Abstract
Underground coal mining in coal-grain overlapped areas leads to land subsidence and deformation above the goaf, damaging cultivated land. Understanding the influencing process of coal mining on cultivated land and crops is important for carrying out timely land reclamation and stabilizing crop yield. Research has been carried out by using crop growth parameters to evaluate the damaging degree of cultivated land when the mining subsidence is stable, but few studies focus on the influence of land damage on crop growth when the subsidence is unstable during coal mining. Therefore, this study tracked the three growth stages of winter wheat by using UAV multispectral imagery to explore the dynamic influence of underground mining on winter wheat aboveground biomass (AGB). Firstly, a winter-wheat-AGB estimation model (R2 = 0.89, RMSE = 2.18 t/ha) was developed by using vegetation indexes (VIs), textures, and terrain data extracted from UAV imagery. Secondly, based on the winter-wheat-AGB estimation model, the winter wheat AGB was successfully estimated and mapped at different growth stages. The AGB of winter wheat in the coal mining-affected area was approximately 5.59 t/ha at the reviving stage, 8.2 t/ha at the jointing stage, and 15.6 t/ha at the flowering stage. Finally, combined with the progress of coal mining, the dynamic changing process of crops during underground mining can be inferred by analyzing the spatiotemporal variation in winter wheat AGB. Results showed that, in the dip direction, winter wheat AGB at the flowering stage was the highest at the compression zone, followed by the inner stretch zone, outer stretch zone, and neutral zone. The distance from the waterlogged area and the existence of cracks were found to be the important moderating variables affecting the crop growth status in the mining subsidence area. In the strike direction, there were significant differences in the wheat AGB-affected area as the mining proceeded. Even areas where AGB had previously significantly increased gradually transitioned to significant decreases with the end of mining. The research explores the dynamic changes in winter wheat AGB and land damage status during coal mining. It provides a rapid and non-destructive land-damage-monitoring method to protect cultivated land in mining areas.
1. Introduction
Coal resources strategically contribute to the long-term development of China, and its coal production achieved 4.66 billion tons in 2023, accounting for 52.24% of global coal production [1]. Coal mining has generated economic benefits but also brings the destruction of land, which intensifies the conflicts between land protection and coal mining. In China, about 92% of national coal resources are extracted by underground coal mining methods [2]. Different from open-pit mining, which brings direct and obvious land destruction, most underground coal mining results in continuous surface subsidence, and brings about changes to terrain, soil, and vegetation [3,4]. According to statistics, land destruction caused by underground coal mining has reached 1.3 million ha all over China, and it continues to increase at an annual rate of 2000 ha; the majority of the destroyed land is farmland, which has reached 0.69 million ha [5]. Considering the conflict between farmland protection and coal mining, the concept of “coal–grain overlap area” (CGOA) was first proposed in 2005 to call public attention to regions that were both the major grain-producing areas and the major coal-producing areas and to advocate effective measures to protect the basic farmland in these regions [6]. The North China Plain is a typical CGOA with thick coal seams, flat relief, and high groundwater levels. Underground coal mining in these areas caused the displacement and deformation of the overburdened rock, and then the stretching, fracturing, and bending of the overburdened rock led to land subsidence on the surface. In the subsidence center area, the groundwater may be raised above the land, causing a seasonal or permanent groundwater retention area and leading to crop extinction [7]; in the subsidence surrounding area, surface deformation weakens permeability and water holding capacity of the soil, and further affects organic decomposition and mineral deposition [8,9]. Thus, subsidence caused by coal mining negatively affects crop growth and agricultural production. Thus, it is necessary to detect and monitor the damaged land and crops in real time, as it is not only the basis for determining cultivated land information in time but also the key to land reclamation and ecological restoration in mining areas.
Traditional methods for determining the coal mining-damaged area usually took 10 mm subsidence contours as the affected boundary, and it was thus considered as the boundary for the following land reclamation and farmland protection [10]. This method was supported by data on the specific mining working face and mining process, and then the data were calculated by different mathematical and physical models [11]. However, the mining information was not usually available in time for aboveground land farming. The information gap made it difficult to apply targeted surface farmland management at the same time as coal mining. In addition, the traditional method determined the mining-impacted boundary in terms of the building but ignored the impact of mining on the ecology, and for CGOA with high vegetation coverage, it was not appropriate [12]. The influence of mining on CGOA should focus on its influence on the growth of crops. Along with this viewpoint, research has been carried out by exploring the impact of mining on surface soil and vegetation. Such research focused on using regression techniques from filed data to link soil- and vegetation-changing parameters with spectral measurements [13,14]. However, it should be noted that this research mainly showed the consequences of land damage caused by coal mining; for example, they sampled only after the subsidence reached a stable level, and selected one crop growth stage to present the health status of crops. Few studies explored the land damage process and the crop growth-changing process caused by underground mining. As Guo et al. summarized, previous research mainly focused on the post-evaluation of mining-driven cultivated-land damage, and the research results cannot satisfy the concept of concurrent management between aboveground cultivated-land protection and underground coal mining [15]. Therefore, current research should focus on the impacts of the ecological environment during coal mining, so that the results can provide references for selecting targeted reclamation methods to carry out the concurrent management.
The aboveground biomass (AGB) refers to the total gross mass of dry organic matter of vegetation on a unit area at a given time [16]. It can be used to reflect crop growth status; thus, it is considered as an important biochemical indicator to explore the extent of vegetation stress [17,18,19]. In CGOAs, AGB can be used to reflect crop growth status and degree of stress. Traditional methods for the measurement of AGB were destructive and laborious, and they were difficult to use in CGOA to keep tracking the crop AGB changes at different growth stages. Advancements in remote sensing technologies enable the rapid capture of crop canopy reflectance and the swift provision of the chemical component of the canopy. Various remote sensing-related technologies are employed to obtain the parameters of crop growth, such as plant height, texture features, and vegetation indices (VIs), and then to estimate crop AGB [20]. Although satellite remote sensing can capture extensive data, its application is constrained by factors such as weather conditions, coarse resolution, and long revisit periods. Especially for the study of the crop growth process in the coal mining area, both the crop growth stages and underground mining position should be carefully considered. In contrast to satellite remote sensing, UAV remote sensing technology is flexible for obtaining images with both higher spatial and spectral resolutions over short durations [21]. In addition, permanent and seasonal water accumulation caused by mining subsidence has made sampling and surveys more difficult in CGOA. Equipped with different sensors, low-cost UAVs can be safely used in researching plant phenotypes in areas with different natural environments. They have become a widely used system in ecosystem monitoring in small-scale subsidence areas [22].
In this context, this study aims to propose a UAV remote sensing-based AGB estimation model for analyzing the spatiotemporal variation of winter wheat AGB during coal mining and to study the dynamic influence of mining on crop growth in the CGOA. Zhaogu Coal Mine, which is a typical CGOA with a high water table on the North China Plain, is taken as the study area. Firstly, the study proposes different AGB estimation models based on terrain data, textures, and vegetation indices by using the regression techniques of random forest (RF), the partial least squares (PLSR), and the backpropagation neural network (BPNN). Secondly, the estimation model with the best accuracy is used to estimate winter wheat AGB at three growth stages. Finally, based on the estimated wheat AGB and the coal mining process, the study attempts to pinpoint the impact of underground coal mining on aboveground crop growth. The findings will support the partitional agricultural management and targeted land reclamation, and contribute to concurrent management between aboveground cultivated land protection and underground coal mining in CGOA. The proposed AGB estimation methods will further expand the UAV remote sensing applications in CGOA with high groundwater levels.
2. Materials and Methods
2.1. Study Area
The surface of the 16,091, the 16,111, and the 16,131 coal mining working faces of the Zhaogu Coal Mine at the western edge of the North China Plain (E113°35′50″–113°36′36″, N35°24′24″–35°25′11″) is selected as the study area. It belongs to Hui County, Xinxiang City, Henan Province (Figure 1). The surface is dominated by farmland. The altitude is 60–70 m above sea level, natural slope is 2–10%, and the terrain is flat. It has a warm temperate continental climate characterized by distinct four seasons, with an average annual temperature of 14.1~14.9 °C. The average annual precipitation is 580~600 mm, mostly concentrated in July and August. The average annual frost-free period is 214 days, with the longest being 239 days and the shortest 194 days. The soil types are mainly tidal soil and paddy soil, which are suitable for the growth of dry crops. This area has a crop rotation of winter wheat and summer corn, and it is considered as high-standard cropland. The abundant groundwater has a buried depth of 2~6 m, making it a typical CGOA with a high water table.
Figure 1.
Study area: (a) Henan province; (b) Xinxiang city and Zhaogu mining area; (c) the study area.
2.2. Data Collection
2.2.1. UAV Remote Sensing-Based Data Collection
The multi-rotor UAV DJI Matrice 300 RTK (DJI Technology Co., Shenzhen, China) equipped with multispectral camera AQ 600 Pro (Yusense Information Technology and Equipment Co., Qingdao, China) was used to obtain multispectral images of the winter wheat in the study area at the reviving stage (21 March 2023), jointing stage (8 April 2023), and flowering stage (27 April 2023). The AQ 600 Pro camera has a 3.2-million-pixel valid pixel in five multispectral bands of blue (450 nm), green (555 nm), red (660 nm), red-edge (720 nm), and near-infrared (840 nm), and it has a 12.3-million-pixel valid pixel in RGB images. The flight routes were automatically planned by the DJI PILOT v2.5.1.10 software (DJI Technology Co., Shenzhen, China). All the images were acquired during 10:00–13:00 when the weather was clear and cloudless. The related UAV parameters are shown in Table 1. Eight ground control points (GCPs) for georeferencing the imagery were set. To use the same GCPs for each data collection, stakes were driven at each GCP, and nails were driven into the center of the stakes. The positions of the nails were marked by using a Z-Survey i89 RTK-GPS (Huace Navigation Technology Co., Shanghai, China), which had a mean estimated error of 1 cm by using a real-time differential global positioning system. The multispectral image and the orthophoto for the entire study area were then produced by mosaicking the collected digital images together through Yusense Map V2.2.4 software, which is fully automated and reduces manual intervention. The radiometric calibration was applied using the same software. All images were then accurately positioned within the Gauss Kruger CGCS2000 3°band coordinate system, using a central meridian of 114° E for reference. Finally, an 8 cm resolution multispectral-image dataset with five bands and a 4.32 cm resolution orthophoto were produced.
The fixed-wing UAV P330 Pro (Huace Navigation Technology Co., Shanghai, China) equipped with a full-frame oblique photography camera DG4 Pros (Ruibo Technology Co., Chengdu, China), which has a sensor size of 35.9 × 24 mm, was utilized to acquire the DSM images on 14 October 2023, when the winter wheat had been harvested, and the farmland had been plowed and leveled. The flight routes were planned using EasyFly 1.1.4 software (Huace Navigation Technology Co., Shanghai, China). The images were acquired during 9:00–11:00 when the weather was cloudless with no wind. The obtained images were processed using Pix4Dmapper software V4.5.6 (Pix4D SA, Lausanne, Switzerland), which can acquire an accurate digital surface model (DSM) quickly and automatically. Then a 3 cm resolution DSM was georeferenced to the same spatial reference system as the multispectral images.
Table 1.
Overview of the two UAV flight parameters.
Table 1.
Overview of the two UAV flight parameters.
| Parameter | Multispectral Data Obtaining Flight Mission | DSM Data Obtaining Flight Mission |
|---|---|---|
| Data collection date | 21 March 2023 9 April 2023 27 April 2023 | 14 October 2023 |
| Flight altitude (m) | 100 | 267 |
| Speed (m/s) | 8 | 22 |
| Cover area (ha) | 180 | 220 |
| Overlap (forward, side) | 80%, 80% | 80%, 70% |
| Equipped sensor | AQ600 Pro | DG4 Pros |
| Surface coverage | Winter wheat at reviving stage Winter wheat at jointing stage Winter wheat at flowering stage | Bare soil |
2.2.2. Winter Wheat AGB Field Sampling
A detailed field-sampling plan was developed to present the variation in wheat AGB in different zones during coal mining. Details of selected mining working faces (the 16,091, the 16,111, and the 16,131) can be seen in Table 2. Before the field sampling, the winter wheat AGB sampling locations were pre-planned based on the horizontal movement and deformation theory of mining subsidence [23]. According to the theory, as the underground coal mining position reached a certain distance from the starting mining line, mining affected the aboveground surface, and the surface sank from its original height, forming a large sinking area above the goaf. This area was called the subsidence basin. The subsidence basin gradually formed during mining. When the goaf reached a certain range, the maximum subsidence height did not increase anymore, and a subsidence basin with a flat bottom formed and expanded with continuous mining [24]. The surface tended to be low in the middle and high on both sides. It can be divided into neutral zone (NZ), inner tension zone (ISZ), compression zone (CZ), and outer tension zone (OSZ). Subsequently, the physicochemical properties of the soil, such as water content and organic matter of soil in these zones, changed [11,25]. In parallel with changes in soil, plant growth conditions, and plant status was changed. This theory was used maturely in previous studies to identify different mining-affected zones [11,26,27]. Based on the theory, the study area was divided into NZ, ISZ, CZ, and OSZ in the strike direction to reflect the changing trend in winter wheat AGB. According to the accurate mining position on the reviving-stage sampling day and different mining-affected zones, sample points were set in different zones (NZ: 1–10, ISZ: 11–20, CZ: 21–30, OSZ: 31–50), and each two sampling points were separated by 30 m. The farmland, which was not affected by mining and had the same terrain, was selected and ten sampling points were set in this area as the control group (CG: 51–60). For the first sampling on 21 March 2023 (reviving-stage sampling), 60 sample points were marked using a Z-Survey i89 RTK-GPS. For the second and the third sampling on 8 April 2023 (jointing-stage sampling) and 27 April 2023 (flowering-stage sampling), the same sampling points were set near the first sampling points to reduce the bias caused by different field management.
Table 2.
Details of coal mining working faces.
After the UAV flights of each growth stage, 50 × 50 cm2 fresh aboveground winter wheat at each sample point was collected and stored in newspaper bags with numbers. Crop height was measured. Samples were initially dried at 105 °C to remove moisture and then dried at 80 °C until achieving a constant weight. Then the dry weight of each sample point was measured to represent their winter wheat AGB. During data collection, abnormal data may exist due to errors of instrumentation, external interferences, experimental environment, and other factors. To improve the data reliability and avoid abnormal data, 3 abnormal samples were excluded and 177 samples were used for the following model establishment, based on the calculated residuals and standard residual values. Table 3 shows the statistical characteristics of the used samples after the removal of abnormal data.
Table 3.
Statistical characteristics of AGB in winter wheat after optimization.
2.3. Vegetation Index and Image-Texture Selection
Based on data for five multispectral bands, we chose 23 related VIs (Table A1) to evaluate their correlation (Table A2) and variance inflation factor (VIF) (Figure A1) with AGB. The selecting rules were as follows: (i) the |r| of AGB at the reviving stage, AGB at jointing stage, AGB at flowering stage, AGB at three stages, and the mean must be higher than 0.4. (ii) The VIF value of selected VIs must lower than 20, which means there is no severe multicollinearity between each selected VI. Based on these two selecting rules, a total of 13 VIs, which had significant correlation and no multicollinearity with the sampled winter wheat AGB, were finally selected to establish the model (Table 4). Eight gray-tone spatial-dependence matrix-based image textures [28], were used in this study to extract texture features. Data from five bands were used to calculate the textures and evaluate their correlation with the sampled winter wheat AGB (Table A3). Considering the area of sampling points and the ground resolution of the multispectral image, we chose a 3 × 3 calculation window to calculate the image texture of each sample point. The texture-selecting rules were as follows: (i) the average of |r| at the reviving stage, jointing stage and flowering stage, and the sum of these three stages, must be higher than 0.2. (ii) Each |r| at reviving stage, jointing stage, flowering stage, and the sum of these three stages, must be higher than 0.2. Based on these two rules, blue-band mean (B-mean), blue-band entropy (B-entropy), green-band mean (G-mean), red-band mean (R-mean), and near-infrared-band mean (NIR-mean) were used for modeling and estimating the winter wheat AGB. These textures were calculated by using
where and are the row and column in the data matrix, is the probability value at position in the data matrix, and is the data value at that position.
Table 4.
Summary of the VIs used in this study.
2.4. Terrain Data Selection
Previous studies have used VIs combined with different parameters, such as texture features, to estimate crop AGB [32,47]. It should be noted that this study aims to study the dynamic influence of coal mining on winter wheat AGB in the CGOA area. The land topography in CGOA has been influenced by mining [48]. Therefore, this study involves terrain data in the winter-wheat-AGB estimation model. As the DSM was obtained when the winter wheat had been harvested and the farmland was covered by bare soil with few weeds, it can be considered as the digital elevation model (DEM). The terrain data, including the slope and elevation, was extracted from the DEM by using ArcGIS 10.7.
2.5. AGB Estimation and Analysis
Figure 2 presents the flowchart of this study, including the data collection, method, and analysis. For model building, the regression technique of random forest (RF), the partial least squares (PLSR), and the back propagation neural network (BPNN) are utilized for each growth stage. VI data, texture data, terrain data, and their different combinations are used, respectively. The coefficient of determination (R2) and root mean square error (RMSE) are used for accuracy verification. R2 reflects the degree of fitting between estimated and measured data, and 1 means perfect fitting. RMSE reflects the deviations between estimated and measured data, and a smaller RMSE means higher consistency and better accuracy. After comparison, the model with optimal AGB estimation accuracy is selected to map winter wheat AGB at different growth stages.
Figure 2.
Flowchart showing experiment methodology.
Based on AGB maps and coal mining information, the analysis of AGB variations under the influence of coal mining is carried out from strike and dip directions. In the strike direction: firstly, based on the width of the coal mining working face, 10 lines parallel to the mining direction were set from the starting mining line, around to the stopping mining line. Secondly, points were evenly set on 10 lines at an interval of 1 m, and there was a total of 10,240 points. Thirdly, the winter wheat AGB was extracted from the estimated AGB map for each point. Then the average AGB at the same length position was calculated to present the AGB at the spatial location. Finally, the Mann–Kendall test, which was first proposed by Mann and Kendall to perform sequential data detection [49], was conducted to obtain the AGB trendline. The above steps were repeated for each growth stage to obtain winter wheat AGB profiles and trendlines along the mining direction for different growth stages. In the dip direction: firstly, based on the horizontal movement and deformation theory of mining subsidence, the study area was divided into NZ, ISZ, CZ, and OSZ. Secondly, the winter wheat maps of each growth stage were vector clipped in different zones, and then the total AGB and the different AGB levels at different zones were estimated and classified. Finally, at each growth stage, the estimated winter wheat AGB and the area proportion of winter wheat at different AGB levels were analyzed.
3. Results
3.1. Winter Wheat AGB Estimation in the Study Area
3.1.1. Analysis of Measured AGB
Variations of sampled winter wheat AGB at three growth stages (reviving stage, jointing stage, and flowering stage) and mean AGB of three stages are shown in Figure 3 from L1 to L5. The results in Figure 3 reflect the fact that (i) the growth of winter wheat is a process of continuous accumulation of AGB, the average AGB of measured samples are between 2.8 and 7.9 t/ha at the reviving stage, between 8.8 and 13.9 t/ha at jointing stage, and between 17.5 and 22.9 t/ha at flowering stage; (ii) at three growth stages, CG has the highest AGB, followed by CZ, and NZ has the lowest AGB; and (iii) at each growth stage, the average winter wheat AGB shows an upward trend from NZ to CG with increasing distance from the surface water boundary; however, at jointing and flowering stages, the average AGB of OSZ is significantly lower than that of CZ.
Figure 3.
Winter wheat AGB (t/ha) statistics: (a) AGB at reviving stage; (b) AGB at jointing stage; (c) AGB at heading stage; (d) mean of three stages.
3.1.2. Analysis of Measured ABG and Selected Remote Sensing Parameters
Figure 4 reflects the relationship between the selected remote sensing parameters and the measured AGB. Figure 4a,b reflect the correlation coefficient between VIs and texture data, and AGB. Four colors represent the reviving stage, jointing stage, flowering stage, and all the three stages. The results in Figure 4a,b show that (i) most VIs have a positive correlation (higher than 0.6) with AGB in different growth stages, such as CL Green, RVI, and MSR; (ii) most textures have a weak correlation with AGB in different growth stages (changing from 0.2 to 0.5); and (iii)comparing three growth stages, the correlation coefficient at the jointing stage is higher. Figure 4c,d show measured AGB with the elevation and slope information. Points with four colors represent the different AGB of different growth stages.
Figure 4.
Selected remote sensing parameters vs. winter wheat AGB (t/ha): (a) VIs and AGB; (b) textures and AGB; (c) elevation and AGB; (d) slope and AGB.
3.1.3. Winter Wheat AGB Modeling
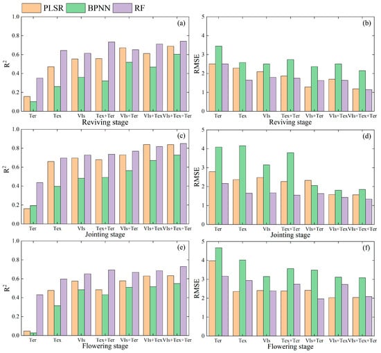
The study uses (i) PLSR, BPNN, and RF and (ii) VI data, texture data, terrain data, and different combinations of these data to estimate AGB through three growth stages. Figure 5 shows the AGB estimation results (R2 and RMSE) of different techniques when using different combinations of selected data. The results in Figure 5 present the fact that (i) with the addition of terrain and texture data, the accuracy of the AGB estimate gradually improves. In other words, compared to only using VI data, when combining three datasets, the AGB estimation accuracy increases. For example, when using PLSR, the accuracy shows a 0.23 increase in R2 and a 1.69 t/ha reduction in RMSE; when using BPNN, the accuracy shows a 0.28 increase in R2 and a 1.36 t/ha reduction in RMSE; when using RF, the accuracy shows a 0.05 increase in R2 and a 0.55 t/ha reduction in RMSE. (ii) As the AGB increased with the wheat growth, the AGB estimate based on a single data set may underestimate samples with high AGB values. For example, when using VI data to estimate AGB, the flowering stage (validation R2: 0.48–0.65) has a lower estimated accuracy compared with the jointing stage (validation R2: 0.48–0.73). Therefore, it is beneficial to use three datasets to inverse the AGB in different growth stages.
Figure 5.
Accuracy of winter wheat AGB estimation for different techniques and different data combinations at different wheat-growth stages: (a,c,e) R2; (b,d,f) RMSE.
The study then integrated these three datasets to estimate AGB. The relationships between the measured and estimated AGB (t/ha) using PLSR, RF, and BPNN are illustrated in Figure 6. The results suggest that (i) in all three techniques, AGB estimation has the highest accuracy when used for the three growth stages mixed (validation dataset: R2: 0.79–0.89, RMSE: 2.18–2.86 t/ha), followed by jointing stage (validation dataset: R2: 0.73–0.85, RMSE: 1.85–3.08 t/ha) and reviving stage (validation dataset: R2: 0.60–0.74, RMSE: 1.15–2.15 t/ha). Estimated AGB at a flowering stage has the lowest accuracy (validation dataset: R2: 0.55–0.73, RMSE: 2.04–3.08 t/ha); and (ii) the RF technique (validation dataset: R2: 0.73–0.89, RMSE: 1.15–2.18 t/ha) provides the best AGB estimation accuracy, followed by the PLSR technique (validation dataset: R2: 0.63–0.84, RMSE: 1.19–2.86 t/ha) and the BPNN technique (validation dataset: R2: 0.55–0.84, RMSE: 1.85–3.08 t/ha); thus, the RF technique has the best estimating accuracy. The winter wheat AGB maps of the study area (Figure 7) are then estimated based on the RF technique. As shown in Figure 7, at the reviving stage (March 21), winter wheat AGB is estimated to be approximately 5.45 t/ha; at jointing stage (April 8), winter wheat AGB is approximately 8.2 t/ha; and at flowering stage (April 27), winter wheat AGB is approximately 14.76 t/ha. The results in Figure 7 are consistent with the average AGB of measured samples in Figure 3.
Figure 6.
Estimated and measured winter-wheat AGB when combining VI data, texture data, and terrain data (t/ha): (a–d) three growth stages of AGB estimated with PLSR; (e–h) three growth stages of AGB estimated with RF; (i–l) three growth stages of AGB estimated with BPNN.

Figure 7.
Winter wheat AGB (t/ha) maps: (a) reviving stage; (b) jointing stage; (c) flowering stage.
3.2. Mining-Driven Cultivated-Land Damage in the Study Area
3.2.1. Comparisons of Winter Wheat AGB in the Strike Direction
The winter wheat AGB profiles of the 16111 mining working face and related trendlines (Figure 8) are generated from the starting mining line to the stopping mining line to present the changing trend in winter wheat AGB. In Figure 8a,c,e, the stopping mining line is in yellow, the mining position is marked with the red line, the blue line represents the AGB trendline of the 16111 mining-affected area, and the black line represents the AGB trendline of the unaffected area. Figure 8b,d,f show the M-K trend test of each growth stage. For each trendline figure, there are three baselines; they are the 0 axis, the 0.05 significance level, and the −0.05 significance level. When the trendline is higher than 0, it indicates a growing trend, and when the trendline is higher than 0.05, it indicates a significant growing trend; when the trendline is lower than 0, it indicates a decreasing trend, and when the trendline is lower than −0.05, it indicates a significant decreasing trend. It should be noted that there are no data for 0–300 m from the starting mining line because the ground is covered with buildings from 0 m to 300 m, and there is no red line in Figure 8c because the whole working face has been completed at the flowering stage.
Figure 8.
Winter wheat AGB (t/ha) profiles and trendlines from starting mining line to stopping mining line: (a,b) reviving-stage profiles and trendline; (c,d) jointing-stage profile and trendline; (e,f) flowering-stage profiles and trendline.
Figure 8 shows that (i) at the reviving stage, the position of the coal mining is around 1350 m. The AGB profile and trendline show the AGB increases from 310 m to 1000 m, and from 1230 m to 1500 m. The AGB decreases from 1000 m to 1230 m, and shows a significant decrease between 1030 m and 1200 m; and (ii) at the jointing stage, the position of the coal mining is around 1460 m. The increasing trend in AGB can be observed from 310 m to 1020 m, and 1280 m to 1500 m. The decreasing trend in AGB can be observed from 1020 m to 1280 m, and it is significant from 1030 m to 1220 m; and (iii) at the flowering stage, the whole working face has been completed. The significantly decreasing trend of AGB can be observed from 400 m to 1500 m. Compared with the AGB trendline of the unaffected area, the AGB trendline of the mining affected area shows that (i) both AGB trendlines show fluctuations, probably due to the differences in cropland management; however, (ii) the trendlines of the unaffected area show a similar fluctuation tendency from the reviving to the flowering stage, while the trendlines of the mining affected area show significant changes during mining. For example, the range with significant decreasing AGB gradually expands from 1030 m to 1200 m at the reviving stage, 1030 m to 1220 m at the jointing stage, and 400 m to 1500 m during the flowering stage. Therefore, as the mining proceeds, the area where AGB is significantly affected by coal mining gradually expands, and even areas where AGB had previously significantly increased gradually transition to a significant decrease.
3.2.2. Comparisons of Winter Wheat AGB in the Dip Direction
In the dip direction, the estimated winter wheat AGB and the area proportion of winter wheat at different AGB levels are displayed in Table 5 and Figure 9. The results indicate that (i) from different zones, CG has the highest winter wheat AGB, with a high AGB area proportion of 47.13% during the flowering stage, followed by CZ and ISZ, with high AGB area proportions of 45.67% and 39.81%, respectively, during the flowering stage. NZ has the lowest winter wheat AGB, with a high AGB area proportion of 22.09% during the flowering stage. (ii) Except for OSZ, most zones show an upward trend at each growth stage with increasing distance from the surface water boundary, which is consistent with the measured AGB in Figure 3; and (iii) OSZ has a second-highest AGB at the reviving stage after CG; however, its AGB is only higher than NZ at the jointing and flowering stages.
Figure 9.
The area proportion of winter wheat at different AGB levels in different zones: (a) reviving stage; (b) jointing stage; (c) flowering stage.
Table 5.
Estimated winter wheat AGB (t/ha) at different mining-affected zones.
Table 5.
Estimated winter wheat AGB (t/ha) at different mining-affected zones.
| Stages | Neutral Zone | Inner Stretch Zone | Compression Zone | Outer Stretch Zone | Comparing Zone |
|---|---|---|---|---|---|
| Reviving | 5.28 | 5.53 | 5.77 | 5.78 | 5.81 |
| Jointing | 7.94 | 8.83 | 9.00 | 8.64 | 9.09 |
| Flowering | 15.34 | 17.27 | 17.41 | 16.67 | 17.52 |
3.2.3. Comparisons of Winter Wheat AGB in Changing Zones
The affected zones are also changing during the mining. Based on the coal mining-affected zone division in Figure 7 at three growth stages, the changing affected zone during the coal mining is divided into the following: the zone without the interference of coal mining becomes OSZ, OSZ becomes CZ, CZ becomes ISZ, and ISZ becomes NZ. This study focuses on these changing affected zones, calculates the area proportion of different winter wheat AGB levels within each zone, and presents the AGB transfer process between different growth stages. In Figure 10, seven different colors represent different AGB levels: the extremely low level (EL) represents AGB lower than 6 t/ha; low level (L) represents AGB from 6 to 9 t/ha; relatively low level (RL) represents AGB from 9 to 12 t/ha; medium level (M) represents AGB from 12 to 15 t/ha; relatively high level (RH) represents AGB from 15 to 18 t/ha; high level (H) represents AGB from 18 to 21 t/ha; and extremely high level (EH) represents AGB higher than 21 t/ha. The number next to each AGB level represents the area proportion in the region.
Figure 10.
The winter wheat AGB transfer process between different growth stages: (a) zone changes from unaffected zone to OSZ; (b) zone changes from OSZ to CZ; (c) zone changes from CZ to ISZ; (d) zone changes from ISZ to NZ.
The results in Figure 10 reflect the fact that (i) at the flowering stage, the sum of RH, H, and EH of Figure 10b is the highest, reaching 83%, followed by Figure 10c, Figure 10a, and Figure 10d. Thus, until the flowering stage, the zone changing from OSZ to CZ (Figure 10b) has the best winter wheat AGB, followed by the zone changing from CZ to ISZ (Figure 10c) and the zone changing from unaffected zone to OSZ (Figure 10a), and the zone changing from ISZ to NZ has the lowest winter wheat AGB (Figure 10d); (ii) some zones have stable winter wheat AGB through all three growth stages, for example, Figure 10b shows the highest AGB at the reviving stage, and this status continues to the flowering stage, while Figure 10d shows the lowest AGB from the reviving stage to flowering stage; and (iii) some zones have similar AGB status at the reviving stage; however, with the changing of the affected coal mining zones, the AGB levels show differences at the flowering stage. For example, Figure 10a,c both have similar AGB level proportions at the reviving stage. From the reviving stage to jointing stage, Figure 10c has only 10% AGB at the L level remaining unchanged, which is less than 17% of that in Figure 10a. Meanwhile, Figure 10c has 40% AGB at L-level transfer to RL level, which is higher than 28% of that in Figure 10a. Therefore, at the jointing stage, Figure 10c has 29% AGB at L level, which is lower than 34% of that in Figure 10a, and Figure 10c has 62% AGB at RL level, which is higher than 53% of that in Figure 10a. From the jointing stage to the flowering stage, most AGB of the RL level in Figure 10c transfers to RH, H, and EH levels, with a proportion of 61%, while only 42% of the proportion of the RL level in Figure 10a transfers to RH, H, and EH levels. Therefore, at the flowering stage, the proportion of RH, H, and EH is 80% in Figure 10c, which is higher than 64% in Figure 10a.
4. Analysis and Discussion
4.1. Modeling of Winter Wheat AGB Estimation in Coal Mining Area
The study area was a coal mining-affected area, and the terrain has been destroyed to varying degrees, which indirectly led to varying crop-canopy coverage and biomass (Figure 3). Typically, underground mining forms a large area of goaf, the overlying rock mass loses its original support, and the stress balance state is destroyed. The stress of rock mass is redistributed, and this contributes to rock mass fracture and movement. The fracture and movement of rock mass eventually form the ground surface deformation, soil subsidence, cracks, and fractures, and then the condition for crop habitats on the surface has been changed [50]. Previous studies reported that terrain changes caused by mining influence the physical and chemical properties of soil [11,25,51,52], and the phenotype and biomass of above-ground vegetation [12,53]. Therefore, it is necessary to add terrain data into the crop-growth parameter estimation model when exploring the effects of underground mining on crops, and Figure 5 also shows that both elevation and slope data can relatively improve the accuracy of winter wheat AGB estimation.
For vegetation, leaf parameters and canopy structure can affect reflectance and so account for spectral VIs [54,55]. As shown in Figure 4a, winter wheat AGB is correlated with the UAV multispectral data-based VIs. The feasibility of utilizing VIs to inverse crop AGB has been proved by different studies [56,57]. During reproductive growth stages, photosynthesis products gradually shift from the photosynthetic organs to the reproductive organs, so AGB gradually increases with winter wheat growth; however, the values of winter wheat VIs almost reached saturation from the observed vegetation growth stages (reviving and jointing stages) to the reproductive growth stage (flowering), and the correlation between AGB and selected VIs did not increase, and even decreased (Figure 4a). For example, from reviving to flowering, the NDVI of sample points is 0.70–0.89 at the reviving stage, 0.77–0.93 at jointing stage, and 0.72–0.90 at flowering stage; while the AGB of sample points are 3.4–11.9 t/ha at the reviving stage, 4.4–18.88 t/ha at jointing stage, and 13.33–31.14 t/ha at flowering stage. In other words, although NDVI decreases from the jointing to flowering stages, the AGB increases rapidly during these two stages. Quantitative evidence shown in Figure 11 also supports the point that AGB variation is hard to present by merely utilizing VIs. Especially during reproductive growth stages, AGB is usually underestimated, although some techniques have been developed to improve the estimating accuracy [43,58,59]. Therefore, to explore AGB variation, more datasets should be considered to improve AGB estimation accuracy.
Figure 11.
Field photos, UAV images, related B-band textures, and related NDVI of partial study area: (a,e,i) field photos; (b,f,j) UAV images; (c,g,k) B-band textures; (d,h,l) NDVI.
The canopy image of winter wheat is made up of leaves, shadowed leaves, stems, ears, and soil. Thus, when the resolution of multispectral imagery is high enough, the high-frequency texture information of this canopy will be rich enough [32]. In addition, the DN values of soil pixels in the multispectral imagery are uniform, which results in reduced soil texture information extracted from the gray-level co-occurrence matrix when compared to the crop canopy pixels. In Figure 4, although the selected textures have lower correlations with sampled AGB compared to the selected VIs (|r| between sampled AGB and VIs: 0.4–0.7, |r| between sampled AGB and textures: 0.2–0.6), when combined textures and VIs are used in AGB-estimation model construction, the estimation accuracy is higher than that of models constructed solely using textures or VIs (Figure 4a–d). Especially from the jointing to flowering stage, canopy structure becomes more complicated as the ears sprout (Figure 11e,i). These changes in canopy structure can be reflected by textures. Both quantitative evidence and the increased high-frequency information shown in Figure 11g,k prove that selected textures show the differences in canopy structure from the jointing stage to flowering stage, and they contribute to the higher winter wheat AGB estimation accuracy (Figure 5).
4.2. Winter Wheat AGB-Variation Process during Coal Mining
Previous research has explored the influence of underground mining on vegetation, from different aspects. According to previous research, in semi-arid mining areas, NZ has higher soil water content due to its relatively low terrain, while those in CZ, ISZ, and OSZ are generally lower, due to their relatively high terrain. In addition, the soil is compressed in the CZ, and permanent cracks exist on the surface of OSZ and ISZ; all these factors contribute to a decrease in soil water content in these areas. As a result, to keep normal physiological activities and reduce the loss of water in leaves, the plants reduce the absorption of CO2 from the air. The long-time reduction in CO2 concentration would influence the photosynthetic CO2 assimilation rate of plant leaves directly, and then influence NDVI and the biomass of plants [26]. Therefore, in the semi-arid mining area, the degree of stress that plants experienced in the SZ was higher than that in the CZ, and the stress was the lowest in the NZ.
In coal mining areas with high groundwater levels, the situation may be different. The groundwater would be raised above the surface in the center of the subsidence basin leading to seasonal or permanent water accumulation, and crops are damaged and even subject to extinction due to waterlogging. As the distance from the accumulated water increases, indicators of crop growth gradually return to normal [12,60]. The quantitative outcomes of this research also proved that NZ has the lowest AGB among different growth stages (Figure 9). These results suggest that winter wheat in this zone experiences serious stress of waterlogging through all three growth stages. However, differently from previous research in coal mining areas with high groundwater, this research found a certain degree of decrease in AGB in ISZ and OSZ at the jointing and flowering stages (Figure 9b,c). This may be due to coal mining subsidence which has resulted in the occurrence of extensive cracks in the stretching zone (Figure 11). In addition, the impact of cracks varies on winter wheat during different growth stages. At the reviving stage, winter wheat has a small leaf area and grows slowly, with relatively low temperatures at this stage resulting in relatively weak transpiration of winter wheat. Although there are cracks, water from the soil at this time can satisfy its normal growth. The AGB on both sides of the cracks is the same (Figure 9a and Figure 12a–c). However, as the winter wheat grows faster and its leaf area increases during the jointing stages, transpiration increases, and winter wheat needs more water from the soil to maintain normal growth. For the study area where traditional irrigation methods are still used, the large cracks caused by mining change the direction of irrigation water, so the irrigation water cannot pass through the crack to reach the other side. The winter wheat on one side of the cracks is observed to have grown ears during the jointing stage, forming a contrast with the winter wheat on the other side, proving the early maturity (Figure 12d). The AGB on both sides of the cracks show differences (Figure 9b,c and Figure 12f,i). Therefore, in underground mining areas with high groundwater levels, crops in different zones face different stresses and show spatial heterogeneity during growth. Crops near the center of the subsidence area suffer from waterlogging, while crops near the stretching cracks suffer from drought.
Figure 12.
Field photos, UAV images, and AGB maps of winter wheat around the cracks: (a,d,g) field photos; (b,e,h) UAV images; (c,f,i) AGB maps of winter wheat.
This study considers the influence of underground mining on surface crop growth as a dynamic changing process. In the strike direction, the theory of mining subsidence shows that during the process of mining, the position with the maximum subsidence always lags behind the current mining position on the surface [15]. The distance between the position with the maximum subsidence and the position of mining is called the maximum subsidence lagging distance. Observations of surface movement and deformation at the Tang Jiahui Coal Mine 61,101 on the Loess Plateau found many cracks above the goaf lagging behind the surface of the mining position, which was consistent with mining subsidence theory [61]. Based on previous theory and findings, this study shows that during mining there is an area with a significant decrease in winter wheat AGB behind the mining position, and this area continued to expand after the mining finished. This result supports the concept of the maximum subsidence lagging distance and extends the concept from the surface to the vegetation cover on the surface. In the dip direction, during the mining process, some areas will transition from the zone without interference of coal mining to OSZ, then from OSZ to CZ, from CZ to ISZ, and finally from ISZ to NZ (Figure 7). Figure 10 attempts to pinpoint winter wheat AGB changes during this transition process. Zone changing from ISZ to NZ (Figure 10d) has the lowest winter wheat AGB, probably because this zone is close to the waterlogging area, and winter wheat is affected by waterlogging through all three growth stages. This agrees with previous research, in that the closer a zone is to the waterlogging area, the greater the influence of water damage on crops in that zone [12,60]. However, differently from this research, zone changing from an unaffected zone to OSZ also shows the lowest winter wheat AGB, as well (Figure 10a), probably because coal mining causes significant stretching cracks at the edge of the subsidence basin (Figure 12). Then, the stretching of the surface results in damage to the wheat roots, directly causing the wheat roots to be stretched and fractured and influencing their AGB accumulation [62].
4.3. Limitations and Future Recommended Works
This paper uses UAV-based multispectral imagery to estimate winter wheat AGB in the subsidence area with high groundwater levels. Compared with satellite remote sensing, UAV-based remote sensing has high ground resolution and temporal flexibility, and it allows researchers to conduct data collection based on their own needs. As an example, when observing AGB variation during winter wheat growth, it is important to collect data on key growth stages. In addition, the using of UAVs is a secure way to carry out field investigations in subsidence coal-mining areas with waterlogging. With these advantages of UAV, this study can estimate winter wheat AGB in a rapid, safe, and non-destructive way. However, the short flight duration of UAVs makes them hard to use in large areas. In future studies, on the one hand, UAV-based remote sensing data can be integrated with satellite-based remote sensing data to realize crop-growth parameter estimation on a large scale. On the other hand, there are fixed-wing UAVs (the HC-141 with a flying duration of 12 h, and flying speeds of 130 km/h), which t can support longer flight durations compared with the UAVs used in this study. Thus, the proposed method can not only be used as a supplement to satellite remote sensing data, but can also be used as an approach when estimating crop growth parameters in a larger area.
It also should be mentioned that, although this study reaches satisfactory accuracy in estimating winter wheat AGB, subsequent work still needs to consider more environmental factors. Compared with a controlled environment, field environmental conditions have little control over environmental factors. As an example, planting density under a controlled environment is well designed for the experiment, while that under a field environment is decided to increase final production [63]. Higher planting density may result in a more uniform texture, and lower planting density may lead to a richer texture, which may influence the data of the texture and the estimation results. Therefore, to increase the estimation accuracy of crops in a field environment, future work should consider more environmental factors during modeling. In addition, this study used the DSM of bare soil as DEM data to obtain terrain data and carry out wheat AGB modeling. The cropland is levelled once a year in the study area, which means there is a limited amount of time to obtain DEM data throughout the year. Such a frequency of data collection may be insufficient for monitoring surface deformation caused by coal mining. In subsequent research, it would be beneficial to use other methods to increase the frequency of surface deformation monitoring. For example, plant height and DSM data obtained on the same day can be combined to infer the elevation of the surface, and SAR interferometry can be used to monitor deformation monitoring. Data related to the changing surface can provide a better explanation of the changes in crop growth status on the surface.
5. Conclusions
This study develops a VI, texture, and terrain data-based winter wheat AGB estimation method to explore the variations in crop growth parameters during coal mining. The study uses terrain, textures, and vegetation indices obtained from UAV remote sensing imagery to estimate and map winter wheat AGB at three growth stages, and then, combined with coal mining information, the AGB variations during coal mining are discussed. Our conclusions are as follows:
- In terms of data selection, incorporating terrain, textures, and VI data resulted in an improved AGB estimation accuracy, with an R2 improvement of 0.28 and a decrease in RMSE of 1.36 t/ha, and the RF technique achieved an optimal AGB estimation accuracy of 0.89, with an RMSE of 2.18 t/ha.
- In terms of winter wheat AGB estimation, the AGB of winter wheat in the coal mining-affected area was successfully estimated to be approximately 5.59 t/ha at the reviving stage, 8.2 t/ha at the jointing stage, and 15.6 t/ha at the flowering stage.
- In terms of winter wheat AGB dynamic variation during coal mining, in the dip direction, most mining-affected zones had an upward trend of AGB at each growth stage with increasing distance from the water-accumulated area. Both the neutral zone and the outer stretch zone had a lower AGB, because wheat in the neutral zone suffered from waterlogging, and wheat near the stretching cracks suffered from drought. In the strike direction, as the mining proceeds, the area where AGB is significantly affected by coal mining gradually expands, and even areas where AGB had previously significantly increased gradually transition to a significant decrease with the end of mining.
These results present the dynamic changes in winter wheat AGB during coal mining and provide references for the timely concurrent management of the aboveground cultivated land and underground coal mining.
Author Contributions
Writing—original draft, X.L.; methodology, X.L.; software, J.L.; validation, X.Z.; formal analysis, Y.J.; investigation, X.Z.; resources, W.D.; data curation, E.Z.; writing—review and editing, Z.C.; visualization, Y.J.; supervision, Z.C.; project administration, H.Z.; funding acquisition, H.Z. All authors have read and agreed to the published version of the manuscript.
Funding
This research was funded by the Nation Natural Science Foundation of China (grant number U21A20108, U22A20620, U22A20620/003), the Joint Fund of Spatial-temporal Evolution of Vegetation in the Mining Area of Henan section of the Yellow River Basin based on Remote Sensing Stereo Monitoring (grant number 11221058), supported by the PI project of Collaborative Innovation Center of Geo-Information Technology for Smart Central Plains (grant number 2023C003). We gratefully acknowledge the financial support from these programs.
Data Availability Statement
Data will be made available on request.
Acknowledgments
The authors thank the Jiaozuo Coal Industry Group Co., Ltd. for the information on mining.
Conflicts of Interest
The authors declare no conflicts of interest.
Appendix A
In this work, 23 related VIs are shown in Table A1; the correlation coefficient |r| between the 23 VIs and the sampled winter wheat AGB at the reviving stage, jointing stage, and flowering stage and the sum of these three stages are shown in Table A2; the correlation coefficient |r| between the 40 textures data and the sampled winter wheat AGB at the reviving stage, jointing stage, and flowering stage and the sum of these three stages are shown in Table A3; the variance inflation factor (VIF) between the data of five multispectral bands and their related 23 VIs, and AGB are shown in Figure A1.
Table A1.
The 23 Related VIs.
Table A1.
The 23 Related VIs.
| Type | Vegetation Index | Expression |
|---|---|---|
| Color index | Normalized green–red difference index | NGRDI = (G − R)/(G + R) |
| Visible atmospherically resistance index | VARI = (G − R)/(G + R − B) | |
| Color index of vegetation | CIVE = 0.441 × R − 0.881 × G + 0.385 × B + 18.78745 | |
| Excess-green index | ExG = 2 × G − R − B | |
| Excess-red index | ExR = 1.4 × R − G | |
| Red edge-based index | Red-edge chlorophyll index | CL rededge = NIR/RE − 1 |
| Red-edge ratio vegetation index | RERVI = NIR/RE | |
| Normalized-difference red edge | NDRE = (NIR − RE)/(NIR + RE) | |
| Optimized soil-adjusted vegetation index | OSAVI = 1.16(NIR − RE)/(NIR + RE + 0.16) | |
| Red-edge soil-adjusted vegetation index | RESAVI = 1.5 × (NIR − RE)/(NIR + RE + 0.5) | |
| Red-edge difference vegetation index | REDVI = NIR − RE | |
| Near infrared-based index | Difference vegetation index | DVI = NIR − R |
| Enhanced vegetation index | EVI = 2.5 × (NIR − R)/(NIR + 2 × R + 1) | |
| Normalized-difference vegetation index | NDVI = (NIR − R)/(NIR + R) | |
| Green normalized-difference vegetation index | GNDVI = (NIR − G)/(NIR + G) | |
| Green chlorophyll index | CL green = NIR/G − 1 | |
| Ratio vegetation index | RVI = NIR/R | |
| Wide dynamic-range vegetation index | WDRVI = (0.1NIR − R)/(0.1NIR + R) | |
| Non-linear index | NLI = (NIR × NIR − R)/(NIR × NIR + R) | |
| Green soil-adjusted vegetation index | GSAVI = 1.5 × (NIR − G)/(NIR + G + 0.5) | |
| Soil-adjusted vegetation index | SAVI = 1.5 × (NIR − R)/(NIR + R + 0.5) | |
| Modified seasonal ratio | MSR = (NIR/R − 1)/(NIR/R + 1)0.5 | |
| Renormalized-difference vegetation index | RDVI = (NIR − R)/(NIR + R)0.5 |
Note: G, R, RE and NIR are reflectance values in green, red, red-edge and near-infrared bands.
Table A2.
The correlation coefficient |r| between VIs and the sampled winter wheat AGB.
Table A2.
The correlation coefficient |r| between VIs and the sampled winter wheat AGB.
| VIs | AGB at Reviving Stage | AGB at Jointing Stage | AGB at Flowering Stage | AGB at Three Stages | Mean |
|---|---|---|---|---|---|
| RVI | 0.622998 | 0.70209 | 0.700568 | 0.575219 | 0.650219 |
| CL Green | 0.604611 | 0.713529 | 0.684409 | 0.567516 | 0.642516 |
| WDRVI | 0.605628 | 0.67713 | 0.69566 | 0.459473 | 0.609473 |
| CL redege | 0.570225 | 0.701512 | 0.664124 | 0.445287 | 0.595287 |
| RERVI | 0.570225 | 0.701512 | 0.664124 | 0.445287 | 0.595287 |
| MSR | 0.565123 | 0.673921 | 0.683771 | 0.540938 | 0.615938 |
| GNDVI | 0.56439 | 0.674483 | 0.671005 | 0.536626 | 0.611626 |
| RESAVI | 0.579167 | 0.68309 | 0.646354 | 0.536203 | 0.611203 |
| NDVI | 0.58551 | 0.646381 | 0.675319 | 0.535737 | 0.610737 |
| OSAVI | 0.567985 | 0.680344 | 0.65852 | 0.535616 | 0.610616 |
| NDRE | 0.534959 | 0.671784 | 0.659804 | 0.522182 | 0.597182 |
| NLI | 0.570495 | 0.634167 | 0.651207 | 0.418623 | 0.568623 |
| REDVI | 0.544432 | 0.682874 | 0.620386 | 0.515898 | 0.590898 |
| GSAVI | 0.541454 | 0.675127 | 0.626643 | 0.514408 | 0.589408 |
| RDVI | 0.529596 | 0.678018 | 0.631422 | 0.513012 | 0.588012 |
| EVI | 0.528911 | 0.676541 | 0.631005 | 0.512153 | 0.587153 |
| SAVI | 0.531446 | 0.671453 | 0.626435 | 0.409778 | 0.559778 |
| DVI | 0.480008 | 0.672627 | 0.600536 | 0.48439 | 0.55939 |
| VARI | 0.535538 | 0.557966 | 0.623586 | 0.472363 | 0.547363 |
| NGRDI | 0.486864 | 0.502667 | 0.565067 | 0.318199 | 0.468199 |
| ExR | 0.46088 | 0.416468 | 0.525257 | 0.367535 | 0.442535 |
| CIVE | 0.152012 | 0.302935 | 0.046913 | 0.167287 | 0.167287 |
| ExG | 0.144063 | 0.286297 | 0.031711 | 0.154024 | 0.154024 |
Table A3.
The correlation coefficient |r| between GLCM textures and the sampled winter wheat AGB.
Table A3.
The correlation coefficient |r| between GLCM textures and the sampled winter wheat AGB.
| GLCM Textures | AGB at Reviving Stage | AGB at Jointing Stage | AGB at Flowering Stage | AGB at Three Stages | Mean |
|---|---|---|---|---|---|
| B-mean | 0.255508 | 0.378815 | 0.375905 | 0.336743 | 0.336743 |
| B-variance | 0.383674 | 0.418238 | 0.108658 | 0.303523 | 0.303523 |
| B-homogeneity | 0.376917 | 0.568523 | 0.186872 | 0.377437 | 0.377437 |
| B-contrast | 0.301664 | 0.41255 | 0.160354 | 0.291523 | 0.291523 |
| B-dissimilarity | 0.370057 | 0.538382 | 0.182404 | 0.363614 | 0.363614 |
| B-entropy | 0.409686 | 0.59165 | 0.224437 | 0.408591 | 0.408591 |
| B-second moment | 0.380802 | 0.599646 | 0.22457 | 0.401673 | 0.401673 |
| B-correlation | 0.104566 | 0.421445 | 0.264365 | 0.263459 | 0.263459 |
| G-mean | 0.263346 | 0.53557 | 0.38294 | 0.393952 | 0.393952 |
| G-variance | 0.440451 | 0.578439 | 0.014476 | 0.344455 | 0.344455 |
| G-homogeneity | 0.46249 | 0.642588 | 0.101772 | 0.402284 | 0.402284 |
| G-contrast | 0.351301 | 0.58 | 0.066428 | 0.332576 | 0.332576 |
| G-dissimilarity | 0.443063 | 0.634596 | 0.091914 | 0.389858 | 0.389858 |
| G-entropy | 0.477495 | 0.678356 | 0.193487 | 0.449779 | 0.449779 |
| G-second moment | 0.462594 | 0.661677 | 0.192347 | 0.438872 | 0.438872 |
| G-correlation | 0.088604 | 0.173788 | 0.298674 | 0.187022 | 0.187022 |
| R-mean | 0.387926 | 0.51212 | 0.479243 | 0.459763 | 0.459763 |
| R-variance | 0.394499 | 0.391043 | 0.154841 | 0.313461 | 0.313461 |
| R-homogeneity | 0.48694 | 0.565702 | 0.100006 | 0.384216 | 0.384216 |
| R-contrast | 0.332397 | 0.376809 | 0.155871 | 0.288359 | 0.288359 |
| R-dissimilarity | 0.457659 | 0.519438 | 0.113796 | 0.363631 | 0.363631 |
| R-entropy | 0.534486 | 0.545397 | 0.144141 | 0.408008 | 0.408008 |
| R-second moment | 0.535663 | 0.514121 | 0.109556 | 0.386447 | 0.386447 |
| R-correlation | 0.158629 | 0.201121 | 0.032156 | 0.130636 | 0.130636 |
| RE-mean | 0.132201 | 0.396876 | 0.288065 | 0.272381 | 0.272381 |
| RE-variance | 0.194844 | 0.594516 | 0.077066 | 0.288809 | 0.288809 |
| RE-homogeneity | 0.182223 | 0.633908 | 0.017202 | 0.277778 | 0.277778 |
| RE-contrast | 0.18159 | 0.587926 | 0.015383 | 0.261633 | 0.261633 |
| RE-dissimilarity | 0.183854 | 0.626614 | 0.001936 | 0.270802 | 0.270802 |
| RE-entropy | 0.182876 | 0.640674 | 0.099681 | 0.307744 | 0.307744 |
| RE-second moment | 0.182707 | 0.61765 | 0.093549 | 0.297969 | 0.297969 |
| RE-correlation | 0.070984 | 0.107349 | 0.084404 | 0.087579 | 0.087579 |
| NIR-mean | 0.414326 | 0.609602 | 0.236589 | 0.420172 | 0.420172 |
| NIR-variance | 0.108541 | 0.498171 | 0.143276 | 0.249996 | 0.249996 |
| NIR-homogeneity | 0.131848 | 0.580684 | 0.008005 | 0.240179 | 0.240179 |
| NIR-contrast | 0.092651 | 0.480113 | 0.089068 | 0.22061 | 0.22061 |
| NIR-dissimilarity | 0.114926 | 0.546111 | 0.054759 | 0.238599 | 0.238599 |
| NIR-entropy | 0.086882 | 0.610724 | 0.142421 | 0.280009 | 0.280009 |
| NIR-second moment | 0.079283 | 0.583196 | 0.143527 | 0.268669 | 0.268669 |
| NIR-correlation | 0.270412 | 0.334756 | 0.076529 | 0.227232 | 0.227232 |
Note: G, R, RE and NIR are reflectance values in green, red, red-edge and near-infrared bands.
Figure A1.
The variance inflation factor (VIF) between data for five multispectral bands and their related 23 VIs, and AGB.
References
- China National Coal Association. Available online: https://www.coalchina.org.cn/index.php?m=content&c=index&a=lists&catid=67 (accessed on 21 March 2024).
- Xiao, W.; Fu, Y.; Wang, T.; Lv, X. Effects of land use transitions due to underground coal mining on ecosystem services in high groundwater table areas: A case study in the Yanzhou coalfield. Land Use Policy 2018, 71, 213–221. [Google Scholar] [CrossRef]
- Lechner, A.M.; Baumgartl, T.; Matthew, P.; Glenn, V. The Impact of Underground Longwall Mining on Prime Agricultural Land: A Review and Research Agenda. Land Degrad. Dev. 2016, 27, 1650–1663. [Google Scholar] [CrossRef]
- Liu, S.; Li, W. Indicators sensitivity analysis for environmental engineering geological patterns caused by underground coal mining with integrating variable weight theory and improved matter-element extension model. Sci. Total Environ. 2019, 686, 606–618. [Google Scholar] [CrossRef] [PubMed]
- Hu, Z.; Xiao, W.; Fu, Y. Introduction to Concurrent Mining and Reclamation for Coal Mines in China. In Mine Planning and Equipment Selection; Garsten, D., Raj, S., Eds.; Springer: Cham, Switzerland, 2014; pp. 781–789. [Google Scholar]
- Hu, Z.Q.; Li, J.; Zhao, Y.L. Problems, reasons and contermeasures for environmental quality and food safety in the overlapped areas of crops and mineral production. Sci. Technol. Rev. 2006, 3, 21–24. (In Chinese) [Google Scholar]
- Hu, X.; Li, X. Information extraction of subsided cultivated land in high-groundwater-level coal mines based on unmanned aerial vehicle visible bands. Environ. Earth Sci. 2019, 78, 413. [Google Scholar] [CrossRef]
- Xu, X.; Zhao, Y.; Hu, Z.; Yu, Y.; Shao, F. Boundary demarcation of the damaged cultivated land caused by coal mining subsidence. Bull. Eng. Geol. Environ. 2014, 73, 621–633. [Google Scholar] [CrossRef]
- Jiang, C.; Jiang, C.; Wang, Q.; Liu, H.; Li, D.; Zhu, Q.; Liu, F. Seasonal characteristics of groundwater discharge controlled by precipitation and its environmental effects in a coal mining subsidence lake, eastern China. Sci. Total Environ. 2024, 915, 170067. [Google Scholar] [CrossRef] [PubMed]
- Guo, W.B. Damage and Protection in Coal Mining; Emergency Management Press: Beijing, China, 2013. (In Chinese) [Google Scholar]
- Vishwakarma, A.K.; Behera, T.; Rai, R.; Sonkar, A.K.; Singh, A.P.; Shrivastva, B.K. Impact assessment of coal mining induced subsidence on native soil of South Eastern Coal Fields: India. Geomech. Geophys. Geo-Energy Geo-Resour. 2020, 6, 31. [Google Scholar] [CrossRef]
- Ren, H.; Xiao, W.; Zhao, Y.L.; Hu, Z.Q. Land damage assessment using maize aboveground biomass estimated from unmanned aerial vehicle in high groundwater level regions affected by underground coal mining. Environ. Sci. Pollut. Res. 2020, 27, 21666–21679. [Google Scholar] [CrossRef]
- Ahmed, M.; Else, B.; Eklundh, L.; Ardö, J.; Seaquist, J. Dynamic response of NDVI to soil moisture variations during different hydrological regimes in the Sahel region. Int. J. Remote Sens. 2017, 38, 5408–5429. [Google Scholar] [CrossRef]
- Xiao, W.; Chen, J.L.; Zhao, Y.L.; Hu, Z.Q.; Lv, X.J.; Zhang, S. Identify maize chlorophyll impacted by coal mining subsidence in high groundwater table area based on UVA remote sensing. J. China Coal Soc. 2019, 44, 295–306. (In Chinese) [Google Scholar] [CrossRef]
- Guo, G.L.; Li, H.Z.; Zha, J.F.; Liu, W.K.; Hu, Q.F.; Wang, F.T.; Chen, C.; Zhang, P.P.; Zhang, H.J.; Zhang, Q.X. Research status and countermeasures of coordinated development of coal mining and cultivated land protection in the plain coal-cropland overlapped areas. Coal Sci. Technol. 2023, 51, 416–426. (In Chinese) [Google Scholar] [CrossRef]
- Person, R. Remote Mapping of Standing Crop Biomass for Estimation of the Productivity of the Short-Grass Prairie; Pawnee National: Grasslands, CO, USA, 1972. [Google Scholar]
- Devia, C.A.; Rojas, J.P.; Petro, E.; Martinez, C.; Mondragon, I.F.; Patino, D.; Rebolledo, M.C.; Colorado, J. High-Throughput Biomass Estimation in Rice Crops Using UAV Multispectral Imagery. J. Intell. Robot. Syst. 2019, 96, 573–589. [Google Scholar] [CrossRef]
- Pouri, K.; Mardeh, A.S.S.; Sohrabi, Y.; Soltani, A. Crop Phenotyping for Wheat Yield and Yield Components against Drought Stress. Cereal Res. Commun. 2019, 47, 383–393. [Google Scholar] [CrossRef]
- Hein, N.T.; Ciampitti, I.A.; Jagadish, S.V.K. Bottlenecks and opportunities in field-based high-throughput phenotyping for heat and drought stress. J. Exp. Bot. 2021, 72, 5102–5116. [Google Scholar] [CrossRef] [PubMed]
- Roth, L.; Streit, B. Predicting cover crop biomass by lightweight UAS-based RGB and NIR photography: An applied photogrammetric approach. Precis. Agric. 2018, 19, 93–114. [Google Scholar] [CrossRef]
- Maddikunta, P.K.R.; Hakak, S.; Alazab, M.; Bhattacharya, S.; Gadekallu, T.R.; Khan, W.Z.; Pham, Q.V. Unmanned Aerial Vehicles in Smart Agriculture: Applications, Requirements, and Challenges. IEEE Sens. J. 2021, 21, 17608–17619. [Google Scholar] [CrossRef]
- Matese, A.; Toscano, P.; Di Gennaro, S.F.; Genesio, L.; Vaccari, F.P.; Primicerio, J.; Belli, C.; Zaldei, A.; Bianconi, R.; Gioli, B. Intercomparison of UAV, Aircraft and Satellite Remote Sensing Platforms for Precision Viticulture. Remote Sens. 2015, 7, 2971–2990. [Google Scholar] [CrossRef]
- He, G.Q. Mining Subsidence Science; China University of Mining and Technology Press: Xuzhou, China, 1991. (In Chinese) [Google Scholar]
- Alaee, N.H.; Mozafari, A.; Mirzaee, M.; Faghihi, A.; Tolouei, K. Fuzzy evaluation method for the identification of subsidence susceptibility in an underground mine (case study in Tabas coal mine of Iran). Nat. Hazards 2019, 99, 797–806. [Google Scholar] [CrossRef]
- Yang, D.; Bian, Z. Comparison of the disturbance of soil physical quality indices between different underground mining stages in semi-arid regions of Western China. Environ. Earth Sci. 2022, 81, 354. [Google Scholar] [CrossRef]
- Yang, D.J.; Bian, Z.F.; Lei, S.G. Impact on soil physical qualities by the subsidence of coal mining: A case study in Western China. Environ. Earth Sci. 2016, 75, 652. [Google Scholar] [CrossRef]
- Liu, Y.; Lei, S.G.; Chen, X.Y.; Chen, M.; Zhang, X.Y.; Long, L.L. Disturbance mechanism of coal mining subsidence to typical plants in a semiarid area using O-J-I-P chlorophyll a fluorescence analysis. Photosynthetica 2020, 58, 1178–1187. [Google Scholar] [CrossRef]
- Haralick, R.M.; Shanmugam, K.; Dinstein, I. Textural Features for Image Classification. IEEE Trans. Syst. Man Cybern. 1973, 6, 610–621. [Google Scholar] [CrossRef]
- Rouse, J.W.; Haas, R.H.; Deering, D.W.; Schell, J.A.; Harlan, J.C. Monitoring the Vernal Advancement and Retrogradation (Green Wave Effect) of Natural Vegetation; Great Plains Corridor; NASA: Washington, DC, USA, 1973. [Google Scholar]
- Zheng, H.B.; Cheng, T.; Zhou, M.; Li, D.; Yao, X.; Tian, Y.C.; Cao, W.X.; Zhu, Y. Improved estimation of rice aboveground biomass combining textural and spectral analysis of UAV imagery. Precis. Agric. 2019, 20, 611–629. [Google Scholar] [CrossRef]
- Jiang, Z.Y.; Huete, A.R.; Didan, K.; Miura, T. Development of a two-band enhanced vegetation index without a blue band. Remote Sens. Environ. 2008, 112, 3833–3845. [Google Scholar] [CrossRef]
- Yue, J.B.; Yang, G.J.; Tian, Q.J.; Feng, H.K.; Xu, K.J.; Zhou, C.Q. Estimate of winter-wheat above-ground biomass based on UAV ultrahigh-ground-resolution image textures and vegetation indices. ISPRS J. Photogramm. Remote Sens. 2019, 150, 226–244. [Google Scholar] [CrossRef]
- Gitelson, A.A.; Kaufman, Y.J.; Merzlyak, M.N. Use of a green channel in remote sensing of global vegetation from EOS-MODIS. Remote Sens. Environ. 1996, 58, 289–298. [Google Scholar] [CrossRef]
- Maimaitijiang, M.; Ghulam, A.; Sidike, P.; Hartling, S.; Maimaitiyiming, M.; Peterson, K.; Shavers, E.; Fishman, J.; Peterson, J.; Kadam, S.; et al. Unmanned Aerial System (UAS)-based phenotyping of soybean using multi-sensor data fusion and extreme learning machine. ISPRS J. Photogramm. Remote Sens. 2017, 134, 43–58. [Google Scholar] [CrossRef]
- Gitelson, A.A.; Gritz, Y.; Merzlyak, M.N. Relationships between leaf chlorophyll content and spectral reflectance and algorithms for non-destructive chlorophyll assessment in higher plant leaves. J. Plant Physiol. 2003, 160, 271–282. [Google Scholar] [CrossRef]
- Liu, Y.; Sun, Q.; Huang, Y.; Feng, H.K.; Wang, J.J.; Yang, G.J. Estimation of potato above ground biomass based on UAV multispectral images. Spectrosc. Spectr. Anal. 2021, 41, 2549–2555. (In Chinese) [Google Scholar]
- Gitelson, A.A. Wide Dynamic Range Vegetation Index for Remote Quantification of Biophysical Characteristics of Vegetation. J. Plant Physiol. 2004, 161, 165–173. [Google Scholar] [CrossRef] [PubMed]
- Han, L.; Yang, G.; Dai, H.; Xu, B.; Yang, H.; Feng, H.; Li, Z.; Yang, X. Modeling maize above-ground biomass based on machine learning approaches using UAV remote-sensing data. Plant Methods 2019, 15, 10. [Google Scholar] [CrossRef] [PubMed]
- Goel, N.S.; Qin, W. Influences of canopy architecture on relationships between various vegetation indices and LAI and Fpar: A computer simulation. Remote Sens. Rev. 1994, 10, 309–347. [Google Scholar] [CrossRef]
- Li, B.Y.; Wang, W.; Bai, L.; Chen, N.C.; Wang, W. Estimation of aboveground vegetation biomass based on Landsat-8 OLI satellite images in the Guanzhong Basin, China. Int. J. Remote Sens. 2019, 40, 3927–3947. [Google Scholar] [CrossRef]
- Sripada, R.P.; Heiniger, R.W.; White, J.G.; Weisz, R. Aerial color infrared photography for determining late-season nitrogen requirements in corn. Agron. J. 2005, 97, 1443–1451. [Google Scholar] [CrossRef]
- Huete, A.R. A soil-adjusted vegetation index (SAVI). Remote Sens. Environ. 1988, 25, 295–309. [Google Scholar] [CrossRef]
- Brinkhoff, J.; Dunn, B.W.; Robson, A.J.; Dunn, T.S.; Dehaan, R.L. Modeling Mid-Season Rice Nitrogen Uptake Using Multispectral Satellite Data. Remote Sens. 2019, 11, 1837. [Google Scholar] [CrossRef]
- Rondeaux, G.; Steven, M.; Baret, F. Optimization of soil-adjusted vegetation indices. Remote Sens. Environ. 1996, 55, 95–107. [Google Scholar] [CrossRef]
- Bendig, J.; Yu, K.; Aasen, H.; Bolten, A.; Bennertz, S.; Broscheit, J.; Gnyp, M.L.; Bareth, G. Combining UAV-based plant height from crop surface models, visible, and near infrared vegetation indices for biomass monitoring in barley. Int. J. Appl. Earth Obs. Geoinf. 2015, 39, 79–87. [Google Scholar] [CrossRef]
- Barnes, E.M.; Clarke, T.; Richards, S.E.; Colaizzi, P.D.; Haberland, J.; Kostrzewski, M.; Waller, P.M.; Choi, C.Y.; Riley, E.; Thompson, T.L.; et al. Coincident detection of crop water stress, nitrogen status and canopy density using ground-based multispectral data. In Proceedings of the Fifth International Conference on Precision Agriculture, Bloomington, MN, USA, 16–19 July 2000. [Google Scholar]
- Yue, J.B.; Yang, G.J.; Li, C.C.; Li, Z.H.; Wang, Y.J.; Feng, H.K.; Xu, B. Estimation of Winter Wheat Above-Ground Biomass Using Unmanned Aerial Vehicle-Based Snapshot Hyperspectral Sensor and Crop Height Improved Models. Remote Sens. 2017, 9, 708. [Google Scholar] [CrossRef]
- Al-Gaadi, K.A.; Hassaballa, A.A.; Tola, E.; Kayad, A.G.; Madugundu, R.; Assiri, F.; Alblewi, B. Characterization of the spatial variability of surface topography and moisture content and its influence on potato crop yield. Int. J. Remote Sens. 2018, 39, 8572–8590. [Google Scholar] [CrossRef]
- Mann, H.B. Nonparametric tests againsts trend. Econometrica 1945, 13, 245. [Google Scholar] [CrossRef]
- Zhang, H.; Ma, C.; Guo, W.; Li, T. Dynamic Monitoring of Winter Wheat Health in Mining Subsidence Areas by Combined Active and Passive Remote Sensing Technology. Land 2023, 12, 2079. [Google Scholar] [CrossRef]
- Blachowski, J.; Milczarek, W. Analysis of surface changes in the Walbrzych hard coal mining grounds (SW Poland) between 1886 and 2009. Geol. Q. 2014, 58, 353–367. [Google Scholar] [CrossRef]
- Feng, Y.; Wang, J.M.; Bai, Z.K.; Reading, L. Effects of surface coal mining and land reclamation on soil properties: A review. Earth-Sci. Rev. 2019, 191, 12–25. [Google Scholar] [CrossRef]
- Lei, S.G.; Ren, L.X.; Bian, Z.F. Time-space characterization of vegetation in a semiarid mining area using empirical orthogonal function decomposition of MODIS NDVI time series. Environ. Earth Sci. 2016, 75, 516. [Google Scholar] [CrossRef]
- Féret, J.B.; Gitelson, A.A.; Noble, S.D.; Jacquemoud, S. PROSPECT-D: Towards modeling leaf optical properties through a complete lifecycle. Remote Sens. Environ. 2017, 193, 204–215. [Google Scholar] [CrossRef]
- Jacquemoud, S.; Verhoef, W.; Baret, F.; Bacour, C.; Zarco-Tejada, P.J.; Asner, G.P.; François, C.; Ustin, S.L. PROSPECT plus SAIL models: A review of use for vegetation characterization. Remote Sens. Environ. 2009, 113, S56–S66. [Google Scholar] [CrossRef]
- Liu, Y.; Feng, H.K.; Yue, J.B.; Jin, X.L.; Fan, Y.G.; Chen, R.Q.; Bian, M.B.; Ma, Y.P.; Song, X.Y.; Yang, G.J. Improved potato AGB estimates based on UAV RGB and hyperspectral images. Comput. Electron. Agric. 2023, 214, 108260. [Google Scholar] [CrossRef]
- Gnyp, M.L.; Bareth, G.; Li, F.; Lenz-Wiedemann, V.I.S.; Koppe, W.G.; Miao, Y.X.; Hennig, S.D.; Jia, L.L.; Laudien, R.; Chen, X.P.; et al. Development and implementation of a multiscale biomass model using hyperspectral vegetation indices for winter wheat in the North China Plain. Int. J. Appl. Earth Obs. Geoinf. 2014, 33, 232–242. [Google Scholar] [CrossRef]
- Reddersen, B.; Fricke, T.; Wachendorf, M. A multi-sensor approach for predicting biomass of extensively managed grassland. Comput. Electron. Agric. 2014, 109, 247–260. [Google Scholar] [CrossRef]
- Fu, Y.Y.; Wang, J.H.; Yang, G.J.; Song, X.Y.; Xu, X.G.; Feng, H.K. Band Depth Analysis and Partial Least Square Regression Based Winter Wheat Biomass Estimation Using Hyperspectral Measurements. Spectrosc. Spectr. Anal. 2013, 33, 1315–1319. [Google Scholar] [CrossRef]
- Hu, X.; Niu, B.B.; Li, X.J.; Min, X.Y. Unmanned aerial vehicle (UAV) remote sensing estimation of wheat chlorophyll in subsidence area of coal mine with high phreatic level. Earth Sci. Inform. 2021, 14, 2171–2181. [Google Scholar] [CrossRef]
- Wang, Z. Analysis of Surface Movement and Deformation of the First Mining Face in Tang Jiahui Coal Mine. Master’s Dissertation, Anhui University of Science and Technology, Huainan, China, 2016. (In Chinese). [Google Scholar]
- Pan, D.J.; Zhang, N.; Zhao, Y.M.; Lei, S.G. Characteristics and mesoscopic mechanics of vegetation roots damage induced by mining in western mining area. J. China Coal Soc. 2017, 42, 373–380. (In Chinese) [Google Scholar] [CrossRef]
- Botyanszka, L.; Zivcak, M.; Chovancek, E.; Sytar, O.; Barek, V.; Hauptvogel, P.; Halabuk, A.; Brestic, M. Chlorophyll Fluorescence Kinetics May Be Useful to Identify Early Drought and Irrigation Effects on Photosynthetic Apparatus in Field-Grown Wheat. Agronomy 2020, 10, 1275. [Google Scholar] [CrossRef]
Disclaimer/Publisher’s Note: The statements, opinions and data contained in all publications are solely those of the individual author(s) and contributor(s) and not of MDPI and/or the editor(s). MDPI and/or the editor(s) disclaim responsibility for any injury to people or property resulting from any ideas, methods, instructions or products referred to in the content. |
© 2024 by the authors. Licensee MDPI, Basel, Switzerland. This article is an open access article distributed under the terms and conditions of the Creative Commons Attribution (CC BY) license (https://creativecommons.org/licenses/by/4.0/).