Biochar Enhances Soil Organic Carbon by Stabilizing Microbial Necromass Carbon in Saline–Alkaline Topsoil
Abstract
1. Introduction
2. Materials and Methods
2.1. Site Description
2.2. Experimental Design
2.3. Soil Sampling and Analysis
2.3.1. Soil Chemical Properties Analysis
2.3.2. Soil Biological Properties Analysis
Microbial Necromass Carbon
Microbial Community Composition
2.4. Statistical Analysis
3. Results
3.1. Soil Chemical Properties
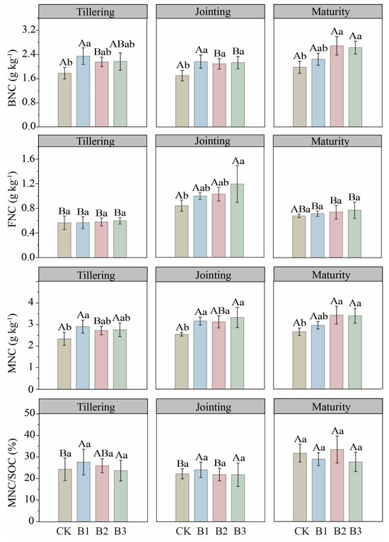
3.2. Soil Microbial Necromass Carbon Contents
3.3. Soil Microbial Community Composition and Alpha Diversity
3.4. Relationships of Soil Properties, MNC and Microbial Community Characteristics
4. Discussion
4.1. Effects of Biochar Addition on SOC and MNC
4.2. Changes in MNC and Its Contribution to SOC During the Growth Stages
4.3. Effects of Biochar Addition on Microbial Community Characteristics and Its Correlation with Microbial Necromass Carbon
5. Conclusions
Supplementary Materials
Author Contributions
Funding
Data Availability Statement
Acknowledgments
Conflicts of Interest
References
- Bünemann, E.K.; Bongiorno, G.; Bai, Z.; Creamer, R.E.; De Deyn, G.; De Goede, R.; Fleskens, L.; Geissen, V.; Kuyper, T.W.; Mäder, P.; et al. Soil Quality–A Critical Review. Soil Biol. Biochem. 2018, 120, 105–125. [Google Scholar] [CrossRef]
- Guo, L.; Xiong, S.; Chen, Y.; Cui, J.; Yang, S.; Wang, H.; Wang, Y.; Ding, Z. Total Organic Carbon Content as an Early Warning Indicator of Soil Degradation. Sci. Bull. 2023, 68, 150–153. [Google Scholar] [CrossRef]
- Lin, J.; Zhu, B.; Cheng, W. Decadally Cycling Soil Carbon Is More Sensitive to Warming than Faster-Cycling Soil Carbon. Glob. Change Biol. 2015, 21, 4602–4612. [Google Scholar] [CrossRef]
- Garsia, A.; Moinet, A.; Vazquez, C.; Creamer, R.E.; Moinet, G.Y.K. The Challenge of Selecting an Appropriate Soil Organic Carbon Simulation Model: A Comprehensive Global Review and Validation Assessment. Glob. Change Biol. 2023, 29, 5760–5774. [Google Scholar] [CrossRef]
- IPCC. Climate Change 2022: Impacts, Adaptation, and Vulnerability; Contribution of Working Group II to the Sixth Assessment Report of the Intergovernmental Panel on Climate Change; Pörtner, H.-O., Roberts, D.C., Tignor, M., Poloczanska, E.S., Mintenbeck, K., Alegría, A., Craig, M., Langsdorf, S., Löschke, S., Möller, V., et al., Eds.; Cambridge University Press: Cambridge, UK; New York, NY, USA, 2022; p. 3056. [Google Scholar] [CrossRef]
- Lei, S.; Jia, X.; Zhao, C.; Shao, M. A Review of Saline-Alkali Soil Improvements in China: Efforts and Their Impacts on Soil Properties. Agric. Water Manag. 2025, 317, 109617. [Google Scholar] [CrossRef]
- Chen, L.; Zhou, G.; Feng, B.; Wang, C.; Luo, Y.; Li, F.; Shen, C.; Ma, D.; Zhang, C.; Zhang, J. Saline-Alkali Land Reclamation Boosts Topsoil Carbon Storage by Preferentially Accumulating Plant-Derived Carbon. Sci. Bull. 2024, 69, 2948–2958. [Google Scholar] [CrossRef]
- Li, M.; Zhou, W.; Sun, M.; Shi, W.; Lun, J.; Zhou, B.; Hou, L.; Gao, Z. Decoupling Soil Community Structure, Functional Composition, and Nitrogen Metabolic Activity Driven by Salinity in Coastal Wetlands. Soil Biol. Biochem. 2024, 198, 109547. [Google Scholar] [CrossRef]
- Guo, Z.C.; Zhang, Z.B.; Zhou, H.; Rahman, M.T.; Wang, D.Z.; Guo, X.S.; Li, L.J.; Peng, X.H. Long-Term Animal Manure Application Promoted Biological Binding Agents but Not Soil Aggregation in a Vertisol. Soil Tillage Res. 2018, 180, 232–237. [Google Scholar] [CrossRef]
- Tang, C.; Yang, J.; Zhang, L.; Xie, W.; Yao, R.; Wang, X.; Wang, R.; Li, T. Abiotic and Biotic Factors Mediate the Decomposition of Crop Straw in Saline Farmland Soils. Geoderma 2025, 459, 117390. [Google Scholar] [CrossRef]
- Rath, K.M.; Rousk, J. Salt Effects on the Soil Microbial Decomposer Community and Their Role in Organic Carbon Cycling: A Review. Soil Biol. Biochem. 2015, 81, 108–123. [Google Scholar] [CrossRef]
- Xu, S.; Song, X.; Zeng, H.; Wang, J. Soil Microbial Necromass Carbon in Forests: A Global Synthesis of Patterns and Controlling Factors. Soil Ecol. Lett. 2024, 6, 240237. [Google Scholar] [CrossRef]
- Yang, Y.; Xie, H.; Mao, Z.; Bao, X.; He, H.; Zhang, X.; Liang, C. Fungi Determine Increased Soil Organic Carbon More than Bacteria through Their Necromass Inputs in Conservation Tillage Croplands. Soil Biol. Biochem. 2022, 167, 108587. [Google Scholar] [CrossRef]
- Cotrufo, M.F.; Ranalli, M.G.; Haddix, M.L.; Six, J.; Lugato, E. Soil Carbon Storage Informed by Particulate and Mineral-Associated Organic Matter. Nat. Geosci. 2019, 12, 989–994. [Google Scholar] [CrossRef]
- Wen, S.; Chen, J.; Yang, Z.; Deng, L.; Feng, J.; Zhang, W.; Zeng, X.; Huang, Q.; Delgado-Baquerizo, M.; Liu, Y. Climatic Seasonality Challenges the Stability of Microbial-Driven Deep Soil Carbon Accumulation across China. Glob. Change Biol. 2023, 29, 4430–4439. [Google Scholar] [CrossRef]
- He, M.; Fang, K.; Chen, L.; Feng, X.; Qin, S.; Kou, D.; He, H.; Liang, C.; Yang, Y. Depth-Dependent Drivers of Soil Microbial Necromass Carbon across Tibetan Alpine Grasslands. Glob. Change Biol. 2022, 28, 936–949. [Google Scholar] [CrossRef] [PubMed]
- Zhou, J.; Lin, X.S.; Lin, H.; Lin, D.M.; Yang, F.L.; Lin, Z. Advances on Juncao research and application. J. Fujian Agric. For. Univ. 2020, 49, 145–152. [Google Scholar]
- Qiu, R.; Zhang, H.; Guo, T.; Liu, X.; Wu, B.; Ma, J. Tianshui Soil and Water Conservation Experimental Station. Preliminary Report on the Introduction Experiment of Four Species of Gramineae in Gullied Rolling Loess Area. Yellow River 2019, 41, 100–102+110. [Google Scholar]
- Zhu, K.; Xu, Q.; Xie, J.; Zhang, X.; Rao, J.; Yang, W.; Xu, Q. Preparation of Lvzhou No.1 Biomass Carbon-Based Shape-Stabilized Composite Phase Change Material and Their Thermal Properties. J. Therm. Anal. Calorim. 2025, 150, 5991–6000. [Google Scholar] [CrossRef]
- Lehmann, J.; Cowie, A.; Masiello, C.A.; Kammann, C.; Woolf, D.; Amonette, J.E.; Cayuela, M.L.; Camps-Arbestain, M.; Whitman, T. Biochar in Climate Change Mitigation. Nat. Geosci. 2021, 14, 883–892. [Google Scholar] [CrossRef]
- Yang, Q.; Zhou, H.; Bartocci, P.; Fantozzi, F.; Mašek, O.; Agblevor, F.A.; Wei, Z.; Yang, H.; Chen, H.; Lu, X.; et al. Prospective Contributions of Biomass Pyrolysis to China’s 2050 Carbon Reduction and Renewable Energy Goals. Nat. Commun. 2021, 12, 1698. [Google Scholar] [CrossRef]
- Singh, G.; Mavi, M.S.; Choudhary, O.P.; Gupta, N.; Singh, Y. Rice Straw Biochar Application to Soil Irrigated with Saline Water in a Cotton-Wheat System Improves Crop Performance and Soil Functionality in North-West India. J. Environ. Manag. 2021, 295, 113277. [Google Scholar] [CrossRef]
- Wu, P.; Singh, B.P.; Wang, H.; Jia, Z.; Wang, Y.; Chen, W. Bibliometric Analysis of Biochar Research in 2021: A Critical Review for Development, Hotspots and Trend Directions. Biochar 2023, 5, 6. [Google Scholar] [CrossRef]
- Cai, Y.J.; Ok, Y.S.; Lehmann, J.; Chang, S.X. Recommendations for Stronger Biochar Research in Soil Biology and Fertility. Biol. Fertil. Soils 2021, 57, 333–336. [Google Scholar] [CrossRef]
- Tomczyk, A.; Sokołowska, Z.; Boguta, P. Biochar Physicochemical Properties: Pyrolysis Temperature and Feedstock Kind Effects. Rev. Environ. Sci. Biotechnol. 2020, 19, 191–215. [Google Scholar] [CrossRef]
- Liu, T.; Yang, L.; Hu, Z.; Xue, J.; Lu, Y.; Chen, X.; Griffiths, B.S.; Whalen, J.K.; Liu, M. Biochar Exerts Negative Effects on Soil Fauna across Multiple Trophic Levels in a Cultivated Acidic Soil. Biol. Fertil. Soils 2020, 56, 597–606. [Google Scholar] [CrossRef]
- Xu, H.; Cai, A.; Wu, D.; Liang, G.; Xiao, J.; Xu, M.; Colinet, G.; Zhang, W. Effects of Biochar Application on Crop Productivity, Soil Carbon Sequestration, and Global Warming Potential Controlled by Biochar C:N Ratio and Soil pH: A Global Meta-Analysis. Soil Tillage Res. 2021, 213, 105125. [Google Scholar] [CrossRef]
- Yuan, Y.; Liang, Y.; Cai, H.; Yuan, J.; Li, C.; Liu, H.; Zhang, C.; Wang, L.; Zhang, J. Soil Organic Carbon Accumulation Mechanisms in Soil Amended with Straw and Biochar: Entombing Effect or Biochemical Protection? Biochar 2025, 7, 33. [Google Scholar] [CrossRef]
- Chen, Y.; Du, Z.; Weng, Z.; Sun, K.; Zhang, Y.; Liu, Q.; Yang, Y.; Li, Y.; Wang, Z.; Luo, Y.; et al. Formation of Soil Organic Carbon Pool Is Regulated by the Structure of Dissolved Organic Matter and Microbial Carbon Pump Efficacy: A Decadal Study Comparing Different Carbon Management Strategies. Glob. Change Biol. 2023, 29, 5445–5459. [Google Scholar] [CrossRef]
- Han, L.; Sun, K.; Yang, Y.; Xia, X.; Li, F.; Yang, Z.; Xing, B. Biochar’s Stability and Effect on the Content, Composition and Turnover of Soil Organic Carbon. Geoderma 2020, 364, 114184. [Google Scholar] [CrossRef]
- Wang, J.; Xiong, Z.; Kuzyakov, Y. Biochar Stability in Soil: Meta-analysis of Decomposition and Priming Effects. GCB Bioenergy 2016, 8, 512–523. [Google Scholar] [CrossRef]
- Wei, Y.; Jiao, L.; Zhang, P.; Liu, F.D.; Xiao, H.; Dong, Y.C.; Sun, H.W. Research and Application Progress of Biochar in Amelioration of Saline-Alkali Soil. Environ. Sci. 2024, 45, 940–951. [Google Scholar]
- Zang, Y.; Chen, J.; Awais, M.; Abdulraheem, M.I.; Yusuff, M.A.; Geng, K.; Chen, Y.; Xiong, Y.; Li, L.; Zhang, Y.; et al. Nitrate Nitrogen Quantification via Ultraviolet Absorbance: A Case Study in Agricultural and Horticultural Regions in Central China. Agriculture 2025, 15, 1131. [Google Scholar] [CrossRef]
- Walkley, A.; Black, I.A. An Examination of the Degtjareff Method for Determining Soil Organic Matter and a Proposed Modification of the Chromic Acid Titration Method. Soil Sci. 1934, 37, 29. [Google Scholar] [CrossRef]
- Joergensen, R.G. Amino Sugars as Specific Indices for Fungal and Bacterial Residues in Soil. Biol. Fertil. Soils 2018, 54, 559–568. [Google Scholar] [CrossRef]
- Shao, S.; Zhao, Y.; Zhang, W.; Hu, G.; Xie, H.; Yan, J.; Han, S.; He, H.; Zhang, X. Linkage of Microbial Residue Dynamics with Soil Organic Carbon Accumulation during Subtropical Forest Succession. Soil Biol. Biochem. 2017, 114, 114–120. [Google Scholar] [CrossRef]
- Zhang, X.; Amelung, W. Gas Chromatographic Determination of Muramic Acid, Glucosamine, Mannosamine, and Galactosamine in Soils. Soil Biol. Biochem. 1996, 28, 1201–1206. [Google Scholar] [CrossRef]
- Liang, C.; Amelung, W.; Lehmann, J.; Kästner, M. Quantitative Assessment of Microbial Necromass Contribution to Soil Organic Matter. Glob. Change Biol. 2019, 25, 3578–3590. [Google Scholar] [CrossRef] [PubMed]
- R Core Team. R: A Language and Environment for Statistical Computing; R Foundation for Statistical Computing: Vienna, Austria, 2025; Available online: https://www.R-project.org/ (accessed on 24 June 2025).
- Revelle, W. R package, version 2.3.12; psych: Procedures for Psychological, Psychometric, and Personality Research; Northwestern University: Evanston, IL, USA, 2025. Available online: https://CRAN.R-project.org/package=psych (accessed on 24 June 2025).
- Huang, H. R Package, Version 0.0.7.4; linkET: Everything is Linkable. 2021. Available online: https://CRAN.R-project.org/package=linkET (accessed on 24 June 2025).
- Sanchez, G.; Trinchera, L.; Russolillo, G. R Package, Version 0.5.1; plspm: Partial Least Squares Path Modeling (PLS-PM). 2024. Available online: https://CRAN.R-project.org/package=plspm (accessed on 24 June 2025).
- Wang, Y.; Yin, Y.; Joseph, S.; Flury, M.; Wang, X.; Tahery, S.; Li, B.; Shang, J. Stabilization of Organic Carbon in Top- and Subsoil by Biochar Application into Calcareous Farmland. Sci. Total Environ. 2024, 907, 168046. [Google Scholar] [CrossRef]
- Islam, M.U.; Jiang, F.; Guo, Z.; Peng, X. Does Biochar Application Improve Soil Aggregation? A Meta-Analysis. Soil Tillage Res. 2021, 209, 104926. [Google Scholar] [CrossRef]
- Singh, B.P.; Cowie, A.L.; Smernik, R.J. Biochar Carbon Stability in a Clayey Soil as a Function of Feedstock and Pyrolysis Temperature. Environ. Sci. Technol. 2012, 46, 11770–11778. [Google Scholar] [CrossRef]
- Meng, W.; An, N.; Guan, S.; Dou, S.; Zhang, B.; Zhu, W.; Yue, J. Unraveling Mechanisms of Carbon Enrichment via Straw and Biochar Application to Enhance Soil Fertility and Improve Maize Yield. Eur. J. Agron. 2025, 169, 127673. [Google Scholar] [CrossRef]
- Cheng, Y.; Zhang, S.; Song, D.; Wu, H.; Wang, L.; Wang, X. Distribution Characteristics of Microbial Residues within Aggregates of Fluvo-Aquic Soil under Biochar Application. Agronomy 2023, 13, 392. [Google Scholar] [CrossRef]
- Chen, Y.; Wang, Z.; Sun, K.; Ren, J.; Xiao, Y.; Li, Y.; Gao, B.; Gunina, A.; Aloufi, A.S.; Kuzyakov, Y. Biochar and Microplastics Affect Microbial Necromass Accumulation and CO2 and N2O Emissions from Soil. ACS EST Eng. 2023, 4, 603–614. [Google Scholar] [CrossRef]
- Zhu, M.; Liu, Z.; Yi, Q.; Ma, R.; Xu, M.; Song, K.; Bian, R.; Zheng, J.; Zhang, X. The Divergent Response of Fungal and Bacterial Necromass Carbon in Soil Aggregates under Biochar Amendment in Paddy Soil. Plant Soil 2025, 513, 993–1008. [Google Scholar] [CrossRef]
- Liang, C.; Schimel, J.P.; Jastrow, J.D. The Importance of Anabolism in Microbial Control over Soil Carbon Storage. Nat. Microbiol. 2017, 2, 17105. [Google Scholar] [CrossRef]
- Zhang, Y.; Wang, T.; Yan, C.; Li, Y.; Mo, F.; Han, J. Microbial Life-History Strategies and Particulate Organic Carbon Mediate Formation of Microbial Necromass Carbon and Stabilization in Response to Biochar Addition. Sci. Total Environ. 2024, 950, 175041. [Google Scholar] [CrossRef]
- Sun, Q.; Yang, X.; Bao, Z.; Gao, J.; Meng, J.; Han, X.; Lan, Y.; Liu, Z.; Chen, W. Responses of Microbial Necromass Carbon and Microbial Community Structure to Straw- and Straw-Derived Biochar in Brown Earth Soil of Northeast China. Front. Microbiol. 2022, 13, 967746. [Google Scholar] [CrossRef] [PubMed]
- Fu, H.; Chen, H.; Ma, Z.; Liang, G.; Chadwick, D.R.; Jones, D.L.; Wanek, W.; Wu, L.; Ma, Q. Fungal Necromass Carbon Dominates Global Soil Organic Carbon Storage. Glob. Change Biol. 2025, 31, e70413. [Google Scholar] [CrossRef] [PubMed]
- Ma, J.P.; Wu, M.Y.; Zhang, Y.Q.; Pang, D.B.; Chen, L.; Li, X.B.; Chen, Y.L. Accumulation and influencing factors of soil microbial necromass carbon in different grassland types of Ningxia, China. Acta Ecol. Sin. 2024, 44, 9300–9313. [Google Scholar]
- Li, X.; He, H.; Zhang, X.; Yan, X.; Six, J.; Cai, Z.; Barthel, M.; Zhang, J.; Necpalova, M.; Ma, Q.; et al. Distinct Responses of Soil Fungal and Bacterial Nitrate Immobilization to Land Conversion from Forest to Agriculture. Soil Biol. Biochem. 2019, 134, 81–89. [Google Scholar] [CrossRef]
- Song, J.; Zhang, H.; Razavi, B.; Chang, F.; Yu, R.; Zhang, X.; Wang, J.; Zhou, J.; Li, Y.; Kuzyakov, Y. Bacterial Necromass as the Main Source of Organic Matter in Saline Soils. J. Environ. Manag. 2024, 371, 123130. [Google Scholar] [CrossRef] [PubMed]
- Chen, J.; Wang, H.; Hu, G.; Li, X.; Dong, Y.; Zhuge, Y.; He, H.; Zhang, X. Distinct Accumulation of Bacterial and Fungal Residues along a Salinity Gradient in Coastal Salt-Affected Soils. Soil Biol. Biochem. 2021, 158, 108266. [Google Scholar] [CrossRef]
- Shi, S.; Tian, L.; Nasir, F.; Bahadur, A.; Batool, A.; Luo, S.; Yang, F.; Wang, Z.; Tian, C. Response of Microbial Communities and Enzyme Activities to Amendments in Saline-Alkaline Soils. Appl. Soil Ecol. 2019, 135, 16–24. [Google Scholar] [CrossRef]
- Hu, P.; Zhang, W.; Nottingham, A.T.; Xiao, D.; Kuzyakov, Y.; Xu, L.; Chen, H.; Xiao, J.; Duan, P.; Tang, T.; et al. Lithological Controls on Soil Aggregates and Minerals Regulate Microbial Carbon Use Efficiency and Necromass Stability. Environ. Sci. Technol. 2024, 58, 21186–21199. [Google Scholar] [CrossRef] [PubMed]
- Mellado-Vázquez, P.G.; Lange, M.; Gleixner, G. Soil Microbial Communities and Their Carbon Assimilation Are Affected by Soil Properties and Season but Not by Plants Differing in Their Photosynthetic Pathways (C3 vs. C4). Biogeochemistry 2019, 142, 175–187. [Google Scholar] [CrossRef]
- Lehmann, J.; Rillig, M.C.; Thies, J.; Masiello, C.A.; Hockaday, W.C.; Crowley, D. Biochar Effects on Soil Biota–A Review. Soil Biol. Biochem. 2011, 43, 1812–1836. [Google Scholar] [CrossRef]
- Peng, Z.; Qian, X.; Liu, Y.; Li, X.; Gao, H.; An, Y.; Qi, J.; Jiang, L.; Zhang, Y.; Chen, S.; et al. Land Conversion to Agriculture Induces Taxonomic Homogenization of Soil Microbial Communities Globally. Nat. Commun. 2024, 15, 3624. [Google Scholar] [CrossRef]
- Dai, Z.; Xiong, X.; Zhu, H.; Xu, H.; Leng, P.; Li, J.; Tang, C.; Xu, J. Association of Biochar Properties with Changes in Soil Bacterial, Fungal and Fauna Communities and Nutrient Cycling Processes. Biochar 2021, 3, 239–254. [Google Scholar] [CrossRef]
- Stone, B.W.G.; Dijkstra, P.; Finley, B.K.; Fitzpatrick, R.; Foley, M.M.; Hayer, M.; Hofmockel, K.S.; Koch, B.J.; Li, J.; Liu, X.J.A.; et al. Life History Strategies among Soil Bacteria—Dichotomy for Few, Continuum for Many. ISME J. 2023, 17, 611–619. [Google Scholar] [CrossRef]
- Fierer, N.; Bradford, M.A.; Jackson, R.B. Toward an Ecological Classification of Soil Bacteria. Ecology 2007, 88, 1354–1364. [Google Scholar] [CrossRef]
- Zhao, J.; Qiu, Y.; Yi, F.; Li, J.; Wang, X.; Fu, Q.; Fu, X.; Yao, Z.; Dai, Z.; Qiu, Y.; et al. Biochar Dose-Dependent Impacts on Soil Bacterial and Fungal Diversity across the Globe. Sci. Total Environ. 2024, 930, 172509. [Google Scholar] [CrossRef]
- Zhu, X.; Chen, B.; Zhu, L.; Xing, B. Effects and Mechanisms of Biochar-Microbe Interactions in Soil Improvement and Pollution Remediation: A Review. Environ. Pollut. 2017, 227, 98–115. [Google Scholar] [CrossRef]
- Li, M.; Chen, C.; Zhang, H.; Wang, Z.; Song, N.; Li, J.; Liang, X.; Yi, K.; Gu, Y.; Guo, X. Effects of Biochar Amendment and Organic Fertilizer on Microbial Communities in the Rhizosphere Soil of Wheat in Yellow River Delta Saline-Alkaline Soil. Front. Microbiol. 2023, 14, 1250453. [Google Scholar] [CrossRef]
- Dai, Z.; Enders, A.; Rodrigues, J.L.M.; Hanley, K.L.; Brookes, P.C.; Xu, J.; Lehmann, J. Soil Fungal Taxonomic and Functional Community Composition as Affected by Biochar Properties. Soil Biol. Biochem. 2018, 126, 159–167. [Google Scholar] [CrossRef]
- Yang, Y.; Gunina, A.; Chen, J.; Wang, B.; Cheng, H.; Wang, Y.; Liang, C.; An, S.; Chang, S.X.; Delgado-Baquerizo, M. Unfolding the Potential of Soil Microbial Community Diversity for Accumulation of Necromass Carbon at Large Scale. Glob. Change Biol. 2025, 31, e70292. [Google Scholar] [CrossRef] [PubMed]
- Bao, Y.; Dolfing, J.; Guo, Z.; Chen, R.; Wu, M.; Li, Z.; Lin, X.; Feng, Y. Important Ecophysiological Roles of Non-Dominant Actinobacteria in Plant Residue Decomposition, Especially in Less Fertile Soils. Microbiome 2021, 9, 84. [Google Scholar] [CrossRef] [PubMed]
- Shao, P.; Lynch, L.; Xie, H.; Bao, X.; Liang, C. Tradeoffs among Microbial Life History Strategies Influence the Fate of Microbial Residues in Subtropical Forest Soils. Soil Biol. Biochem. 2021, 153, 108112. [Google Scholar] [CrossRef]
- Liu, Q.; Zhu, Z.; Wei, L.; Zhang, W.; Wang, S.; Yuan, H.; Chen, J.; Ge, T.; Xu, M.; Kuzyakov, Y. Bacterial Necromass Decomposition and Priming Effects in Paddy Soils Depend on Long-Term Fertilization. Soil Biol. Biochem. 2025, 211, 109992. [Google Scholar] [CrossRef]
- Yang, Y.; Dou, Y.; Wang, B.; Xue, Z.; Wang, Y.; An, S.; Chang, S.X. Deciphering Factors Driving Soil Microbial Life-History Strategies in Restored Grasslands. iMeta 2023, 2, e66. [Google Scholar] [CrossRef]
- Maillard, F.; Beatty, B.; Park, M.; Adamczyk, S.; Adamczyk, B.; See, C.R.; Cavender-Bares, J.; Hobbie, S.E.; Kennedy, P.G. Microbial Community Attributes Supersede Plant and Soil Parameters in Predicting Fungal Necromass Decomposition Rates in a 12-Tree Species Common Garden Experiment. Soil Biol. Biochem. 2023, 184, 109124. [Google Scholar] [CrossRef]
- Malik, A.A.; Martiny, J.B.H.; Brodie, E.L.; Martiny, A.C.; Treseder, K.K.; Allison, S.D. Defining Trait-Based Microbial Strategies with Consequences for Soil Carbon Cycling under Climate Change. ISME J. 2020, 14, 1–9. [Google Scholar] [CrossRef] [PubMed]
- Domeignoz-Horta, L.A.; Pold, G.; Liu, X.-J.A.; Frey, S.D.; Melillo, J.M.; DeAngelis, K.M. Microbial Diversity Drives Carbon Use Efficiency in a Model Soil. Nat. Commun. 2020, 11, 3684. [Google Scholar] [CrossRef] [PubMed]
- Bastida, F.; Eldridge, D.J.; García, C.; Kenny Png, G.; Bardgett, R.D.; Delgado-Baquerizo, M. Soil Microbial Diversity–Biomass Relationships Are Driven by Soil Carbon Content across Global Biomes. ISME J. 2021, 15, 2081–2091. [Google Scholar] [CrossRef] [PubMed]
- Soares, M.; Rousk, J. Microbial Growth and Carbon Use Efficiency in Soil: Links to Fungal-Bacterial Dominance, SOC-Quality and Stoichiometry. Soil Biol. Biochem. 2019, 131, 195–205. [Google Scholar] [CrossRef]
- Camenzind, T.; Mason-Jones, K.; Mansour, I.; Rillig, M.C.; Lehmann, J. Formation of Necromass-Derived Soil Organic Carbon Determined by Microbial Death Pathways. Nat. Geosci. 2023, 16, 115–122. [Google Scholar] [CrossRef]
- Wang, C.; Wang, X.; Zhang, Y.; Morrissey, E.; Liu, Y.; Sun, L.; Qu, L.; Sang, C.; Zhang, H.; Li, G.; et al. Integrating Microbial Community Properties, Biomass and Necromass to Predict Cropland Soil Organic Carbon. ISME Commun. 2023, 3, 86. [Google Scholar] [CrossRef]






Disclaimer/Publisher’s Note: The statements, opinions and data contained in all publications are solely those of the individual author(s) and contributor(s) and not of MDPI and/or the editor(s). MDPI and/or the editor(s) disclaim responsibility for any injury to people or property resulting from any ideas, methods, instructions or products referred to in the content. |
© 2025 by the authors. Licensee MDPI, Basel, Switzerland. This article is an open access article distributed under the terms and conditions of the Creative Commons Attribution (CC BY) license (https://creativecommons.org/licenses/by/4.0/).
Share and Cite
Wang, Y.; Gao, Y.; Zheng, H.; Wang, R.; Ge, Z.; Miao, Z. Biochar Enhances Soil Organic Carbon by Stabilizing Microbial Necromass Carbon in Saline–Alkaline Topsoil. Agronomy 2025, 15, 2472. https://doi.org/10.3390/agronomy15112472
Wang Y, Gao Y, Zheng H, Wang R, Ge Z, Miao Z. Biochar Enhances Soil Organic Carbon by Stabilizing Microbial Necromass Carbon in Saline–Alkaline Topsoil. Agronomy. 2025; 15(11):2472. https://doi.org/10.3390/agronomy15112472
Chicago/Turabian StyleWang, Yiying, Yuan Gao, Haodong Zheng, Rongkang Wang, Zhiwei Ge, and Zimei Miao. 2025. "Biochar Enhances Soil Organic Carbon by Stabilizing Microbial Necromass Carbon in Saline–Alkaline Topsoil" Agronomy 15, no. 11: 2472. https://doi.org/10.3390/agronomy15112472
APA StyleWang, Y., Gao, Y., Zheng, H., Wang, R., Ge, Z., & Miao, Z. (2025). Biochar Enhances Soil Organic Carbon by Stabilizing Microbial Necromass Carbon in Saline–Alkaline Topsoil. Agronomy, 15(11), 2472. https://doi.org/10.3390/agronomy15112472

