Topographic Controls on Soil Nutrient Spatial Variability in a Mango Orchard of China’s Dry-Hot Valley: Effects of Slope Gradient, Position, and Aspect
Abstract
1. Introduction
2. Materials and Methods
2.1. Study Area
2.2. Soil Sampling and Physicochemical Assessment
2.3. Data Analysis
3. Results
3.1. Effects of Topography on Soil Physicochemical Properties
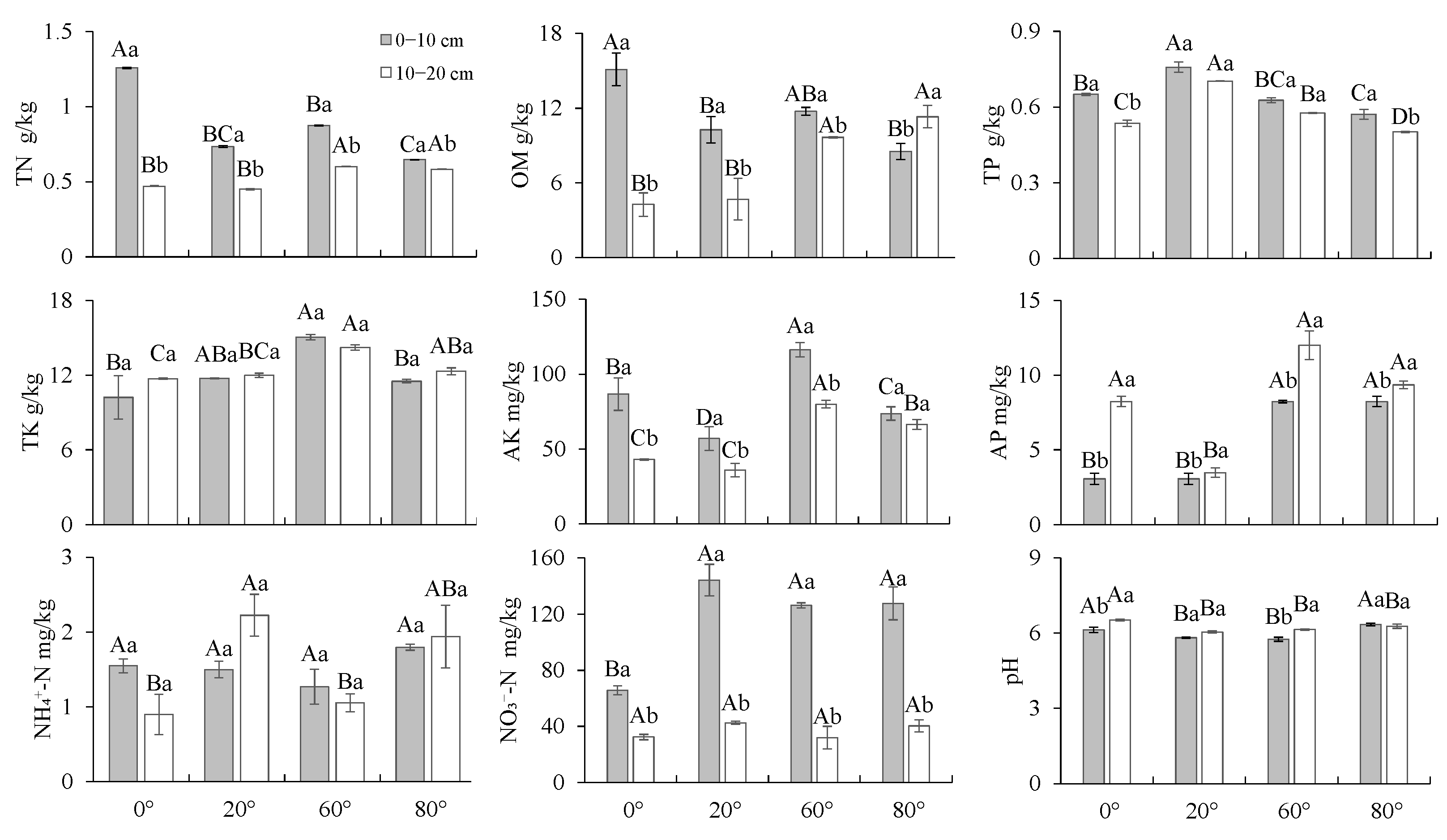
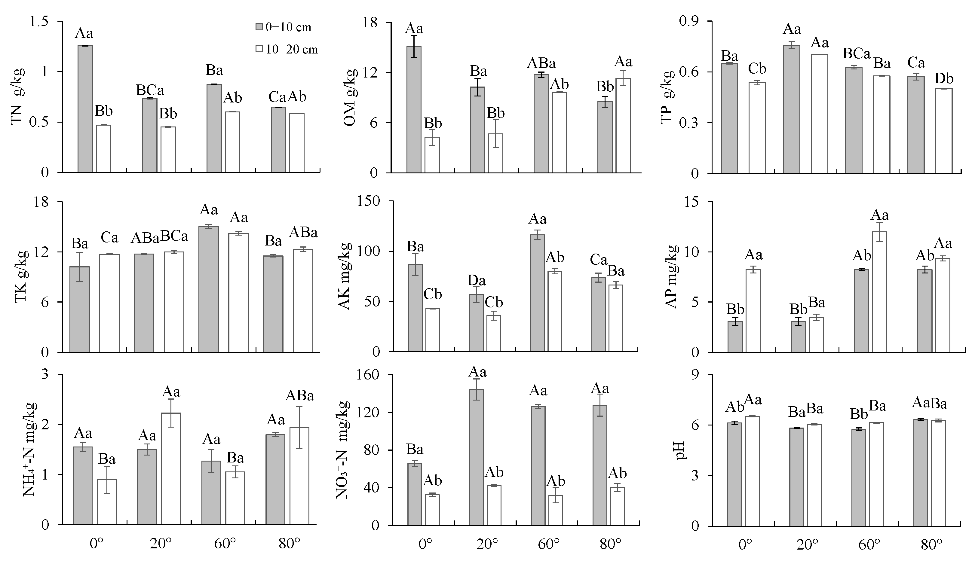
3.1.1. Effects of Slope Gradient on Soil Physicochemical Properties
3.1.2. Effects of Slope Position on Soil Physicochemical Properties
3.1.3. Effects of Slope Aspect on Soil Physicochemical Properties
3.2. Effect of Topography on Soil Stoichiometry
3.3. Principal Component Analysis (PCA) of Topographic Factors and Soil Nutrients
4. Discussion
4.1. Topographic Dynamic of Soil Nutrient Distribution
4.2. Topographic Effects on Soil Stoichiometry
4.3. Implications for Mango Production in China’s Dry-Hot Valley
5. Conclusions
Author Contributions
Funding
Data Availability Statement
Conflicts of Interest
References
- Yang, J.; Zhang, Z. Review of research on the vegetation and environment of dry-hot valleys in Yunnan. Biodivers. Sci. 2016, 24, 462–474. [Google Scholar] [CrossRef]
- Zhang, Y.; Li, X.; Zhang, J.; Hua, J.; Li, J.; Liu, D.; Bhople, P.; Ruan, H.; Yang, N. Desertification induced changes in soil bacterial and fungal diversity and community structure in a dry-hot valley forest. Appl. Soil Ecol. 2023, 189, 104953. [Google Scholar] [CrossRef]
- Li, Y.; Wang, C.; Tang, H. Research advances in nutrient runoff on sloping land in watersheds. Aquat. Ecosyst. Health Manag. 2006, 9, 27–32. [Google Scholar] [CrossRef]
- Liu, F.; Wang, X.; Chi, Q.; Tian, M. Spatial variations in soil organic carbon, nitrogen, phosphorus contents and controlling factors across the “Three Rivers” regions of southwest China. Sci. Total Environ. 2021, 794, 148795. [Google Scholar] [CrossRef] [PubMed]
- Liu, L.; Qin, F.; Sheng, Y.; Li, L.; Dong, X.; Zhang, S.; Shen, C. Soil quality evaluation and limiting factor analysis in different microtopographies of hilly and gully region based on minimum data set. CATENA 2025, 254, 108973. [Google Scholar] [CrossRef]
- Chen, H.X.; Hai, L.; Huang, L.M.; Mao, Z.R.; Chai, Y.J. Effects of slope direction on soil nutrient and its ecological stoichiometry in bamboo forest. Chin. J. Appl. Ecol. 2019, 30, 2915–2922. [Google Scholar] [CrossRef]
- Umali, B.P.; Oliver, D.P.; Forrester, S.; Chittleborough, D.J.; Hutson, J.L.; Kookana, R.S.; Ostendorf, B. The effect of terrain and management on the spatial variability of soil properties in an apple orchard. CATENA 2012, 93, 38–48. [Google Scholar] [CrossRef]
- Luo, Z.; Sun, Y.; Tang, G.; He, Z.; Peng, L.; Qi, D.; Ou, Z. The relationship between reference crop evapotranspiration change characteristics and meteorological factors in typical areas of the middle of the dry-Hot valley of Jinsha River. Water 2024, 16, 1512. [Google Scholar] [CrossRef]
- Zhang, W.; Li, H.; Pueppke, S.G.; Diao, Y.; Nie, X.; Geng, J.; Chen, D.; Pang, J. Nutrient loss is sensitive to land cover changes and slope gradients of agricultural hillsides: Evidence from four contrasting pond systems in a hilly catchment. Agric. Water Manag. 2020, 237, 106165. [Google Scholar] [CrossRef]
- Singh, S. Understanding the role of slope aspect in shaping the vegetation attributes and soil properties in Montane ecosystems. Trop. Ecol. 2018, 59, 417–430. [Google Scholar]
- Huang, K.; Ma, Z.; Wang, X.; Shan, J.; Zhang, Z.; Xia, P.; Jiang, X.; Wu, X.; Huang, X. Control of soil organic carbon under karst landforms: A case study of Guizhou Province, in southwest China. Ecol. Indic. 2022, 145, 109624. [Google Scholar] [CrossRef]
- Zhang, S.; Zhang, K. Assessing the impact of extreme rainfall and slope surface conditions on runoff and erosion based on a big database in Southwest China’s karst region. J. Hydrol. 2025, 659, 133273. [Google Scholar] [CrossRef]
- Chadwick, K.D.; Asner, G.P. Tropical soil nutrient distributions determined by biotic and hillslope processes. Biogeochemistry 2016, 127, 273–289. [Google Scholar] [CrossRef]
- Zhang, J.; Lan, Z.; Li, H.; Jaffar, M.T.; Li, X.; Cui, L.; Han, J. Coupling effects of soil organic carbon and moisture under different land use types, seasons and slope positions in the Loess Plateau. CATENA 2023, 233, 107520. [Google Scholar] [CrossRef]
- Kübler, S.; Rucina, S.; Aßbichler, D.; Eckmeier, E.; King, G. Lithological and topographic impact on soil nutrient distributions in tectonic landscapes: Implications for pleistocene Human-Landscape interactions in the Southern Kenya rift. Front. Earth Sci. 2021, 9, 611687. [Google Scholar] [CrossRef]
- Watene, G.; Yu, L.; Nie, Y.; Zhu, J.; Ngigi, T.; Nambajimana, J.d.D.; Kenduiywo, B. Water erosion risk assessment in the Kenya Great Rift Valley region. Sustainability 2021, 13, 844. [Google Scholar] [CrossRef]
- Muktar, M.; Bobe, B.; Kibebew, K.; Yared, M. Soil organic carbon stock under different land use types in Kersa Sub Watershed, Eastern Ethiopia. Afr. J. Agric. Res. 2018, 13, 1248–1256. [Google Scholar] [CrossRef]
- Xue, R.; Yang, Q.; Miao, F.; Wang, X.; Shen, Y. Slope aspect influences plant biomass, soil properties and microbial composition in alpine meadow on the Qinghai-Tibetan plateau. J. Soil Sci. Plant Nutr. 2018, 18, 1–12. [Google Scholar] [CrossRef]
- Liu, W.; Yang, Y.; Zhan, W.; Zhou, W.; Luo, L.; Hu, W. Soil erosion thickness and seasonal variations together drive soil nitrogen dynamics at the early stage of vegetation restoration in the dry-hot valley. Microorganisms 2024, 12, 1546. [Google Scholar] [CrossRef]
- Liu, S.; Yang, D.; Zhang, X.; Liu, F. Quantitative analysis and nonlinear response of vegetation dynamic to driving factors in Arid and Semi-Arid regions of China. Land 2025, 14, 1575. [Google Scholar] [CrossRef]
- Xia, J.; Ren, D.; Wang, X.; Xu, B.; Zhong, X.; Fan, Y. Ecosystem quality assessment and ecological restoration in fragile zone of Loess Plateau: A case study of Suide County, China. Land 2023, 12, 1131. [Google Scholar] [CrossRef]
- Shahidin, N.M.; Roslan, I.; Zaharah, S.S.; Kang, S.H.; Elisa, A.A.; Malisa, M.N.; Kamarudin, K.N.; Murano, H.; Abe, S.S. Soil spatial variation in a sloping mango orchard of Northern Peninsular Malaysia. Malays. J. Soil Sci. 2022, 26, 104–119. [Google Scholar]
- Liu, X.A.; Zhang, L.K.; Huang, C.; Xu, C.; Ma, Y.Q.; Yang, H. Stoichiometric characteristics of soil carbon, nitrogen and phosphorus in mango orchard in karst area of Guangxi. J. South. Agric. 2022, 53, 3346–3356. [Google Scholar] [CrossRef]
- Jian, X. Mango Forest soil nutritional components analysis and research in Dong District of Panzhihua city. Int. J. Eng. Sci. 2024, 13, 26–36. [Google Scholar] [CrossRef]
- Zhang, R.; Tian, X.; Xiang, Q.; Penttinen, P.; Gu, Y. Response of soil microbial community structure and function to different altitudes in arid valley in Panzhihua, China. BMC Microbiol. 2022, 22, 86. [Google Scholar] [CrossRef]
- IUSS Working Group WRB. World Reference Base for Soil Resources. International Soil Classification System for Naming Soils and Creating Legends for Soil Maps, 4th ed.; International Union of Soil Sciences (IUSS): Vienna, Austria, 2022. [Google Scholar]
- Lu, R.K. (Ed.) Soil Agro-Chemical Analysis Methods; China Agricultural Science and Technology Press: Beijing, China, 2000. [Google Scholar]
- Weintraub, S.R.; Taylor, P.G.; Porder, S.; Cleveland, C.C.; Asner, G.P.; Townsend, A.R. Topographic controls on soil nitrogen availability in a lowland tropical forest. Ecology 2014, 96, 1561–1574. [Google Scholar] [CrossRef]
- Jakšić, S.; Ninkov, J.; Milić, S.; Vasin, J.; Živanov, M.; Jakšić, D.; Komlen, V. Influence of slope gradient and aspect on soil organic carbon content in the region of Niš, Serbia. Sustainability 2021, 13, 8332. [Google Scholar] [CrossRef]
- Dortzbach, D.; Assunção, S.A.; Pereira, M.G.; Da Silva Neto, E.C. Fractions of soil organic matter in the vineyards of altitude regions in Santa Catarina. Semin. Ciências Agrárias 2017, 38, 1799. [Google Scholar] [CrossRef]
- Dall’Orsoletta, D.J.; Gatiboni, L.C.; Mumbach, G.L.; Schmitt, D.E.; Boitt, G.; Smyth, T.J. Soil slope and texture as factors of phosphorus exportation from pasture areas receiving pig slurry. Sci. Total Environ. 2020, 761, 144004. [Google Scholar] [CrossRef]
- Wang, W.; Zhong, Z.; Wang, Q.; Wang, H.; Fu, Y.; He, X. Glomalin contributed more to carbon, nutrients in deeper soils, and differently associated with climates and soil properties in vertical profiles. Sci. Rep. 2017, 7, 13003. [Google Scholar] [CrossRef]
- Yang, S.H.; Wu, H.Y.; Song, X.D.; Dong, Y.; Zhao, X.R.; Cao, Q.; Yang, J.L.; Zhang, G.L. Variation of deep nitrate in a typical red soil Critical Zone: Effects of land use and slope position. Agric. Ecosyst. Environ. 2020, 297, 106966. [Google Scholar] [CrossRef]
- Wang, L.; Li, Y.; Wu, J.; An, Z.; Suo, L.; Ding, J.; Li, S.; Wei, D.; Jin, L. Effects of the rainfall intensity and slope gradient on soil erosion and nitrogen loss on the sloping fields of Miyun reservoir. Plants 2023, 12, 423. [Google Scholar] [CrossRef] [PubMed]
- Zhang, S.; Huffman, T.; Zhang, X.; Liu, W.; Liu, Z. Spatial distribution of soil nutrient at depth in black soil of Northeast China: A case study of soil available phosphorus and total phosphorus. J. Soils Sediments 2014, 14, 1775–1789. [Google Scholar] [CrossRef]
- Fink, J.R.; Inda, A.V.; Tiecher, T.; Barrón, V. Iron oxides and organic matter on soil phosphorus availability. Ciência Agrotecnologia 2016, 40, 369–379. [Google Scholar] [CrossRef]
- Zhang, S.; Zhang, X.; Liu, X.; Liu, W.; Liu, Z. Spatial distribution of soil nutrient at depth in black soil of Northeast China: A case study of soil available potassium. Nutr. Cycl. Agroecosystems 2013, 95, 319–331. [Google Scholar] [CrossRef]
- Lan, A.Y.; Lin, Z.J.; Fan, X.W.; Yao, M.M. Effects of aspects on soil environment and plant growth on the Qinghai-Tibet Plateau. J. Glaciol. Geocryol. 2023, 45, 42–53. [Google Scholar] [CrossRef]
- Reza, S.K.; Baruah, U.; Sarkar, D.K.; Dutta, D. Influence of slope positions on soil fertility index, soil evaluation factor, and microbial indices in acid soil of humid subtropical India. Indian J. Soil Conserv. 2011, 39, 44–49. [Google Scholar]
- Wang, J.; Fu, B.; Qiu, Y.; Chen, L. Soil nutrients in relation to land use and landscape position in the semi-arid small catchment on the loess plateau in China. J. Arid. Environ. 2001, 48, 537–550. [Google Scholar] [CrossRef]
- Zhang, T.; Song, B.; Han, G.; Zhao, H.; Hu, Q.; Zhao, Y.; Liu, H. Effects of coastal wetland reclamation on soil organic carbon, total nitrogen, and total phosphorus in China: A meta-analysis. Land Degrad. Dev. 2023, 34, 3340–3349. [Google Scholar] [CrossRef]
- Zhou, H.; Dai, Q.; Yan, Y.; He, J.; Yang, Y.; Zhang, Y.; Hu, Z.; Meng, W.; Wang, C. Litter input promoted dissolved organic carbon migration in karst soil. Appl. Soil Ecol. 2024, 202, 105606. [Google Scholar] [CrossRef]
- Gelaw, A.M.; Singh, B.R.; Lal, R. Soil organic carbon and total nitrogen stocks under different land uses in a semi-arid watershed in Tigray, Northern Ethiopia. Agric. Ecosyst. Environ. 2014, 188, 256–263. [Google Scholar] [CrossRef]
- Liu, X.; Ma, J.; Ma, Z.W.; Li, L.H. Soil nutrient contents and stoichiometry as affected by land-use in an agro-pastoral region of northwest China. CATENA 2016, 150, 146–153. [Google Scholar] [CrossRef]
- Zhang, Q.; Wang, Z.; Yao, Y.; Kong, W.; Zhao, Z.; Shao, M.; Wei, X. Effects of slope morphology and position on soil nutrients after deforestation in the hilly loess region of China. Agric. Ecosyst. Environ. 2021, 321, 107615. [Google Scholar] [CrossRef]
- Feng, M.; Zhang, D.; He, B.; Liang, K.; Xi, P.; Bi, Y.; Huang, Y.; Liu, D.; Li, T. Characteristics of soil C, N, and P stoichiometry as affected by land use and slope position in the Three Gorges Reservoir area, Southwest China. Sustainability 2021, 13, 9845. [Google Scholar] [CrossRef]
- Li, T.; Ma, F.; Wang, J.; Qiu, P.; Zhang, N.; Guo, W.; Xu, J.; Dai, T. Study on the mechanism of Rainfall-Runoff induced nitrogen and phosphorus loss in hilly slopes of Black Soil Area, China. Water 2023, 15, 3148. [Google Scholar] [CrossRef]
- Li, C.; Shi, W.; Huang, M. Effects of crop rotation and topography on soil erosion and nutrient loss under natural rainfall conditions on the Chinese loess plateau. Land 2023, 12, 265. [Google Scholar] [CrossRef]
- Jiang, L.; He, Z.; Liu, J.; Xing, C.; Gu, X.; Wei, C.; Zhu, J.; Wang, X. Elevation Gradient Altered Soil C, N, and P stoichiometry of pinus taiwanensis forest on Daiyun Mountain. Forests 2019, 10, 1089. [Google Scholar] [CrossRef]
- Gebrelibanos, T.; Assen, M. Effects of slope aspect and vegetation types on selected soil properties in a dryland Hirmi watershed and adjacent agro-ecosystem, northern highlands of Ethiopia. Afr. J. Ecol. 2013, 52, 292–299. [Google Scholar] [CrossRef]
- Li, T.; Zeng, J.; He, B.; Chen, Z. Changes in soil C, N, and P concentrations and stoichiometry in karst trough valley area under ecological restoration: The role of slope aspect, land use, and soil depth. Forests 2021, 12, 144. [Google Scholar] [CrossRef]






| Dependent Variable | Slope Gradient | Soil Depth | Slope Gradient × Soil Depth |
|---|---|---|---|
| TN | 20.8 ** | 164.6 ** | 31.4 ** |
| OM | 2.6 | 20.9 ** | 11.1 ** |
| TP | 65.1 ** | 51.2 ** | 2.1 |
| TK | 8.7 ** | 0.2 | 0.9 |
| AK | 111.8 ** | 179.3 ** | 16.0 ** |
| AP | 35.0 ** | 216.5 ** | 35.0 ** |
| NH4+-N | 3.9 * | 0.0 | 2.2 |
| NO3−-N | 10.8 ** | 183.4 ** | 7.1 ** |
| pH | 16.4 ** | 18.9 ** | 3.9 * |
| Dependent Variable | Slope Position | Soil Depth | Slope Position × Soil Depth |
|---|---|---|---|
| TN | 32.9 ** | 117.6 ** | 21.1 ** |
| OM | 31.7 ** | 115.2 ** | 1.1 |
| TP | 272.2 ** | 75.7 ** | 0.3 |
| TK | 4.8 * | 0.0 | 1.0 |
| AK | 127.2 ** | 110.7 ** | 4.9 * |
| AP | 93.0 ** | 60.6 ** | 104.3 ** |
| NH4+-N | 1.9 | 1.6 | 2.2 |
| NO3−-N | 56.9 ** | 184.7 ** | 10.7 ** |
| pH | 2.2 | 0.0 | 7.4 ** |
| Dependent Variable | Slope Aspect | Soil Depth | Slope Aspect × Soil Depth |
|---|---|---|---|
| TN | 9.2 ** | 25.6 ** | 0.4 |
| OM | 4.9 ** | 4.2 ** | 0.0 |
| TP | 6.5 ** | 2.9 | 0.2 |
| TK | 12.1 ** | 0.1 ** | 0.3 |
| AK | 7.1 * | 13.8 ** | 1.3 |
| AP | 4.6 * | 8.4 ** | 35.3 ** |
| NH4+-N | 10.8 ** | 2.4 | 3.7 |
| NO3−-N | 10.3 ** | 40.3 ** | 0.4 |
| pH | 0.1 | 0.8 | 1.2 |
Disclaimer/Publisher’s Note: The statements, opinions and data contained in all publications are solely those of the individual author(s) and contributor(s) and not of MDPI and/or the editor(s). MDPI and/or the editor(s) disclaim responsibility for any injury to people or property resulting from any ideas, methods, instructions or products referred to in the content. |
© 2025 by the authors. Licensee MDPI, Basel, Switzerland. This article is an open access article distributed under the terms and conditions of the Creative Commons Attribution (CC BY) license (https://creativecommons.org/licenses/by/4.0/).
Share and Cite
Gong, Y.; Dong, R.; Li, X.; Wei, Z.; Luo, K.; Hu, A. Topographic Controls on Soil Nutrient Spatial Variability in a Mango Orchard of China’s Dry-Hot Valley: Effects of Slope Gradient, Position, and Aspect. Agronomy 2025, 15, 2295. https://doi.org/10.3390/agronomy15102295
Gong Y, Dong R, Li X, Wei Z, Luo K, Hu A. Topographic Controls on Soil Nutrient Spatial Variability in a Mango Orchard of China’s Dry-Hot Valley: Effects of Slope Gradient, Position, and Aspect. Agronomy. 2025; 15(10):2295. https://doi.org/10.3390/agronomy15102295
Chicago/Turabian StyleGong, Yueqian, Rongshu Dong, Xinyong Li, Zhiyuan Wei, Kai Luo, and An Hu. 2025. "Topographic Controls on Soil Nutrient Spatial Variability in a Mango Orchard of China’s Dry-Hot Valley: Effects of Slope Gradient, Position, and Aspect" Agronomy 15, no. 10: 2295. https://doi.org/10.3390/agronomy15102295
APA StyleGong, Y., Dong, R., Li, X., Wei, Z., Luo, K., & Hu, A. (2025). Topographic Controls on Soil Nutrient Spatial Variability in a Mango Orchard of China’s Dry-Hot Valley: Effects of Slope Gradient, Position, and Aspect. Agronomy, 15(10), 2295. https://doi.org/10.3390/agronomy15102295

