Effects of Cd-Treated Pepper on Gut Microbiota in Herbivore Cutworm Spodoptera litura
Abstract
1. Introduction
2. Materials and Methods
2.1. Plant
2.2. Insect
2.3. Experimental Design
2.4. Impacts of Cd-Contaminated Pepper on the Survival Rate of S. litura
2.5. Impacts of Cd-Contaminated Pepper on Larval Weight and Nutritional Indices of S. litura
2.6. DNA Extraction, Sequencing, and Bioinformatics Analysis
2.7. Statistical Analysis
3. Results
3.1. Impacts of Cd-Treated Pepper Leaves on Survival, Growth, and Food Utilization of Larvae
3.2. Impacts of Cd-Treated Pepper Leaves on the Microbial Diversity Index of S. litura Larvae
3.3. Impacts of Cd-Treated Pepper Leaves on the Composition and Structure of the Gut Microbiota of S. litura Larvae
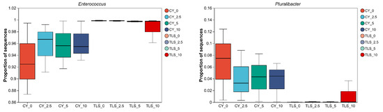
3.4. Impacts of Cd-Treated Pepper Leaves on the Total Abundance of Dominant Bacterial Species in S. litura Larvae
3.5. Functional Predictions of Bacterial Communities
4. Discussion
5. Conclusions
Supplementary Materials
Author Contributions
Funding
Data Availability Statement
Conflicts of Interest
References
- Zou, Z.; Zou, X. Geographical and ecological differences in pepper cultivation and consumption in China. Front. Nutr. 2021, 8, 718517. [Google Scholar] [CrossRef] [PubMed]
- Cao, Y.; Zhang, K.; Yu, H.; Chen, S.; Xu, D.; Zhao, H.; Zhang, Z.; Yang, Y.; Gu, X.; Liu, X.; et al. Pepper variome reveals the history and key loci associated with fruit domestication and diversification. Mol. Plant 2022, 15, 1744–1758. [Google Scholar] [CrossRef] [PubMed]
- Ye, Z.; Shang, Z.; Zhang, S.; Li, M.; Zhang, X.; Ren, H.; Hu, X.; Yi, J. Dynamic analysis of flavor properties and microbial communities in Chinese pickled chili pepper (Capsicum frutescens L.): A typical industrial-scale natural fermentation process. Food Res. Int. 2022, 153, 110952. [Google Scholar] [CrossRef] [PubMed]
- Zhang, X.; Zhang, Z.; Gu, X.; Mao, S.; Li, X.; Chadœuf, J.; Palloix, A.; Wang, L.; Zhang, B. Genetic diversity of pepper (Capsicum spp.) germplasm resources in China reflects selection for cultivar types and spatial distribution. J. Integr. Agric. 2016, 15, 1991–2001. [Google Scholar] [CrossRef]
- Deng, C.; Zhong, Q.; Shao, D.; Ren, Y.; Li, Q.; Wen, J.; Li, J. Potential suitable habitats of chili pepper in China under climate change. Plants 2024, 13, 1027. [Google Scholar] [CrossRef]
- Wang, X.; Zou, C.; Zhang, Y.; Shi, X.; Liu, J.; Fan, S.; Liu, Y.; Du, Y.; Zhao, Q.; Tan, Y. Environmental impacts of pepper (Capsicum annuum L.) production affected by nutrient management: A case study in southwest China. J. Clean. Prod. 2018, 171 Pt 2, 934–943. [Google Scholar] [CrossRef]
- Liu, K.; Mu, Y.; Chen, X.; Ding, Z.; Song, M.; Xing, D.; Li, M. Towards developing an epidemic monitoring and warning system for diseases and pests of hot peppers in Guizhou, China. Agronomy 2022, 12, 1034. [Google Scholar] [CrossRef]
- Wu, N.; Wang, X.; Xu, X.; Cai, R.; Xie, S. Effects of heavy metals on the bioaccumulation, excretion and gut microbiome of black soldier fly larvae (Hermetia illucens). Ecotoxicol. Environ. Saf. 2020, 192, 110323. [Google Scholar] [CrossRef]
- Han, J.; Liang, L.; Zhu, Y.; Xu, X.; Wang, L.; Shang, L.; Wu, P.; Wu, Q.; Qian, X.; Qiu, G.; et al. Heavy metal(Loid)s in farmland soils on the karst plateau, southwest China: An integrated analysis of geochemical baselines, source apportionment, and associated health risk. Land Degrad. Dev. 2022, 33, 1689–1703. [Google Scholar] [CrossRef]
- Chen, F.; Wang, Q.; Meng, F.; Chen, M.; Wang, B. Effects of long-term zinc smelting activities on the distribution and health risk of heavy metals in agricultural soils of Guizhou Province, China. Environ. Geochem. Health 2023, 45, 5639–5654. [Google Scholar] [CrossRef]
- Shi, J.; Du, P.; Luo, H.; Wu, H.; Zhang, Y.; Chen, J.; Wu, M.; Xu, G.; Gao, H. Soil contamination with cadmium and potential risk around various mines in China during 2000–2020. J. Environ. Manag. 2022, 310, 114509. [Google Scholar] [CrossRef] [PubMed]
- Zhang, Y.; Wu, Y.; Song, B.; Zhou, L.; Wang, F.; Pang, R. Spatial distribution and main controlling factor of cadmium accumulation in agricultural soils in Guizhou, China. J. Hazard. Mater. 2022, 424, 127308. [Google Scholar] [CrossRef] [PubMed]
- Xin, J.; Huang, B.; Liu, A.; Zhou, W.; Liao, K. Identification of hot pepper cultivars containing low Cd levels after growing on contaminated soil: Uptake and redistribution to the edible plant parts. Plant Soil 2013, 373, 415–425. [Google Scholar] [CrossRef]
- Huang, B.; Xin, J.; Dai, H.; Liu, A.; Zhou, W.; Yi, Y.; Liao, K. Root morphological responses of three hot pepper cultivars to Cd exposure and their correlations with Cd accumulation. Environ. Sci. Pollut. Res. 2015, 22, 1151–1159. [Google Scholar] [CrossRef]
- Hu, X.; Li, T.; Xu, W.; Chai, Y. Distribution of cadmium in subcellular fraction and expression difference of its transport genes among three cultivars of pepper. Ecotoxicol. Environ. Saf. 2021, 216, 112182. [Google Scholar] [CrossRef]
- Nawaz, M.; Sun, J.; Bo, Y.; He, F.; Shabbir, S.; Hassan, M.U.; Pan, L.; Ahmad, P.; Sonne, C.; Du, D. Cadmium induced defense enhance the invasive potential of Wedelia trilobata under herbivore infestation. J. Hazard. Mater. 2024, 469, 133931. [Google Scholar] [CrossRef]
- Shen, R.; Hussain, K.; Liu, N.; Li, J.; Yu, J.; Zhao, J.; Li, W.; Yang, S. Ecotoxicity of cadmium along the soil-cotton plant-cotton bollworm system: Biotransfer, trophic accumulation, plant growth, induction of insect detoxification enzymes, and immunocompetence. J. Agric. Food Chem. 2024, 72, 14326–14336. [Google Scholar] [CrossRef]
- Tan, M.; Wu, H.; Li, Y.; Zhang, A.; Xu, J.; Chai, R.; Meng, Z.; Yan, S.; Jiang, D. Cadmium exposure through the food chain reduces the parasitic fitness of Chouioia cunea to Hyphantria cunea pupae: An ecotoxicological risk to pest control. Sci. Total. Environ. 2023, 887, 164106. [Google Scholar] [CrossRef]
- Yan, S.; Tan, M.; Zhang, A.; Jiang, D. The exposure risk of heavy metals to insect pests and their impact on pests occurrence and cross-tolerance to Insecticides: A Review. Sci. Total. Environ. 2024, 916, 170274. [Google Scholar] [CrossRef]
- Cheruiyot, D.J.; Boyd, R.S.; Moar, W.J. Exploring lower limits of plant elemental defense by cobalt, copper, nickel, and zinc. J. Chem. Ecol. 2013, 39, 666–674. [Google Scholar] [CrossRef]
- Martos, S.; Gallego, B.; Cabot, C.; Llugany, M.; Barceló, J.; Poschenrieder, C. Zinc triggers signaling mechanisms and defense responses promoting resistance to Alternaria brassicicola in Arabidopsis Thaliana. Plant Sci. 2016, 249, 13–24. [Google Scholar] [CrossRef] [PubMed]
- Stolpe, C.; Giehren, F.; Krämer, U.; Müller, C. Both heavy metal-amendment of soil and aphid-infestation increase Cd and Zn concentrations in phloem exudates of a metal-hyperaccumulating plant. Phytochemistry 2017, 139, 109–117. [Google Scholar] [CrossRef] [PubMed]
- Jhee, E.M.; Boyd, R.S.; Eubanks, M.D. Nickel hyperaccumulation as an elemental defense of Streptanthus polygaloides (Brassicaceae): Influence of herbivore feeding mode. New Phytol. 2005, 168, 331–344. [Google Scholar] [CrossRef] [PubMed]
- Kazemi-Dinan, A.; Sauer, J.; Stein, R.J.; Krämer, U.; Müller, C. Is there a trade-off between glucosinolate-based organic and inorganic defences in a metal hyperaccumulator in the field? Oecologia 2015, 178, 369–378. [Google Scholar] [CrossRef]
- Li, K.; Chen, J.; Jin, P.; Li, J.; Wang, J.; Shu, Y. Effects of Cd accumulation on cutworm Spodoptera litura larvae via Cd treated chinese flowering cabbage Brassica campestris and artificial diets. Chemosphere 2018, 200, 151–163. [Google Scholar] [CrossRef]
- Guo, Y.; Chen, J.; Liao, H.; Wu, K.; Xiao, Z.; Duan, Q.; Wang, J.; Shu, Y. Defense of cabbages against herbivore cutworm Spodoptera litura under Cd stress and insect herbivory stress simultaneously. Environ. Pollut. 2024, 358, 124519. [Google Scholar] [CrossRef]
- Philipp, E.; Moran, N.A. The gut microbiota of insects—diversity in structure and function. FEMS Microbiol. Rev. 2013, 37, 699–735. [Google Scholar] [CrossRef]
- Jing, T.Z.; Qi, F.H.; Wang, Z.Y. Most dominant roles of insect gut bacteria: Digestion, detoxification, or essential nutrient provision? Microbiome 2020, 8, 38. [Google Scholar] [CrossRef]
- Li, X.D.; Xin, L.; Rong, W.T.; Liu, X.Y.; Deng, W.A.; Qin, Y.C.; Li, X.L. Effect of heavy metals pollution on the composition and diversity of the intestinal microbial community of a pygmy grasshopper (Eucriotettix oculatus). Ecotoxicol. Environ. Saf. 2021, 223, 112582. [Google Scholar] [CrossRef]
- Guo, L.; Li, Z.; Xu, J. Effects of cadmium stress on bacterial and fungal communities in the whitefly Bemisia tabaci. Int. J. Mol. Sci. 2023, 24, 13588. [Google Scholar] [CrossRef]
- Wu, H.; Zheng, L.; Tan, M.; Li, Y.; Xu, J.; Yan, S.; Jiang, D. Cd Exposure-triggered susceptibility to Bacillus thuringiensis in Lymantria dispar involves in gut microbiota dysbiosis and hemolymph metabolic disorder. Ecotoxicol. Environ. Saf. 2022, 241, 113763. [Google Scholar] [CrossRef] [PubMed]
- Li, Z.; Guo, D.; Wang, C.; Chi, X.; Liu, Z.; Wang, Y.; Wang, H.; Guo, X.; Wang, N.; Xu, B.; et al. Toxic effects of the heavy metal Cd on Apis cerana Cerana (Hymenoptera: Apidae): Oxidative stress, immune disorders and disturbance of gut microbiota. Sci. Total. Environ. 2024, 912, 169318. [Google Scholar] [CrossRef] [PubMed]
- Jiang, D.; Tan, M.; Zheng, L.; Wu, H.; Li, Y.; Yan, S. Cd exposure-triggered metabolic disruption increases the susceptibility of Lymantria dispar (Lepidoptera: Erebidae) larvae to Mamestra brassicae nuclear polyhedrosis virus: A multi-omics study. Ecotoxicol. Environ. Saf. 2022, 232, 113280. [Google Scholar] [CrossRef] [PubMed]
- Xia, X.; Sun, B.; Gurr, G.M.; Liette, V.; Xue, M.; You, M. Gut microbiota mediate insecticide resistance in the diamondback moth, Plutella xylostella (L.). Front. Microbiol. 2018, 9, 25. [Google Scholar] [CrossRef]
- Zhang, S.; Shu, J.; Xue, H.; Zhang, W.; Zhang, Y.; Liu, Y.; Fang, L.; Wang, Y.; Wang, H. The gut microbiota in Camellia weevils are influenced by plant secondary metabolites and contribute to saponin degradation. mSystems 2020, 5, e00692-19. [Google Scholar] [CrossRef]
- Yuan, G.; Zhao, L.; Du, Y.; Yu, H.; Shi, X.; Chen, W.; Chen, G. Repellence or attraction: Secondary metabolites in pepper mediate attraction and defense against Spodoptera litura. Pest Manag. Sci. 2022, 78, 4859–4870. [Google Scholar] [CrossRef]
- Ming, L.; Du, Y.; Yuan, G.; Su, Q.; Shi, X.; Yu, H.; Chen, G. Spodoptera litura larvae are attracted by HvAV-3h-infected S. litura larvae-damaged pepper leaves. Pest Manag. Sci. 2023, 79, 2713–2724. [Google Scholar] [CrossRef]
- Xu, L.; Mei, Y.; Liu, R.; Chen, X.; Wang, C. Transcriptome analysis of Spodoptera litura reveals the molecular mechanism to pyrethroids resistance. Pestic. Biochem. Physiol. 2020, 169, 104649. [Google Scholar] [CrossRef]
- Chen, J.; Jin, P.; Huang, S.; Guo, Y.; Tan, F.; Wang, J.; Shu, Y. Cabbage cultivars influence transfer and toxicity of cadmium in soil-chinese flowering cabbage Brassica campestris-cutworm Spodoptera litura Larvae. Ecotoxicol. Environ. Saf. 2021, 213, 112076. [Google Scholar] [CrossRef]
- Shu, Y.; Zhou, J.; Lu, K.; Li, K.; Zhou, Q. Response of the common cutworm Spodoptera litura to lead stress: Changes in sex ratio, Pb cccumulations, midgut cell ultrastructure. Chemosphere 2015, 139, 441–451. [Google Scholar] [CrossRef]
- Waldbauer, G.P. The consumption and utilization of food by insects. In Advances in Insect Physiology; Academic Press: Urbana, IL, USA, 1968; Volume 5, pp. 229–288. [Google Scholar] [CrossRef]
- Callahan, B.J.; Mcmurdie, P.J.; Rosen, M.J.; Han, A.W.; Johnson, A.J.A.; Holmes, S.P. DADA2: High-resolution sample inference from Illumina amplicon data. Nat. Methods 2016, 13, 581–583. [Google Scholar] [CrossRef] [PubMed]
- Magoč, T.; Salzberg, S.L. FLASH: Fast length adjustment of short reads to improve genome assemblies. Bioinformatics 2011, 27, 2957–2963. [Google Scholar] [CrossRef] [PubMed]
- Edgar, R.C. UPARSE: Highly accurate OTU sequences from microbial amplicon reads. Nat. Methods 2013, 10, 996–998. [Google Scholar] [CrossRef] [PubMed]
- Stackebrandt, E.; Goebel, B.M. Taxonomic note: A place for DNA-DNA reassociation and 16S rRNA sequence analysis in the present species definition in bacteriology. Int. J. Syst. Bacterial. 1994, 44, 846–849. [Google Scholar] [CrossRef]
- Douglas, G.M.; Maffei, V.J.; Zaneveld, J.R.; Yurgel, S.N.; Brown, J.R.; Taylor, C.M.; Huttenhower, C.; Langille, M.G.I. PICRUSt2 for prediction of metagenome functions. Nat. Biotechnol. 2020, 38, 685–688. [Google Scholar] [CrossRef]
- Wang, Q.; Garrity, G.M.; Tiedje, J.M.; Cole, J.R. Naive Bayesian classifier for rapid assignment of rRNA sequences into the new bacterial taxonomy. Appl. Environ. Microbiol. 2007, 73, 5261–5267. [Google Scholar] [CrossRef]
- Naranjo-Guevara, N.; Peñaflor, M.F.G.V.; Silva, D.B.; Bento, J.M.S. A Comparison of the direct and indirect defence abilities of cultivated maize versus perennial and annual teosintes. Chemoecology 2021, 31, 63–74. [Google Scholar] [CrossRef]
- Schmidt, K.; Engel, P. Mechanisms underlying gut microbiota–host interactions in insects. J. Exp. Biol. 2021, 224, jeb207696. [Google Scholar] [CrossRef]
- Jang, S.; Kikuchi, Y. Impact of the insect gut microbiota on ecology, evolution, and industry. Curr. Opin. Insect Sci. 2020, 41, 33–39. [Google Scholar] [CrossRef]
- Siddiqui, J.A.; Khan, M.M.; Bamisile, B.S.; Hafeez, M.; Qasim, M.; Rasheed, M.T.; Rasheed, M.A.; Ahmad, S.; Shahid, M.I.; Xu, Y. Role of insect gut microbiota in pesticide degradation: A review. Front. Microbiol. 2022, 13, 870462. [Google Scholar] [CrossRef]
- Wang, J.; Huang, H.; Yang, H.; Wang, S.; Li, M.; Zhu, Z.; Trumble, J.T.; Di, N.; Zang, L. Heavy metal exposure reduces larval gut microbiota diversity of the rice striped steam borer, Chilo suppressalis. Ecotoxicology 2024, 33, 973–983. [Google Scholar] [CrossRef] [PubMed]
- Shi, Y.X.; Bian, D.D.; Chen, F.X.; Jin, Y.; Jiang, Q.; Liu, Q.N.; Tang, B.P.; Dai, L.S. Effect of lead exposure on silkworm midgut: Insights into oxidative gene expression, digestive function, and microbial community structure. Process Saf. Environ. 2024, 190, 481–494. [Google Scholar] [CrossRef]
- Paniagua Voirol, L.R.; Frago, E.; Kaltenpoth, M.; Hilker, M.; Fatouros, N.E. Bacterial symbionts in Lepidoptera: Their diversity, transmission, and impact on the host. Front. Microbiol. 2018, 9, 556. [Google Scholar] [CrossRef] [PubMed]
- Zhang, X.; Zhang, F.; Lu, X. Diversity and functional roles of the gut microbiota in Lepidopteran insects. Microorganisms 2022, 10, 1234. [Google Scholar] [CrossRef]
- Vilanova, C.; Baixeras, J.; Latorre, A.; Porcar, M. The generalist inside the specialist: Gut bacterial communities of two insect species feeding on toxic plants are dominated by Enterococcus sp. Front. Microbiol. 2016, 7, 1005. [Google Scholar] [CrossRef]
- Sosa-Jiménez, V.M.; Kvist, S.; Manzano-Marín, A.; Oceguera-Figueroa, A. Discovery of a novel symbiotic lineage associated with a hematophagous leech from the genus Haementeria. Microbiol. Spectr. 2024, 12, e04286-23. [Google Scholar] [CrossRef]
- Amiri, N.; Keady, M.M.; Lim, H.C. Honey bees and bumble bees occupying the same landscape have distinct gut microbiomes and amplicon sequence variant-level responses to infections. PeerJ 2023, 11, e15501. [Google Scholar] [CrossRef]





| GLM Analysis | |||||||
|---|---|---|---|---|---|---|---|
| Larvae Survival Rate (%) | Larval Weight (g) | RCR (g/g/d) | AD (%) | ECI (%) | ECD (%) | RGR (g/g/d) | |
| Cultivars | F = 36.000, p < 0.0001 | F = 1.378, p = 0.242 | F = 3.894, p = 0.050 | F = 8.297, p = 0.005 | F = 14.690, p = 0.0002 | F = 2.989, p = 0.086 | F = 27.600, p < 0.0001 | 
| Treatments | F = 3.000, p = 0.062 | F = 5.586, p = 0.001 | F = 7.426, p < 0.0001 | F = 12.180, p < 0.0001 | F = 9.670, p < 0.0001 | F = 9.201, p < 0.0001 | F = 5.597, p = 0.001 | 
| Cultivars × Treatments | F = 3.333, p = 0.046 | F = 2.495, p = 0.062 | F = 0.856, p = 0.465 | F = 2.399, p = 0.070 | F = 2.339, p = 0.076 | F = 1.080, p = 0.360 | F = 4.324, p = 0.006 | 
| Diversity Indices | ||||||
|---|---|---|---|---|---|---|
| Treatment (mg/kg Cd) | Sobs | Shannon | Simpson | ACE | Chao1 | |
| CY | 0 | 34.67 ± 8.02 b * | 0.27 ± 0.21 a * | 0.87 ± 0.11 a * | 42.86 ± 15.78 a | 40.22 ± 14.65 a | 
| 2.5 | 22.33 ± 2.52 ab | 0.19 ± 0.14 a * | 0.92 ± 0.08 a | 26.65 ± 5.29 a | 24.21 ± 2.86 a | |
| 5 | 20.33 ± 8.33 a | 0.19 ± 0.16 a * | 0.92 ± 0.08 a | 34.64 ± 23.22 a | 29.49 ± 16.99 a | |
| 10 | 28.33 ± 4.73 ab | 0.18 ± 0.14 a | 0.93 ± 0.06 a | 42.89 ± 6.17 a | 40.96 ± 4.36 a | |
| TLS | 0 | 26.67 ± 4.51 A * | 0.02 ± 0.01 A * | 0.99 ± 0.00 A * | 47.84 ± 20.29 A | 38.00 ± 8.89 A | 
| 2.5 | 24.33 ± 2.08 A | 0.02 ± 0.01 A * | 1.00 ± 0.00 A | 28.96 ± 4.92 A | 28.71 ± 5.67 A | |
| 5 | 30.67 ± 12.50 A | 0.03 ± 0.01 A * | 0.99 ± 0.00 A | 35.54 ± 13.72 A | 34.50 ± 13.33 A | |
| 10 | 24.00 ± 6.08 A | 0.08 ± 0.01 A | 0.97 ± 0.04 A | 37.78 ± 22.07 A | 28.75 ± 10.40 A | |
| GLM-analysis | ||||||
| Sobs | Shannon | Simpson | ACE | Chao1 | ||
| Cultivars | F = 0.000, p > 0.999 | F = 11.860, p = 0.003 | F = 10.830, p = 0.005 | F = 0.014, p = 0.906 | F = 0.078, p = 0.783 | |
| Treatments | F = 1.198, p = 0.342 | F = 0.136, p = 0.937 | F = 0.179, p = 0.914 | F = 1.375, p = 0.286 | F = 1.458, p = 0.263 | |
| Cultivars × Treatments | F = 2.036, p = 0.149 | F = 0.423, p = 0.739 | F = 0.422, p = 0.740 | F = 0.111, p = 0.952 | F = 0.834, p = 0.495 | |
| Disclaimer/Publisher’s Note: The statements, opinions and data contained in all publications are solely those of the individual author(s) and contributor(s) and not of MDPI and/or the editor(s). MDPI and/or the editor(s) disclaim responsibility for any injury to people or property resulting from any ideas, methods, instructions or products referred to in the content. | 
© 2024 by the authors. Licensee MDPI, Basel, Switzerland. This article is an open access article distributed under the terms and conditions of the Creative Commons Attribution (CC BY) license (https://creativecommons.org/licenses/by/4.0/).
Share and Cite
Chen, J.; Chen, J.-Z.; Liu, K.-F.; Liu, S.; Wu, T.-T.; Ye, Z.; Xiang, Y.-L.; Shu, Y.-H.; Zhu, X. Effects of Cd-Treated Pepper on Gut Microbiota in Herbivore Cutworm Spodoptera litura. Agronomy 2024, 14, 2945. https://doi.org/10.3390/agronomy14122945
Chen J, Chen J-Z, Liu K-F, Liu S, Wu T-T, Ye Z, Xiang Y-L, Shu Y-H, Zhu X. Effects of Cd-Treated Pepper on Gut Microbiota in Herbivore Cutworm Spodoptera litura. Agronomy. 2024; 14(12):2945. https://doi.org/10.3390/agronomy14122945
Chicago/Turabian StyleChen, Jin, Jun-Zhu Chen, Kai-Fen Liu, Shuang Liu, Ting-Ting Wu, Zi Ye, You-Liang Xiang, Ying-Hua Shu, and Xiu Zhu. 2024. "Effects of Cd-Treated Pepper on Gut Microbiota in Herbivore Cutworm Spodoptera litura" Agronomy 14, no. 12: 2945. https://doi.org/10.3390/agronomy14122945
APA StyleChen, J., Chen, J.-Z., Liu, K.-F., Liu, S., Wu, T.-T., Ye, Z., Xiang, Y.-L., Shu, Y.-H., & Zhu, X. (2024). Effects of Cd-Treated Pepper on Gut Microbiota in Herbivore Cutworm Spodoptera litura. Agronomy, 14(12), 2945. https://doi.org/10.3390/agronomy14122945
 
        

 
       