Response of Organic Carbon Components and Stability to Long-Term Application of Low Doses of Biochar and Biochor-Based Fertilizers
Abstract
1. Introduction
2. Materials and Methods
2.1. Study Site
2.2. Experimental Design
2.3. Soil Sampling and Preparations
2.4. Determination of Soil Organic Carbon Components
2.5. Determination of Chemical Structure of Soil Organic Carbon
2.6. Determination of Soil Amino Sugars
2.7. Statistical Analysis
3. Results
3.1. Effects on Soil Organic Carbon Components
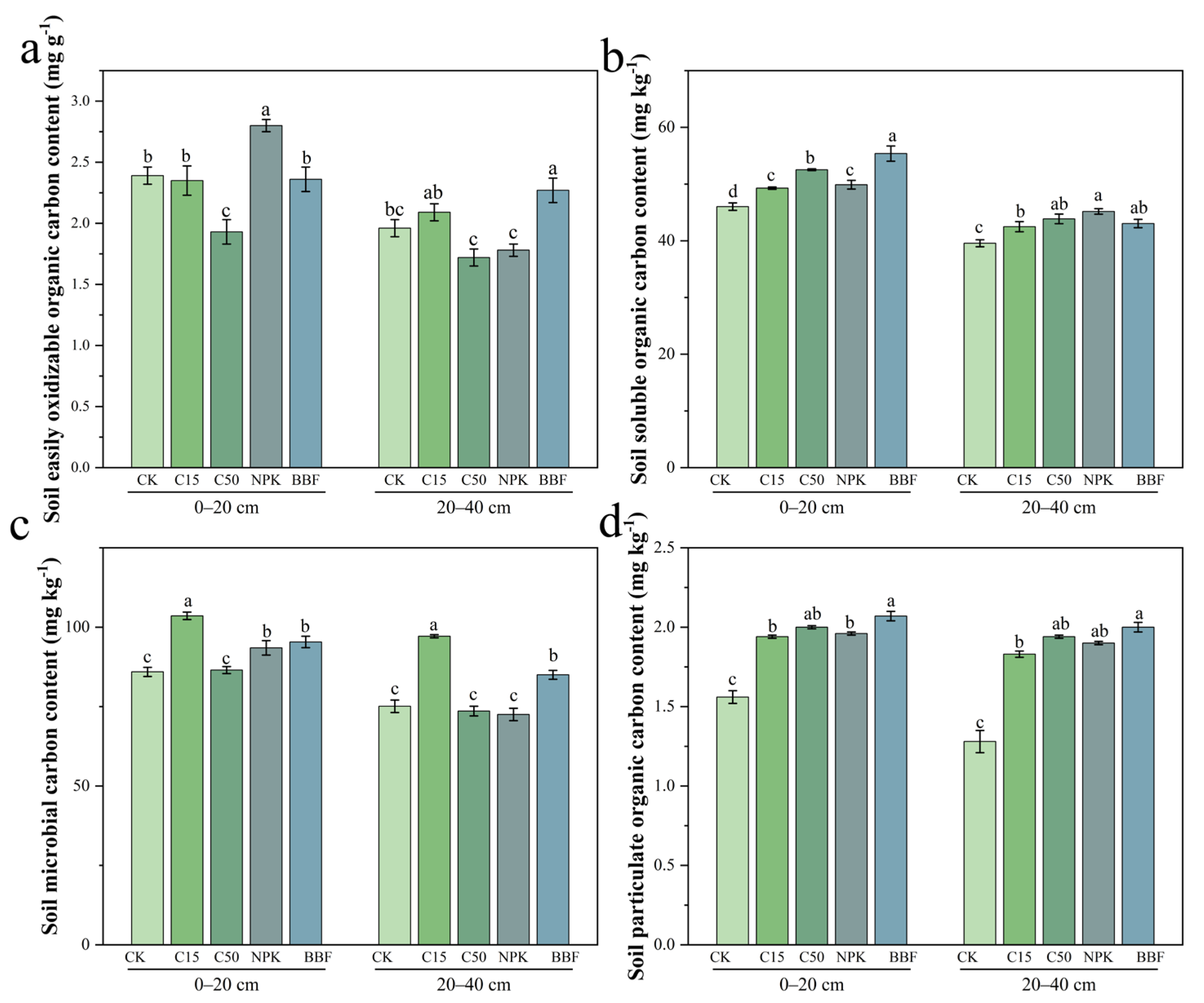
3.1.1. Effects on Soil Active Organic Carbon Components
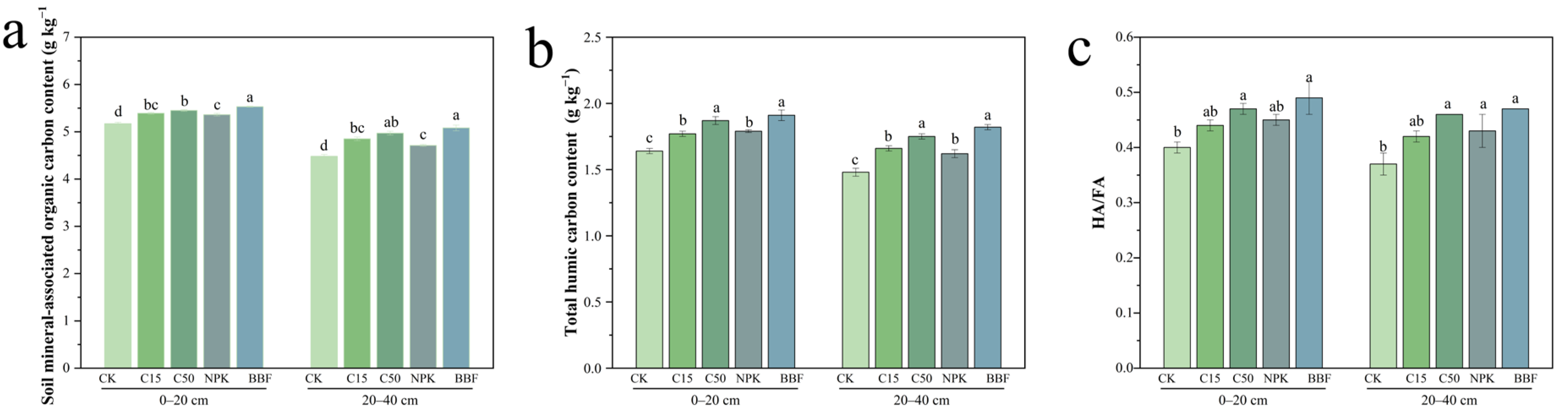
3.1.2. Effects on Soil Recalcitrant Organic Carbon Components
3.2. Effects on Soil Organic Carbon Structure
3.2.1. Effects on Functional Group Content of Soil Organic Carbon
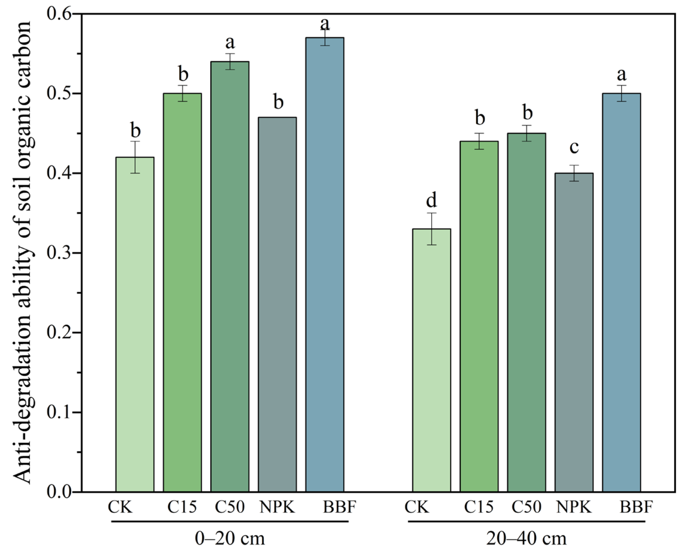
3.2.2. Effects on the Anti-Degradation Ability of Soil Organic Carbon
3.3. Effects on Soil Microbial Residual Carbon
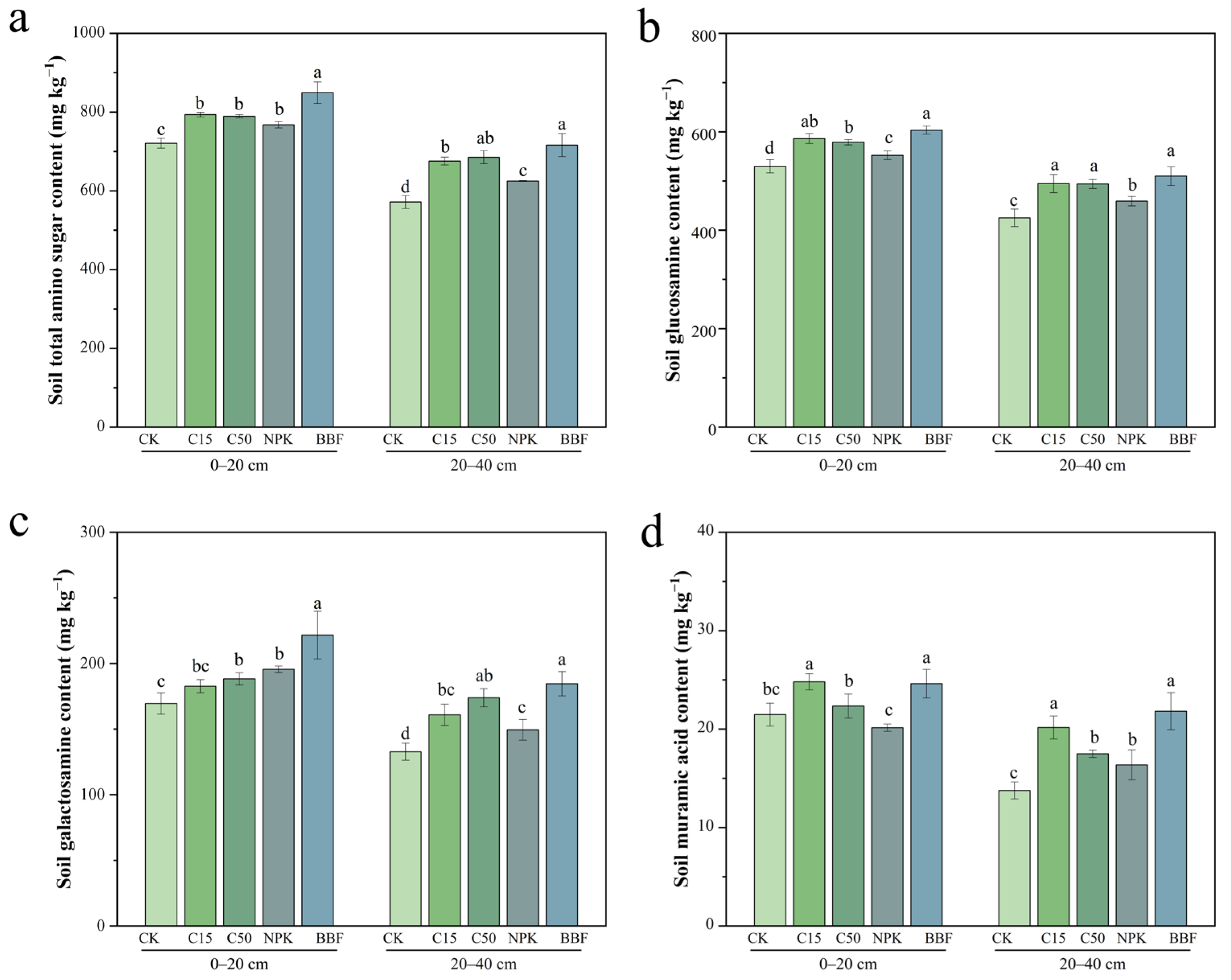
3.3.1. Effects on Soil Amino Sugar
3.3.2. Effects on Soil Microbial Residual Carbon Content
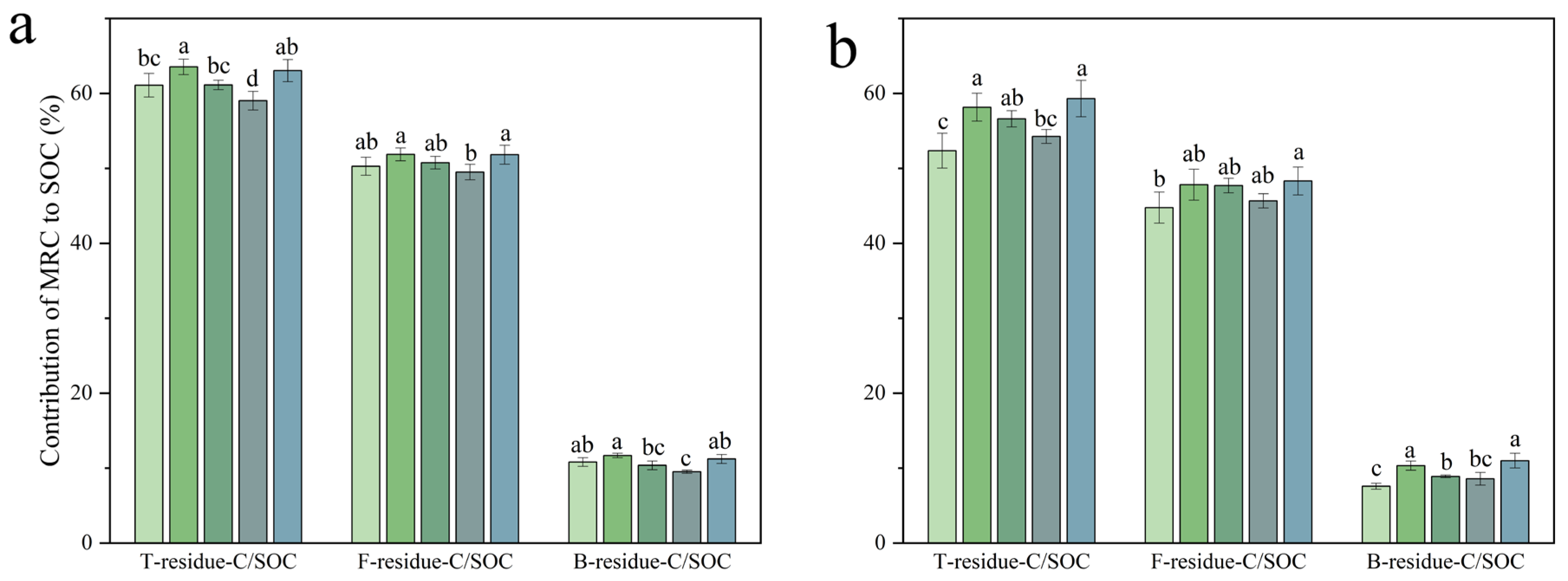
3.3.3. Contribution of Microbial Residual Carbon to Soil Organic Carbon
3.4. Correlation Analysis
4. Discussion
4.1. Effects of Biochar and Biochar-Based Fertilizer on Soil Organic Carbon Fractions
4.2. Effects of Biochar and Biochar-Based Fertilizer on Soil Organic Carbon Chemical Structure and Stability
4.3. Effects of Biochar and Biochar-Based Fertilizer on Soil Microbial Residual Carbon
5. Conclusions
Author Contributions
Funding
Data Availability Statement
Acknowledgments
Conflicts of Interest
Abbreviations
| SOC | Soil organic carbon |
| DOC | Dissolved organic carbon |
| EOC | Easily oxidizable organic carbon |
| POC | Particulate organic carbon |
| MBC | Microbial biomass carbon |
| MAOC | Mineral-associated organic carbon |
| GluN | Glucosamine |
| GalN | Galactosamine |
| MurN | Muramic acid |
| FRC | Fungal residue carbon |
| BRC | Bacterial residue carbon |
| MRC | Microbial residue carbon |
| AS | Amino sugars |
| AR | Analytical reagent |
References
- Goldstein, A.; Turner, W.R.; Spawn, S.A.; Anderson-Teixeira, K.J.; Cook-Patton, S.; Fargione, J.; Gibbs, H.K.; Griscom, B.; Hewson, J.H.; Howard, J.F.; et al. Protecting irrecoverable carbon in Earth’s ecosystems. Nat. Clim. Change 2020, 10, 287–295. [Google Scholar] [CrossRef]
- Lehmann, J.; Kleber, M. The contentious nature of soil organic matter. Nature 2015, 528, 60–68. [Google Scholar] [CrossRef] [PubMed]
- Trumbore, S.E. Potential responses of soil organic carbon to global environmental change. Proc. Natl. Acad. Sci. USA 1997, 94, 8284–8291. [Google Scholar] [CrossRef]
- Knorr, W.; Prentice, I.C.; House, J.I.; Holland, E.A. Long-term sensitivity of soil carbon turnover to warming. Nature 2005, 433, 298–301. [Google Scholar] [CrossRef]
- Sun, X.; Zhang, Y.M.; Zhang, L.J.; Hy, C.S.; Dong, W.X.; Li, X.X.; Wang, Y.Y.; Liu, X.P.; Xiang, L.; Han, J. Effects of long-term exogenous organic material addition on the organic carbon composition of soil aggregates in farmlands of North China. Chin. J. Eco Agric. 2021, 29, 1384–1396. [Google Scholar] [CrossRef]
- Yuan, Y.Y.; Wang, Y.; Cui, Z.W.; Xu, G.H.; Wang, N.; Xu, L.H. The effect of different tillage methods on soil organic carbon and its components in the black soil area of Northeast China. Acta Ecol. Sin. 2025, 45, 3183–3191. [Google Scholar] [CrossRef]
- Li, J.T.; Zhong, X.L.; Zhao, Q.G. Enhancement of soil quality in a rice-wheat rotation after long-term application of poultry litter and livestock manure. Acta Ecol. Sin. 2011, 31, 2837–2845. [Google Scholar] [CrossRef]
- Zhu, X.; Jackson, R.D.; Delucia, E.H.; Tiedije, J.M.; Liang, C. The soil microbial carbon pump: From conceptual insights to empirical assessments. Glob. Change Biol. 2020, 26, 6032–6039. [Google Scholar] [CrossRef]
- Ma, T.; Zhu, S.; Wang, Z.; Chen, D.; Dai, G.; Feng, B.; Su, X.; Hu, H.; Li, K.; Han, W.; et al. Divergent accumulation of microbial necromass and plant lignin components in grassland soils. Nat. Commun. 2018, 9, 3480. [Google Scholar] [CrossRef] [PubMed]
- Joergensen, R.G. Amino sugars as specific indices for fungal and bacterial residues in soil. Biol. Fertil. Soils 2018, 54, 559–568. [Google Scholar] [CrossRef]
- Yang, J.; Xia, L.; Groenigen, V.J.K.; Zhao, X.; Ti, C.; Wang, W.; Du, Z.; Fan, M.; Zhuang, M.; Smith, P.; et al. Sustained benefits of long-term biochar application for food security and climate change mitigation. Proc. Natl. Acad. Sci. USA 2025, 122, e2509237122. [Google Scholar] [CrossRef]
- Zhao, Z.; Wang, X.; Li, H.; Ren, S.; Chen, J.; Wang, L. Slow-release property and soil remediation mechanism of biochar-based fertilizers. J. Plant Nutr. Fertil. 2021, 27, 886–897. [Google Scholar] [CrossRef]
- Rondon, M.A.; Lehmann, J.; Ramírez, J.; Hurtado, M. Biological nitrogen fixation by common beans (Phaseolus vulgaris L.) increases with biochar additions. Biol. Fertil. Soils 2007, 43, 699–708. [Google Scholar] [CrossRef]
- Omondi, M.O.; Xin, X.; Nahayo, A.; Liu, X.; Korai, P.K.; Pan, G. Quantification of biochar effects on soil hydrological properties using meta-analysis of literature data. Geoderma 2016, 274, 28–34. [Google Scholar] [CrossRef]
- Liu, C.; Tian, J.; Chen, L.; He, Q.; Liu, X.; Bian, R.; Zheng, J.; Cheng, K.; Xia, S.; Zhang, X.; et al. Biochar boosted high oleic peanut production with enhanced root development and biological N fixation by diazotrophs in a sand-loamy Primisol. Sci. Total Environ. 2024, 932, 173061. [Google Scholar] [CrossRef] [PubMed]
- Abhijeet, P.; Swagathnath, G.; Rangabhashiyam, S.; Asok Rajkumar, M.; Balasubramanian, P. Prediction of pyrolytic product composition and yield for various grass biomass feedstocks. Biomass Convers. Biorefinery 2020, 10, 663–674. [Google Scholar] [CrossRef]
- Novak, J.M.; Busscher, W.J.; Laird, D.; Ahmedna, M.; Watts, D.W.; Niandou, M.A. Impact of Biochar Amendment on Fertility of a Southeastern Coastal Plain Soil. Soil Sci. 2009, 174, 105–112. [Google Scholar] [CrossRef]
- Li, B.; Guo, Y.; Liang, F.; Liu, W.; Wang, Y.; Cao, W.; Song, H.; Chen, J.; Guo, J. Global integrative meta-analysis of the responses in soil organic carbon stock to biochar amendment. J. Environ. Manag. 2024, 351, 119745. [Google Scholar] [CrossRef]
- Guo, H.; Wu, Z.; Li, J.; Lu, Z.; Luan, S.; Hu, S.; Liu, X.; Li, N.; Han, X. A nine-year study: Continuous application of biochar achieves efficient potassium supply by modifying soil clay mineral composition and its potassium adsorption sites. J. Soils Sediments 2025, 25, 1829–1845. [Google Scholar] [CrossRef]
- Blair, G.J.; Lefroy, R.D.B.; Lisle, L. Soil carbon fractions based on their degree of oxidation, and the development of a carbon management index for agricultural systems. Aust. Agric. Res. 1995, 46, 1459–1466. [Google Scholar] [CrossRef]
- Bolan, N.S.; Baskaran, S.; Thiagarajan, S. An Evaluation of the Methods of Measurement of Dissolved Organic Carbon in Soils, Manures, Sludges, and Stream Water. Commun. Soil Sci. Plant Anal. 1996, 27, 2723–2737. [Google Scholar] [CrossRef]
- Vance, E.D.; Brookes, P.C.; Jenkinson, D.S. An extraction method for measuring soil microbial biomass C. Soil Biol. Biochem. 1987, 19, 703–707. [Google Scholar] [CrossRef]
- Cambardella, C.A.; Elliott, E.T. Particulate soil organic matter changes across a grassland cultivation sequence. Soil Sci. Soc. Am. J. 1992, 56, 777–783. [Google Scholar] [CrossRef]
- Kumada, K.; Sato, O.; Ohsumi, Y.; Ohta, S. Humus composition of mountain soils in Central Japan with special reference to the distribution of P type humic acid. Soil Sci. Plant Nutr. 1967, 13, 151–158. [Google Scholar] [CrossRef]
- Margenot, A.J.; Calderón, F.J.; Bowles, T.M.; Parikh, S.J.; Jackson, L.E. Soil Organic Matter Functional Group Composition in Relation to Organic Carbon, Nitrogen, and Phosphorus Fractions in Organically Managed Tomato Fields. Soil Sci. Soc. Am. J. 2015, 79, 772–782. [Google Scholar] [CrossRef]
- Zhang, Y.L.; Xie, H.T.; Wang, F.P.; Sun, C.; Zhang, X.D. Effects of biochar incorporation on soil viable and necromass carbon in the luvisol soil. Soil Use Manag. 2022, 38, 318–330. [Google Scholar] [CrossRef]
- Zhang, X.D.; Amelung, W. Gas chromatographic determination of muramic acid, glucosamine, mannosamine and galactosamine in soils. Soil Biol. Biochem. 1996, 28, 1201–1206. [Google Scholar] [CrossRef]
- Yan, S.; Zhang, S.; Yan, P.; Wei, Z.; Niu, X.; Zhang, H. Biochar application increased soil carbon sequestration by altering organic carbon components in aggregates. Soil Tillage Res. 2026, 255, 106795. [Google Scholar] [CrossRef]
- Pathy, A.; Ray, J.; Paramasivan, B. Biochar amendments and its impact on soil biota for sustainable agriculture. Biochar 2020, 2, 287–305. [Google Scholar] [CrossRef]
- Lehmann, J.; Rillig, M.C.; Thies, J.; Masiello, C.A.; Hockaday, W.C.; Crowley, D. Biochar effects on soil biota-a review. Soil Biol. Biochem. 2011, 43, 1812–1836. [Google Scholar] [CrossRef]
- Kalu, S.; Seppänen, A.; Mganga, K.Z.; Sietiö, O.-M.; Glaser, B.; Karhu, K. Biochar reduced the mineralization of native and added soil organic carbon: Evidence of negative priming and enhanced microbial carbon use efficiency. Biochar 2024, 6, 7. [Google Scholar] [CrossRef]
- Vila-Costa, M.; Cerro-Galvez, E.; Martinez-Varela, A.; Casas, G.; Dachs, J. Anthropogenic dissolved organic carbon and marine microbiomes. ISME J. 2020, 14, 2646–2648. [Google Scholar] [CrossRef] [PubMed]
- Amonette, J.E.; Joseph, S. Characteristics of biochar: Microchemical properties. J. Party Sch. Shengli Oilfield 2009, 7, 1649–1654. [Google Scholar] [CrossRef]
- Liao, L.; Wang, J.; Dijkstra, F.A.; Lei, S.; Zhang, L.; Wang, X.; Liu, G.; Zhang, C. Nitrogen enrichment stimulates rhizosphere multi-element cycling genes via mediating plant biomass and root exudates. Soil Biol Biochem. 2024, 190, 109306. [Google Scholar] [CrossRef]
- Sun, Q.; Yang, X.; Bao, Z.; Bao, Z.; Gao, J.; Meng, J.; Han, X.; Lan, Y.; Liu, Z.; Chen, W. Responses of microbial necromass carbon and microbial community structure to straw-and straw-derived biochar in brown earth soil of Northeast China. Front. Microbiol. 2022, 13, 967746. [Google Scholar] [CrossRef]
- Chen, Y.; Sun, K.; Yang, Y.; Gao, B.; Zheng, H. Effects of biochar on the accumulation of necromass-derived carbon, the physical protection and microbial mineralization of soil organic carbon. Crit. Rev. Environ. Sci. Technol. 2024, 54, 39–67. [Google Scholar] [CrossRef]
- Burrell, L.D.; Zehetner, F.; Rampazzo, N.; Wimmer, B.; Soja, G. Long-term effects of biochar on soil physical properties. Geoderma 2016, 282, 96–102. [Google Scholar] [CrossRef]
- Liu, Y.; Yang, M.; Wu, Y.; Wang, H.; Chen, Y.; Wu, W. Reducing CH4 and CO2 emissions from waterlogged paddy soil with biochar. J. Soils Sediments 2011, 11, 930–939. [Google Scholar] [CrossRef]
- Barg, A.K.; Edmonds, R.L. Influence of partial cutting on site microclimate, soil nitrogen dynamics, and microbial biomass in douglas-fir stands in western Washington. Can. J. For. Res. 1999, 29, 705–713. [Google Scholar] [CrossRef]
- Pan, Q.; Song, T.; Chen, K.; Xu, X.; Peng, J.; Zhan, W.; Wang, Y.; Han, X. Influences of 6-year Application of Biochar and Biochar-based Compound Fertilizer on Soil Bioactivity on Brown Soil. Acta Agric. Boreali Sin. 2016, 31, 225–232. [Google Scholar] [CrossRef]
- Fowles, M. Black carbon sequestration as an alternative to bioenergy. Biomass Bioenergy 2007, 31, 426–432. [Google Scholar] [CrossRef]
- Zimmerman, A.R.; Gao, B.; Ahn, M.-Y. Positive and negative carbon mineralization priming effects among a variety of biochar-amended soils. Soil Biol. Biochem. 2011, 43, 1169–1179. [Google Scholar] [CrossRef]
- Bai, Y.; Xue, W.; Yan, Y.; Zuo, W.; Shan, Y.; Feng, K. The challenge of improving coastal mudflat soil: Formation and stability of organo-mineral complexes. Land Degrad. Dev. 2018, 29, 1074–1080. [Google Scholar] [CrossRef]
- Zhang, A.; Wang, X.; Fang, Y.; Sun, X.; Tavakkoli, E.; Li, Y.; Wu, D.; Du, Z. Biochar more than stubble management affected carbon allocation and persistence in soil matrix: A 9-year temperate cropland trial. J. Soils Sediments 2023, 23, 3018–3028. [Google Scholar] [CrossRef]
- Chia, C.H.; Munroe, P.; Joseph, S.D.; Lin, Y.; Lehmann, J.; Muller, D.A. Analytical electron microscopy of black carbon and microaggregated mineral matter in Amazonian dark Earth. J. Microsc. 2012, 245, 129–139. [Google Scholar] [CrossRef]
- Burgeon, V.; Fouché, J.; Leifeld, J.; Chenu, C.; Cornélis, J.T. Organo-mineral associations largely contribute to the stabilization of century-old pyrogenic organic matter in cropland soils. Geoderma 2021, 388, 114841. [Google Scholar] [CrossRef]
- Paul, E.A. The nature and dynamics of soil organic matter: Plant inputs, microbial transformations, and organic matter stabilization. Soil Biol. Biochem. 2016, 98, 109–126. [Google Scholar] [CrossRef]
- Zhan, Z.Y.; Hao, L.W.; Yue, Q.; Liu, S.; Cao, D.Y.; Chen, W.F.; Lan, Y.; Qian, C.J. Effect of biochar application on the physicochemical properties and humus components of soybean meadow soil in Northeast China. Acta Ecol. Sin. 2024, 44, 7797–7806. [Google Scholar] [CrossRef]
- Jones, D.L.; Rousk, J.; Edwards-Jones, G.; Deluca, T.H.; Murphy, D.V. Biochar-mediated changes in soil quality and plant growth in a three year field trial. Soil Biol. Biochem. 2012, 45, 113–124. [Google Scholar] [CrossRef]
- Cheng, C.H.; Lehmann, J.; Thies, J.E.; Burton, S.D.; Engelhard, M.H. Oxidation of black carbon by biotic and abiotic processes. Org. Geochem. 2006, 37, 1477–1488. [Google Scholar] [CrossRef]
- Wang, Q.Y.; Cao, D.Y.; Wang, D.; Zhan, Z.Y.; He, W.Y.; Sun, Q.; Chen, W.F.; Lan, Y. Effects of Long-Term Application of Biochar on Nutrients, Fractions of Humic in Brown Soil. Sci. Agric. Sin. 2024, 57, 2612–2622. [Google Scholar] [CrossRef]
- Song, X.; Song, C.; Liu, X.; Li, Y.; Kong, X.; Li, X.; Cui, D. Effects of Application of Biochar on Soil Humic Substances in Cropland under Wheat-Corn Rotation System. Acta Pedol. Sin. 2021, 5, 610–618. [Google Scholar] [CrossRef]
- Cui, X.; Mi, J.; Liu, J.; Zhao, B.; Zhang, L.; Wu, S.; Hu, K. Effects of combined application of bentonite and straw on organic carbonation structure and enzyme activity of soil in root zone. Soil Fertil. Sci. China 2024, 3, 8–14. [Google Scholar] [CrossRef]
- Zhao, S.; Yu, X.; Li, Z.; Yang, Y.; Liu, D.; Wang, X.; Zhang, A. Effects of Biochar Pyrolyzed at Varying Temperatures on Soil Organic Carbon and Its Components: Influence on the Soil Active Organic Carbon. Environ. Sci. 2017, 38, 333–342. [Google Scholar] [CrossRef]
- Cheng, C.H.; Lehmann, J.; Engelhard, M.H. Natural oxidation of black carbon in soils: Changes in molecular form and surface charge along a climosequence. Geochim. Cosmochim. Acta 2008, 72, 1598–1610. [Google Scholar] [CrossRef]
- Chen, J.; Zhang, H.; Lu, Y.; Zhao, H.; Xiang, X.; Yu, X.; Dai, J.; Tian, X. Biochar superior than straw in enhancing soil carbon sequestration via altering organic matter stability and carbon cycle genes in Cd-Contaminated soil. Environ. Res. 2025, 287, 123128. [Google Scholar] [CrossRef]
- Liang, C.; Amelung, W.; Lehmann, J.; Kästner, M. Quantitative assessment of microbial necromass contribution to soil organic matter. Glob. Change Biol. 2019, 25, 3578–3590. [Google Scholar] [CrossRef]
- Sun, D.; Meng, J.; Xu, E.G.; Chen, W. Microbial community structure and predicted bacterial metabolic functions in biochar pellets aged in soil after 34 months. Appl. Soil Ecol. 2016, 100, 135–143. [Google Scholar] [CrossRef]
- Zhang, T.; Wang, T.; Liu, K.S.; Wang, L.X.; Wang, K.; Zhou, Y. Effects of different amendments for the reclamation of coastal saline soil on soil nutrient dynamics and electrical conductivity responses. Agric. Water Manag. 2015, 159, 115–122. [Google Scholar] [CrossRef]
- Li, X.; Wang, T.; Chang, S.X.; Jiang, X.; Song, Y. Biochar increases soil microbial biomass but has variable effects on microbial diversity: A meta-analysis. Sci. Total Environ. 2020, 749, 141593. [Google Scholar] [CrossRef]
- Zhang, Y.Y.; Wang, T.; Yan, C.; Li, Y.Z.; Mo, F.; Han, J. Microbial life-history strategies and particulate organic carbon mediate formation of microbial necromass carbon and stabilization in response to biochar addition. Sci. Total Environ. 2024, 950, 175041. [Google Scholar] [CrossRef] [PubMed]
- He, L.Y.; Mazza Rodrigues, J.L.; Soudzilovskaia, N.A.; Barceló, M.; Olsson, P.A.; Song, C.; Tedersoo, L.; Yuan, F.H.; Yuan, F.M.; Lipson, D.A.; et al. Global biogeography of fungal and bacterial biomass carbon in topsoil. Soil Biol. Biochem. 2020, 151, 108024. [Google Scholar] [CrossRef]
- Wang, B.; An, S.S.; Liang, C.; Liu, Y.; Kuzyakov, Y. Microbial necromass as the source of soil organic carbon in global ecosystems. Soil Biol. Biochem. 2021, 162, 108422. [Google Scholar] [CrossRef]









| Soil Layer (cm) | pH | Organic Carbon (g kg−1) | Total N (g kg−1) | Total P (g kg−1) | Total K (g kg−1) | Available N (mg kg−1) | Available P (mg kg−1) | Available K (mg kg−1) |
|---|---|---|---|---|---|---|---|---|
| 0–20 | 6.81 | 7.62 | 0.53 | 0.67 | 18.80 | 56.20 | 12.50 | 89.60 |
| 20–40 | 6.38 | 7.93 | 0.51 | 0.42 | 18.90 | 66.97 | 28.31 | 132.52 |
| Treatment | C (kg hm−2) | N (kg hm−2) | P2O5 (kg hm−2) | K2O (kg hm−2) |
|---|---|---|---|---|
| CK | 0 | 0 | 0 | 0 |
| C15 | 225 | 1.1 | 1.9 | 1.3 |
| C50 | 750 | 3.7 | 6.3 | 4.4 |
| NPK | 0 | 75 | 97.5 | 97.5 |
| BBF | 225 | 75 | 97.5 | 97.5 |
| Wavenumber (cm−1) | Functional Group |
|---|---|
| 3621, 3435 | Alcohols, phenolic compounds hydroxyl O-H telescopic vibration or amine branch N-H telescopic vibration |
| 2928, 2833 | -CH2, -CH3 stretching vibrations in aliphatic alkanes |
| 1610 | C=C stretching vibrations of aromatic compounds or C=O stretching vibrations of quinone, ketone, and amide I bands |
| 1358 | C=O/C=N bonds in aromatic compounds and carboxylic acids |
| 1034 | C-O stretching vibrations of polysaccharides and Si-O stretching vibrations in inorganic substances |
| Soil Layer (cm) | Treatments | C=C/C=O 1610 cm−1 | C=O/C=N 1358 cm−1 | C-O 1034 cm−1 | O-H/N-H 3621 + 3435 cm−1 |
|---|---|---|---|---|---|
| 0–20 | CK | 75.17 ± 3.61 b | 23.66 ± 1.19 c | 72.00 ± 7.96 a | 162.18 ± 5.62 a |
| C15 | 76.65 ± 1.36 b | 24.93 ± 0.58 bc | 83.69 ± 8.15 a | 121.20 ± 4.55 b | |
| C50 | 83.62 ± 2.50 ab | 26.64 ± 0.77 ab | 80.42 ± 2.24 a | 124.96 ± 6.33 b | |
| NPK | 77.57 ± 3.57 b | 25.01 ± 0.96 bc | 75.72 ± 6.48 a | 141.58 ± 15.29 ab | |
| BBF | 88.66 ± 2.43 a | 27.95 ± 0.34 a | 72.08 ± 11.59 a | 130.92 ± 14.25 ab | |
| 20–40 | CK | 62.52 ± 5.25 b | 17.82 ± 1.89 b | 80.81 ± 5.08 a | 162.74 ± 11.00 a |
| C15 | 62.01 ± 3.46 b | 17.16 ± 0.97 b | 78.72 ± 10.92 a | 100.66 ± 2.32b c | |
| C50 | 74.64 ± 2.80 a | 22.51 ± 1.77 a | 71.68 ± 15.25 a | 145.48 ± 24.11 a | |
| NPK | 65.8 ± 3.40 ab | 18.90 ± 0.62 ab | 76.81 ± 6.58 a | 137.48±9.37 ab | |
| BBF | 66.61 ± 0.23 ab | 19.45 ± 0.30 ab | 76.44 ± 2.33 a | 95.58 ± 3.17 c |
| Soil Layer (cm) | Treatments | C=C/C=O 1610 cm−1 (%) | C=O/C=N 1358 cm−1 (%) | C-O 1034 cm−1 (%) | O-H/N-H 3621 + 3435 cm−1 (%) |
|---|---|---|---|---|---|
| 0–20 | CK | 0.23 ± 0.01 c | 0.07 ± 0.00 c | 0.22 ± 0.02 a | 0.52 ± 0.05 a |
| C15 | 0.25 ± 0.01 b | 0.08 ± 0.00 b | 0.27 ± 0.02 a | 0.35 ± 0.02 c | |
| C50 | 0.26 ± 0.00 a | 0.08 ± 0.00 a | 0.26 ± 0.01 a | 0.46 ± 0.02 ab | |
| NPK | 0.24 ± 0.00 bc | 0.08 ± 0.00 b | 0.24 ± 0.03 a | 0.34 ± 0.03 c | |
| BBF | 0.28 ± 0.00 a | 0.09 ± 0.00 a | 0.23 ± 0.04 a | 0.42 ± 0.02 bc | |
| 20–40 | CK | 0.19 ± 0.01 d | 0.05 ± 0.00 c | 0.25 ± 0.01 a | 0.50 ± 0.02 a |
| C15 | 0.24 ± 0.00 b | 0.07 ± 0.00 ab | 0.30 ± 0.03 a | 0.39 ± 0.03 b | |
| C50 | 0.24 ± 0.00 b | 0.07 ± 0.00 ab | 0.23 ± 0.06 a | 0.46 ± 0.06 ab | |
| NPK | 0.22 ± 0.01 c | 0.06 ± 0.00 b | 0.26 ± 0.01 a | 0.46 ± 0.02 ab | |
| BBF | 0.26 ± 0.00 a | 0.08 ± 0.00 a | 0.30 ± 0.01 a | 0.37 ± 0.01 b |
Disclaimer/Publisher’s Note: The statements, opinions and data contained in all publications are solely those of the individual author(s) and contributor(s) and not of MDPI and/or the editor(s). MDPI and/or the editor(s) disclaim responsibility for any injury to people or property resulting from any ideas, methods, instructions or products referred to in the content. |
© 2025 by the authors. Licensee MDPI, Basel, Switzerland. This article is an open access article distributed under the terms and conditions of the Creative Commons Attribution (CC BY) license.
Share and Cite
Wang, B.; Guo, C.; Xu, X.; Sun, Y.; Fu, S.; Cui, C.; Yang, C.; Yang, J.; Yang, Y. Response of Organic Carbon Components and Stability to Long-Term Application of Low Doses of Biochar and Biochor-Based Fertilizers. Agronomy 2026, 16, 99. https://doi.org/10.3390/agronomy16010099
Wang B, Guo C, Xu X, Sun Y, Fu S, Cui C, Yang C, Yang J, Yang Y. Response of Organic Carbon Components and Stability to Long-Term Application of Low Doses of Biochar and Biochor-Based Fertilizers. Agronomy. 2026; 16(1):99. https://doi.org/10.3390/agronomy16010099
Chicago/Turabian StyleWang, Boying, Chuhan Guo, Xiaowen Xu, Yu Sun, Shuang Fu, Chen Cui, Chongwen Yang, Jinfeng Yang, and Yanru Yang. 2026. "Response of Organic Carbon Components and Stability to Long-Term Application of Low Doses of Biochar and Biochor-Based Fertilizers" Agronomy 16, no. 1: 99. https://doi.org/10.3390/agronomy16010099
APA StyleWang, B., Guo, C., Xu, X., Sun, Y., Fu, S., Cui, C., Yang, C., Yang, J., & Yang, Y. (2026). Response of Organic Carbon Components and Stability to Long-Term Application of Low Doses of Biochar and Biochor-Based Fertilizers. Agronomy, 16(1), 99. https://doi.org/10.3390/agronomy16010099
