You are currently viewing a new version of our website. To view the old version click .
Agronomy
  • Article
  • Open Access

28 March 2024

Storage Temperature and Grain Moisture Effects on Phenolic Compounds as a Driver of Seed Coat Darkening in Red Lentil

,
,
,
,
,
and
1
Faculty of Science, The University of Melbourne, Parkville, VIC 3010, Australia
2
Agriculture Victoria, Grains Innovation Park, Horsham, VIC 3400, Australia
3
Agriculture Victoria, AgriBio, Centre for AgriBioscience, Bundoora, VIC 3083, Australia
*
Author to whom correspondence should be addressed.
This article belongs to the Section Plant-Crop Biology and Biochemistry

Abstract

The biochemistry underlying seed coat darkening of lentil due to extended storage is limited. This study investigated the relationship between seed coat darkening over time during storage and changes in concentration of phenolic compounds (total phenolic compounds, total condensed tannins, proanthocyanidins and anthocyanins) in two red lentil cultivars (PBA Hallmark and PBA Jumbo2), stored at two grain moisture contents (10 and 14%, w/w) and two temperatures (4 and 35 °C) for 360 days. Seed coat darkening was only significant (p = 0.05) at high temperatures (35 °C) but not at low temperatures (4 °C), irrespective of grain moisture content and cultivar. The concentration of all phenolic compounds tested in this study reduced significantly (p = 0.05) throughout the study period, regardless of temperature and grain moisture treatments. The changes in seed coat brightness and redness followed a linear pattern, except for yellowness, where phenolic compounds initially reduced linearly and then remained constant thereafter. Darkening of seedcoat was only associated with the reduction in phenolic compounds tested in this study at 35 °C, and not at 4 °C. This suggests that seed coat darkening due to extended storage may not be directly linked to broad reductions in the groups of phenolic compounds or individual compounds assessed in this study. This information prompts further research to identify the actual biochemical processes that cause the darkening of seed coats during storage and assist in developing cultivars with stable seed coat colour by selecting and modifying such processes.

1. Introduction

The seed coat colour of lentil is diverse, with colours ranging from green, red, brown, pink, grey and brown with black spots [1,2]. This diversity determines market types and influences how market types are graded in the international market. Classifying lentil grains for export is accomplished by grading based on visual assessment of seed coat colour in countries like Australia [3] and Canada [4]. Lentil grains with brighter seed coats are preferred by consumers compared to grains with duller and darker seed coats [1,5]. Lentil with duller, darker seed coats can cause the product to be downgraded, leading to a reduction in value and the prices paid to growers. For example, in Australia lentil delivered containing more than 1% of seeds with dull and darker coats are downgraded from “Grade 1”, leading to reduced market price [3]. Understanding the underlying biochemical process associated with the changes in seed coat colour could enable breeders to develop improved cultivars with stable seed coat colour. This will enable extended storage of lentil grain, where the change in lentil colour is not impacted by environmental conditions. This, in turn, would allow growers to retain market grade, marketability and market price.
In current cultivars, it has been shown that the colour of the lentil seed coat is unstable and subject to change over time based on storage conditions and length of storage, shifting from a bright light to a duller or darker shade [6]. Previous research has identified the seed coat of red lentil changes to a deep brown colour when stored at or above 25 °C and under high grain moisture content (14%, w/w) [7]. Changes in seed coat colour in pulse grains have been linked to a reduction in bioactive compounds such as phenolic compounds in faba beans [8] and green lentil [6] subjected to extended storage periods. Phenolic compounds, including flavan-3-ols, proanthocyanidins, flavones, flavonols, stilbenes, phenolic acids and anthocyanidins, are commonly present in lentil [9,10,11]. Compounds such as anthocyanins (a subclass of flavonoids) are associated with intense colours in the grain, from orange and red to blue [12]. While proanthocyanidins (subclass of condensed tannins) have been associated with red, blue, or purple colours [13].
The oxidation of phenolic compounds in food and fruit stored under oxygen-rich conditions is a well-established phenomenon, occurring via both enzymatic and non-enzymatic processes [14,15]. Storage temperature and grain moisture content can influence the oxidative breakdown of phenolic compounds, resulting in seed coat darkening across a range of grains [16]. Flavonoids undergo non-enzymatic chemical oxidation and auto-oxidation during prolonged storage, resulting in the formation of quinoidal compounds. These compounds subsequently initiate coupled oxidations with other polyphenols, giving rise to secondary quinones. This process ultimately contributes to the formation of diverse polymers, leading to the development of a dark brown colour in fruits [14].
Among the phenolic compounds, certain groups, such as condensed tannins (including the subclass proanthocyanidins) and flavonoids (including the subclass anthocyanins), have been reported to impact seed coat darkening in faba bean [8] and green lentil [6,17]. Storing faba bean above 25 °C has been shown to darken the seed coat from beige to reddish-dark brown, which was attributed to a reduction in the total phenolic and tannin compounds when compared to the results from the beginning and the end of storage [8]. In green lentil, when comparing results before and after storage, seed coat darkening was attributed to a reduction in flavan-3-ols via polymerisation of condensed tannins, including proanthocyanidins, and breakdown and cross-linking of phenolic compounds with cell wall components [6,17]. Similarly, when comparing the results for the seed coat colour and phenolic compounds before and after storage, seed coat darkening in cow pea and common bean has been associated with a reduction in total condensed tannins [18,19] and with a reduction in flavonols and proanthocyanidins in pinto bean [20].
Studies investigating the influence of storage conditions such as grain moisture content and storage temperature on the reduction kinetics of phenolic compounds over time, along with their relationship with seed coat darkening in red lentil, are currently limited. Darkening of the seed coat of red lentil grains stored under high temperatures and grain moisture content was hypothesised to be related to a reduction in phenolic compounds over time. This study describes the relationship between changes in phenolic compounds and the darkening of the seed coat in red lentil during storage under different conditions.

2. Materials and Methods

In this study, grain samples from two contrasting red lentil cultivars (PBA Hallmark and PBA Jumbo2) were obtained from a previous study [7]. Both cultivars were stored under a factorial combination of two moisture contents (10 and 14%, w/w) and two contrasting temperatures of 4 and 35 °C for 360 days. The cultivar PBA Hallmark was selected to represent a darker seed coat, whereas PBA Jumbo2 represented a cultivar with a brighter seed coat. Both cultivars were grown in the Western Victorian region represented by a semi-arid climatic environment. Ten percent grain moisture was selected to represent the typical harvest moisture level in the harvested grain, and fourteen percent was chosen as the maximum suggested harvest moisture content. The change in seed coat colour was measured at 30-day intervals for the first 180 days and 60-day intervals thereafter using a spectrophotometer (CM5, Hamburg, Germany), where colour was quantified using Commission Internationale de l’Elcairage (CIE) values L* a* and b*. The initial colour values (CIE L*, a* and b*) for PBA Hallmark were 43.7, 10.5 and 17.6, respectively. For PBA Jumbo2, the corresponding values were 48.3, 8 and 14.2, respectively.

2.1. Estimation of Phenolic Compounds

The grain samples assessed for the change in seed coat colour traits were also analysed for change in phenolic compounds. These samples were ground using a commercial grinder (Russell Hobbs Classic, model DZ-1613, Melbourne, VIC, Australia), and 1 g of sample was prepared for analyses of total phenolic compounds, total condensed tannins, proanthocyanidins and anthocyanins. The concentration of total phenolic compounds was determined using spectrophotometric methods with Folin–Ciocalteu’s phenol reagent, following the procedure outlined in Ainsworth and Gillespie [21]. The concentration of total condensed tannins was estimated by deducting the concentration of non-tannin phenolic compounds from the total phenolic compounds, as described in FAO/IAEA [22] where the concentration of non-tannin phenolic compounds was determined by using polyvinyl polypyrrolidone (PVPP) reagent. The concentration of proanthocyanidins was measured via the dimethylaminocinnamaldehyde (DMAC) method as established by Sintara et al. [23]. The concentration of anthocyanins was measured using the pH differential method, following the protocol described by Zhao et al. [24].

2.2. Statistical Analysis

Using GenStat (22nd edition) software [25], an analysis of variance (ANOVA) was conducted to determine the effects of grain moisture, temperature and cultivar on seed coat brightness and phenolic compounds, where storage time was modelled as a repeated measures factor. At the 0.05 level of significance, the least significant difference (LSD) was computed to compare the means of the factor combinations throughout the storage period.

3. Results

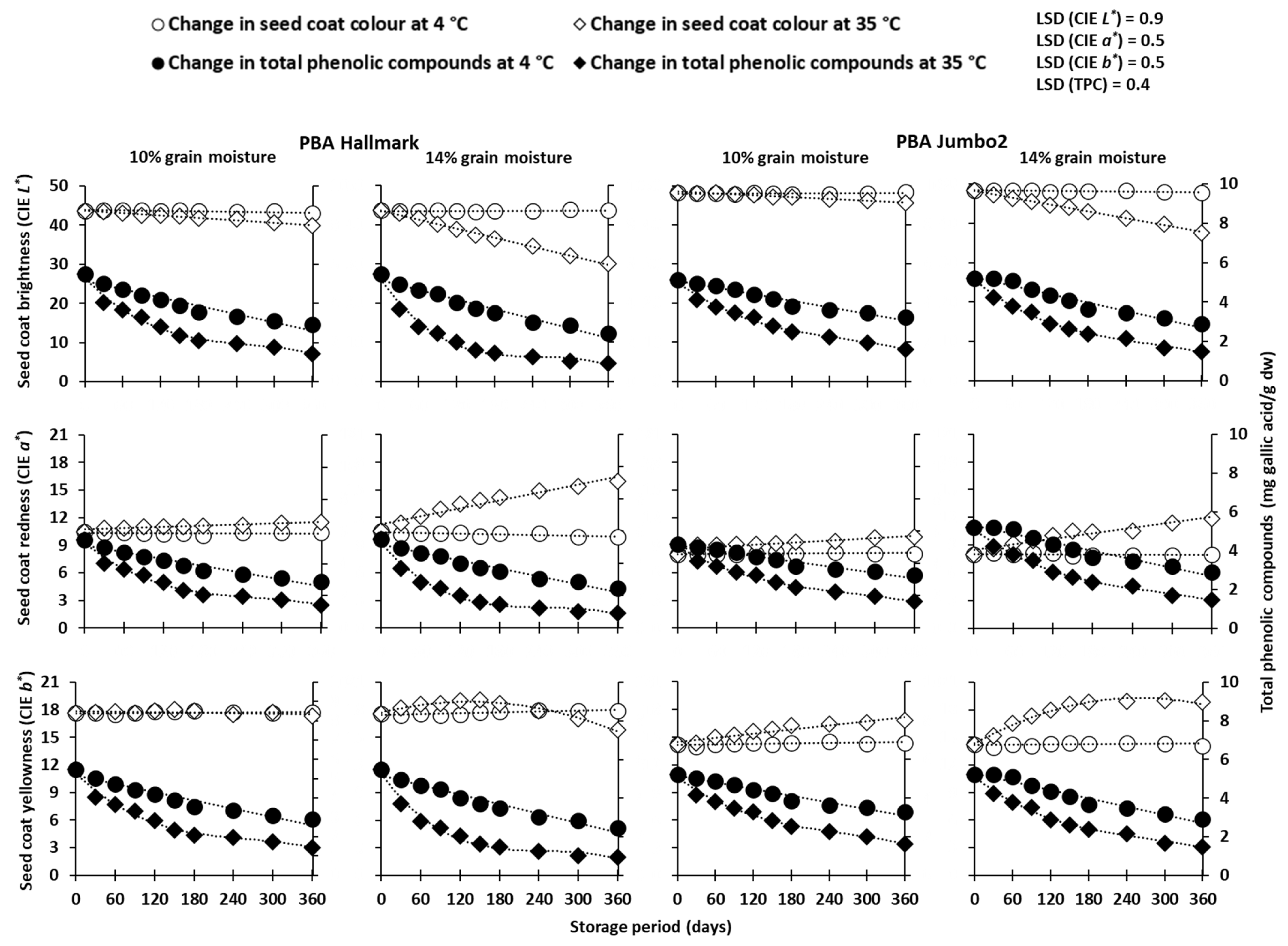
Over the period of 360 days, the seed coat colour of lentil grain for two cultivars (PBA Hallmark and PBA Jumbo2) changed from a light brown to a medium brown colour when stored at high temperature (35 °C) and 10% grain moisture content, and further darkened to dark brown when stored at 14% moisture content under the same temperature condition (Figure 1). This darkening in both cultivars was evident via a decrease in brightness (CIE L*) and an increase in redness (CIE a*) (Figure 2, Figure 3, Figure 4 and Figure 5). Change in yellowness (CIE b*) varied between cultivars. When comparing the visual observation (Figure 1) and change in seed coat colour traits (Figure 2, Figure 3, Figure 4 and Figure 5), the darkening in the seed coat was more represented by changes in brightness (CIE L*) and redness (CIE a*) rather than the yellowness (CIE b*), especially in PBA Hallmark. Changes in seed coat colour traits (brightness CIE L*, redness CIE a* and yellowness CIE b*) and phenolic compounds (total phenolic compounds, total condensed tannins, proanthocyanidins and anthocyanin) throughout the storage period were affected by grain moisture content and temperature for both cultivars (Figure 2, Figure 3, Figure 4 and Figure 5).
Figure 1. Seed coat colour of red lentil (PBA Hallmark) (a) before storage and after 360 days of storage at 35 °C and (b) 10% grain moisture content and 14% grain moisture content (c).
Figure 2. Change in total phenolic compounds (TPC) and seed coat colour traits (seed coat brightness CIE L*, redness CIE a* and yellowness CIE b*) of two red lentil cultivars (PBA Hallmark and Jumbo2) stored at two grain moisture content (10 and 14%, w/w) and two temperatures (4 and 35 °C) over a period of 360 days. The least significant differences (LSDs) at p = 0.05 are listed for the interaction of temperature, grain moisture content and cultivar over the storage period for each colour trait and TPC.
Figure 3. Change in total condensed tannins (TCT) and seed coat colour traits (seed coat brightness CIE L*, redness CIE a* and yellowness CIE b*) of two red lentil cultivars stored at two grain moisture content and two temperatures over a period of 360 days. The least significant differences (LSDs) p = 0.05 are listed for the interaction of temperature, grain moisture content and cultivar over the storage period for each colour trait and TCT.
Figure 4. Change in total proanthocyanidins (Proanth) and seed coat colour traits (seed coat brightness CIE L*, redness CIE a* and yellowness CIE b*) of two red lentil cultivars stored at two grain moisture content and two temperatures over a period of 360 days. The least significant differences (LSDs) at p = 0.05 are listed for the interaction of temperature, grain moisture content and cultivar over the storage period for each colour trait and Proanth.
Figure 5. Change in total anthocyanin (Anth) and seed coat colour traits (seed coat brightness CIE L*, redness CIE a* and yellowness CIE b*) of two red lentil cultivars stored at two grain moisture content and two temperatures over a period of 360 days. The least significant differences (LSDs) at p = 0.05 are listed for the interaction of temperature, grain moisture content and cultivar over the storage period for each colour trait and Anth.
Both cultivars exhibited a significant (p = 0.05) linear reduction in seed coat brightness (CIE L*) and linear increase in seed coat redness (CIE a*) over time when stored at 35 °C for both moisture contents (Figure 2). Change in brightness and redness were significant after 30 days of storage at 14% moisture content and 60 days at 10% moisture content when stored at 35 °C for both cultivars. At 35 °C, PBA Hallmark exhibited a reduction in seed coat brightness of 0.011 CIE L*/day at 10% grain moisture content, whereas at 14% moisture content, the rate increased to 0.038 CIE L*/day. Similarly, PBA Jumbo2 showed a reduction rate of 0.007 CIE L*/day at 10% grain moisture content and 0.030 CIE L*/day at 14% grain moisture content under the same temperature. Additionally, both cultivars displayed a similar rate of increase in seed coat redness, with approximately 0.004 CIE a*/day at 10% grain moisture content and 0.013 CIE a*/day at 14% grain moisture content. Significant (p = 0.05) increases in seed coat yellowness (CIE b*) at 35 °C were observed only for the cultivar PBA Jumbo2 (Figure 2). For PBA Jumbo2, when stored at 35 °C, yellowness linearly increased up to 150 days before reaching a level of ~16 CIE b* at 10% grain moisture content and ~19 CIE b* at 14% grain moisture content, after which change was limited throughout the remainder of the study period. No significant increase in yellowness was observed for PBA Hallmark stored at 10% moisture content across temperatures throughout the study period. A significant increase in yellowness for PBA Hallmark was observed after 30 days of storage at only 14% grain moisture content and 35 °C, where yellowness was linearly increased up to 150 days and then decreased. There were no significant changes in seed coat colour at 4 °C irrespective of grain moisture of the cultivar.
Total phenolic compounds were significantly (p = 0.05) reduced after 30 days at 35 °C and after 60 days at 4 °C regardless of grain moisture content (Figure 2). The rate of reduction in total phenolic compounds was highest at 35 °C for both cultivars. However, the rate of reduction was similar across the two moisture contents, with approximately 0.008 mg gallic acid/g dw per day for PBA Hallmark and ~0.06 mg gallic acid/g dw per day for PBA Jumbo2. The reduction in phenolic compounds over the period did not always follow a linear trend across different temperatures and grain moisture contents. In contrast, the rate of reduction in seed coat brightness and increase in redness at high temperatures (35 °C) across the two moisture contents followed a linear pattern. Initially, there was a rapid reduction in phenolic compounds up to 180 days, followed by an asymptotically slower reduction thereafter. Although there were no significant changes in seed coat colour at 4 °C across the cultivars and grain moisture contents, the total phenolic compounds reduced throughout the study period, with a significant reduction observed after 60 days of storage (Figure 2).
A significant (p = 0.05) reduction in total condensed tannins was observed after 30 days, regardless of grain moisture and temperature treatments (Figure 3). When stored at 10% grain moisture content, total condensed tannins reduced linearly until 180 days regardless of temperature, reaching a concentration of approximately 0.93 mg tannic acid/g dw, after which reduction was limited throughout the remainder of the study for both cultivars (Figure 3). At 14% grain moisture content, reduction reached a concentration of ~0.4 mg tannic acid/g dw within 180 days for PBA Jumbo2 and within 240 days for PBA Hallmark, after which reduction was limited.
The initial rapid reduction followed by an asymptotically slower reduction pattern for total condensed tannins in both cultivars exhibited a clearer pattern compared to the reduction pattern observed in total phenolic compounds (Figure 3). At a grain moisture content of 14% and a temperature of 35 °C, the final concentration was lower for PBA Jumbo2 compared with PBA Hallmark. Nevertheless, the pattern of reduction in tannins was similar in both cultivars.
A significant (p = 0.05) reduction in proanthocyanidins was observed after 30 days, regardless of grain moisture and temperature (Figure 4). Proanthocyanidins also reduced linearly until reaching uniform ~0.04 mg proanthocyanidin A2/g dw for PBA Hallmark within 180 days when stored at 10% grain moisture content and within 120 days at 14% moisture content (Figure 4). This pattern of reduction was similar to the pattern observed in total condensed tannins. Concentration was reduced linearly throughout the storage period for PBA Jumbo2 at 10% grain moisture across the temperatures, where at 14% grain moisture content, the reduction in proanthocyanidin exhibited an initially rapid then asymptotically slower reduction pattern. Proanthocyanidin content in PBA Jumbo2 reduced linearly until 180 days at a grain moisture content of 14%, after that, the reduction rate slowed (Figure 4). However, this pattern of the reduction was not as clear for PBA Jumbo2.
Anthocyanin concentration of PBA Hallmark significantly (p = 0.05) reduced after 30 days at 35 °C and after 60 days at 4 °C, regardless of moisture content (Figure 5). PBA Jumbo2 exhibited a significant reduction after 60 days, irrespective of moisture and temperature treatments. Reduction in anthocyanin concentration for both cultivars reached to uniform concentration of approximately 2 mg cyanidin-3-glucoside/100 g dw within 180 days then reduced to zero (0) at 360 days regardless of temperature and grain moisture content, except for PBA Hallmark at 14% grain moisture content. At 14% grain moisture content, PBA Hallmark reached a concentration of approximately 2 mg cyanidin-3-glucoside/100 g dw within 240 days at 4 °C and 150 days at 35 °C (Figure 5), after which reduction was slowed and limited. However, at 360 days, the concentration reached zero (0) for both temperatures.

4. Discussion

The findings of this study suggest that the biochemical relationship between reductions in phenolic compounds over time and seed coat darkening of lentil during storage is not linear; rather, the relationship is complex. The association between the reduction in phenolic compounds and seed coat darkening when lentil grains were stored at 35 °C across two grain moisture contents suggests that seed coat darkening in lentil during storage may be associated with the oxidative breakdown of phenolic compounds. However, when assessing lentil grains stored at 4 °C, the association between the reduction in phenolic compounds and seed coat colour was not observed, which suggests that the association between these variables only occur at high temperature, such as 35 °C. This further implies that the reduction in phenolic compounds assessed in this study is not the sole cause of seed coat darkening in red lentil during extended storage, as reported by other researchers [26,27].
Seed coat darkening of lentil stored at high temperatures is potentially the result of reductions in individual phenolic compounds present in small concentrations, other than the broad groups of compounds or individual compounds tested in this study. The reduction trend in phenolic compounds between temperature treatments at both moisture levels, reflecting differences in seed coat colour kinetics, may have been masked by a reduction in a group of phenolic compounds that occurred irrespective of temperature and grain moisture treatments. Reduction in individual phenolic compounds rather than the group of compounds was also associated with the seed coat darkening of stored grain as studied in green lentil [6,17], pinto bean [28], cranberry bean [29] and mung bean [30]. In green lentil, the breakdown in either total phenolic compounds or tannins was individually associated with seed coat darkening during long-term storage [6,17]. However, this was measured at the beginning and end of the study rather than throughout the storage period, as conducted in this study. In addition, the breakdown of proanthocyanidins by enzymes such as polyphenol oxidases and peroxidases has been observed to be associated with the darker seed coat of pinto bean [28,29]. In mung bean, the breakdown of anthocyanin to quinones and their condensation have shown a strong association with darker seed coats [30]. The darkening of the seed coat observed in this study may also have been associated with crosslinking between these individual phenolic compounds and their binding with other compounds, as observed in green lentil [6]. In green lentil, the cross-linking of condensed tannins with other phenolic compounds, as well as the binding of tannins with proteins and polysaccharides in the cell wall, has also been proposed as the cause of seed coat darkening. Characterising and quantifying the individual phenolic compounds in lentil stored over an extended period will be beneficial in identifying the actual compound or biochemical process, such as cross-linking between the phenolic compounds responsible for seed coat darkening.
The change in seed coat colour traits at high temperatures (except for CIE b*) were approximately linear; however, the reductions in phenolic compounds, across all phenolics compounds measured, were approximately linear only up to 150–240 days then reached a minimum concentration (asymptotically slow) afterwards. The reduction in phenolic compounds tested in this study may be driven by two different biochemical decay reactions. For example, an initial rapid reduction in low-molecular-weight compounds followed by a slow reduction in high-molecular-weight compounds, similar to the litter decomposition of forest soil [31]. In litter decomposition reaction in forest soil, the rapid breakdown of small, lightweight organic matter, followed by a slower breakdown of larger, more complex compounds like lignin, was shown [31]. Further investigation is needed to identify the characteristics of the various phenolic compounds and the biochemical reactivities throughout the storage period. This could identify the influence of the rapid initial reduction followed by asymptotic slow chemical processes on the seed coat darkening. Furthermore, it could identify whether high-molecular-weight compounds, present in low concentrations, are responsible for darkening the seed coat.
It may be possible that the darkening at high temperatures could be related to non-enzymatic browning or the interlinking with the reduction in phenolic compounds as observed in snap beans [27] and in dry beans [26]. In snap beans, the darkening of the beans was associated with a non-enzymatic Maillard reaction, producing brown-coloured compounds at high temperatures [27]. Moreover, in dry bean, an interlink between the Maillard reaction and a reduction in phenolic compounds was a proposed explanation for darkening at high temperatures [26].
The seed coat darkening of red lentil observed in this study may also be related to the reduction in other bioactive compounds (beyond those examined in this study), as shown in the carioca bean [32]. In carioca bean, oxidative degradation of specific bio compounds such as saponins has been associated with darker seed coats. Further research is required to identify the compound groups or individual compounds related to seed coat darkening in red lentil throughout the storage time.
Throughout the study period, a reduction pattern in phenolic compounds was observed to be different for the cultivars tested. Therefore, over time, phenolic compounds reduced at different rates between the cultivars. The varietal difference observed in this study suggests that there is a need for further investigation into the change in phenolic compounds during storage across a wider range of cultivars with different seed coat colour characteristics. This will assist in better understanding the contribution of biochemistry to the change in seed coat colour across the cultivars.

5. Conclusions

This study identified that the total change observed in phenolic compounds may not necessarily explain how the seed coat darkens in lentil during storage. Further research in identifying individual phenolic, non-phenolic compounds and how they may interact within the seed and seed coat across a wide range of cultivars (with different seed coat colour characteristics) over an extended storage period, in comparison with freshly harvested grain will assist in understanding the biochemistry directly associated with seed coat darkening in lentil stored over time.

6. Future Research Direction

This research has provided the foundation for future research to identify biochemical compounds (either phenolic or non-phenolic) that cause seed coat darkening in red lentil. Identification of the cause-and-effect relationship between the biochemistry and seed coat darkening will assist in cultivar improvements to ensure that seed coat colour is stable over time via the modification biochemical process responsible for darkening the seed coat in red lentil. Overall, this work supports the potential improvement and development of cultivars which resist change in colour with age.

Author Contributions

B.B.: Investigation, Data Collection, Data Analysis, Statistical Analysis, writing original draft and subsequent editing; J.G.N.: Supervision, Data Visualisation, Review and Editing; M.L.: Chemical Analysis, Raw Data Collection, Review and Editing; H.A.R.S.: Chemical analysis, Review and Editing; A.J.W. and G.J.F.: Supervision, Data Visualisation, Review and Editing; and C.K.W.: Conceptualization, Supervision, Review and Editing. All authors have read and agreed to the published version of the manuscript.

Funding

This research was funded by the Victorian Grains Innovation Partnership as a part of the “Capturing the Value of Grains On-Farm” project in a collaboration between Agriculture Victoria and the Australian Grains Research Development Corporation (GRDC), grant ID GRDC 8049295.

Data Availability Statement

The data are available by email upon reasonable request.

Acknowledgments

This work is part of the PhD study of the senior author, for which the authors would like to acknowledge the University of Melbourne for supporting this PhD program. The authors also wish to express their gratitude to Kate Howell for her helpful guidance. The chemical analysis for this study was conducted at the Food Chemistry Lab of the University of Melbourne. The authors would like to acknowledge the support from this lab and express their gratitude to research assistant Ziyao Liu for his assistance in performing chemical analysis. Furthermore, the authors are thankful to the Crop Quality and Crop Agronomy technical teams at the Grains Innovation Park for providing the necessary technological and technical support.

Conflicts of Interest

The authors declare no conflicts of interest.

References

  1. Roy, S.; Islam, M.; Sarker, A.; Ismail, M.; Rafii, M.; Mondal, M.; Malek, M. Morphological characterization of lentil accessions: Qualitative characters. Bangladesh J. Bot. 2012, 41, 187–190. [Google Scholar] [CrossRef]
  2. Venora, G.; Grillo, O.; Shahin, M.A.; Symons, S.J. Identification of Sicilian landraces and Canadian cultivars of lentil using an image analysis system. Food Res. Int. 2007, 40, 161–166. [Google Scholar] [CrossRef]
  3. GTA. Australian Pulse Standards. Available online: https://www.graintrade.org.au/commodity_standards (accessed on 1 February 2024).
  4. CGC. Official Grain Grading Guide. Available online: https://www.grainscanada.gc.ca/en/grain-quality/official-grain-grading-guide/ (accessed on 1 February 2024).
  5. McDonald, L.; Panozzo, J. A review of the opportunities for spectral-based technologies in post-harvest testing of pulse grains. Legume Sci. 2022, 5, e175. [Google Scholar] [CrossRef]
  6. Mirali, M.; Purves, R.W.; Vandenberg, A. Phenolic profiling of green lentil (Lens culinaris Medic.) seeds subjected to long-term storage. Eur. Food Res. Technol. 2016, 242, 2161–2170. [Google Scholar] [CrossRef]
  7. Bhattarai, B.; Walker, C.K.; Wallace, A.J.; Nuttall, J.G.; Hepworth, G.; Panozzo, J.F.; Partington, D.L.; Fitzgerald, G.J. Storage Temperature and grain moisture effects on market and end use properties of red lentil. Agronomy 2023, 13, 2261. [Google Scholar] [CrossRef]
  8. Nasar-Abbas, S.M.; Siddique, K.H.M.; Plummer, J.A.; White, P.F.; Harris, D.; Dods, K.; D’Antuono, M. Faba bean (Vicia faba L.) seeds darken rapidly and phenolic content falls when stored at higher temperature, moisture and light intensity. LWT-Food Sci. Technol. 2009, 42, 1703–1711. [Google Scholar] [CrossRef]
  9. Aguilera, Y.; Dueñas, M.; Estrella, I.; Hernández, T.; Benitez, V.; Esteban, R.M.; Martín-Cabrejas, M.A. Evaluation of phenolic profile and antioxidant properties of pardina lentil as affected by industrial dehydration. J. Agric. Food Chem. 2010, 58, 10101–10108. [Google Scholar] [CrossRef] [PubMed]
  10. Bartolomé, B.; Estrella, I.; Hernández, T. Changes in phenolic compounds in lentils (Lens culinaris) during germination and fermentation. Z. Leb.-Forsch. A 1997, 205, 290–294. [Google Scholar] [CrossRef]
  11. Duenas, M.; Baoshan, S.; Hernandez, T.; Estrella, I.; Spranger, M.I. Proanthocyanidin composition in the seed coat of lentils (Lens culinaris L.). J. Agric. Food Chem. 2003, 51, 7999–8004. [Google Scholar] [CrossRef]
  12. Sant’Anna, V.; Gurak, P.D.; Ferreira Marczak, L.D.; Tessaro, I.C. Tracking bioactive compounds with colour changes in foods—A review. Dye. Pigment. 2013, 98, 601–608. [Google Scholar] [CrossRef]
  13. Lee, J. Degradation kinetics of grape skin and seed proanthocyanidins in a model wine system. Food Chem. 2010, 123, 51–56. [Google Scholar] [CrossRef]
  14. Walker, J.R.L.; Ferrar, P.H. Diphenol Oxidases, enzyme-catalysed browning and plant disease resistance. Biotechnol. Genet. Eng. Rev. 1998, 15, 457–498. [Google Scholar] [CrossRef] [PubMed]
  15. Amarowicz, R.; Carle, R.; Dongowski, G.; Durazzo, A.; Galensa, R.; Kammerer, D.; Maiani, G.; Piskula, M.K. Influence of postharvest processing and storage on the content of phenolic acids and flavonoids in foods. Mol. Nutr. Food Res. 2009, 53, S151–S183. [Google Scholar] [CrossRef]
  16. Ziegler, V.; Paraginski, R.T.; Ferreira, C.D. Grain storage systems and effects of moisture, temperature and time on grain quality—A review. J. Stored Prod. Res. 2021, 91, 101770. [Google Scholar] [CrossRef]
  17. Nozzolillo, C.; Bezada, M.D. Browning of lentil seeds, concomitant loss of viability, and the possible role of soluble tannins in both phenomena. Can. J. Plant Sci. 1984, 64, 815–824. [Google Scholar] [CrossRef]
  18. Caldas, G.V.; Blair, M.W. Inheritance of seed condensed tannins and their relationship with seed-coat color and pattern genes in common bean (Phaseolus vulgaris L.). Theor. Appl. Genet. 2009, 119, 131–142. [Google Scholar] [CrossRef]
  19. Lindemann, I.d.S.; Lang, G.H.; Ferreira, C.D.; Colussi, R.; Elias, M.C.; Vanier, N.L. Cowpea storage under nitrogen-modified atmosphere at different temperatures: Impact on grain structure, cooking quality, in vitro starch digestibility, and phenolic extractability. J. Food Process. Preserv. 2020, 44, e14368. [Google Scholar] [CrossRef]
  20. Beninger, C.W.; Gu, L.; Prior, R.L.; Junk, D.C.; Vandenberg, A.; Bett, K.E. Changes in polyphenols of the seed coat during the after-darkening process in pinto beans (Phaseolus vulgaris L.). J. Agric. Food Chem. 2005, 53, 7777–7782. [Google Scholar] [CrossRef] [PubMed]
  21. Ainsworth, E.A.; Gillespie, K.M. Estimation of total phenolic content and other oxidation substrates in plant tissues using Folin-Ciocalteu reagent. Nat. Protoc. 2007, 2, 875–877. [Google Scholar] [CrossRef]
  22. FAO/IAEA. Quantification of Tannins in Tree Foliage. A Laboratory Manual for the FAO/IAEA Co-Ordinated Research Project on Use of Nuclear and Related Techniques to Develop Simple Tannin Assays for Predicting and Improving the Safety and Efficiency of Feeding Ruminants on Tanniniferous Tree Foliage. 2000. FAO/IAEA Working Document IAEA, VIENNA. 2000. Available online: https://www.iaea.org/sites/default/files/21/06/nafa-aph-manual-pubd31022manual-tannin.pdf (accessed on 15 August 2023).
  23. Sintara, M.; Li, L.; Cunningham, D.G.; Prior, R.L.; Wu, X.; Chang, T. Single-laboratory validation for determination of total soluble proanthocyanidins in cranberry using 4-dimethylaminocinnamaldehyde. J. AOAC Int. 2019, 101, 805–809. [Google Scholar] [CrossRef]
  24. Zhao, X.; Corrales, M.; Zhang, C.; Hu, X.; Ma, Y.; Tauscher, B. Composition and thermal stability of anthocyanins from chinese purple corn (Zea mays L.). J. Agric. Food Chem. 2008, 56, 10761–10766. [Google Scholar] [CrossRef] [PubMed]
  25. Payne, R.; Murray, D.; Harding, S.; Baird, D.; Soutar, D. GenStat for Windows Introduction; VSN International: Hemel Hempstead, UK, 2009; Volume 204. [Google Scholar]
  26. Edmister, J.A.; Breene, W.M.; Serugendo, A. Influence of temperature, water activity and time on cookability and color of a stored Rwandan dry bean (Phaseolus vulgaris) mixture. J. Stored Prod. Res. 1990, 26, 121–126. [Google Scholar] [CrossRef]
  27. Taylor, A.; Min, T.; Paine, D. Maillard reactions cause browning in bean seed coats during ageing: Inhibition by aminoguanidine. In Seed Biology: Advances and Applications; Black, M., Bradford, K.J., Vazquez-Ramos, J., Eds.; CABI: Wallingford, UK, 2000; pp. 189–195. [Google Scholar]
  28. Duwadi, K.; Austin, R.S.; Mainali, H.R.; Bett, K.; Marsolais, F.; Dhaubhadel, S. Slow darkening of pinto bean seed coat is associated with significant metabolite and transcript differences related to proanthocyanidin biosynthesis. BMC Genom. 2018, 19, 260. [Google Scholar] [CrossRef] [PubMed]
  29. Freixas Coutin, J.A.; Munholland, S.; Silva, A.; Subedi, S.; Lukens, L.; Crosby, W.L.; Pauls, K.P.; Bozzo, G.G. Proanthocyanidin accumulation and transcriptional responses in the seed coat of cranberry beans (Phaseolus vulgaris L.) with different susceptibility to postharvest darkening. BMC Plant Biol. 2017, 17, 89. [Google Scholar] [CrossRef] [PubMed]
  30. Huang, P.-H.; Cheng, Y.-T.; Chan, Y.-J.; Lu, W.-C.; Li, P.-H. Effect of heat treatment on nutritional and chromatic properties of mung bean (Vigna radiata L.). Agronomy 2022, 12, 1365. [Google Scholar] [CrossRef]
  31. Prescott, C.E. Litter decomposition: What controls it and how can we alter it to sequester more carbon in forest soils? Biogeochemistry 2010, 101, 133–149. [Google Scholar] [CrossRef]
  32. Bento, J.A.C.; Ribeiro, P.R.V.; Bassinello, P.Z.; Brito, E.S.d.; Zocollo, G.J.; Caliari, M.; Soares Júnior, M.S. Phenolic and saponin profile in grains of carioca beans during storage. LWT 2021, 139, 110599. [Google Scholar] [CrossRef]
Disclaimer/Publisher’s Note: The statements, opinions and data contained in all publications are solely those of the individual author(s) and contributor(s) and not of MDPI and/or the editor(s). MDPI and/or the editor(s) disclaim responsibility for any injury to people or property resulting from any ideas, methods, instructions or products referred to in the content.

Article Metrics

Citations

Article Access Statistics

Multiple requests from the same IP address are counted as one view.