You are currently viewing a new version of our website. To view the old version click .
Agronomy
  • Article
  • Open Access

28 September 2025

Influence of Temperature on the Fatty Acid Profile of Hemp (Cannabis sativa L.) Oil Grown in the Mediterranean Region

,
,
,
and
1
Department of Agricultural, Food, Environment and Animal Sciences, University of Udine, Via delle Scienze 206, 33100 Udine, Italy
2
Independent Researcher, 34073 Grado, Italy
*
Author to whom correspondence should be addressed.
This article belongs to the Section Agroecology Innovation: Achieving System Resilience

Abstract

Considering the effects of increasing heat waves already underway, especially in several areas of the Mediterranean region, the study of the effect of temperature on the qualitative yield of hemp oil becomes necessary. Given this, an experiment was conducted in order to evaluate the effect of temperature during the grain-filling period on fatty acid accumulation and composition in hemp seed, comparing two locations with different temperature regimes, two years, two sowing times and two monoecious hemp varieties, characterized by different earliness. The accumulation of different fatty acids in hemp seeds at maturity seems to depend on the genetic background of the two genotypes studied. However, high temperatures also affect the activity of desaturase Δ12 and Δ15, which are responsible for the production of polyunsaturated fatty acids, in particular if greater than an 18 °C minimum night temperature and 30 °C maximum daily temperature, respectively. This result makes it possible to orient, even if partially, the qualitative characteristics of hemp oil for different uses, by identifying the suitable cultivation environment. Considering the Mediterranean area, hilly and foothill environments would favor the percentage of polyunsaturated fatty acid in the oil, with an improvement of the n-6/n-3 ratio, while the plain and warmer area, characterized by heat stress during the grain-filling period, would give an oil with an increased percentage of monounsaturated acids to the detriment of polyunsaturated fatty acid.

1. Introduction

The renewed interest in hemp-based foods is due mainly to the nutritional value and composition of hemp seeds, particularly of their fatty acid composition that affects the quality of the products.
Indeed, hemp oil has a low concentration of saturated fatty acids with respect to several main oil crops, responsible for increasing total cholesterol and LDL cholesterol, while it is rich in unsaturated fatty acids, which play an important role in maintaining human health [1,2,3,4,5,6].
In addition, hemp oil presents an n-6/n-3 ratio close to 3:1, which is recommended for human health [7]. Today, in fact, the diets of many developed countries involve excessive consumption of n-6 in relation to n-3, increasing the tendency to the formation of inflammation in the body, contributing to arthritis, diabetes and hypertension, because n-6 and n-3 fatty acids have a pro-inflammatory and anti-inflammatory effect, respectively [8]. All these advantages give hemp seed oils a high market value and make them recommended for use not only in human nutrition but also in cosmetology due to their high content of beneficial skin care nutrients with technological and therapeutic effects [9,10]. Natural cold-pressed oils have also captured special attention due to their high antioxidant potential [11,12]; they also have soothing and restructuring properties and can be applied to the skin on the face and body [13]. In plants, C16 and C18 fatty acids are synthesized in the stroma of plastids and, after desaturation of 18:0 to 18:1 by a soluble Δ9 stearoyl-ACP desaturase, contribute to the assembly of complex membrane lipids [14]. Further desaturation of fatty acids in chloroplast and endoplasmic reticulum (ER) membrane lipids is carried out by the membrane-bound desaturases, some of which have been designated Fatty Acid Desaturase 2 (FAD2) to FAD8 based on work in Arabidopsis [14]. The enzymes FAD2 and FAD3 are responsible for Δ12 desaturation (FAD2) of oleic acid (OA) to linoleic acid (LA) and Δ15 desaturation of LA to α-linolenic acid (ALA), respectively. Production of γ-linolenic acid (GLA) from LA and stearidonic acid (SDA) from ALA requires the action of a Δ6 desaturase (FAD6), which we also expect to find expressed in developing hemp seeds. The importance of Δ12 and Δ15 desaturase in the biosynthesis and accumulation of polyunsaturated fatty acids (PUFAs) has been widely demonstrated in many oil crops, such as cotton, rapeseed, peanuts, yellow mustard, soybean, sunflower and safflower [15,16,17,18,19,20,21]. Bielecka et al. [22] identified one of the seven Δ12 desaturases and one of the three Δ15 desaturases, CSFAD2A and CSFAD3A, respectively, as the main Δ12 and Δ15 desaturases in developing hemp seeds, which are required for the production of PUFA.
Temperature is one of the main environmental factors regulating fatty acid desaturases in several crops [23,24,25,26,27,28]; however this has not yet been demonstrated in hemp.
Regulation of desaturase activity by temperature can occur through transcriptional [29,30] or post-transcriptional [31] regulatory mechanisms; the latter is described for FAD3 in wheat roots [25], for FAD8 in Arabidopsis leaves [31] and for seed-specific FAD2-1 in soybean [32]. Moreover, temperature could also regulate desaturase activity by changing substrate availability, as oxygen concentration in solution could be limiting for the desaturase in sycamore cell suspension cultures [33]. Current global temperature rise trends may increase the probability of unsafe heat stress in many regions of the world [34]. The predicted average increase of 3.2 °C at the end of this century [35], in addition to the recent expansion of the warmer area under hemp cultivation [36], highlights the risks of stress to which the crop will be subjected in the coming years. Therefore, considering the above, the aim of the present study was to determine the effect of temperature on the fatty acid accumulation and composition in seed oil of two hemp varieties in different Mediterranean environments.

2. Materials and Methods

2.1. Plant Materials and Field Trials

Futura 75 and Zenit, two monoecious hemp varieties, were evaluated under five different environments. Each environment was identified by the combination of: two locations, S. Osvaldo (SO) (2019 and 2020) and Verzegnis (VE) (2019), and two sowing times (I, normal and usual for the environment, and II, delayed about 30 days with respect to the normal one). In VE sowing date I was missed, because of adverse weather conditions, so only data from the latter sowing date (II) are available. Following the above, the five environments considered were: SO2019I; SO2019II; VE2019II; SO2020I and SO2020II. Characteristics and details of the two monoecious varieties, the different trial locations, the main soil physical–chemical characteristics and main climatic parameters recorded during the hemp crop cycle compared to the previous 28-year period (1992–2019) are reported in Ferfuia et al. [37]. The two environments were chosen for their different thermal regimes. SO, located on the plain and close to the sea, recorded a mean temperature of 25 °C during the late flowering–ripening period, across years and varieties. Instead, VE, a foothill location at 420 a.s.l. not far from the Julian Alps, recorded a mean temperature of 22.5 °C (Figures S1 and S2 in Supplementary Materials). The duration of the several physiological phases of hemp, during crop development, was computed based on the accumulation of growing degree days (GDDs) above a base temperature of 10 °C (Tb) [38], calculated using the following formula:
GDD = Σ [(Tmax + Tmin)/2] − Tb
where Tmax and Tmin are the daily maximum and minimum temperatures, respectively, in °C.

2.2. Experimental Design and Seed Sample Collection

The description of the experimental design and seed sample collection was reported in detail in Ferfuia et al. [37]. Briefly, a randomized block design with four replications was adopted as the experimental scheme, with an experimental unit of 30 m2. In a micro-plot (5 m2), randomly located in each replication, five plants at the same development phase were selected and each main inflorescence was divided into three sections (top, middle and bottom) based on the female flower beginning of blooming (code 2303 in Mediavilla et al. [39]). From the middle section of each of these five inflorescences, ten full seeds were collected starting 50 GDDs after flowering until physiological maturity, at intervals of 50 GDD, for a total of 5–9 samplings depending on location and cultivar. Thus, all the seeds collected on the same date were at the same development stage. To inhibit enzymatic activity, the seeds were immediately placed in liquid nitrogen and subsequently fat was extracted and analyzed by gas chromatography (GC). At physiological maturity (PM), seeds were separated from the inflorescence by hand, at each sampling time, cleaned and dried in a ventilated oven at 40 °C for three days and used for further analysis. PM was determined as GDD in correspondence to the first sampling of three consecutive samplings with constant seed weight.

2.3. Fatty Acid Determination

The content and accumulation of oil in the seed have been addressed in a previous article by the same authors [37]. Total fat content was determined according to the AOAC Official Method 996.06 [40], with minor modifications. Lipids were extracted using n-hexane, and fatty acids were converted to fatty acid methyl esters (FAMEs) via transesterification with 2 N methanolic potassium hydroxide. Tridecanoic acid methyl ester was used as an internal standard (5 mg mL−1). FAMEs were analyzed by GC (Fisons Instruments HRGC Mega 2 Series 8530, Milan, Italy) equipped with a flame ionization detector (FID). A 5 μL aliquot was injected in split mode into a GC system fitted with an HP-88 capillary column (Agilent Technologies, Santa Clara, CA, USA; 60 m × 0.25 mm i.d., 0.20 μm film thickness), using helium as the carrier gas. Injector and detector temperatures were set at 270 °C and 250 °C, respectively.
The oven temperature was programmed as follows: initial hold at 150 °C for 10 min; ramp to 180 °C at 3 °C min−1, hold for 10 min; then ramp to 240 °C at 5 °C min−1 and hold for 10 min. Fatty acid identification and quantification were performed by comparison with certified FAME standards. Total fat content was calculated as the sum of individual fatty acids, expressed as triglyceride equivalents, as proposed in AOAC Official Method 996.06. All analyses were conducted in duplicate.
An index of the oleate desaturase (ODS) activity [41] was calculated for each sampling using the formula ODS activity index = %18:2/(%18:2 + %18:1), where %18:2 and %18:1 are the percentage of LA and OA, respectively. The value of this index is directly proportional to the activity of the enzyme system believed to be responsible for the desaturation of OA [42].

2.4. Statistical Analysis

Statistical analyses were conducted using R version 4.0.2 [43]. Normality of data was assessed with the Shapiro–Wilk test, while homogeneity of variances was evaluated using Levene’s test. A two-way analysis of variance (ANOVA) was applied as a fixed-effect model, considering cultivar and environment as factors influencing seed fatty acid composition at physiological maturity. The aim of the ANOVA was to determine whether the seed fatty acid composition in hemp was modified by the growing environment, the cultivar or their interaction. Significance of effects was determined by F-tests. When significant differences were detected, mean comparisons were performed using Duncan’s multiple range test at p ≤ 0.05. To investigate the impact of temperature during the seed-filling period, bootstrap analysis was employed to identify the most critical sub-phases, during the flowering–physiological maturity period (0–400 GDDs), and the best temperature predictor (mean, maximum or minimum temperature) for seed fatty acid composition. Bootstrapping is a resampling method for estimating the distribution of an estimator or test statistic by resampling one’s data or a model estimated from the data. One thousand bootstrap samples were generated with replacement using the boot package in R. For each sample, model adjustments were calculated, and the distribution of 1000 R2 values was examined to assess model robustness.

3. Results

3.1. Fatty Acid Composition at Seed Maturity

ANOVA was conducted on the seed fatty acid composition, expressed as mg seed−1 at the seed maturity stage. The factors considered were cultivar (C), environment (E) and their interaction (CxE). The composition of saturated fatty acids was influenced by the cultivar, whereas the composition of unsaturated fatty acids was affected exclusively by the interaction between cultivar and environment (Table 1).
Table 1. ANOVA statistical analysis results performed on fatty acid composition (mg seed−1) at seed maturity stage.
Table 2 and Table 3 report the same characteristic, the seed fatty acid composition, but calculated differently. Concerning the main fatty acids, the most abundant was LA with an average of 1.95 mg seed−1 (1.14–2.52 as range across environments and varieties), followed by 0.57 mg seed−1 (0.34–0.85) of ALA, 0.54 mg seed−1 (0.29–0.73) of OA, 0.30 mg seed−1 (0.20–0.40) of palmitic acid (PA), 0.11 mg seed−1 (0.07–0.15) of stearic acid (SA) and 0.08 mg seed−1 (0.06–0.11) of GLA (Table 2). Among the environments, VE registered the highest LA/OA and ALA/LA ratios of the experiment for both varieties; in particular, Futura showed ratios of 4.11 and 0.40 while Zenit 5.32 and 0.35, respectively, evidencing the highest ODS activity of the trial (Table 2). Concerning the fatty acid composition, expressed as percentage of total fatty acids in the oil, evident differences between the two genotypes were observed (Table 3). In particular, the main differences between maximum and minimum values for each fatty acid were found in Futura 2019I SO and 2019 VE (11.5 and 7.0) for PA, in Zenit 2019 I SO and 2019 VE (19.0 and 10.6) for OL, in Zenit 2019 VE and 2019 I SO (19.8 and 11.2) for ALA and in Futura 2019 I SO and 2020 I SO (3.5 and 1.3) for GLA, respectively (Table 3).
Table 2. Seed fatty acid composition, expressed as mg seed−1, at physiological maturity. (Values are means ± SE).
Table 3. Seed fatty acid composition (as percentage of total fatty acids in the oil) at physiological maturity and GDDs accumulated from flowering to physiological maturity. (Values are means ± SE).

3.2. Dynamics of Fatty Acid Accumulation

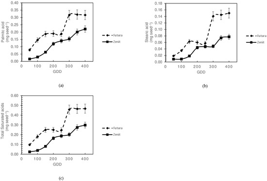
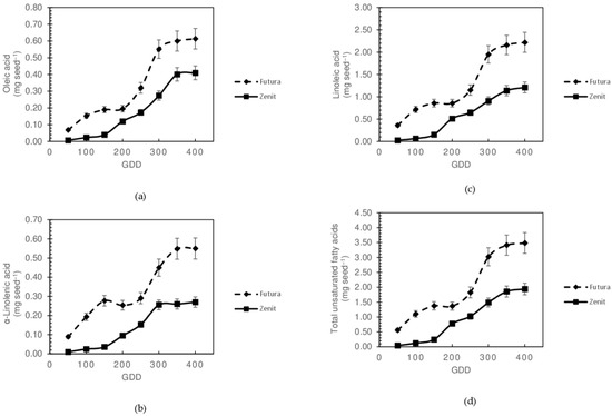
The accumulation dynamics of fatty acids in the seed was related to the end of the flowering–maturity period expressed as GDDs in order to make a correct comparison of the two genotypes across different environments (Table 4). Figure 1 and Figure 2 represent the accumulation dynamics of the main saturated and unsaturated fatty acids of the two varieties, Futura and Zenit, across the environments, every 50 GDDs. The accumulation trends of all the measured fatty acids are very similar in both varieties; on the contrary, the accumulation values were statistically higher in Futura than in Zenit for all the fatty acids considered and sampling dates during the post-flowering period, with rare exceptions (Figure 1 and Figure 2).
Table 4. Accumulation rate of seed fatty acids during the seed-filling stage, and calculation of the ratios between n-3 and n-6 and between saturated and unsaturated fatty acids. (Values are means ± SE).
Figure 1. Accumulation dynamics of palmitic acid (a), stearic acid (b) and total amount of saturated acids (c) during the seed-filling phase in the two hemp cultivars Futura and Zenit. Data for each cultivar are the average of locations, years and sowing times. (Bars represent Standard Error, n = 30).
Figure 2. Accumulation dynamics of oleic acid (a), α-linolenic acid (b), linoleic acid (c) and total amount of unsaturated acids (d) during the seed-filling phase in the two hemp cultivars Futura and Zenit. Data for each cultivar are the average of locations, years and sowing times. (Bars represent Standard Error, n = 30).
At 50 GDDs after flowering, corresponding to the first sampling, Futura showed a statistically significantly higher value compared to Zenit, for all fatty acids analyzed, regardless of whether saturated or unsaturated (Figure 1 and Figure 2).
Both varieties show a very similar accumulation trend of both saturated fatty acids, consequently, only Figure 1c is commented on, which reports the total of the two fatty acids. Futura, across environments, started with a first phase of rapid synthesis until 150 GDDs after end of flowering, followed by a lag phase characterized by a null or negative rate that lasted until about 250 GDDs. After that, the variety shows a very rapid synthesis up to 300 GDDs and then remains constant until physiological maturity, corresponding to about 350 GDDs after the end of flowering. Zenit, on the contrary, showed a rapid oil accumulation in the early stages up to 200 GDDs after end of flowering, then a slowdown up to 300 GDDs, and again a rapid synthesis up to 400 GDDs, corresponding to physiological maturity (Figure 1c).
The trends of OA and LA are similar for both varieties (Figure 2a,b). Futura has an initial increase up to 100 GDDs after the end of flowering, followed by a second phase characterized by a very slow rate that lasted until about 200 GDDs, then a rapid and high synthesis up to 300 GDDs corresponding to the maximum accumulation in correspondence to seed maturity. On the contrary, Zenit shows a low accumulation rate up to about 150 GDDs. This rate then increases slightly but constantly up to about 350 GDDs, corresponding to seed maturity (Figure 2a,b).
The accumulation of ALA in Futura showed a trend very similar to that of OA and LA, with the exception of a delay of 50 GDDs in the last fast accumulation phase (Figure 2c). The initial increase is up to 150 GDDs, the second phase characterized by a very slow rate that lasts until 250 GDDs and the maximum accumulation in the seed is reached at 350 GDDs. The situation is slightly different for Zenit, which shows an analogous accumulation trend for ALA with respect to the other two fatty acids; the only difference being that the maximum accumulation occurs earlier, at 300 GDDs, with an advance of about 50 GDDs (Figure 2c).

3.3. Temperature Effect on Seed Fatty Composition

The effect of temperature (as minimum, mean and maximum) on the fatty acid composition, during the end of flowering–maturity period (corresponding to approximately 400 GDDs) subdivided in 50 GDDs sub-periods, was also studied. The results indicate that minimum temperature, among the temperatures, recorded during the 50 and 200 GDDs after the end of flowering, influenced the PUFA composition in the most highly significant way. In particular, LA/OA ratio decreased from an average value of 4.7 to 2.9, ALA/LA from 0.34 to 0.21 and ODS activity from 0.82 to 0.74, in correspondence to an increasing of temperature from 16.8 °C to 20.1 °C, respectively, highlighting a negative and statistically significant linear relationship between temperature and fatty acid unsaturation (Figure 3a–c). On the contrary, no significant relationships were found between temperature and the content of the two saturated fatty acids analyzed.
Figure 3. Relationship between minimum temperature and linoleic/oleic acid (a), α-linoleic/linoleic acid (b) ratios and Oleate Desaturase (ODS) activity (c) during the 50–200 GDDs period. (Bars represent Standard Error, n = 40).
ALA content in seed, during the seed-filling period, highlights a significant and positive correlation with the accumulation rate, expressed as mg GDD−1 (Figure 4), instead, no relationship has been identified between duration of the seed-filling period and fatty acid composition. On the contrary, the accumulation rate of the ALA is negatively affected by an increase in the average maximum temperatures, particularly during the sub-period 0–150 GDDs after flowering, determining a significant reduction of the accumulation rate of the fatty acids when mean temperatures exceed 30 °C (Figure 5). A similar trend, but not so clear, was also registered for the other PUFAs.
Figure 4. Relationship between α-linolenic acid content and accumulation rate. (Bars represent Standard Error, n = 40).
Figure 5. Correlation between maximum temperature and linolenic acid accumulation rate. (Bars represent Standard Error, n = 40).

4. Discussion

Although the differences in fatty acid accumulation potential between the two genotypes, as reported above for the oil accumulation, are clear, a few stagnation periods for saturated and unsaturated fatty acid accumulation during the seed-filling period were detected in both varieties, even if at different times and in a more or less accentuated way (Figure 1 and Figure 2). These lag times can be due to environmental factors and specifically periods of particularly intense heat stress. Other causes could be internal seed metabolic reorganization—e.g., where the seed may transition from carbohydrate accumulation to lipid or protein synthesis, requiring a shift in enzymatic and metabolic activity—or competition among sink organs. Regarding the latter, especially if the plant has multiple growing sinks (e.g., other seeds, fruits or leaves), the competition for assimilates can temporarily slow seed filling [44,45,46,47]. Moreover, the different timings of stagnation phases detected between Futura and Zenit varieties may be linked to genetic factors such as differences in sub-phase phenological duration or different accumulation patterns among genotypes, as already reported by Lagravère et al. [48] in high-oleic sunflower genotypes. However, significant differences in fatty acid composition, expressed as percentage in the oil, between the two genotypes were not highlighted (Table 3).
Seed fatty acid composition of this trial (Table 3) shows similar and comparable results to those obtained in other experiments [49,50,51], with some slight and natural differences due to the effect of different growing conditions. This indicates that the specific Δ12 and Δ15 desaturases, identified and designated CSFAD2A and CSFAD3A, respectively, by Bieleka et al. [22] in developing hemp seed, as responsible for production of PUFA, are affected by environmental factors and in particular the temperature, as already reported in several other oil crops. In fact, considering the environments, VE shows the highest LA/OA and ALA/LA ratios of the trial (Table 2), in which both cultivars required the lowest GDDs to complete the grain-filling period, indicating a general condition of lower temperature with respect to the other environment utilized (Table 3 and Figures S1 and S2 in Supplementary Materials). The apparent negative relationship between temperature and degree of fatty acid unsaturation (Figure 4 and Figure 5) is largely driven by VE’s location, indicating that the thermal regime, and the high temperature in particular, also appears responsible for the increase in PUFA content in hemp, as reported in several other oil crops. Probably, the accumulation of PUFA under low temperatures in plants is a mechanism aimed to maintain the fluidity of biological membranes [52]. High temperature, mainly the minimum night temperature, affects the Δ12 desaturase activity, not directly the accumulation of individual fatty acids but rather the LA/OA ratio, indicating a generic response to high night temperatures [18,27], however, not excluding other environmental factors such as, for example, light intensity [53]. Conversely, Δ15 desaturase is strictly influenced by the maximum temperatures of the day and seems to undergo significant inhibition with temperatures above 30 °C (Figure 5), in agreement with the results obtained by Hernandez et al. [54] in another oil crop. On the contrary, the temperature range recorded in the area of the experiment did not influence the activity of enzymes stearoyl-ACP desaturase (SAD) or Δ9, mainly involved in the mechanism of cold tolerance [55] and responsible for the desaturase activity of saturated to monounsaturated acids.

5. Conclusions

The accumulation of individual fatty acids in the seed is essentially determined by the intensity of the accumulation rate, which appears to be an intrinsic characteristic of the genotype, independent of the duration of the end of the flowering–seed maturation phase. However, both genetic factors and temperature could interfere with the accumulation rate, determining periods of slow down or stagnation of the accumulation of single fatty acids during the grain-filling period. The fatty acid composition of the hemp oil (expressed as % of the individual fatty acids in the oil or as mg of fatty acids g−1 of oil), and in particular the ratio between the most important unsaturated fatty acids, appears influenced mainly by the environmental conditions and in particular by the temperature. In general, high temperatures favored the presence of a lower % of PUFA (LA and ALA) and vice versa; this means that even the specific desaturases identified in hemp respond similarly to those of several other oilseed species with respect to temperature. While waiting for genetic improvement to provide hemp genotypes with altered biosynthetic pathways for fatty acids capable of providing oils with different acidic compositions suitable for specific uses (nutraceutical, food, industrial, energy, etc.), today it is possible to orient, even if partially, the qualitative characteristics of hemp oil by identifying the suitable cultivation environment. Considering the Mediterranean environment, hilly and foothill environments would favor an increase of PUFA in the oil, with an improvement of the n-6/n-3 ratio, while the plain and warmer areas, characterized by high temperature during the grain-filling period, would give an oil with an increase in OA to the detriment of PUFA. In the latter environments, the method of at least partially orienting the acidic composition of the oil is to combine varieties with different crop cycles with early or late sowing times so as to make the grain-filling phase coincide with seasonal periods characterized by high temperatures (to increase OA) or by mild temperatures (to favor the PUFA). Although the temperature effect in hemp desaturases appears confirmed, the next step will be to identify the mechanism that regulates desaturases through temperature in hemp, which still appears to be unknown.

Supplementary Materials

The following supporting information can be downloaded at: https://www.mdpi.com/article/10.3390/agronomy15102293/s1, Figure S1: Daily mean temperature (T Mean), mean maximum temperature (T Max), minimum temperature (T Min) and total rainfall during the growing seasons (10-day values) in 2019 and 2020 (SO); Figure S2: Daily mean temperature (T Mean), mean maximum temperature (T Max), minimum temperature (T Min) and total rainfall during the growing seasons (10-day values) in 2019 (VE); Table S1: Main soil characteristics of the experimental locations; Table S2: Monthly mean temperature and total rainfall during the hemp crop cycle for each environment of the previous 28-year period (1992–2019).

Author Contributions

Conceptualization, C.F. and M.B.; methodology, C.F. and M.B.; software, C.F.; validation, C.F. and M.B.; formal analysis, N.F., B.P. and M.B.; investigation, N.F., B.P., F.Z. and M.B.; resources, M.B.; data curation, B.P., F.Z. and M.B.; writing—original draft preparation, C.F., N.F. and M.B.; writing—review and editing, B.P. and F.Z.; visualization, M.B.; supervision, M.B.; project administration, M.B.; funding acquisition, M.B. All authors have read and agreed to the published version of the manuscript.

Funding

This research was funded by the Agenzia Regionale per lo Sviluppo Rurale del Friuli Venezia Giulia (ERSA—Friuli Venezia Giulia Regional Agricultural Services, Gorizia, Italy), grant number CUP G24I19000620002.

Data Availability Statement

Data are contained within the article and Supplementary Materials.

Conflicts of Interest

The authors declare no conflicts of interest.

References

  1. Rosso, E.; Armone, R.; Costale, A.; Meineri, G.; Chiofalo, B. Hemp Seed (Cannabis sativa L.) Varieties: Lipids Profile and Antioxidant Capacity for Monogastric Nutrition. Animals 2024, 14, 2699. [Google Scholar] [CrossRef]
  2. Razmaitė, V.; Pileckas, V.; Bliznikas, S.; Šiukščius, A. Fatty Acid Composition of Cannabis sativa, Linum usitatissimum and Camelina sativa Seeds Harvested in Lithuania for Food Use. Foods 2021, 10, 1902. [Google Scholar] [CrossRef]
  3. Sirangelo, T.M.; Diretto, G.; Fiore, A.; Felletti, S.; Chenet, T.; Catani, M.; Spadafora, N.D. Nutrients and Bioactive Compounds from Cannabis sativa Seeds: A Review Focused on Omics-Based Investigations. Int. J. Mol. Sci. 2025, 26, 5219. [Google Scholar] [CrossRef]
  4. Farinon, B.; Molinari, R.; Costantini, L.; Merendino, N. The Seed of Industrial Hemp (Cannabis sativa L.): Nutritional Quality and Potential Functionality for Human Health and Nutrition. Nutrients 2020, 12, 1935. [Google Scholar] [CrossRef]
  5. Jain, T. Fatty Acid Composition of Oilseed Crops: A Review. In Emerging Technologies in Food Science; Thakur, M., Modi, V.K., Eds.; Springer: Singapore, 2020; pp. 147–153. ISBN 9789811525551. [Google Scholar]
  6. Chow, C.K. (Ed.) Fatty Acids in Foods and Their Health Implications; CRC Press: Boca Raton, FL, USA, 2007; ISBN 978-0-429-12755-7. [Google Scholar]
  7. EFSA Panel on Dietetic Products, Nutrition, and Allergies (NDA). Scientific Opinion on Dietary Reference Values for Fats, Including Saturated Fatty Acids, Polyunsaturated Fatty Acids, Monounsaturated Fatty Acids, Trans Fatty Acids, and Cholesterol. Efsa J. 2010, 8, 1461. [Google Scholar] [CrossRef]
  8. Szumny, A.; Żołnierczyk, A.K. By-Products of Hemp from a Nutritional Point of View: New Perspectives and Opportunities. In Current Applications, Approaches, and Potential Perspectives for Hemp; Elsevier: Amsterdam, The Netherlands, 2023; pp. 493–518. ISBN 978-0-323-89867-6. [Google Scholar]
  9. Small, E.; Marcus, D.; Janick, J.; Whipkey, A. Hemp: A New Crop with New Uses for North America. In Proceedings of the 5th National Symposium, NEW CROPS AND NEW USES: STRENGTHS IN DIVERSITY, Atlanta, GA, USA, 10–13 November 2001. [Google Scholar]
  10. Vogl, C.R.; Mölleken, H.; Lissek-Wolf, G.; Surböck, A.; Kobert, J. Hemp (Cannabis sativa L.) as a Resource for Green Cosmetics: Yield of Seed and Fatty Acid Compositions of 20 Varieties under the Growing Conditions of Organic Farming in Austria. J. Ind. Hemp 2004, 9, 51–68. [Google Scholar] [CrossRef]
  11. Ionescu, N.; Popescu, M.; Bratu, A.; Istrati, D.; Ott, C.; Meghea, A. Valuable Romanian Vegetable Oils and Extracts with High Pharmaco-Cosmetic Potential. Rev. Chim. 2015, 66, 1267–1272. [Google Scholar]
  12. Ligęza, M.; Wyglądacz, D.; Tobiasz, A.; Jaworecka, K.; Reich, A. Natural Cold Pressed Oils as Cosmetic Products. Fam. Med. Prim. Care Rev. 2016, 18, 443–447. [Google Scholar] [CrossRef]
  13. Conrad, C. Hemp for Health: The Medicinal and Nutritional Uses of Cannabis Sativa; Inner Traditions/Bear & Co.: Rochester, VT, USA, 1997. [Google Scholar]
  14. Ohlrogge, J.; Browse, J. Lipid Biosynthesis. Plant Cell 1995, 7, 957–970. [Google Scholar] [CrossRef] [PubMed][Green Version]
  15. Mohammadi, M.; Ghassemi-Golezani, K.; Chaichi, M.R.; Safikhani, S. Seed Oil Accumulation and Yield of Safflower Affected by Water Supply and Harvest Time. Agron. J. 2018, 110, 586–593. [Google Scholar] [CrossRef]
  16. Aguirrezábal, L.A.N.; Lavaud, Y.; Dosio, G.A.A.; Izquierdo, N.G.; Andrade, F.H.; González, L.M. Intercepted Solar Radiation during Seed Filling Determines Sunflower Weight per Seed and Oil Concentration. Crop Sci. 2003, 43, 152–161. [Google Scholar] [CrossRef]
  17. Angeloni, P.; Aguirrezábal, L.; Echarte, M.M. Assessing the Mechanisms Underlying Sunflower Grain Weight and Oil Content Responses to Temperature during Grain Filling. Field Crops Res. 2021, 262, 108040. [Google Scholar] [CrossRef]
  18. Izquierdo, N.G.; Aguirrezábal, L.A.N. Genetic Variability in the Response of Fatty Acid Composition to Minimum Night Temperature during Grain Filling in Sunflower. Field Crops Res. 2008, 106, 116–125. [Google Scholar] [CrossRef]
  19. Mantese, A.I.; Medan, D.; Hall, A.J. Achene Structure, Development and Lipid Accumulation in Sunflower Cultivars Differing in Oil Content at Maturity. Ann. Bot. 2006, 97, 999–1010. [Google Scholar] [CrossRef]
  20. Rondanini, D.; Savin, R.; Hall, A.J. Dynamics of Fruit Growth and Oil Quality of Sunflower (Helianthus annuus L.) Exposed to Brief Intervals of High Temperature during Grain Filling. Field Crops Res. 2003, 83, 79–90. [Google Scholar] [CrossRef]
  21. Rondanini, D.; Mantese, A.; Savin, R.; Hall, A.J. Responses of Sunflower Yield and Grain Quality to Alternating Day/Night High Temperature Regimes during Grain Filling: Effects of Timing, Duration and Intensity of Exposure to Stress. Field Crops Res. 2006, 96, 48–62. [Google Scholar] [CrossRef]
  22. Bielecka, M.; Kaminski, F.; Adams, I.; Poulson, H.; Sloan, R.; Li, Y.; Larson, T.R.; Winzer, T.; Graham, I.A. Targeted Mutation of Δ12 and Δ15 Desaturase Genes in Hemp Produce Major Alterations in Seed Fatty Acid Composition Including a High Oleic Hemp Oil. Plant Biotechnol. J. 2014, 12, 613–623. [Google Scholar] [CrossRef]
  23. Canvin, D.T. The effect of temperature on the oil content and fatty acid composition of the oils from several oil seed crops. Can. J. Bot. 1965, 43, 63–69. [Google Scholar] [CrossRef]
  24. Dong, Y.; Wang, X.; Liu, X.; Yao, N.; Jing, Y.; Du, L.; Li, X.; Wang, N.; Liu, W.; Wang, F.; et al. Carthamus tinctorius L. Genome Sequence Provides Insights into Synthesis of Unsaturated Fatty Acids. BMC Genom. 2023, 25, 510. [Google Scholar] [CrossRef]
  25. Horiguchi, G.; Fuse, T.; Kawakami, N.; Kodama, H.; Iba, K. Temperature-Dependent Translational Regulation of the ER Omega-3 Fatty Acid Desaturase Gene in Wheat Root Tips. Plant J. 2000, 24, 805–813. [Google Scholar] [CrossRef]
  26. Byfield, G.E.; Upchurch, R.G. Effect of Temperature on Microsomal Omega-3 Linoleate Desaturase Gene Expression and Linolenic Acid Content in Developing Soybean Seeds. Crop Sci. 2007, 47, 2445–2452. [Google Scholar] [CrossRef]
  27. Izquierdo, N.; Aguirrezábal, L.; Andrade, F.; Pereyra, V. Night Temperature Affects Fatty Acid Composition in Sunflower Oil Depending on the Hybrid and the Phenological Stage. Field Crops Res. 2002, 77, 115–126. [Google Scholar] [CrossRef]
  28. Wolf, R.B.; Cavins, J.F.; Kleiman, R.; Black, L.T. Effect of Temperature on Soybean Seed Constituents: Oil, Protein, Moisture, Fatty Acids, Amino Acids and Sugars. J. Americ Oil Chem. Soc. 1982, 59, 230–232. [Google Scholar] [CrossRef]
  29. Kargiotidou, A.; Deli, D.; Galanopoulou, D.; Tsaftaris, A.; Farmaki, T. Low Temperature and Light Regulate Delta 12 Fatty Acid Desaturases (FAD2) at a Transcriptional Level in Cotton (Gossypium hirsutum). J. Exp. Bot. 2008, 59, 2043–2056. [Google Scholar] [CrossRef]
  30. Wang, H.; Guo, J.; Lambert, K.N.; Lin, Y. Developmental Control of Arabidopsis Seed Oil Biosynthesis. Planta 2007, 226, 773–783. [Google Scholar] [CrossRef]
  31. Matsuda, O.; Sakamoto, H.; Hashimoto, T.; Iba, K. A Temperature-Sensitive Mechanism That Regulates Post-Translational Stability of a Plastidial ω-3 Fatty Acid Desaturase (FAD8) in Arabidopsis Leaf Tissues. J. Biol. Chem. 2005, 280, 3597–3604. [Google Scholar] [CrossRef]
  32. Tang, G.; Novitzky, W.P.; Carol Griffin, H.; Huber, S.C.; Dewey, R.E. Oleate Desaturase Enzymes of Soybean: Evidence of Regulation through Differential Stability and Phosphorylation. Plant J. 2005, 44, 433–446. [Google Scholar] [CrossRef]
  33. Rebeille, F.; Bligny, R.; Douce, R. Role de l’oxygene et de la temperature sur la composition en acides gras des cellules isolees d’Erable (Acer pseudoplatanus L.). Biochim. Et Biophys. Acta (BBA)–Lipids Lipid Metab. 1980, 620, 1–9. [Google Scholar] [CrossRef]
  34. IPCC. Global Warming of 1.5 °C: IPCC Special Report on Impacts of Global Warming of 1.5 °C Above Pre-Industrial Levels in Context of Strengthening Response to Climate Change, Sustainable Development, and Efforts to Eradicate Poverty, 1st ed.; Cambridge University Press: Cambridge, UK, 2022; ISBN 978-1-00-915794-0. [Google Scholar]
  35. Calvin, K.; Dasgupta, D.; Krinner, G.; Mukherji, A.; Thorne, P.W.; Trisos, C.; Romero, J.; Aldunce, P.; Barrett, K.; Blanco, G.; et al. IPCC, 2023: Climate Change 2023: Synthesis Report. Contribution of Working Groups I, II and III to the Sixth Assessment Report of the Intergovernmental Panel on Climate Change; Core Writing Team, Lee, H., Romero, J., Eds.; Intergovernmental Panel on Climate Change (IPCC): Geneva, Switzerland, 2023. [Google Scholar]
  36. European Commission. Hemp Production in the EU. 2023. Available online: https://agriculture.ec.europa.eu/farming/crop-productions-and-plant-based-products/hemp_en (accessed on 1 September 2025).
  37. Ferfuia, C.; Fantin, N.; Piani, B.; Zuliani, F.; Baldini, M. Seed Growth and Oil Accumulation in Two Different Varieties of Industrial Hemp (Cannabis sativa L.). Ind. Crops Prod. 2024, 216, 118723. [Google Scholar] [CrossRef]
  38. Faux, A.-M.; Draye, X.; Lambert, R.; d’Andrimont, R.; Raulier, P.; Bertin, P. The Relationship of Stem and Seed Yields to Flowering Phenology and Sex Expression in Monoecious Hemp (Cannabis sativa L.). Eur. J. Agron. 2013, 47, 11–22. [Google Scholar] [CrossRef]
  39. Mediavilla, V.; Jonquera, M.; Schmid-Slembrouck, I.; Soldati, A. Decimal Code for Growth Stages of Hemp (Cannabis sativa L.). J. Int. Hemp Assoc. 1998, 5, 68–74. [Google Scholar]
  40. AOAC Official Method 996.06Fat (Total, Saturated, and Unsaturated) in Foods: Hydrolytic Extraction Gas Chromatographic Method. In Official Methods of Analysis of AOAC INTERNATIONAL; Latimer, G.W., Ed.; Oxford University Press: New York, NY, USA, 2023; ISBN 978-0-19-761013-8. [Google Scholar]
  41. Green, A.G. Effect of Temperature during Seed Maturation on the Oil Composition of Low-Linolenic Genotypes of Flax1. Crop Sci. 1986, 26, 961–965. [Google Scholar] [CrossRef]
  42. Cherif, A.; Dubacq, J.; Mache, R.; Oursel, A.; Tremolieres, A. Biosynthesis of α-Linolenic Acid by Desaturation of Oleic and Linoleic Acids in Several Organs of Higher and Lower Plants and in Algae. Phytochemistry 1975, 14, 703–706. [Google Scholar] [CrossRef]
  43. R Core Team. R: A Language and Environment for Statistical Computing; R Foundation for Statistical Computing: Vienna, Austria, 2020. [Google Scholar]
  44. Borisjuk, L.; Neuberger, T.; Schwender, J.; Heinzel, N.; Sunderhaus, S.; Fuchs, J.; Hay, J.O.; Tschiersch, H.; Braun, H.-P.; Denolf, P.; et al. Seed Architecture Shapes Embryo Metabolism in Oilseed Rape. Plant Cell 2013, 25, 1625–1640. [Google Scholar] [CrossRef] [PubMed]
  45. Kambhampati, S.; Aznar-Moreno, J.A.; Bailey, S.R.; Arp, J.J.; Chu, K.L.; Bilyeu, K.D.; Durrett, T.P.; Allen, D.K. Temporal Changes in Metabolism Late in Seed Development Affect Biomass Composition. Plant Physiol. 2021, 186, 874–890. [Google Scholar] [CrossRef]
  46. Valantin-Morison, M.; VaissiÈre, B.E.; Gary, C.; Robin, P. Source-Sink Balance Affects Reproductive Development and Fruit Quality in Cantaloupe Melon (Cucumis melo L.). J. Hortic. Sci. Biotechnol. 2006, 81, 105–117. [Google Scholar] [CrossRef]
  47. Lemoine, R.; Camera, S.L.; Atanassova, R.; Dédaldéchamp, F.; Allario, T.; Pourtau, N.; Bonnemain, J.-L.; Laloi, M.; Coutos-Thévenot, P.; Maurousset, L.; et al. Source-to-Sink Transport of Sugar and Regulation by Environmental Factors. Front. Plant Sci. 2013, 4, 272. [Google Scholar] [CrossRef]
  48. Lagravère, T.; Kleiber, D.; Surel, O.; Calmon, A.; Bervillé, A.; Dayde, J. Comparison of Fatty Acid Metabolism of Two Oleic and One Conventional Sunflower Hybrids: A New Hypothesis. J. Agron. Crop Sci. 2004, 190, 223–229. [Google Scholar] [CrossRef]
  49. Alonso-Esteban, J.I.; González-Fernández, M.J.; Fabrikov, D.; De Cortes Sánchez-Mata, M.; Torija-Isasa, E.; Guil-Guerrero, J.L. Fatty Acids and Minor Functional Compounds of Hemp (Cannabis sativa L.) Seeds and Other Cannabaceae Species. J. Food Compos. Anal. 2023, 115, 104962. [Google Scholar] [CrossRef]
  50. Alonso-Esteban, J.I.; González-Fernández, M.J.; Fabrikov, D.; Torija-Isasa, E.; Sánchez-Mata, M.D.C.; Guil-Guerrero, J.L. Hemp (Cannabis sativa L.) Varieties: Fatty Acid Profiles and Upgrading of γ-Linolenic Acid–Containing Hemp Seed Oils. Eur. J. Lipid Sci. Technol. 2020, 122, 1900445. [Google Scholar] [CrossRef]
  51. Callaway, J.C. Hempseed as a Nutritional Resource: An Overview. Euphytica 2004, 140, 65–72. [Google Scholar] [CrossRef]
  52. Los, D.A.; Murata, N. Structure and Expression of Fatty Acid Desaturases. Biochim. Biophys. Acta (BBA)-Lipids Lipid Metab. 1998, 1394, 3–15. [Google Scholar] [CrossRef]
  53. Heppard, E.P.; Kinney, A.J.; Stecca, K.L.; Miao, G.H. Developmental and Growth Temperature Regulation of Two Different Microsomal [Omega]-6 Desaturase Genes in Soybeans. Plant Physiol. 1996, 110, 311–319. [Google Scholar] [CrossRef] [PubMed]
  54. Hernández, M.L.; Sicardo, M.D.; Martínez-Rivas, J.M. Differential Contribution of Endoplasmic Reticulum and Chloroplast ω-3 Fatty Acid Desaturase Genes to the Linolenic Acid Content of Olive (Olea europaea) Fruit. Plant Cell Physiol. 2016, 57, 138–151. [Google Scholar] [CrossRef] [PubMed]
  55. Contreras, C.; Pierantozzi, P.; Maestri, D.; Tivani, M.; Searles, P.; Brizuela, M.; Fernández, F.; Toro, A.; Puertas, C.; Trentacoste, E.R.; et al. How Temperatures May Affect the Synthesis of Fatty Acids during Olive Fruit Ripening: Genes at Work in the Field. Plants 2022, 12, 54. [Google Scholar] [CrossRef]
Disclaimer/Publisher’s Note: The statements, opinions and data contained in all publications are solely those of the individual author(s) and contributor(s) and not of MDPI and/or the editor(s). MDPI and/or the editor(s) disclaim responsibility for any injury to people or property resulting from any ideas, methods, instructions or products referred to in the content.

Article Metrics

Citations

Article Access Statistics

Multiple requests from the same IP address are counted as one view.