duan, C.; Huang, G.; Dong, K.; Wang, C. Biochar addition promotes soil organic carbon sequestration dominantly contributed by macro-aggregates in agricultural ecosystems of China. J. Environ. Manag. 2024, 359, 121042. [Google Scholar] [CrossRef]
- Aziz, M.A.; Majrashi, M.A. Effect of Different Application Rates and Types of Biochar on Soil Biochemical Characteristics and Greenhouse Gas Emissions. J. Soil Sci. Plant Nutr. 2025, 25, 9743–9756. [Google Scholar] [CrossRef]
- Sheets, J.P.; Yang, L.; Ge, X.; Wang, Z.; Li, Y. Beyond land application: Emerging technologies for the treatment and reuse of anaerobically digested agricultural and food waste. Waste Manag. 2015, 44, 94–115. [Google Scholar] [CrossRef]
- Tan, F.; Wang, Z.; Zhou, S.; Li, H.; Xie, Y.; Wang, Y.; Zheng, Y.; Li, Q. Nitrogen and phosphorus removal coupled with carbohydrate production by five microalgae cultures cultivated in biogas slurry. Bioresour. Technol. 2016, 221, 385–393. [Google Scholar] [CrossRef]
- Abubaker, J.; Risberg, K.; Jönsson, E.; Dahlin, A.S.; Cederlund, H.; Pell, M. Short-term effects of biogas digestates and pig slurry application on soil microbial activity. Appl. Environ. Soil Sci. 2015, 2015, 658542. [Google Scholar] [CrossRef]
- Rasse, D.P.; Weldon, S.; Joner, E.J.; Joseph, S.; Kammann, C.I.; Liu, X.; O’toole, A.; Pan, G.; Kocatürk-Schumacher, N.P. Enhancing plant N uptake with biochar-based fertilizers: Limitation of sorption and prospects. Plant Soil 2022, 475, 213–236. [Google Scholar] [CrossRef]
- Arellano-Yasaca, D.V.; Chu, C.Y. Insights into nutrients recovery from food waste liquid Digestate: A critical review and systematic analysis. Waste Manag. 2025, 200, 114743. [Google Scholar] [CrossRef]
- Ye, J.; Wang, Y.; Wang, Y.; Hong, L.; Jia, X.; Kang, J.; Lin, S.; Wu, Z.; Wang, H. Improvement of soil acidification in tea plantations by long-term use of organic fertilizers and its effect on tea yield and quality. Front. Plant Sci. 2022, 13, 1055900. [Google Scholar] [CrossRef] [PubMed]
- Liu, C.; Li, J.; Li, H.; Xue, J.; Wang, M.; Jian, G.; Zhu, C.; Zeng, L. Differences in the quality of black tea (Camellia sinensis var. Yinghong No. 9) in different seasons and the underlying factors. Food Chem. X 2023, 20, 100998. [Google Scholar] [CrossRef]
- Zhang, H.; Li, Y.; Lv, Y.; Jiang, Y.; Pan, J.; Duan, Y.; Zhu, Y.; Zhang, S. Influence of brewing conditions on taste components in Fuding white tea infusions. J. Sci. Food Agric. 2017, 97, 2826–2833. [Google Scholar]
- Li, S.; Tan, H.; Wang, N.; Zhang, Z.; Lao, L.; Wong, C.; Feng, Y. The Role of Oxidative Stress and Antioxidants in Liver Diseases. Int. J. Mol. Sci. 2015, 16, 26087–26124. [Google Scholar] [CrossRef]
- Yin, R.; Li, L.; Liu, H.; Yao, J.; Ma, C.; Pu, L.; Lei, Z. Biochar, Organic Fertilizer, and Bio-Organic Fertilizer Improve Soil Fertility and Tea Quality. Agronomy 2024, 14, 2339. [Google Scholar] [CrossRef]
- Jiang, Y.; Wang, X.; Zhao, Y.; Zhang, C.; Jin, Z.; Shan, S.; Ping, L. Effects of Biochar Application on Enzyme Activities in Tea Garden Soil. Front. Bioeng. Biotechnol. 2010, 9, 728530. [Google Scholar] [CrossRef]
- Sun, L.; Liu, Y.; Wu, L.; Liao, H. Comprehensive Analysis Revealed the Close Relationship between N/P/K Status and Secondary Metabolites in Tea Leaves. Acs Omega 2019, 4, 176–184. [Google Scholar]
- Guo, T.; Li, X.; He, Y.; Jiang, J. The Effects of Different Plant Configuration Modes on Soil Organic Carbon Fractions in the Lakeshore of Hongze Lake. Forests 2025, 16, 611. [Google Scholar] [CrossRef]
- Rodríguez-Murillo, J.C.; Almendros, G.; Knicker, H. Wetland soil organic matter composition in a Mediterranean semiarid wetland (Las Tablas de Daimiel, Central Spain): Insight into different carbon sequestration pathways. Org. Geochem. 2011, 42, 762–773. [Google Scholar] [CrossRef]
- Daunoras, J.; Kačergius, A.; Gudiukaitė, R. Role of Soil Microbiota Enzymes in Soil Health and Activity Changes Depending on Climate Change and the Type of Soil Ecosystem. Biology 2024, 13, 85. [Google Scholar] [CrossRef] [PubMed]
- Lemanowicz, J.; Bartkowiak, A.; Zielińska, A.; Jaskulska, I.; Rydlewska, M.; Klunek, K.; Polkowska, M. The Effect of Enzyme Activity on Carbon Sequestration and the Cycle of Available Macro- (P, K, Mg) and Microelements (Zn, Cu) in Phaeozems. Agriculture 2023, 13, 172. [Google Scholar] [CrossRef]
- Wang, L.; Pang, X.; Li, N.; Qi, K.; Huang, J.; Yin, C. Effects of Vegetation Type, Fine and Coarse Roots on Soil Microbial Communities and Enzyme Activities in Eastern Tibetan Plateau. Catena 2020, 194, 104694. [Google Scholar] [CrossRef]
- Cambardella, C.A.; Elliott, E.T. Particulate soil organic-matter changes across a grassland cultivation sequence. Soil Sci. Soc. Am. J. 1992, 56, 777–783. [Google Scholar] [CrossRef]
- Wang, X.; Sheng, L.; Li, Y.; Jiang, H.; Lv, Z.; Qi, W.; Luo, W. Soil labile organic carbon indicating seasonal dynamics of soil organic carbon in northeast peatland. Ecol. Indic. 2022, 138, 108847. [Google Scholar] [CrossRef]
- Jones, D.L.; Willett, V.B. Experimental evaluation of methods to quantify dissolved organic nitrogen (DON) and dissolved organic carbon (DOC) in soil. Soil Biol. Biochem. 2003, 38, 991–999. [Google Scholar] [CrossRef]
- GB/T 8305-2013; Tea—Preparation of Ground Sample and Determination of Dry Matter Content. Standard Press of China: Beijing, China, 2013.
- He, Y.; Zhang, W.; Xu, M.; Tong, X.; Sun, F.; Wang, J.; Huang, S.; Zhu, P.; He, X. Long-term combined chemical and manure fertilizations increase soil organic carbon and total nitrogen in aggregate fractions at three typical cropland soils in China. Sci. Total Environ. 2015, 532, 635–644. [Google Scholar]
- Zhang, R.; Qu, Z.; Liu, L.; Yang, W.; Wang, L.; Li, J.; Zhang, D. Soil Respiration and Organic Carbon Response to Biochar and Their Influencing Factors. Atmosphere 2022, 13, 2038. [Google Scholar] [CrossRef]
- Wang, Y.; Zhou, F.; Zhang, F.; Ma, W.; Wang, Q.; Cao, S.; Geng, Z. Influence of biochar on soil respiration and soil organic carbon fractions. Res. Environ. Sci. 2017, 30, 920–928. [Google Scholar]
- Yang, C.; Chang, Y.; Liu, J.; Tian, Y.; Lu, S.; Wang, J. Differences in the physical protection mechanisms of soil organic carbon with 13C-labeled straw and biochar. Biochar 2025, 7, 32. [Google Scholar] [CrossRef]
- Tang, J.; Yin, J.; Davy, A.J.; Pan, F.; Han, X.; Huang, S.; Wu, D. Biogas Slurry as an Alternative to Chemical Fertilizer: Changes in Soil Properties and Microbial Communities of Fluvo-Aquic Soil in the North China Plain. Sustainability 2022, 14, 15099. [Google Scholar] [CrossRef]
- Cao, Y.; Wang, J.; Wu, H.; Yan, S.; Guo, D.; Wang, G.; Ma, Y. Soil chemical and microbial responses to biogas slurry amendment and its effect on Fusarium wilt suppression. Appl. Soil Ecol. 2016, 107, 116–123. [Google Scholar] [CrossRef]
- Zhou, Z.; Ren, C.; Wang, C.; Delgado-Baquerizo, M.; Luo, Y.; Luo, Z.; Du, Z.; Zhu, B.; Yang, Y.; Jiao, S.; et al. Global turnover of soil mineral-associated and particulate organic carbon. Nat. Commun. 2024, 15, 5329. [Google Scholar] [CrossRef]
- Lavallee, J.M.; Soong, J.L.; Cotrufo, M.F. Conceptualizing soil organic matter into particulate and mineral-associated forms to address global change in the 21st century. Glob. Change Biol. 2020, 26, 261–273. [Google Scholar] [CrossRef]
- Benbi, D.K.; Boparai, A.K.; Brar, K. Decomposition of particulate organic matter is more sensitive to temperature than the mineral associated organic matter. Soil Biol. Biochem. 2014, 70, 183–192. [Google Scholar] [CrossRef]
- Wu, Y.; Wang, R.; Zhang, M.; He, P.; Wu, Y.; Tian, X.; Zhang, J. Spatial patterns and influencing factors of soil SOC, DOC, ROC at initial stage of vegetation restoration in a karst area. Front. Environ. Sci. 2023, 11, 1099942. [Google Scholar] [CrossRef]
- Zhang, B.; Xu, C.; Zhang, Z.; Hu, C.; Zhong, C.; Chen, S.; Hu, G. Elevational patterns of soil organic carbon and its fractions in tropical seasonal rainforests in karst peak-cluster depression region. Front. Plant Sci. 2024, 15, 1424891. [Google Scholar] [CrossRef]
- Ighalo, J.O.; Ohoro, C.R.; Ojukwu, V.E.; Oniye, M.; Shaikh, W.A.; Biswas, J.K.; Seth, C.S.; Mohan, G.B.M.; Chandran, S.A.; Rangabhashiyam, S. Biochar for ameliorating soil fertility and microbial diversity: From production to action of the black gold. iScience 2024, 28, 111524. [Google Scholar] [CrossRef]
- Sun, Y.; Xiong, X.; He, M.; Xu, Z.; Tsang, D.C.W. Roles of biochar-derived dissolved organic matter in soil amendment and environmental remediation: A critical review. Chem. Eng. J. 2021, 424, 130387. [Google Scholar] [CrossRef]
- Wang, Z.; Zhao, M.; Yan, Z.; Yang, Y.; Niklas, K.J.; Huang, H.; Mipam, T.D.; He, X.; Hu, H.; Wright, S.J. Global patterns and predictors of soil microbial biomass carbon, nitrogen, and phosphorus in terrestrial ecosystems. Catena 2022, 211, 106037. [Google Scholar] [CrossRef]
- Stevenson, B.A.; Sarmah, A.K.; Smernik, R.; Hunter, D.W.; Fraser, S. Soil carbon characterization and nutrient ratios across land uses on two contrasting soils: Their relationships to microbial biomass and function. Soil Biol. Biochem. 2016, 97, 50–62. [Google Scholar] [CrossRef]
- Das, S.; Deb, S.; Sahoo, S.S.; Sahoo, U.K. Soil microbial biomass carbon stock and its relation with climatic and other environmental factors in forest ecosystems: A review. Acta Ecol. Sin. 2023, 43, 933–945. [Google Scholar] [CrossRef]
- Xia, H.; Riaz, M.; Zhang, M.; Liu, B.; Li, Y.; El-Desouki, Z.; Jiang, C. Biochar–N fertilizer interaction increases N utilization efficiency by modifying soil C/N component under N fertilizer deep placement modes. Chemosphere 2022, 286, 131594. [Google Scholar] [CrossRef]
- Liang, X.; Wang, C.; Wang, H.; Qiu, X.; Ji, H.; Ju, H.; Wang, J. Synergistic effect on soil health from combined application of biogas slurry and biochar. Chemosphere 2023, 343, 140228. [Google Scholar] [CrossRef]
- Shi, S.; Zhang, Q.; Lou, Y.; Du, Z.; Wang, Q.; Hu, N.; Wang, Y.; Gunina, A.; Song, J. Soil organic and inorganic carbon sequestration by consecutive biochar application: Results from a decade field experiment. Soil Use Manag. 2021, 37, 95–103. [Google Scholar] [CrossRef]
- Hua, L.; Lu, Z.; Ma, H.; Jin, S. Effect of biochar on carbon dioxide release, organic carbon accumulation, and aggregation of soil. Environ. Prog. Sustain. Energy 2014, 33, 941–946. [Google Scholar] [CrossRef]
- Liang, X.; Wen, Y.; Wang, C.; Wang, H.; Wang, J.; Mei, X. Biogas slurry strategy reshapes biochar-mediated greenhouse gas emissions via soil bacterial sub-communities. Biochar 2025, 7, 92. [Google Scholar] [CrossRef]
- Kabir, E.; Kim, K.; Kwon, E.E. Biochar as a tool for the improvement of soil and environment. Front. Environ. Sci. 2023, 11, 1324533. [Google Scholar] [CrossRef]
- Burns, R.G.; DeForest, J.L.; Marxsen, J.; Sinsabaugh, R.L.; Stromberger, M.E.; Wallenstein, M.D.; Weintraub, M.N.; Zoppini, A. Soil enzymes in a changing environment: Current knowledge and future directions. Soil Biol. Biochem. 2013, 58, 216–234. [Google Scholar] [CrossRef]
- Fan, Z.; Lu, S.; Liu, S.; Li, Z.; Hong, J.; Zhou, J.; Peng, X. The effects of vegetation restoration strategies and seasons on soil enzyme activities in the karst landscapes of Yunnan, southwest China. J. For. Res. 2020, 31, 1949–1957. [Google Scholar] [CrossRef]
- Liu, C.; Song, Y.; Dong, X.; Wang, X.; Ma, X.; Zhao, G.; Zang, S. Soil enzyme activities and their relationships with soil C, N, and P in peatlands from different types of permafrost regions, Northeast China. Front. Environ. Sci. 2021, 9, 670769. [Google Scholar] [CrossRef]
- McCormack, S.A.; Ostle, N.; Bardgett, R.D.; Hopkins, D.W.; Vanbergen, A.J. Biochar in bioenergy cropping systems: Impacts on soil faunal communities and linked ecosystem processes. GCB Bioenergy 2013, 5, 81–95. [Google Scholar] [CrossRef]
- Nogales, B.; Lanfranconi, M.P.; Piña-Villalonga, J.M.; Bosch, R. Anthropogenic perturbations in marine microbial communities. FEMS Microbiol. Rev. 2011, 35, 275–298. [Google Scholar] [CrossRef]
- Park, J.H.; Choppala, G.K.; Bolan, N.S.; Chung, J.W.; Chuasavathi, T. Biochar reduces the bioavailability and phytotoxicity of heavy metals. Plant Soil 2011, 348, 439–451. [Google Scholar] [CrossRef]
- Kumar, S.; Masto, R.E.; Ram, L.C.; Sarkar, P.; George, J.; Selvi, V.A. Biochar preparation from Parthenium hysterophorus and its potential use in soil application. Ecol. Eng. 2013, 55, 67–72. [Google Scholar] [CrossRef]
- Trupiano, D.; Cocozza, C.; Baronti, S.; Amendola, C.; Vaccari, F.P.; Lustrato, G.; Lonardo, S.D.; Fantasma, F.; Tognetti, R.; Scippa, G.S. The effects of biochar and its combination with compost on lettuce (Lactuca sativa L.) growth, soil properties, and soil microbial activity and abundance. Int. J. Agron. 2017, 2017, 3158207. [Google Scholar] [CrossRef]
- Yin, D.; Qin, J.; Wang, B.; Chen, D.; Dai, Z.; Niu, X.; Zhu, J.; Zhang, F. Comprehensive evaluation of biogas slurry fertility: A study based on the effects of biogas slurry irrigation on soil microorganisms and enzyme activities in winter wheat fields. Microorganisms 2025, 13, 2054. [Google Scholar] [CrossRef]
- Awad, Y.M.; Blagodatskaya, E.; Ok, Y.S.; Kuzyakov, Y. Effects of polyacrylamide, biopolymer, and biochar on decomposition of soil organic matter and plant residues as determined by 14C and enzyme activities. Eur. J. Soil Biol. 2012, 48, 1–10. [Google Scholar] [CrossRef]
- Ameloot, N.; De Neve, S.; Jegajeevagan, K.; Yildiz, G.; Buchan, D.; Funkuin, Y.N.; Prins, W.; Bouckaert, L.; Sleutel, S. Short-term CO2 and N2O emissions and microbial properties of biochar amended sandy loam soils. Soil Biol. Biochem. 2013, 57, 401–410. [Google Scholar] [CrossRef]
- Zhang, W.; Xu, M.; Lu, J.; Ren, T.; Cong, R.; Lu, Z.; Li, X. Integrated rice–aquatic animals culture systems promote the sustainable development of agriculture by improving soil fertility and reducing greenhouse gas emissions. Field Crops Res. 2023, 299, 108970. [Google Scholar] [CrossRef]
- Wang, H.; Wu, J.; Li, G.; Yan, L. Changes in soil carbon fractions and enzyme activities under different vegetation types of the northern Loess Plateau. Ecol. Evol. 2020, 10, 12211–12223. [Google Scholar] [CrossRef] [PubMed]
- Zhang, S.; Zhang, H.; Zhang, L.; Li, Z.; Mao, Y.; Zhang, L.; Li, X. Effects of organic fertilizer substitution for chemical fertilizer on tea yield and quality: A meta-analysis focusing on alkali-hydrolyzable nitrogen dynamics. Soil Tillage Res. 2025, 254, 106724. [Google Scholar] [CrossRef]
- Wu, B.; Bai, T.; Yu, W.; Zhu, T.; Li, D.; Ye, C.; Liu, M.; Hu, S. Soil pH and precipitation controls on organic carbon retention from organic amendments across soil orders: A meta-analysis. Soil Biol. Biochem. 2025, 207, 109819. [Google Scholar] [CrossRef]
- Wang, Z.; Sanusi, I.A.; Wang, J.; Ye, X.; Kana, E.B.G.; Olaniran, A.O.; Shao, H. Developments and prospects of farmland application of biogas slurry in China—A review. Microorganisms 2023, 11, 2675. [Google Scholar] [CrossRef]
- Cui, J.; Yang, B.; Zhang, M.; Song, D.; Xu, X.; Ai, C.; Liang, G.; Zhou, W. Investigating the effects of organic amendments on soil microbial composition and its linkage to soil organic carbon: A global meta-analysis. Sci. Total. Environ. 2023, 894, 164899. [Google Scholar] [CrossRef]
- Li, S.; Cui, Y.; Xia, Z.; Zhang, X.; Zhu, M.; Gao, Y. The mechanism of the dose effect of straw on soil respiration: Evidence from enzymatic stoichiometry and functional genes. Soil Biol. Biochem. 2022, 168, 108636. [Google Scholar] [CrossRef]
- Bednik, M.; Medyńska-Juraszek, A.; Ćwieląg-Piasecka, I.; Dudek, M. Enzyme activity and dissolved organic carbon content in soils amended with different types of biochar and exogenous organic matter. Sustainability 2023, 15, 15396. [Google Scholar] [CrossRef]
- Zhang, M.; Cui, J.; Mi, M.; Jin, Z.; Wong, M.H.; Shan, S.; Ping, L. Persistent effects of swine manure biochar and biogas slurry application on soil nitrogen content and quality of lotus root. Front. Plant Sci. 2024, 15, 1359911. [Google Scholar] [CrossRef]
- Zeng, L.; Zimmerman, A.R.; Huang, R. Adsorption of extracellular enzymes by biochar: Impacts of enzyme and biochar properties. Geoderma 2024, 451, 117082. [Google Scholar] [CrossRef]
- Zhang, H.; Ma, T.; Wang, L.; Yu, X.; Zhao, X.; Gao, W.; Jeewani, P.H. Distinct biophysical and chemical mechanisms governing sucrose mineralization and soil organic carbon priming in biochar amended soils: Evidence from 10 years of field studies. Biochar 2024, 6, 52. [Google Scholar] [CrossRef] [PubMed]
- Zhao, J.; Qiu, Y.; Yi, F.; Li, J.; Wang, X.; Fu, Q.; Chen, H. Biochar dose-dependent impacts on soil bacterial and fungal diversity across the globe. Sci. Total. Environ. 2024, 930, 172509. [Google Scholar] [CrossRef] [PubMed]
- Lopes, É.M.G.; Reis, M.M.; Frazão, L.A.; da Mata Terra, L.E.; Lopes, E.F.; Dos Santos, M.M.; Fernandes, L.A. Biochar increases enzyme activity and total microbial quality of soil grown with sugarcane. Environ. Technol. Innov. 2021, 21, 101270. [Google Scholar] [CrossRef]
- Basile-Doelsch, I.; Balesdent, J.; Pellerin, S. Reviews and syntheses: The mechanisms underlying carbon storage in soil. Biogeosciences 2020, 17, 5223–5240. [Google Scholar] [CrossRef]
- Wen, Y.; Zhang, J.; Li, L.; Wang, Q.; Diao, F.; Gao, M.; Wang, X.; Shi, X. Effects of biogas slurry combined with chemical fertilizer on Allium fistulosum yields, soil nutrients, microorganisms, and enzymes activities. Chin. J. Eco-Agric. 2024, 32, 95–105. [Google Scholar]
- Wu, S.; Gao, T.; Wu, C.; Yuan, H.; Liu, Y.; Liu, J.; Han, L.; Zhang, C.; Ma, Y.; Liao, X. Consecutive Application of Biogas Slurry Improved the Cumulative Nitrogen Use Efficiency by Regulating the Soil Carbon Pool. Plants 2026, 15, 102. [Google Scholar] [CrossRef]
- Song, S.; Lim, J.W.; Lee, J.T.E.; Cheong, J.C.; Hoy, S.H.; Hu, Q.; Tan, J.K.N.; Chiam, Z.; Arora, S.; Lum, T.Q.H.; et al. Food-waste anaerobic digestate as a fertilizer: The agronomic properties of untreated digestate and biochar-filtered digestate residue. Waste Manag. 2021, 136, 143–152. [Google Scholar] [CrossRef]
- Wei, X.; Zheng, L.; Li, Y.; Zhan, X.; Li, T.; Shi, Y.; Liu, Y.; Wang, D.; Zhang, Q. Enhancing soil fertility and organic carbon stability with high-nitrogen biogas slurry: Benefits and environmental risks. J. Environ. Manag. 2025, 384, 125584. [Google Scholar] [CrossRef]
- Abbas, A.; Naveed, M.; Azeem, M.; Yaseen, M.; Ullah, R.; Alamri, S.; Ain Farooq, Q.U.; Siddiqui, M.H. Efficiency of wheat straw biochar in combination with compost and biogas slurry for enhancing nutritional status and productivity of soil and plant. Plants 2020, 9, 1516. [Google Scholar] [CrossRef]
- Yan, M.; Tian, H.; Song, S.; Tan, H.T.; Lee, J.T.; Zhang, J.; Sharma, P.; Tiong, Y.; Tong, Y.W. Effects of digestate-encapsulated biochar on plant growth, soil microbiome and nitrogen leaching. J. Environ. Manag. 2023, 334, 117481. [Google Scholar] [CrossRef]
- Yang, X.; Yi, X.; Ni, K.; Zhang, Q.; Shi, Y.; Chen, L.; Zhao, Y.; Zhang, Y.; Ma, Q.; Cai, Y.; et al. Patterns and abiotic drivers of soil organic carbon in perennial tea plantation system of China. Environ. Res. 2023, 237, 116925. [Google Scholar] [CrossRef]
- Tang, Q.; Li, W.; Dai, W.; Wang, J.; Zhang, F.; Daniell, T.J.; Cheng, Y.; Wang, S.; Yin, W.; Wang, X. Patterns and determinants of microbial- and plant-derived carbon contributions to soil organic carbon in tea plantation chronosequence. Plant Soil. 2024, 505, 811–825. [Google Scholar] [CrossRef]
- Kalu, S.; Seppänen, A.; Mganga, K.Z.; Sietiö, O.-M.; Glaser, B.; Karhu, K. Biochar reduced the mineralization of native and added soil organic carbon: Evidence of negative priming and enhanced microbial carbon use efficiency. Biochar 2024, 6, 7. [Google Scholar] [CrossRef]
- Hu, J.; Feng, X.; Song, H.; Hao, Z.; Ma, S.; Hu, H.; Chu, Q. Enzymatic reactions throughout cultivation, processing, storage and post-processing: Progressive sculpture of tea quality. Trends Food Sci. Technol. 2024, 143, 104294. [Google Scholar] [CrossRef]









| Type | pH | Temperature (°C) | Ash Content (%) | TC (g/kg) | TN (g/kg) | TP (g/kg) | TK (g/kg) | NH4+-N (mg/kg) | NO3−-N (mg/kg) | EC µS/cm |
|---|---|---|---|---|---|---|---|---|---|---|
| pig manure biochar | 7.66 | 350 | 44.17 | 376.51 | 8.30 | 11.13 | 17.60 | 11.37 | 15.00 | 874.7 |
| rice straw biochar | 7.32 | 500 | 25.56 | 416.30 | 3.68 | 11.41 | 17.47 | 6.96 | 13.74 | 1052.45 |
| Type | Coefficient | SOC | ROC | S-CAT | S-SC | POD | R2 | Adjusted R2 |
|---|---|---|---|---|---|---|---|---|
| TPP | Standardized | 0.326 | 0.478 | −0.182 | −0.318 | 0.572 | 0.976 | 0.875 |
| standard errors | 0.255 | 0.372 | 0.052 | 0.115 | 0.059 | |||
| t-values | 1.022 | 1.351 | −0.529 | −1.012 | 1.891 | |||
| p-values | 0.382 | 0.270 | 0.633 | 0.386 | 0.155 | |||
| VIF | 6.519 | 8.041 | 7.571 | 6.327 | 5.867 | |||
| TAA | Standardized | 0.396 | −0.171 | −0.344 | −0.038 | 1.047 | 0.962 | 0.803 |
| standard errors | 0.113 | 0.165 | 0.023 | 0.051 | 0.026 | |||
| t-values | 0.988 | −0.384 | −0.796 | −0.095 | 2.754 | |||
| p-values | 0.396 | 0.724 | 0.484 | 0.930 | 0.070 | |||
| VIF | 6.519 | 8.041 | 7.571 | 6.327 | 5.867 | |||
| MDA | Standardized | 0.530 | −0.165 | 2.119 | −1.262 | −1.271 | 0.976 | 0.873 |
| standard errors | 0.180 | 0.263 | 0.037 | 0.081 | 0.042 | |||
| t-values | 1.650 | −0.463 | 6.121 | −3.988 | −4.172 | |||
| p-values | 0.197 | 0.675 | 0.009 | 0.028 | 0.025 | |||
| VIF | 6.519 | 8.041 | 7.571 | 6.327 | 5.867 | |||
| ABTS | Standardized | −0.831 | 0.193 | 0.327 | 0.427 | 0.565 | 0.945 | 0.714 |
| standard errors | 0.287 | 0.419 | 0.059 | 0.129 | 0.067 | |||
| t-values | −1.721 | 0.360 | 0.629 | 0.898 | 1.232 | |||
| p-values | 0.184 | 0.743 | 0.574 | 0.435 | 0.306 | |||
| VIF | 6.519 | 8.041 | 7.571 | 6.327 | 5.867 | |||
| DPPH | Standardized | 0.453 | −0.041 | 0.340 | 0.560 | 0.927 | 0.559 | −0.833 |
| standard errors | 4.047 | 5.904 | 0.830 | 1.825 | 0.940 | |||
| t-values | 0.371 | −0.030 | 0.258 | 0.466 | −0.799 | |||
| p-values | 0.735 | 0.978 | 0.813 | 0.673 | 0.483 | |||
| VIF | 6.519 | 8.041 | 7.571 | 6.327 | 5.867 |
Disclaimer/Publisher’s Note: The statements, opinions and data contained in all publications are solely those of the individual author(s) and contributor(s) and not of MDPI and/or the editor(s). MDPI and/or the editor(s) disclaim responsibility for any injury to people or property resulting from any ideas, methods, instructions or products referred to in the content. |
© 2026 by the authors. Licensee MDPI, Basel, Switzerland. This article is an open access article distributed under the terms and conditions of the Creative Commons Attribution (CC BY) license.
Share and Cite
Wang, S.; Fang, B.; Jiang, K.; Mi, M.; Jin, Z.; Wong, M.H.; Shan, S.; Ping, L. Linking Soil Carbon Fractions to Tea Antioxidant and Quality: Impact of Biochar and Biogas Slurry Applications. Agronomy 2026, 16, 144. https://doi.org/10.3390/agronomy16020144
Wang S, Fang B, Jiang K, Mi M, Jin Z, Wong MH, Shan S, Ping L. Linking Soil Carbon Fractions to Tea Antioxidant and Quality: Impact of Biochar and Biogas Slurry Applications. Agronomy. 2026; 16(2):144. https://doi.org/10.3390/agronomy16020144
Chicago/Turabian StyleWang, Shaohua, Bingqin Fang, Kai Jiang, Meng Mi, Zewen Jin, Ming Hung Wong, Shengdao Shan, and Lifeng Ping. 2026. "Linking Soil Carbon Fractions to Tea Antioxidant and Quality: Impact of Biochar and Biogas Slurry Applications" Agronomy 16, no. 2: 144. https://doi.org/10.3390/agronomy16020144
APA StyleWang, S., Fang, B., Jiang, K., Mi, M., Jin, Z., Wong, M. H., Shan, S., & Ping, L. (2026). Linking Soil Carbon Fractions to Tea Antioxidant and Quality: Impact of Biochar and Biogas Slurry Applications. Agronomy, 16(2), 144. https://doi.org/10.3390/agronomy16020144
