A Comparative Study on Rapeseed Sprayed with Film Antitranspirant Under Two Contrasting Rates of Soil Water Depletion
Abstract
1. Introduction
2. Materials and Methods
2.1. Experimental Sites and Agronomic Management
2.2. Experimental Design
2.3. Soil Water Depletion Imposition
2.4. Film Antitranspirant Application
2.5. Measurements
2.6. Statistical Analysis
3. Results
3.1. Environmental Conditions
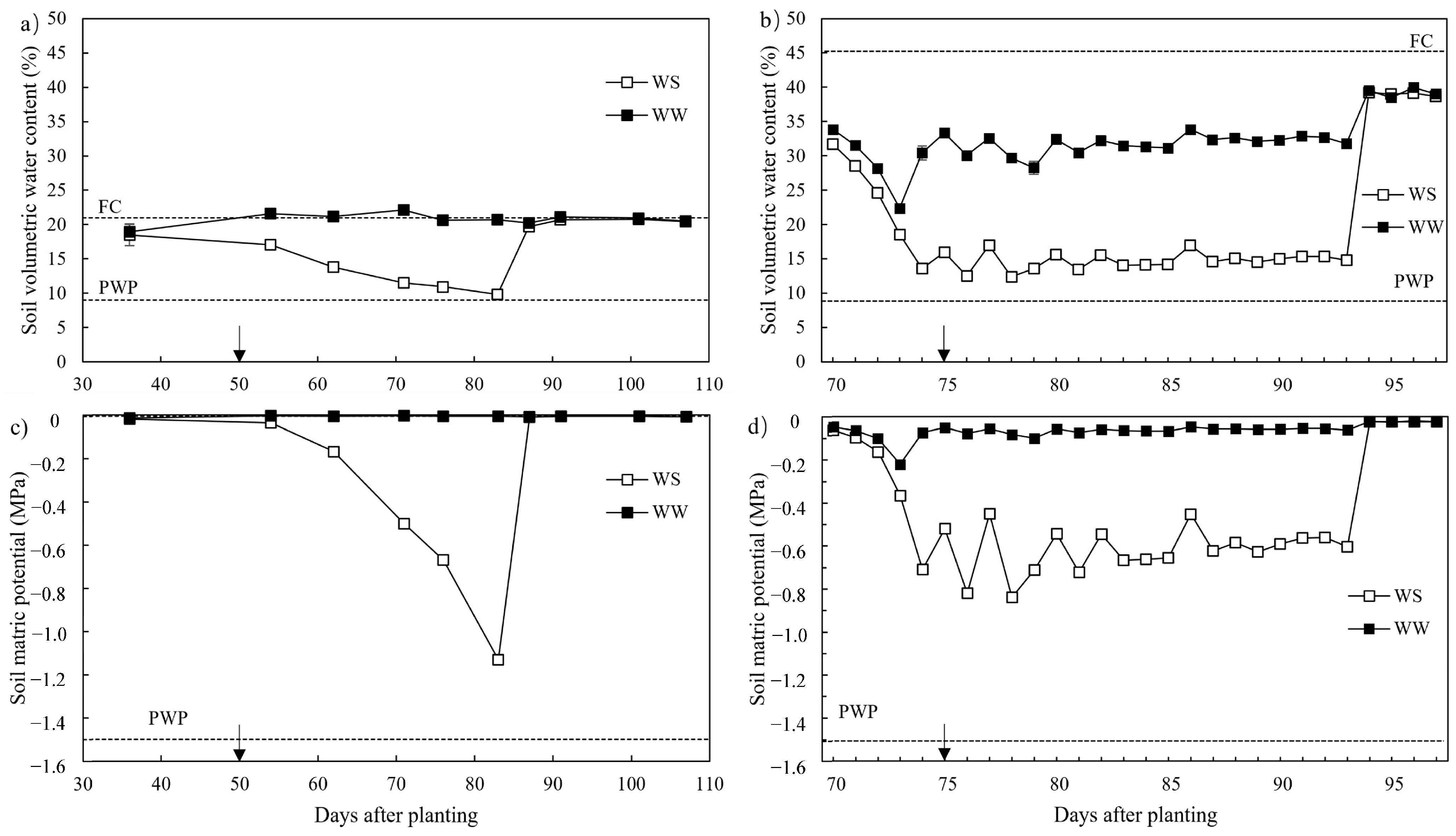
3.2. Soil Water Content
3.3. Leaf Water Status and Gas Exchange
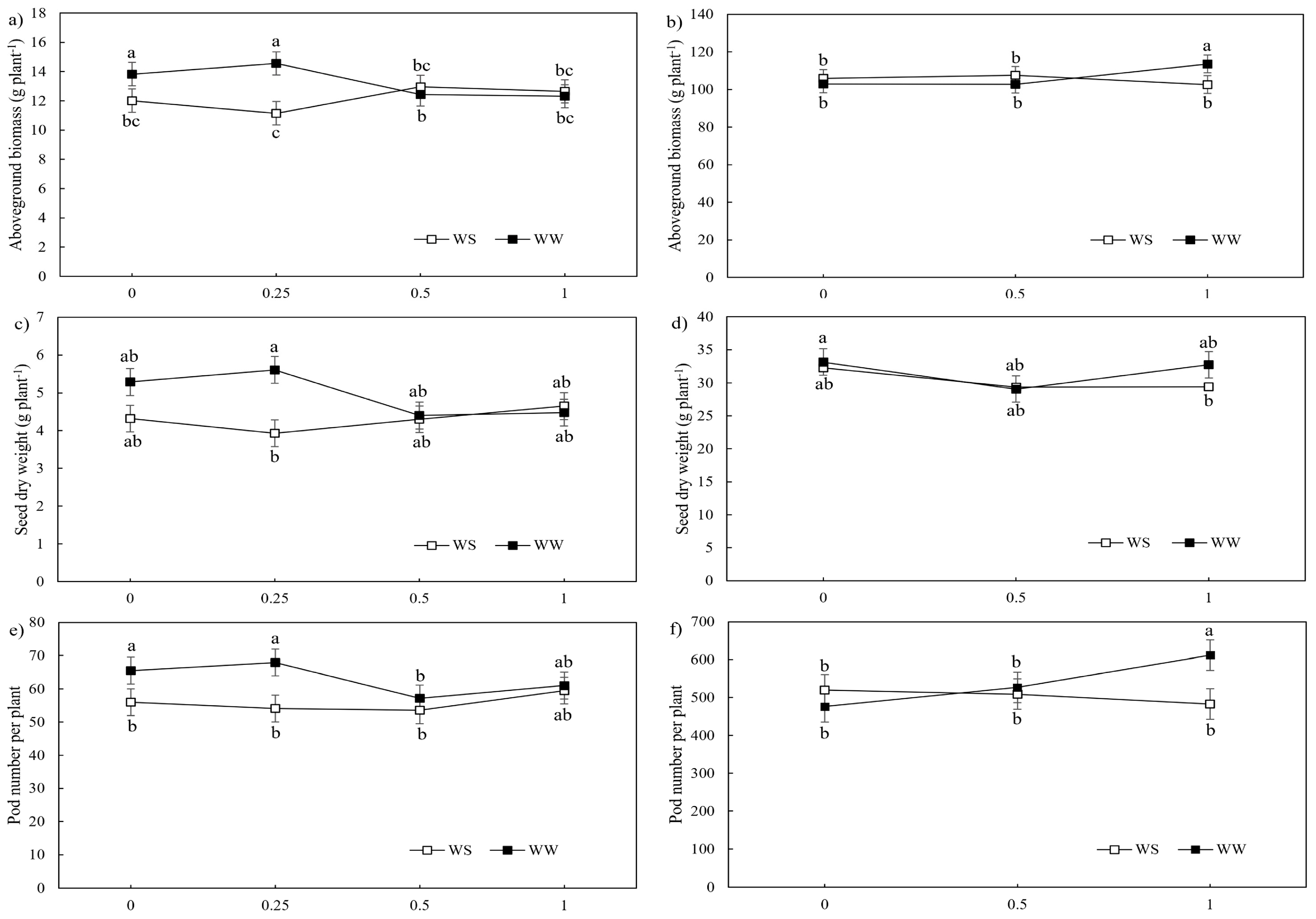
3.4. Yield and Yield Components
4. Discussion
5. Conclusions
Supplementary Materials
Author Contributions
Funding
Data Availability Statement
Acknowledgments
Conflicts of Interest
References
- Wu, W.; Ma, B.L.; Whalen, J.K. Enhancing rapeseed tolerance to heat and drought stresses in a changing climate: Perspectives for stress adaptation from root system architecture. Adv. Agron. 2018, 151, 87–157. [Google Scholar] [CrossRef]
- Pachauri, R.K.; Allen, M.R.; Barros, V.R.; Broome, J.; Cramer, W.; Christ, R.; Church, J.A.; Clarke, L.; Dahe, Q.; Dasgupta, P.; et al. Climate Change 2014: Synthesis Report. Contribution of Working Groups I, II and III to the Fifth Assessment Report of the Intergovernmental Panel on Climate Change; IPCC: Geneva, Switzerland, 2014. [Google Scholar]
- Kirkegaard, J.A.; Lilley, J.M.; Brill, R.D.; Ware, A.H.; Walela, C.K. The critical period for yield and quality determination in canola (Brassica napus L.). Field Crops Res. 2018, 222, 180–188. [Google Scholar] [CrossRef]
- Weymann, W.; Böttcher, U.; Sieling, K.; Kage, H. Effects of weather conditions during different growth phases on yield formation of winter oilseed rape. Field Crops Res. 2015, 173, 41–48. [Google Scholar] [CrossRef]
- Kettlewell, P.S.; Holloway, J.R. Connecting developmental and process physiology to improve yield of droughted wheat with a film antitanspirant. Asp. Appl. Biol. 2010, 105, 23–24. [Google Scholar]
- Das, V.S.R.; Raghavendra, A.S. Antitranspirants for improvement of water use efficiency of crops. Outlook Agric. 1979, 10, 92–98. [Google Scholar] [CrossRef]
- Abdullah, A.S.; Aziz, M.M.; Siddique, K.H.M.; Flower, K.C. Film antitranspirants increase yield in drought stressed wheat plants by maintaining high grain number. Agric. Water Manag. 2015, 159, 11–18. [Google Scholar] [CrossRef]
- AbdAllah, A.M.; Mashaheet, A.M.; Zobel, R.; Burkey, K.O. Physiological basis for controlling water consumption by two snap beans genotypes using different antitranspirants. Agric. Water Manag. 2019, 214, 17–27. [Google Scholar] [CrossRef]
- Aldasoro, J.; Larrainzar, E.; Arrese-Igor, C. Application of anti-transpirants temporarily alleviates the inhibition of symbiotic nitrogen fixation in drought-stressed pea plants. Agric. Water Manag. 2019, 213, 193–199. [Google Scholar] [CrossRef]
- Di Vaio, C.; Villano, C.; Lisanti, M.T.; Marallo, N.; Cirillo, A.; Di Lorenzo, R.; Pisciotta, A. Application of anti-transpirant to control sugar accumulation in grape berries and alcohol degree in wines obtained from thinned and unthinned Vines of cv. Falanghina (Vitis vinifera L.). Agron. J. 2020, 10, 345. [Google Scholar] [CrossRef]
- Faralli, M.; Grove, I.G.; Hare, M.C.; Boyle, R.D.; Williams, K.S.; Corke, F.M.K.; Kettlewell, P.S. Canopy application of film antitranspirants over the reproductive phase enhances yield and yield-related physiological traits of water-stressed oilseed rape (Brassica napus). Crop Pasture Sci. 2016, 67, 751–765. [Google Scholar] [CrossRef]
- Faralli, M.; Grove, I.G.; Hare, M.C.; Alcalde-Barrios, A.; Williams, K.S.; Corke, F.M.K.; Kettlewell, P.S. Modulation of Brassica napus source–sink physiology through film antitranspirant induced drought tolerance amelioration that is dependent on the stress magnitude. J. Agron. Crop Sci. 2017, 203, 360–372. [Google Scholar] [CrossRef]
- Faralli, M.; Grove, I.G.; Hare, M.C.; Kettlewell, P.S. In-field film antitranspirant application shows potential yield protection from flowering-stage drought periods in winter canola (Brassica napus). Crop Pasture Sci. 2017, 68, 243–253. [Google Scholar] [CrossRef]
- Xiang, J.; Vickers, L.H.; Hare, M.C.; Kettlewell, P.S. Evaluation of the concentration-response relationship between film antitranspirant and yield of rapeseed (Brassica napus L.) under drought. Agric. Water Manag. 2022, 270, 107732. [Google Scholar] [CrossRef]
- Meier, U. BBCH-Monograph: Growth Stages of Mono- and Dicotyledonous Plants; Federal Biological Research Centre for Agriculture and Forestry: Bonn, Germany, 2001. [Google Scholar]
- Grove, I.G.; Haydock, P.P.J.; Kakaire, S. The number of generations of Heterodera schachtii completed on oilseed rape (Brassica napus L.) during the UK growing season. J. Nematol. 2015, 17, 557–565. [Google Scholar] [CrossRef]
- Saeed, H. Investigation of Partial Rootzone Drying in Potatoes (Solanum tuberosum L.). Ph.D. Thesis, Harper Adams University, Newport, UK, 2008. [Google Scholar]
- Barrs, H.D.; Weatherley, P.E. A re-examination of the relative turgidity technique for estimating water deficits in leaves. Aust. J. Biol. Sci. 1962, 413–428. [Google Scholar] [CrossRef]
- Johnston, A.M.; Tanaka, D.L.; Miller, P.R.; Brandt, S.A.; Nielsen, D.C.; Lafond, G.P.; Riveland, N.R. Oilseed crops for semiarid cropping systems in the northern Great Plains. Agron. J. 2002, 94, 231–240. [Google Scholar] [CrossRef]
- Tesfamariam, E.H.; Annandale, J.G.; Steyn, J.M. Water stress effects on winter canola growth and yield. Agron. J. 2010, 102, 658–666. [Google Scholar] [CrossRef]
- Poorter, H.; Bühler, J.; van Dusschoten, D.; Climent, J.; Postma, J.A. Pot size matters: A meta-analysis of the effects of rooting volume on plant growth. Funct. Plant Biol. 2012, 39, 839–850. [Google Scholar] [CrossRef] [PubMed]
- Mphande, W.; Farrell, A.D.; Grove, I.G.; Vickers, L.H.; Kettlewell, P.S. Yield improvement by antitranspirant application in droughted wheat is associated with reduced endogenous abscisic acid concentration. Agric. Water Manag. 2021, 244, 106528. [Google Scholar] [CrossRef]
- Flexas, J.; Medrano, H. Drought-inhibition of photosynthesis in C3 plants: Stomatal and non-stomatal limitations revisited. Ann. Bot. 2002, 89, 183–189. [Google Scholar] [CrossRef]
- Diepenbrock, W. Yield analysis of winter oilseed rape (Brassica napus L.): A review. Field Crops Res. 2000, 67, 35–49. [Google Scholar] [CrossRef]
- Turc, O.; Tardieu, F. Drought affects abortion of reproductive organs by exacerbating developmentally driven processes via expansive growth and hydraulics. J. Exp. Bot. 2018, 69, 3245–3254. [Google Scholar] [CrossRef] [PubMed]
), maximum (
) and minimum (
) relative humidity (%) inside the polytunnel/glasshouse during the growing season in Expt 1_SD (a) and Expt 2_FD (b), where two vertical lines represent the days soil water depletion started and stopped, respectively, and arrows represent the day of spraying film antitranspirant; (c) daily solar radiation (MJ m−2,
) recorded by the meteorological station based at Harper Adams University, where the duration between two vertical solid and dashed lines represents the period of the growing season in Exp1_SD and Expt 2_FD, respectively.
), maximum (
) and minimum (
) relative humidity (%) inside the polytunnel/glasshouse during the growing season in Expt 1_SD (a) and Expt 2_FD (b), where two vertical lines represent the days soil water depletion started and stopped, respectively, and arrows represent the day of spraying film antitranspirant; (c) daily solar radiation (MJ m−2,
) recorded by the meteorological station based at Harper Adams University, where the duration between two vertical solid and dashed lines represents the period of the growing season in Exp1_SD and Expt 2_FD, respectively.





| Events | Expt 1_SD 1 | Expt 2_FD 2 | ||||||
|---|---|---|---|---|---|---|---|---|
| GS 3 | Date | DAP 4 | GDD 5 | GS | Date | DAP | GDD | |
| Sowing | 25 June 2020 | 26 August 2020 | ||||||
| Water depletion started | GS63 | 10 August 2020 | 46 | 667 | GS61 | 4 November 2020 | 70 | 780 |
| AT application | GS63 | 14 August 2020 | 50 | 752 | GS61 | 9 November 2020 | 75 | 829 |
| Water depletion stopped | GS69/71 | 17 September 2020 | 84 | 1189 | GS69 | 28 November 2020 | 94 | 1037 |
| Harvest | GS89 | 5 December 2020 | 163 | 1608 | GS89 | 17 February 2021 | 175 | 1763 |
| Expts | No. | Treatments | Concentration | Dose Rate | Sprayer Tank | |
|---|---|---|---|---|---|---|
| of AT (%) | of AT (mL/m2) | Volume of AT (mL) | Volume of Water (mL) | |||
| Expt 1_ SD 1 | 1 | WW 2 0 AT 3 | - | - | - | 2000.0 |
| 2 | WS 4 0 AT | - | - | - | 2000.0 | |
| 3 | WW 0.25 AT | 0.25 | 0.05 | 5.0 | 1995.0 | |
| 4 | WS 0.25 AT | 0.25 | 0.05 | 5.0 | 1995.0 | |
| 5 | WW 0.5 AT | 0.50 | 0.10 | 10.0 | 1990.0 | |
| 6 | WS 0.5 AT | 0.50 | 0.10 | 10.0 | 1990.0 | |
| 7 | WW 1 AT | 1.00 | 0.20 | 20.0 | 1980.0 | |
| 8 | WS 1 AT | 1.00 | 0.20 | 20.0 | 1980.0 | |
| Expt 2_ FD 5 | 1 | WW 0 AT | - | - | - | 100.0 |
| 2 | WS 0 AT | - | - | - | 100.0 | |
| 3 | WW 0.5 AT | 0.50 | 0.10 | 0.5 | 99.5 | |
| 4 | WS 0.5 AT | 0.50 | 0.10 | 0.5 | 99.5 | |
| 5 | WW 1 AT | 1.00 | 0.20 | 1.0 | 99.0 | |
| 6 | WS 1 AT | 1.00 | 0.20 | 1.0 | 99.0 | |
| Factors | Expt 1_SD | Expt 2_FD | ||
|---|---|---|---|---|
| d. f. | RWC | d. f. | RWC | |
| Irrigations (IR) | 1 | <0.001 | 1 | <0.001 |
| Antitranspirant (AT) | 3 | 0.107 | 2 | 0.930 |
| Linear | 1 | 0.903 | 1 | 0.922 |
| Quadratic | 1 | 0.952 | - | - |
| Deviations | 1 | 0.014 | 1 | 0.715 |
| IR × AT | 3 | 0.008 | 2 | 0.872 |
| Linear | 1 | 0.008 | 1 | 0.602 |
| Quadratic | 1 | 0.611 | - | - |
| Deviations | 1 | 0.029 | 1 | 0.981 |
| Experiments | Factors | d. f. | p Values | |||||
|---|---|---|---|---|---|---|---|---|
| AGB | SDW | HI | PP | SP | TSW | |||
| Expt 1_SD | Irrigation (IR) | 1 | 0.049 | 0.011 | 0.025 | 0.016 | 0.099 | 0.160 |
| Antitranspirant (AT) | 3 | 0.965 | 0.558 | 0.200 | 0.429 | 0.499 | 0.780 | |
| Linear | 1 | 0.611 | 0.442 | 0.742 | 0.776 | 0.285 | 0.801 | |
| Quadratic | 1 | 0.998 | 0.398 | 0.202 | 0.247 | 0.428 | 0.319 | |
| Deviations | 1 | 0.932 | 0.385 | 0.088 | 0.249 | 0.443 | 0.926 | |
| IR × AT | 3 | 0.049 | 0.047 | 0.367 | 0.410 | 0.252 | 0.528 | |
| Linear | 1 | 0.050 | 0.030 | 0.078 | 0.180 | 0.783 | 0.160 | |
| Quadratic | 1 | 0.920 | 0.787 | 0.967 | 0.899 | 0.471 | 0.863 | |
| Deviations | 1 | 0.042 | 0.069 | 0.938 | 0.305 | 0.063 | 0.666 | |
| Expt 2_FD | Irrigation (IR) | 1 | 0.768 | 0.429 | 0.502 | 0.34 | 0.261 | 0.103 |
| Antitranspirant (AT) | 2 | 0.709 | 0.229 | 0.148 | 0.49 | 0.166 | 0.762 | |
| Linear | 1 | 0.430 | 0.416 | 0.300 | 0.24 | 0.428 | 0.791 | |
| Deviations | 1 | 0.809 | 0.0.13 | 0.096 | 0.97 | 0.085 | 0.494 | |
| IR × AT | 2 | 0.196 | 0.651 | 0.944 | 0.10 | 0.769 | 0.327 | |
| Linear | 1 | 0.147 | 0.542 | 0.750 | 0.04 | 0.949 | 0.225 | |
| Deviations | 1 | 0.279 | 0.489 | 0.913 | 0.72 | 0.473 | 0.382 | |
Disclaimer/Publisher’s Note: The statements, opinions and data contained in all publications are solely those of the individual author(s) and contributor(s) and not of MDPI and/or the editor(s). MDPI and/or the editor(s) disclaim responsibility for any injury to people or property resulting from any ideas, methods, instructions or products referred to in the content. |
© 2024 by the authors. Licensee MDPI, Basel, Switzerland. This article is an open access article distributed under the terms and conditions of the Creative Commons Attribution (CC BY) license (https://creativecommons.org/licenses/by/4.0/).
Share and Cite
Xiang, J.; Hare, M.C.; Vickers, L.H.; Kettlewell, P.S. A Comparative Study on Rapeseed Sprayed with Film Antitranspirant Under Two Contrasting Rates of Soil Water Depletion. Agronomy 2024, 14, 2944. https://doi.org/10.3390/agronomy14122944
Xiang J, Hare MC, Vickers LH, Kettlewell PS. A Comparative Study on Rapeseed Sprayed with Film Antitranspirant Under Two Contrasting Rates of Soil Water Depletion. Agronomy. 2024; 14(12):2944. https://doi.org/10.3390/agronomy14122944
Chicago/Turabian StyleXiang, Jie, Martin C. Hare, Laura H. Vickers, and Peter S. Kettlewell. 2024. "A Comparative Study on Rapeseed Sprayed with Film Antitranspirant Under Two Contrasting Rates of Soil Water Depletion" Agronomy 14, no. 12: 2944. https://doi.org/10.3390/agronomy14122944
APA StyleXiang, J., Hare, M. C., Vickers, L. H., & Kettlewell, P. S. (2024). A Comparative Study on Rapeseed Sprayed with Film Antitranspirant Under Two Contrasting Rates of Soil Water Depletion. Agronomy, 14(12), 2944. https://doi.org/10.3390/agronomy14122944

