Foliar Application of Zinc Improves Safflower Yields More than Glycine Betaine
Abstract
1. Introduction
2. Materials and Methods
2.1. Study Area
2.2. Field Experiment
2.3. Determination of Monitoring Indicators
2.3.1. Agronomic Characteristics
2.3.2. Leaf Photosynthetic Indices and SPAD Value
2.3.3. Antioxidant Enzymes and MDA
2.3.4. Filament and Grain Yields of Safflowers
2.4. Water-Use Efficiency
2.5. Data Analysis
3. Results
3.1. Effects of Zinc and Glycine Betaine on Agronomic Traits
3.2. Effects of Zinc or Glycine Betaine on Photosynthetic Parameters
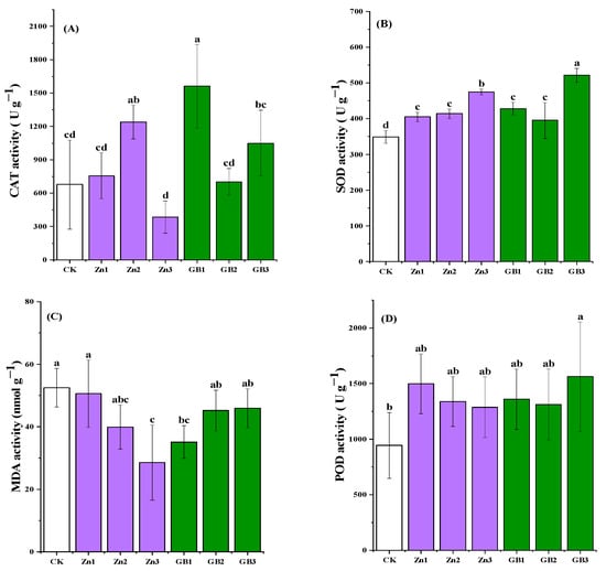
3.3. Effects of Zinc or Glycine Betaine on Enzyme Activity
3.4. Effects of Zinc or Glycine Betaine on Safflower Yield
3.5. Correlation Among the Indices and Safflower Yield
4. Discussion
4.1. Technical Measures for Increasing Safflower Yield
4.2. Mechanism of Safflower Yield Improvement
5. Conclusions
Author Contributions
Funding
Data Availability Statement
Conflicts of Interest
References
- Kummu, M.; Guillaume, J.H.A.; de Moel, H.; Eisner, S.; Flörke, M.; Porkka, M.; Siebert, S.; Veldkamp, T.I.E.; Ward, P.J. The world’s road to water scarcity: Shortage and stress in the 20th century and pathways towards sustainability. Sci. Rep. 2016, 6, 38495. [Google Scholar] [CrossRef] [PubMed]
- Omidi, A.H.; Khazaei, H.; Monneveux, P.; Stoddard, F. Effect of cultivar and water regime on yield and yield components in safflower (Carthamus tinctorius L.). Turk. J. Field Crops 2012, 17, 10–15. [Google Scholar]
- Elliott, J.; Deryng, D.; Müller, C.; Frieler, K.; Konzmann, M.; Gerten, D.; Glotter, M.; Flörke, M.; Wada, Y.; Best, N. Constraints and potentials of future irrigation availability on agricultural production under climate change. Proc. Natl. Acad. Sci. USA 2014, 111, 3239–3244. [Google Scholar] [CrossRef]
- Ahmadi, R.; Mahmoudi, M.; Shekari, F.; Afsahi, K.; Shekari, K.; Saba, J.; Mastinu, A. Application methods of zinc sulphate increased safflower seed yield and quality under end-season drought stress. Horticulturae 2024, 10, 963. [Google Scholar] [CrossRef]
- Nazar, Z.; Akram, N.A.; Saleem, M.H.; Ashraf, M.; Ahmed, S.; Ali, S.; Alsahli, A.A.; Alyemeni, M.N. Glycinebetaine-induced alteration in gaseous exchange capacity and osmoprotective phenomena in safflower (Carthamus tinctorius L.) under water deficit conditions. Sustainability 2020, 12, 10649. [Google Scholar] [CrossRef]
- Hassan, M.U.; Aamer, M.; Chattha, M.U.; Haiying, T.; Shahzad, B.; Barbanti, L.; Nawaz, M.; Rasheed, A.; Afzal, A.; Liu, Y.; et al. The critical role of zinc in plants facing the drought stress. Agriculture 2020, 10, 0396. [Google Scholar] [CrossRef]
- Rahmani, F.; Sayfzadeh, S.; Jabbari, H.; Valadabadi, S.A.; Masouleh, E.H. Alleviation of drought stress effects on safflower yield by foliar application of zinc. Int. J. Plant Prod. 2019, 13, 297–308. [Google Scholar] [CrossRef]
- Manvelian, J.; Weisany, W.; Tahir, N.A.; Jabbari, H.; Diyanat, M. Physiological and biochemical response of safflower (Carthamus tinctorius L.) cultivars to zinc application under drought stress. Ind. Crops Prod. 2021, 172, 114069. [Google Scholar] [CrossRef]
- Ssemugenze, B.; Ocwa, A.; Kuunya, R.; Gumisiriya, C.; Bojtor, C.; Nagy, J.; Széles, A.; Illés, Á. Enhancing maize production through timely nutrient supply: The role of foliar fertiliser application. Agronomy 2025, 15, 176. [Google Scholar] [CrossRef]
- Boostanian, M.; Ehsanzadeh, P. Mycorrhizae and zinc supply benefits safflower: Evidence from the correction of minerals nutrition, physiological and yield penalties of saline water. J. Soil Sci. Plant Nutr. 2025, 25, 2187–2205. [Google Scholar] [CrossRef]
- Shemi, R.; Wang, R.; Gheith, E.S.M.S.; Hussain, H.A.; Hussain, S.; Irfan, M.; Cholidah, L.; Zhang, K.; Zhang, S.; Wang, L. Effects of salicylic acid, zinc and glycine betaine on morpho-physiological growth and yield of maize under drought stress. Sci. Rep. 2021, 11, 3195. [Google Scholar] [CrossRef]
- Wani, S.H.; Singh, N.B.; Haribhushan, A.; Mir, J.I. Compatible solute engineering in plants for abiotic stress tolerance -Role of glycine betaine. Curr. Genom. 2013, 14, 157–165. [Google Scholar] [CrossRef]
- Alasvandyari, F.; Mahdavi, B.; Hosseini, S.M. Glycine betaine affects the antioxidant system and ion accumulation and reduces salinity-induced damage in safflower seedlings. Arch. Biol. Sci. 2017, 69, 139–147. [Google Scholar] [CrossRef]
- Gong, Z.T.; Huang, R.J.; Zhang, G.L. Soil Geography of China; Science Press: Beijing, China, 2014. [Google Scholar]
- Cui, W.C. Soil in Xinjiang; Science Press: Beijing, China, 1996. [Google Scholar]
- Al Shamsi, S.R.H.A.; Rabert, G.A.; Kurup, S.S.; Alyafei, M.A.M.; Jaleel, A. Biochemical changes and antioxidant variations in date palm (Phoenix dactylifera L.) varieties during flower induction and development. Plants 2021, 10, 2550. [Google Scholar] [CrossRef]
- De Santana, T.A.; Oliveira, P.S.; Silva, L.D.; Laviola, B.G.; De Almeida, A.F.; Gomes, F.P. Water use efficiency and consumption in different brazilian genotypes of Jatropha curcas L. subjected to soil water deficit. Biomass Bioenerg. 2015, 75, 119–125. [Google Scholar] [CrossRef]
- Shen, D.; Zhang, G.; Xie, R.; Ming, B.; Hou, P.; Xue, J.; Li, S.; Wang, K. Improvement in photosynthetic rate and grain yield in super-high-yield maize (Zea mays L.) by optimizing irrigation interval under mulch drip irrigation. Agronomy 2020, 10, 1778. [Google Scholar] [CrossRef]
- Yasin, S.; Zavala-García, F.; Niño-Medina, G.; Rodríguez-Salinas, P.A.; Gutiérrez-Diez, A.; Sinagawa-García, S.R.; Lugo-Cruz, E. Morphological and physiological response of maize (Zea mays L.) to drought stress during reproductive stage. Agronomy 2024, 14, 1718. [Google Scholar]
- Song, H.; Jiang, Y.; Xu, Z.; Zhou, G. Response of photosynthetic physiological parameters of maize to drought during the whole growth period and after the jointing stage. Acta Ecol. Sin. 2019, 39, 2405–2415. (In Chinese) [Google Scholar] [CrossRef]
- Meng, J.; Zhang, W.; Hu, G.; Wang, L.; Geng, Q.; Wang, X. Yield grading and yield increasing measures of safflower in Xinjiang. Hubei Agric. Sci. 2024, 63, 110–114. (In Chinese) [Google Scholar]
- Zhao, X.; Shi, X.; Dong, T.; Gao, W.; Deng, C.; Lu, L. Correlation and path analysis of main agronomic traits and single plant grain yield in safflower. J. Henan Norm. Univ. (Nat. Sci. Ed.) 2016, 44, 140–144. (In Chinese) [Google Scholar]
- Stadnik, B.; Tobiasz-Salach, R.; Migut, D. Influence of foliar application of microelements on yield and yield components of spring malting barley. Agriculture 2024, 14, 505. [Google Scholar] [CrossRef]
- Boorboori, M.; Asli, D.E.; Tehrani, M. The effect of dose and different methods of iron, zinc, manganese and copper application on yield components, morphological traits and grain protein percentage of barley plant (Hordeum vulgare L.) in greenhouse conditions. Adv. Environ. Biol. 2012, 6, 740–746. [Google Scholar]
- Pan, Y.; Zhang, W.; Hu, G.; Li, Y. Effects of different micro rainwater harvesting measures on safflower growth. Bull. Soil Water Conserv. 2023, 43, 104–110. (In Chinese) [Google Scholar]
- Li, Z.; Zhang, W.; Aikebaier, Y.; Dong, T.; Huang, G.; Qu, T.; Zhang, H. Sustainable development of arid rangelands and managing rainwater in gullies, Central Asia. Water 2020, 12, 2533. [Google Scholar] [CrossRef]
- Soheili-Movahhed, S.; Khomari, S.; Sheikhzadeh, P.; Alizadeh, B. Improvement in seed quantity and quality of spring safflower through foliar application of boron and zinc under end-season drought stress. J. Plant Nutr. 2019, 42, 942–953. [Google Scholar] [CrossRef]
- Marschner, P. Marschner’s Mineral Nutrition of Higher Plants, 3rd ed.; Academic Press: Adelaide, Australia, 2012. [Google Scholar]
- Felitsky, D.J.; Cannon, J.G.; Capp, M.W.; Hong, J.; Van Wynsberghe, A.W.; Anderson, C.F.; Record, M.T., Jr. The exclusion of glycine betaine from anionic biopolymer surface: Why glycine betaine is an effective osmoprotectant but also a compatible solute. Biochemistry 2004, 43, 14732–14743. [Google Scholar] [CrossRef]






Disclaimer/Publisher’s Note: The statements, opinions and data contained in all publications are solely those of the individual author(s) and contributor(s) and not of MDPI and/or the editor(s). MDPI and/or the editor(s) disclaim responsibility for any injury to people or property resulting from any ideas, methods, instructions or products referred to in the content. |
© 2025 by the authors. Licensee MDPI, Basel, Switzerland. This article is an open access article distributed under the terms and conditions of the Creative Commons Attribution (CC BY) license (https://creativecommons.org/licenses/by/4.0/).
Share and Cite
Liu, J.; Hu, G.; Zhang, W.; Wu, J.; Geng, Q. Foliar Application of Zinc Improves Safflower Yields More than Glycine Betaine. Agronomy 2025, 15, 1770. https://doi.org/10.3390/agronomy15081770
Liu J, Hu G, Zhang W, Wu J, Geng Q. Foliar Application of Zinc Improves Safflower Yields More than Glycine Betaine. Agronomy. 2025; 15(8):1770. https://doi.org/10.3390/agronomy15081770
Chicago/Turabian StyleLiu, Jianglong, Guiqing Hu, Wentai Zhang, Jinghu Wu, and Qingyun Geng. 2025. "Foliar Application of Zinc Improves Safflower Yields More than Glycine Betaine" Agronomy 15, no. 8: 1770. https://doi.org/10.3390/agronomy15081770
APA StyleLiu, J., Hu, G., Zhang, W., Wu, J., & Geng, Q. (2025). Foliar Application of Zinc Improves Safflower Yields More than Glycine Betaine. Agronomy, 15(8), 1770. https://doi.org/10.3390/agronomy15081770
