Next Article in Journal
Performance of Urea-Based Enhanced Efficiency Fertilizers Under Sidedress Nitrogen Placement Methods
Previous Article in Journal
Ecological and Health Risk Assessment of Metals in Organic and Conventional Peruvian Coffee from a Probabilistic Approach
 
 
Font Type:
Arial Georgia Verdana
Font Size:
Aa Aa Aa
Line Spacing:
Column Width:
Background:
Article

Modeling the Effects of Sowing Dates on Maize in Different Environments in the Tropical Area of Southwest China Using DSSAT

1
Yunnan International Joint Laboratory of Crop Smart Production, Yunnan Agricultural University, Kunming 650231, China
2
The Key Laboratory of Crop Production and Smart Agriculture of Yunnan Province, Yunnan Agricultural University, Kunming 650231, China
3
Dehong Agricultural Technology Extension Centre, Dehong 678499, China
4
School of Agricultural, Yunnan University, Kunming 650231, China
5
Yunnan Provincial Mereorological Observatory, Kunming 650034, China
*
Author to whom correspondence should be addressed.
Agronomy 2024, 14(12), 2819; https://doi.org/10.3390/agronomy14122819
Submission received: 3 October 2024 / Revised: 14 November 2024 / Accepted: 25 November 2024 / Published: 27 November 2024
(This article belongs to the Section Precision and Digital Agriculture)

Abstract

Maize yield is affected by meteorological conditions and cultivation management. Sowing date adjustment is one of the most commonly used cultivation management methods for achieving a high maize yield in the tropical area of Southwest China. This study conducted field experiments involving five maize cultivars with different sowing dates in Yunnan Province from 2012 to 2015. The parameters of the CERES model in the decision support systems for agrotechnology transfer (DSSAT) were calibrated, and its adaptability was validated. The model was applied to simulate and analyze the maize growing period and yield with different sowing dates over 12 years (2012–2023) in the tropical area of Southwest China. The results show that the DSSAT-Maize model demonstrates good adaptability in the southwestern region of China. The model predictions for maize flowering, maturity, and yield were compared with the measured values, yielding R2 values of 0.62, 0.64, and 0.92, d-index values of 0.86, 0.87, and 0.97, and normalized root-mean-square errors (nRMSE) of 4.53%, 2.92%, and 6.37%, respectively. The verified model was used to assess the effects of different sowing dates on the maize growing period and yield. Sowing between 15 May and 29 May resulted in relatively higher yields with lower coefficients of variation. The whole growing season was shortened by 1.13 days, and the yield was decreased by 3% every 7 days ahead of the sowing date before early May. A delayed planting date after June had a positive effect on maize yields, with an average yield increase of 4% per 7 days of delay. The maize yield was significantly positively correlated with rainfall during the vegetative period and solar radiation during the reproductive period; meanwhile, it was significantly negatively correlated with solar radiation and the maximum temperature during the vegetative period and rainfall during the reproductive period. This study concluded that the sowing date significantly influenced maize’s growth period and yield in the tropical area of Southwest China. Delaying sowing after 15 May can help achieve higher yields, mainly because early sowing leads to insufficient rainfall in the vegetative period, while delayed sowing ensures adequate rainfall and higher total solar radiation.

1. Introduction

Maize (Zea mays L.) is one of the most important staple and economic crops worldwide [1]. In 2022, China’s maize planting area reached 43.1 million hectares, accounting for 23.8% of the global production. Climate variability across different regions results in varying optimal sowing dates for maize [2,3,4]. Multiple cropping systems (single, double, and triple cropping) coexist in the tropical region of Southwest China, featuring a distinct three-dimensional climate and diverse cropping patterns. The cropping system influences the sowing date of summer maize, with sowing occurring between April and June [5]. Studies have found that early sowing lengthens the growing period of maize, which is conducive to the absorption of solar radiation but also increases the risk of drought [6]. In contrast, delayed sowing postpones the silking and maturity stages, reducing solar radiation during the grain-filling period, which negatively affects yield [7]. However, delayed sowing may also lead to lower temperatures during the grain-filling period, which can hinder grain filling and maturation [8]. Both excessively early and late sowing can disrupt normal maize growth and development, thus affecting yield. Therefore, scientifically adjusting the sowing date is the best management strategy to optimize maize yield [9,10], effectively mitigating the negative impacts of temperature, light, and water availability on crop growth [11]. Thus, selecting the appropriate sowing date is crucial for maize adaptation to climate change and yield improvement.
Numerous scholars have studied the effect of sowing dates on maize growth and yield [12,13]. Zhang et al. [14] investigated the optimal sowing dates for summer maize in the North China Plain under the influence of climate change, finding that the suitable sowing date tended to be delayed due to accumulated temperature changes. Cao et al. [15] found that delayed sowing in Southern China exposed maize plants to higher temperatures, leading to a reduction in kernel number and weight and, consequently, a decrease in maize yield. Zhu et al. [16] used the APSIM model to assess the impact of the sowing date on the growth period and yield, reporting that the potential maize yield decreased by 0.6% for each day of sowing delay. Some studies have also indicated that a delayed sowing date can extend maize’s grain-filling and growth periods [17], avoiding the negative effects of high temperatures during the silking stage and potentially increasing maize yield [18,19]. However, current research has mainly focused on the changes in maize’s growth and yield characteristics under different climatic backgrounds without considering the impact of meteorological condition changes on yields across different sowing periods. Additionally, the crop growth model has primarily focused on the study of adaptation in the Huang-Huai Plain [20], Northeast China [21], the Loess Plateau [22], and the North China Plain [14], while research on the optimal sowing dates for maize in the tropical region of Southwest China is lacking.
The traditional methods of comparing maize growth with different sowing dates using field experiments are time-consuming, costly, and limited in scope [23]. Crop growth models can simulate crop growth based on various environmental conditions and field management strategies, allowing for the analysis of how different factors influence yield during crop production [24,25]. These models play an important role in agricultural management [26,27]. The DSSAT model is one of the most widely used crop growth models in the world [28,29] and can analyze the impact of climate change on crop growth, development, and yield [30,31,32], as well as simulate the response of crop yields to different agricultural management strategies [33,34,35]. It helps to overcome the spatial and temporal limitations of field crops and the variability across research regions. Using crop models combined with long-term meteorological data to study the impact of sowing dates on maize productivity has significant research value. Previous studies have shown that the DSSAT-Maize model can effectively simulate the growth and development of maize under different sowing date management practices [36,37]. However, most studies have focused on yield prediction under different climatic backgrounds [38,39,40] without considering the effects of climate variability on yield across different sowing dates.
This study determined the optimal sowing range for achieving high and stable maize yields from the perspective of optimizing climate resource distribution, providing a scientific reference and theoretical guidance for the optimized management of maize in the tropical region of Southwest China. This study’s objectives were to (1) verify the DSSAT model’s applicability based on the tropical region of Southwest China using field experiment data; (2) assess the production potential of maize in this region with different sowing dates using meteorological data from Ruili, Longchuan, and Mangshi from 2012 to 2023, using local sowing dates as a reference; and (3) analyze the climatic resources during maize’s growth period in different sowing periods and utilize the coefficient of variation to evaluate maize’s yield stability across different sowing periods.

2. Materials and Methods

2.1. Experimental Site

The study stations were conducted in Mangshi (24°4′ N, 98°59′ E), Ruili (24°1′ N, 97°85′ E), and Longchuan (24°2′ N, 97°79′ E), located in the Dehong Dai and Jingpo Autonomous Prefecture, Yunnan Province, at an elevation of 778–961 m. The region has an average annual temperature ranging from 15.9 °C to 27.7 °C, an average annual sunshine duration of 2252.9 h, and annual rainfall between 1221.1 mm and 1546.5 mm. The study area experiences an uneven seasonal rainfall distribution, typically entering the rainy season after mid-May, with rainfall between May and August reaching 1297.9 mm, accounting for 77.4% of the total annual precipitation. The region belongs to a South Asian subtropical monsoon climate zone characterized by abundant heat, long sunshine hours, and small annual temperature variations. Its main soil type is lateritic red soil, with soil organic matter, available nitrogen, available potassium, and available phosphorus contents of 2.7 g/kg, 153.3 mg/kg, 158.2 mg/kg, and 56.3 mg/kg, respectively (Figure 1).

2.2. Experimental Design and Data Collection

The experiment was conducted in 2012, 2013, 2014, and 2015, using five maize cultivars: Yudan 8 (YD-8), Guidan 8 (GD-8), Huidan 4 (HD-4), Deyu 5 (DY-5), and Yunrui 8 (YR-8). A split-plot design was employed, with double ridge–furrow planting and the sowing date as the main treatment. Sowing was carried out on 1 May, 15 May, and 1 June each year. The planting density was 60,615 plants/ha, with a row spacing of 75 cm and plant spacing of 22 cm. Compound fertilizer (N: 13%; P2O5: 7%; K2O: 5%) was applied at 750 kg/ha before sowing. Urea (N: 46%) was applied at 375 kg/ha during the seedling stage and, additionally, at 450 kg/ha (N: 46%) at the tasseling stage. Atrazine herbicide was sprayed before emergence, and manual weeding was performed during the maize growth period, with two major weeding operations throughout the growing season. Two border rows were set on either side of the experimental plots as guard rows.
After the maize reached maturity, 20 plants were randomly harvested from each plot. Following air drying to a constant weight, the number of rows per ear, the number of kernels per row, and the thousand-kernel weight were measured and converted into yield estimates. Meteorological data, including daily sunshine hours (h), maximum temperature (°C), minimum temperature (°C), and rainfall (mm), were obtained from the Yunnan Meteorological Bureau. Soil data were collected from the Agricultural Meteorological Observation Station and the Dehong Prefecture Agricultural Technology Extension Center, where samples were taken and analyzed (Table 1).

2.3. DSSAT Model Descriptions and Calibration

The maize parameters were adjusted using the experimental data from 2012. The generalized likelihood uncertainty estimation (GLUE) [41] method was employed to calibrate the genetic parameters controlling the crop growth rate, growth stages, plant morphology, and yield in the DSSAT-CERES-Maize model. Additionally, a trial-and-error approach was used to determine the genetic parameters for maize (Table 2). The model was run with the derived crop parameters, and the performance was evaluated based on the phenology and grain yield. After calibration, the data from 2013, 2014, and 2015 were utilized for the model validation.
The degree of deviation between the simulated values from the DSSAT model and the observed values was assessed using the coefficient of determination (R2), root-mean-square error (RMSE), normalized root-mean-square error (nRMSE), and the consistency index (d). The RMSE measures the average difference between the observed values and the model or estimation values, indicating the standard deviation of the model’s prediction error. The nRMSE is used to compare the model fitting error of datasets with different scales or ranges. It normalizes the RMSE value with respect to the data range, making different datasets more comparable. The formulas of the RMSE, NRMSE, and R2 are expressed as Equations (1)–(4):
R 2 = 1 n S i S ¯ M i M ¯ 1 n S i S ¯ 2 1 n M i M ¯ 2 2
n R M S E = R M S E M ¯ × 100 %
R M S E = i = 1 n S i M i 2 n
d = 1 i = 1 n S i M i 2 i = 1 n S i S ¯ + M i M ¯ 2
In the equations, n represents the total number of samples; Si denotes the simulated values; Mi represents the measured values; S ¯ is the average of all simulated dates; and M ¯ is the average of the measured values.
d > 0.65 indicates a good simulation performance and R2 > 0.5 indicates that the results are acceptable. nRMSE values greater than 10% are considered good, values between 20% and 30% indicate moderate model performance, and values above 30% are considered poor.

2.4. Simulation of Maize Growth and Development at Different Sowing Dates

Summer maize is typically sown in mid-May in the tropical region of Southwest China. This study utilized environmental and daily meteorological data in the DSSAT-CERES-Maize model to set 10 sowing dates at 7-day intervals from 17 April to 19 June to analyze the impact of sowing date adjustments on maize growth and development. The growth and development of 5 maize cultivars in Ruili, Longchuan, and Mangshi were simulated under 10 sowing periods from 2012 to 2023. The coefficient of variation (CV) was used to assess the stability of the crop yield under different sowing date management strategies (as shown in Equation (5)). The data processing and graph generation of the model results were conducted using Excel 2021 and Origin software 2024.
C V = standard   deviation mean × 100 %

3. Results

3.1. Validation Results of the DSSAT-CERES Model

The average measured value for days from sowing to flowering for maize was 63.96 ± 4.56 days (n = 45), and the average value for days from sowing to maturity was 120.51 ± 5.56 days (n = 45), with an average yield of 8465.38 ± 1448.12 kg/hm2 (n = 45). The comparison between the predicted and observed values for the maize growth period and yield indicated satisfactory prediction results (Figure 2). The consistency indices (d) for the days from sowing to flowering, days from sowing to maturity, and yield predictions were 0.86, 0.87, and 0.97, respectively. The normalized root-mean-square errors (nRMSEs) were 4.53%, 2.92%, and 6.37%, with the simulated values closely aligning with the 1:1 line. The nRMSE for the growth duration of different maize cultivars remained within 10% when comparing the simulated values with the field measurements, with d-index values ranging from 0.72 to 0.92 (Table 3). The nRMSE for yield was consistently below 10%, and the d-index values were all above 0.88. This indicates that the DSSAT-CERES-Maize model accurately simulates the maize yield and growth duration with different sowing dates.

3.2. Effects of Sowing Dates on Growing Period of Maize

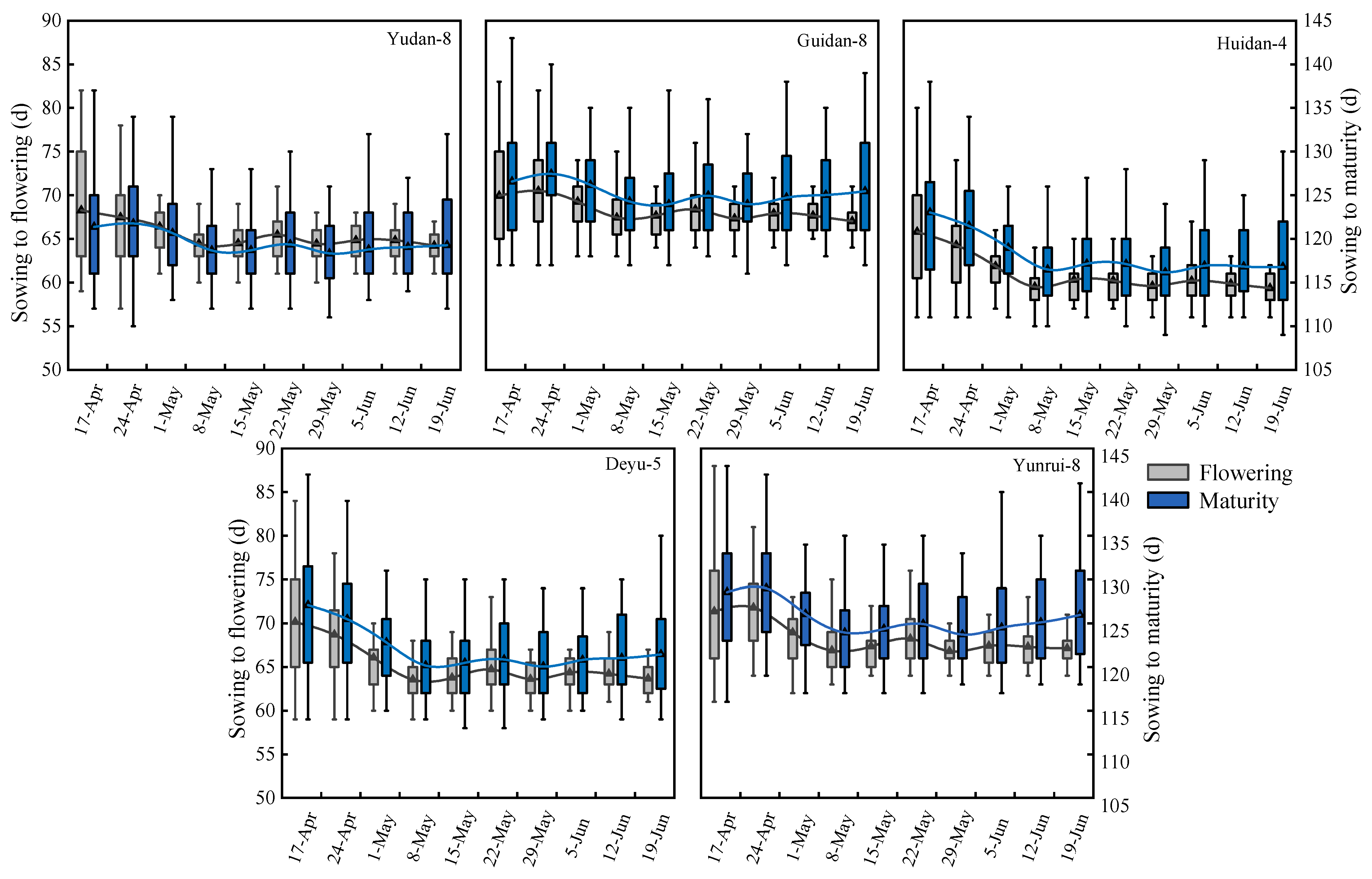
Using 12 years of meteorological data from 2012 to 2023, the simulation results from the DSSAT model indicated that the growth periods for the YD-8 and HD-8 cultivars were shorter, while that of the GD-4 cultivar was longer (Figure 3). The trends in the growth duration for the five cultivars were generally consistent with the changes in the sowing dates, showing an overall decreasing trend with 15 May as the reference date. Early sowing extended the days from sowing to flowering and the total growth period. For instance, advancing the sowing date to 17 April resulted in an extension of 4.18 days to flowering and 4.50 days to the total growth period compared with the 15 May sowing date. Conversely, late sowing shortened the maize growth period, mainly reducing the number of days from sowing to flowering, and had little effect on the whole growth period. For example, sowing on 19 June compared with 15 May shortened the flowering and total growth periods by 1.04 days and 0.58 days, respectively.

3.3. Effects of Sowing Dates on Maize Yield

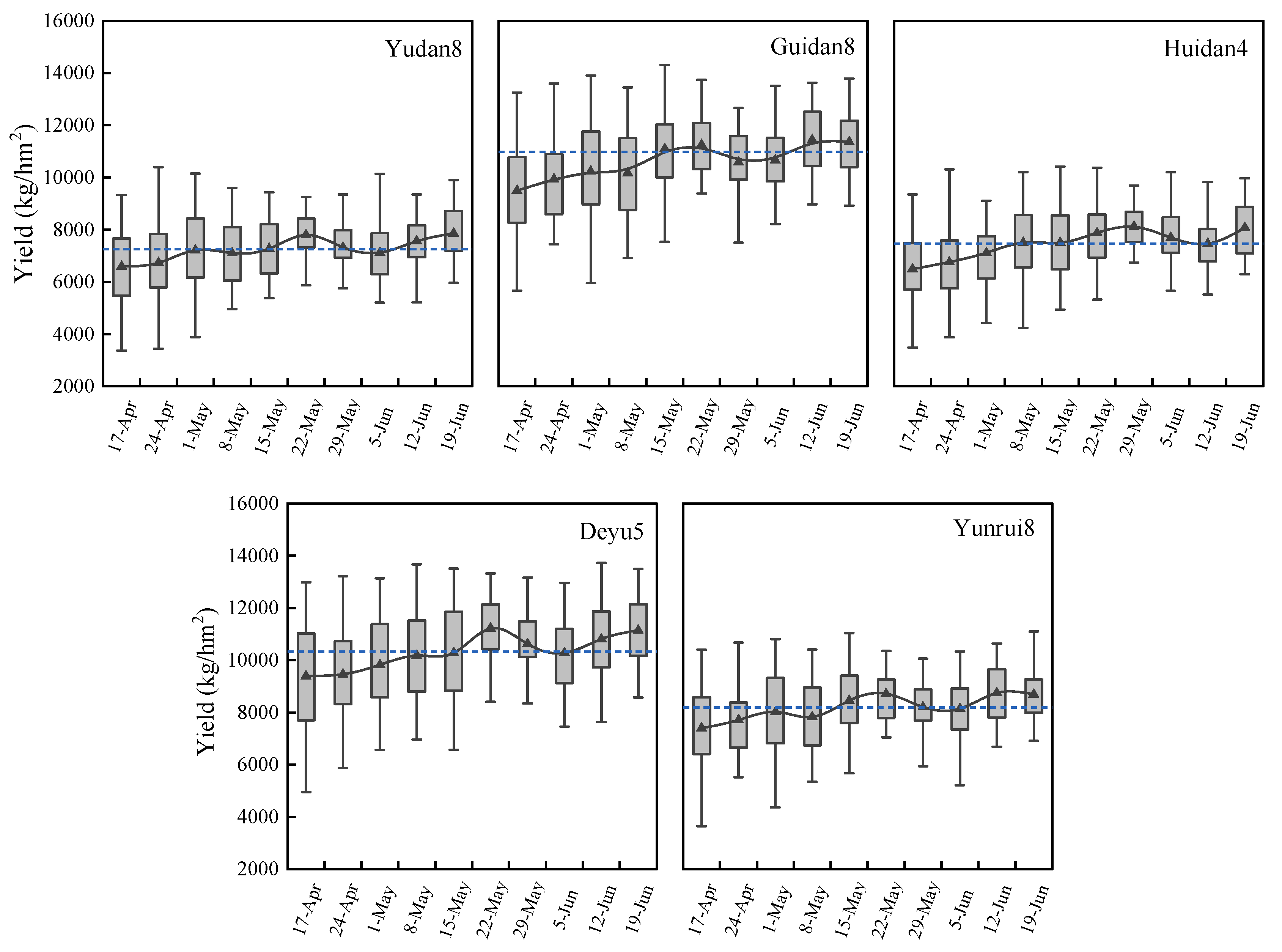
Using meteorological data from Longchuan, Ruili, and Mangshi from 2012 to 2023, the maize yields were simulated for 10 sowing dates between 17 April and 19 June. The average maize yield ranged from 7873.25 to 9395.33 kg/hm2 (Figure 4). Among the cultivars, GD-4 and DY-5 consistently exhibited significantly higher yields across all sowing dates compared with YD-8, HD-8, and YR-8. The yield trends for the five maize cultivars generally aligned with the changes in the sowing dates, showing an overall increasing trend with delayed sowing. The early increase in yield was pronounced, stabilizing later, with the highest yields occurring between 15 May and 29 May. When sowing occurred before 15 May, the average yield decreased by approximately 3% for each 7-day advance in the sowing date. The lowest yield occurred with the 17 April sowing, which also had the highest annual coefficient of variation (CV). HD-8 exhibited a CV of 26.97%. The average yield peaked for YD-8, GD-4, DY-5, and YR-8 when sown on 22 May, with the lowest annual CVs of 10.1%, 9.52%, 11.03%, and 10.26%, respectively (Figure 5). For HD-8, the highest yield occurred on 29 May, with the lowest CV of 9.88%. After June, the yields initially decreased and then increased. By June 5, the average yield had dropped to 7,120.89 kg/hm2. Following 5 June, the average yield increased by 4% for each 7-day delay in sowing. However, the average yield for the 19 June sowing was still 189.57 kg/hm2 lower than that for the 22 May sowing.
The sowing date significantly affected the maize yield (p < 0.05), although the degree and trend of this impact varied between different cultivars. The yields of GD-8 and DY-5 showed a greater variation in response to the changes in the sowing dates. In the southwestern tropical region, sowing dates typically ranged from 15 May to 29 May in normal years, during which yields were relatively high and the coefficient of variation was low. When sowing occurred before May, earlier sowing resulted in a larger coefficient of variation, indicating an unstable low-yield period. Conversely, sowing after mid-May led to a dominant increase in yield for YD-8, DY-5, and YR-8, and the average yield of a single sowing period was higher than that of all sowing periods. The highest average yield and the lowest coefficient of variation occurred with sowing on 22 May.

3.4. Effects of Sowing Dates on Allocation of Climatic Resources During Maize Growing Season

Adjusting sowing dates affects crop growth and development by changing the meteorological conditions, such as temperature, light, and water, during crop growth. This study further analyzed the relationships between temperature, sunlight, and precipitation during the whole growing season (WGS), the vegetative period (from emergence to flowering (VP)), and the reproductive period (from flowering to physiological maturity (RP)) with yield (Table 4). The results indicate that the impact of solar radiation (SRAD) and average temperature (Tavg) during the vegetative period on yield was less significant than that during the reproductive period. Conversely, the effects of the maximum temperature (Tmax), minimum temperature (Tmin), and rainfall (Rain) during the vegetative period on yield were greater than those during the reproductive period. Specifically, the Tmin and Rain during the vegetative period showed a highly significant negative correlation with yield (p < 0.01), while the Tmax exhibited a highly significant positive correlation (p < 0.01). During the reproductive period, the SRAD, Tmax, Tmin, and Tavg were all highly significantly positively correlated with yield (p < 0.01), whereas the Rain had a highly significant negative correlation. Additionally, during the whole growing season, the SRAD and Tmin were highly significantly positively correlated with yield (p < 0.01).
The analysis of climatic resources during the vegetative period, reproductive period, and whole growing season for maize in Mangshi, Ruili, and Longchuan from 2012 to 2023, as influenced by the sowing dates, revealed the following trends (Figure 6). Solar radiation during the vegetative period exhibited a decreasing trend with delayed sowing, while it showed an increasing trend during the reproductive period. Compared with sowing on 15 May, advancing the sowing date by 7 days changed the solar radiation interception by −0.55 MJ/(m2·d) during the vegetative period, whereas delaying the sowing date by 7 days changed the solar radiation interception by 0.25 MJ/(m2·d). Before early May, the variations in temperature and rainfall during the vegetative period were significant. As the sowing date was advanced, the maximum temperature increased by 0.07–0.23 °C, while the minimum temperature decreased by 0.17–0.77 °C. The maximum variation in rainfall was recorded at 83.39 mm. After late May, rainfall during the reproductive period showed a decreasing trend, with a reduction of 148.18 mm when the sowing date was postponed to 19 June.

4. Discussion

This study validated and calibrated the DSSAT-Maize growth model for adaptability in the southwestern tropical region of China using field experiment data over four years. We simulated the maize productivity with different sowing dates in Ruili, Mangshi, and Longchuan from 2012 to 2023, utilizing the validated DSSAT-CERES-Maize model. The model well reflected the effects of changes in meteorological conditions on the maize yield under the long time series of different sowing dates. The optimal sowing date was identified as being after 15 May, and the effects of early and late sowing on maize growth and development were analyzed. This study analyzed the relationship between solar radiation, temperature, precipitation, and yield at different periods of the maize growth period and proposed the reasons for the influence of sowing date changes on the maize yield. It was concluded that the main factors that caused the decrease in the maize yield were the lower temperature and relatively less rainfall during the vegetative growth stage.
The model for calibration and verification exhibiting high R2 and d-index values and low nRMSE values indicated good agreement between the observed and model-predicted values. This shows that the CERES-Maize model can be used for decision making in crop production in the tropical region of Southwest China. Tofa et al. [34] found that the CERES-Maize model performed well in predicting the anthesis, physiological maturity, and grain yield of both varieties. The average d-index values for the measured parameters were above 0.90 for each variety. Rugira et al. [36] verified the DSSAT-CERES model by using the growth period and yield data of maize at different sowing dates. The nRMSE was less than 13%.
Changing the sowing dates of maize changes the meteorological conditions in the growing stages, subsequently affecting the crop’s developmental process [12,15,42]. Maize growth reacted sharply to the changes in temperature and rainfall. This study found that sowing before 15 May resulted in insufficient rainfall during the vegetative period, which slowed plant growth and prolonged the overall growth period, consistent with previous research findings [16,17]. Specifically, for every 7-day advancement in the sowing date, the time from sowing to flowering was extended by an average of 1.05 days, while the total growth period was extended by an average of 1.13 days. Thermal conditions are important for regulating crop growth [43]. Temperature is the main ecological factor affecting the crop length during the growing period [44]. From mid-May to mid-June, the environmental conditions during maize growth are generally suitable, with minimal temperature variations, leading to accelerated plant growth. The plant growth rate of corn is accelerated and the growth period tends to shorten. Delaying the sowing time mainly reduces the vegetative growth period but only slightly affects the whole growth period.
An appropriate sowing date can enhance maize’s utilization of temperature, light, and water resources, improving its growth and development while increasing its yield and quality [45,46]. Maize yield is closely linked to the climatic conditions experienced during different growth stages, particularly temperature, rainfall, and solar radiation [47]. Rainfall and solar radiation impact maize growth most significantly. This study’s results indicate that the sowing date significantly affects the maize yield. Sowing before 15 May resulted in an average yield reduction of 0–15%, with the maximum decrease reaching 65%. Additionally, earlier sowing correlated with a higher coefficient of variation in the yield, primarily due to the notable differences in the rainfall distribution influenced by the sowing date [5,48,49]. Insufficient rainfall during the vegetative period leads to poor development of immature maize ears, while increased rainfall during the reproductive period can negatively affect pollination. Wu et al. [50] found that proper early seeding should be constructed with farm irrigation facilities to mitigate drought stress in early sowing. Proper postponement of seeding allows maize to receive more solar radiation during the reproductive period. Delaying sowing after mid-May generally showed an increasing trend in the maize yield. Later sowing reduced the maximum temperature during the vegetative period while changing the solar radiation interception by 0.23 to 1.24 MJ/(m2·d) during the reproductive period. Although rainfall decreased by an average of 27.48 to 148.18 mm, this promoted dry matter accumulation and grain filling. Guo et al. [51] reported that delayed sowing could optimize the temperature conditions in the growing period of summer maize to improve kernel growth and obtain a relatively higher maize yield. Suitable and sufficient light, heat, and water resources were more conducive to the growth and yield formation of maize. For sowing dates between 22 May and 29 May in the southwestern tropical region, the average minimum and maximum temperatures range from 20.87 to 28.68 °C, leading to rapid plant growth and relatively high yields with lower coefficients of variation. The average maize yield from sowing on 22 May reached its peak, exceeding the average yield from sowing on 19 June by 189.57 kg/hm2.

5. Conclusions

Scientific adjustment of the sowing date can effectively mitigate the negative impacts of temperature, light, and water availability on crop growth, while research on the optimal sowing dates for maize in the tropical region of Southwest China is lacking. Therefore, this study first adjusted the DSSAT-Maize model using the experimental data from 2012. The data from 2013, 2014, and 2015 were utilized for the model validation. The nRMSE for the growth duration and yield of different maize cultivars remained within 10% when comparing the simulated values with the field measurements; the d-index values were all above 0.72. Results from this study show that the CERES-Maize model when well calibrated and evaluated can be used to simulate the response of five maize varieties to varying sowing dates in the southwestern region of China. Long-term simulations using meteorological data from Longchuan, Ruili, and Mangshi from 2012 to 2023 showed that the sowing dates between 15 May and 29 May yielded relatively high production with lower coefficients of variation. Early sowing significantly reduced the yield, while delaying sowing had a minimal impact on the yield but affected subsequent crop planting. The analysis also indicated that insufficient rainfall during the vegetative growth stage and low solar radiation during the reproductive growth stage were the main reasons for decreased yield in maize sown early.

Author Contributions

Conceptualization, W.L. (Wenrong Liu), Y.H. and W.L. (Wenfeng Li); methodology, W.L. (Wenrong Liu) and K.P.; software, W.L. (Wenrong Liu), L.X. and K.P.; validation, W.L. (Wenrong Liu) and X.C.; formal analysis, G.F. and X.C.; investigation, G.F. and L.X.; resources, W.X. and C.L.; data curation, W.L. (Wenrong Liu), Y.H., W.X. and K.P.; writing—original draft, W.L. (Wenrong Liu); writing—review and editing, W.L. (Wenrong Liu), W.L. (Wenfeng Li) and C.L.; supervision, W.L. (Wenfeng Li) and C.L.; project administration, W.L. (Wenfeng Li) and C.L.; funding acquisition, W.L. (Wenfeng Li) and C.L. All authors have read and agreed to the published version of the manuscript.

Funding

This research was funded by (1) the National Natural Science Foundation of China (project numbers: 32160420 and 31860331); (2) this research was also partially supported by the Major Science and Technology Special Projects in Yunnan Province (project number: 202202AE09002103).

Data Availability Statement

The datasets analyzed during this study are available from the corresponding author upon reasonable request.

Acknowledgments

The authors thank the anonymous reviewers for their kind suggestions and constructive comments.

Conflicts of Interest

Weihua Xiao was employed by the Dehong Agricultural Technology Extension Centre. Chao Li was employed by the Yunnan Meteorological Observatory. The remaining authors declare that this research was conducted without any commercial or financial relationships that could be construed as potential conflicts of interest.

References

  1. Cui, J.; Yan, P.; Wang, X.; Yang, J.; Li, Z.; Yang, X.; Sui, P.; Chen, Y. Integrated assessment of economic and environmental consequences of shifting cropping system from wheat-maize to monocropped maize in the North China Plain. J. Clean. Prod. 2018, 193, 524–532. [Google Scholar] [CrossRef]
  2. Wang, J.; Dong, X.; Qiu, R.; Lou, B.; Tian, L.; Chen, P.; Zhang, X.; Liu, X.; Sun, H. Optimization of sowing date and irrigation schedule of maize in different cropping systems by APSIM for realizing grain mechanical harvesting in the North China Plain. Agric. Water Manag. 2023, 276, 108068. [Google Scholar] [CrossRef]
  3. Kamara, A.Y.; Ekeleme, F.; Chikoye, D.; Omoigui, L.O. Planting date and cultivar effects on grain yield in dryland corn production. Agron. J. 2009, 101, 91–98. [Google Scholar] [CrossRef]
  4. Lan, T.Q.; Li, S.J.; Lan, H.J.; Deng, C.C.; Du, X.; Chen, M.H.; Cui, S.L.; Yuan, J.C.; Kong, F.L. Climatic resources and drought characteristics of maize sown in different dates in the hilly area of central Sichuan: A case study of Zhongjiang, Sichuan. Chin. J. Eco-Agric. 2022, 30, 1318–1327. [Google Scholar]
  5. Liu, J.H.; He, Q.; Guan, Y.; Su, C.; Yang, S.; Qin, Z.H.; Mi, X.Y.; Pan, X.B.; Tang, X.N.; Yang, M.L. Suitable sowing date for stable and high yield of summer maize in the northern region of Huang-Huai-Hai, China. Trans. Chin. Soc. Agric. Eng. 2022, 38, 131–138. [Google Scholar]
  6. Choi, Y.S.; Gim, H.J.; Ho, C.H.; Jeong, S.J.; Park, S.K.; Hayes, M.J. Climatic influence on corn sowing date in the Midwestern United States. Int. J. Climatol. 2017, 37, 1595–1602. [Google Scholar] [CrossRef]
  7. Baum, M.E.; Archontoulis, S.V.; Licht, M.A. Planting date, hybrid maturity, and weather effects on maize yield and crop stage. Agron. J. 2019, 111, 303–313. [Google Scholar] [CrossRef]
  8. Wu, Y.; Zhou, G.; Song, Y.; Zhou, L. Thresholds and extent of temperature effects on maize yield differ in different grain-filling stages. Sci. Total Environ. 2024, 918, 170709. [Google Scholar] [CrossRef]
  9. Tang, J.; Bai, H.; Zhang, S.; Xiao, D.; Tianzhu, Z.; Li Liu, D.; Wang, B.; Feng, P. Adaptations of potato production to future climate change by optimizing planting date, irrigation and fertilizer in the Agro-Pastoral Ecotone of China. Clim. Risk Manag. 2024, 44, 100604. [Google Scholar] [CrossRef]
  10. Van Bussel, L.; Waha, K.; Müller, C.; Bondeau, A. Climate-driven simulation of global crop sowing dates. In Proceedings of the Agro 2010 the XIth ESA Congress, Montpellier, France, 29 August–3 September 2010; pp. 943–944. [Google Scholar]
  11. Zhang, L.; Zhang, Z.; Luo, Y.; Cao, J.; Li, Z. Optimizing genotype-environment-management interactions for maize farmers to adapt to climate change in different agro-ecological zones across China. Sci. Total Environ. 2020, 728, 138614. [Google Scholar] [CrossRef]
  12. Djaman, K.; Allen, S.; Djaman, D.S.; Koudahe, K.; Irmak, S.; Puppala, N.; Darapuneni, M.K.; Angadi, S.V. Planting date and plant density effects on maize growth, yield and water use efficiency. Environ. Chall. 2022, 6, 100417. [Google Scholar] [CrossRef]
  13. Sabourifard, H.; Estakhr, A.; Bagheri, M.; Hosseini, S.J.; Keshavarz, H. The quality and quantity response of maize (Zea mays L.) yield to planting date and fertilizers management. Food Chem. Adv. 2023, 2, 100196. [Google Scholar] [CrossRef]
  14. Zhang, Z.T.; Yang, X.G.; Gao, J.Q.; Wang, X.Y.; Bai, F.; Sun, S.; Liu, Z.J.; Ming, B.; Xie, R.Z.; Wang, K.R.; et al. Analysis of Suitable Sowing Date for Summer Maize in North China Plain Under Climate Change. Sci. Agric. Sin. 2018, 51, 3258–3274. [Google Scholar]
  15. Cao, Z.; Chen, Z.; Tang, B.; Zeng, Q.; Guo, H.; Huang, W.; Luo, Y.; Shen, S.; Zhou, S. The effects of sowing date on maize: Phenology, morphology, and yield formation in a hot subtropical monsoon region. Field Crop Res. 2024, 309, 109309. [Google Scholar] [CrossRef]
  16. Zhu, G.; Liu, Z.; Qiao, S.; Zhang, Z.; Huang, Q.; Su, Z.; Yang, X. How could observed sowing dates contribute to maize potential yield under climate change in Northeast China based on APSIM model. Eur. J. Agron. 2022, 136, 126511. [Google Scholar] [CrossRef]
  17. Lv, Z.; Li, F.; Lu, G. Adjusting sowing date and cultivar shift improve maize adaption to climate change in China. Mitig. Adapt. Strateg. Glob. Chang. 2020, 25, 87–106. [Google Scholar] [CrossRef]
  18. Li, T.; Zhang, X.; Liu, Q.; Yan, P.; Liu, J.; Chen, Y.; Sui, P. Yield and yield stability of single cropping maize under different sowing dates and the corresponding changing trends of climatic variables. Field Crop Res. 2022, 285, 108589. [Google Scholar] [CrossRef]
  19. Tian, B.; Zhu, J.; Nie, Y.; Xu, C.; Meng, Q.; Wang, P. Mitigating heat and chilling stress by adjusting the sowing date of maize in the North China Plain. J. Agron. Crop Sci. 2019, 205, 77–87. [Google Scholar] [CrossRef]
  20. Wei, W.; Ma, Y.P.; E, Y.H.; Sun, L.L.; Jing, Y.S. Adaptability evaluation of GECROS simulating summer maize growth in the Yellow-Huaihe-Haihe Rivers. Acta Agron. Sin. 2015, 41, 123–135. [Google Scholar]
  21. Pang, Z.; Dong, S.; Zhang, J.; Tong, Z.; Liu, X.; Sun, Z. Evaluation and regionalization of maize vulnerability to drought disaster in Western Jilin Province based on CERES-Maize model. Chin. J. Eco-Agric. 2014, 22, 705–712. [Google Scholar]
  22. Zou, L.; Feng, H. Applicability evaluation of DSSAT-CERES model on production of spring maize in hill and gully area of the Loess Plateau. J. Plant Nutr. Fertil. 2014, 20, 1413–1420. [Google Scholar]
  23. Shao, G.C.; Wang, Z.Y.; Wang, X.J.; Tang, S.; Yao, H. Optimal Irrigation Schedule Based on DSSAT Model for Winter Wheat. Trans. Chin. Soc. Agric. Mach. 2019, 50, 289–297. [Google Scholar]
  24. Jones, J.W.; Hoogenboom, G.; Porter, C.H.; Boote, K.J.; Batchelor, W.D.; Hunt, L.A.; Wilkens, P.W.; Singh, U.; Gijsman, A.J.; Ritchie, J.T. The DSSAT cropping system model. Eur. J. Agron. 2003, 18, 235–265. [Google Scholar] [CrossRef]
  25. Liao, Z.; Zheng, J.; Fan, J.; Pei, S.; Dai, Y.; Zhang, F.; Li, Z. Novel models for simulating maize growth based on thermal time and photothermal units: Applications under various mulching practices. J. Integr. Agric. 2023, 22, 1381–1395. [Google Scholar] [CrossRef]
  26. Wang, Y.L.; Xu, C.X.; Bi, Y.Q.; Fan, J.; Guo, R.J.; Wang, J.; Fan, X.M. Progress of DSSAT-CSM Model Application in Maize Planting Research. Chin. J. Agrometeorol. 2023, 44, 492. [Google Scholar]
  27. Meng, J.H.; Wang, Y.N.; Lin, Z.X.; Fang, H.T. Progress and Perspective of Crop Growth Models. Trans. Chin. Soc. Agric. Mach. 2024, 55, 1–15. [Google Scholar]
  28. Amiri, E.; Irmak, S.; Araji, H.A. Assessment of CERES-Maize model in simulating maize growth, yield and soil water content under rainfed, limited and full irrigation. Agric. Water Manag. 2022, 259, 107271. [Google Scholar] [CrossRef]
  29. Gavasso Rita, Y.L.; Papalexiou, S.M.; Li, Y.; Elshorbagy, A.; Li, Z.; Schuster Wallace, C. Crop models and their use in assessing crop production and food security: A review. Food Energy Secur. 2024, 13, e503. [Google Scholar] [CrossRef]
  30. Dahri, S.H.; Shaikh, I.A.; Talpur, M.A.; Mangrio, M.A.; Dahri, Z.H.; Hoogenboom, G.; Knox, J.W. Modelling the impacts of climate change on the sustainability of rainfed and irrigated maize in Pakistan. Agric. Water Manag. 2024, 296, 108794. [Google Scholar] [CrossRef]
  31. Gunawat, A.; Sharma, D.; Sharma, A.; Dubey, S.K. Assessment of climate change impact and potential adaptation measures on wheat yield using the DSSAT model in the semi-arid environment. Nat. Hazards 2022, 11, 2077–2096. [Google Scholar] [CrossRef]
  32. Mubeen, M.; Ahmad, A.; Hammad, H.M.; Awais, M.; Farid, H.U.; Saleem, M.; Din, M.S.U.; Amin, A.; Ali, A.; Fahad, S. Evaluating the climate change impact on water use efficiency of cotton-wheat in semi-arid conditions using DSSAT model. J. Water Clim. Chang. 2020, 11, 1661–1675. [Google Scholar] [CrossRef]
  33. Kipkulei, H.K.; Bellingrath-Kimura, S.D.; Lana, M.; Ghazaryan, G.; Baatz, R.; Boitt, M.; Chisanga, C.B.; Rotich, B.; Sieber, S. Assessment of maize yield response to agricultural management strategies using the DSSAT–CERES-Maize model in trans Nzoia County in Kenya. Int. J. Plant Prod. 2022, 16, 557–577. [Google Scholar] [CrossRef]
  34. Tofa, A.I.; Chiezey, U.F.; Babaji, B.A.; Kamara, A.Y.; Adnan, A.A.; Beah, A.; Adam, A.M. Modeling planting-date effects on intermediate-maturing maize in contrasting environments in the Nigerian Savanna: An Application of DSSAT Model. Agronomy 2020, 10, 871. [Google Scholar] [CrossRef]
  35. Wang, Y.; Guo, F.; Shen, H.; Xing, X.; Ma, X. Global sensitivity analysis and evaluation of the DSSAT model for summer maize (Zea mays L.) under irrigation and fertilizer stress. Int. J. Plant Prod. 2021, 15, 523–539. [Google Scholar] [CrossRef]
  36. Rugira, P.; Ma, J.; Zheng, L.; Wu, C.; Liu, E. Application of DSSAT CERES-maize to identify the optimum irrigation management and sowing dates on improving maize yield in Northern China. Agronomy 2021, 11, 674. [Google Scholar] [CrossRef]
  37. Shen, H.; Xu, F.; Zhao, R.; Xing, X.; Ma, X. Optimization of Sowing Date, Irrigation, and Nitrogen Management of Summer Maize Using the DSSAT-CERES-Maize Model in the Guanzhong Plain, China. Trans. ASABE 2020, 63, 789–797. [Google Scholar] [CrossRef]
  38. Wang, X.; Li, X.; Lou, Y.; You, S.; Zhao, H. Refined Evaluation of Climate Suitability of Maize at Various Growth Stages in Major Maize-Producing Areas in the North of China. Agronomy 2024, 14, 344. [Google Scholar] [CrossRef]
  39. Zhang, N.; Qu, Y.; Song, Z.; Chen, Y.; Jiang, J. Responses and sensitivities of maize phenology to climate change from 1971 to 2020 in Henan Province, China. PLoS ONE 2022, 17, e262289. [Google Scholar] [CrossRef]
  40. Dong, W.B.; Feng, W.Z.; Qu, M.Y.; Feng, H.; Yu, Q. Influences of Climate Change on Productivity of Winter Wheat and Summer Maize Rotation System in Huang-Huai-Hai Plain. Trans. Chin. Soc. Agric. Mach. 2024, 1–21. [Google Scholar]
  41. He, J.; Dukes, M.D.; Jones, J.W.; Graham, W.D.; Judge, J. Applying GLUE for estimating CERES-Maize genetic and soil parameters for sweet corn production. Trans. ASABE 2009, 52, 1907–1921. [Google Scholar] [CrossRef]
  42. Han, X.; Dong, L.; Cao, Y.; Lyu, Y.; Shao, X.; Wang, Y.; Wang, L. Adaptation to climate change effects by cultivar and sowing date selection for maize in the Northeast China Plain. Agronomy 2022, 12, 984. [Google Scholar] [CrossRef]
  43. Lu, H.; Xue, J.; Guo, D. Efficacy of planting date adjustment as a cultivation strategy to cope with drought stress and increase rainfed maize yield and water-use efficiency. Agric. Water Manag. 2017, 179, 227–235. [Google Scholar] [CrossRef]
  44. Asseng, S.; Ewert, F.; Martre, P.; Rötter, R.P.; Lobell, D.B.; Cammarano, D.; Kimball, B.A.; Ottman, M.J.; Wall, G.W.; White, J.W. Rising temperatures reduce global wheat production. Nat. Clim. Chang. 2015, 5, 143–147. [Google Scholar] [CrossRef]
  45. Rezaei, E.E.; Webber, H.; Asseng, S.; Boote, K.; Durand, J.L.; Ewert, F.; Martre, P.; MacCarthy, D.S. Climate change impacts on crop yields. Nat. Rev. Earth Environ. 2023, 4, 831–846. [Google Scholar] [CrossRef]
  46. Zhou, B.Y.; Ma, W.; Sun, X.F.; Gao, Z.H.; Ding, Z.S.; Li, C.F.; Zhao, M. Effects of Different Sowing and Harvest Dates of Winter WheatSummer Maize Under Double Cropping System on the Annual Climate Resource Distribution and Utilization. Sci. Agric. Sin. 2019, 52, 1501–1517. [Google Scholar]
  47. Gong, J.; Liu, Z.; Zhu, G.; Shi, D.; Zhang, Z.; Fu, Z.; Lu, X.; Qu, H.; Yang, X. Effects of climate change on maize productivity in China during 2015 to 2100 based on APSIM model. Trans. Chin. Soc. Agric. Eng. 2023, 39, 167–178. [Google Scholar]
  48. Liu, Z.; Wang, X.Y.; Liu, D.Y.; Zan, X.L.; Zhao, Z.L.; Li, S.M.; Zhang, X.D. Spatial distribution of high temperature risk on summer maize in Huang-huai-hai Plain based on MODIS data. Trans. Chin. Soc. Agric. Eng. 2018, 34, 175–181. [Google Scholar]
  49. Dou, P.; Li, X.D.; Kong, F.L.; Wang, X.L.; Ma, X.J.; Zhang, J.L.; Yuan, J.C. Effect of sowing date on dry matter accumulation and yield of maize in hilly regions of Sichuan Province, China. Chin. J. Eco-Agric. 2017, 25, 221–229. [Google Scholar]
  50. Wu, W.; Yue, W.; Bi, J.; Zhang, L.; Xu, D.; Peng, C.; Chen, X.; Wang, S. Influence of climatic variables on maize grain yield and its components by adjusting the sowing date. Front. Plant Sci. 2024, 15, 1411009. [Google Scholar] [CrossRef] [PubMed]
  51. Guo, D.; Chen, C.; Li, X.; Wang, R.; Ding, Z.; Ma, W.; Wang, X.; Li, C.; Zhao, M.; Li, M. Adjusting sowing date improves the photosynthetic capacity and grain yield by optimizing temperature condition around flowering of summer maize in the North China Plain. Front. Plant Sci. 2022, 13, 934618. [Google Scholar] [CrossRef] [PubMed]
Figure 1. Study station locations.
Figure 1. Study station locations.
Agronomy 14 02819 g001
Figure 2. Comparison of measured and simulated values for days from sowing to flowering (a), days from sowing to maturity (b), and grain yield (c).
Figure 2. Comparison of measured and simulated values for days from sowing to flowering (a), days from sowing to maturity (b), and grain yield (c).
Agronomy 14 02819 g002
Figure 3. The duration of days from sowing to flowering and maturity for maize sown on various dates. Note: each box plot is based on 13 years of meteorological data to simulate the growth period. The upper and lower limits of each box are the upper and lower quartiles of the data, respectively. ▲ represents the average of the data.
Figure 3. The duration of days from sowing to flowering and maturity for maize sown on various dates. Note: each box plot is based on 13 years of meteorological data to simulate the growth period. The upper and lower limits of each box are the upper and lower quartiles of the data, respectively. ▲ represents the average of the data.
Agronomy 14 02819 g003
Figure 4. Prediction results of maize yield using DSSAT model on different planting dates of 5 maize cultivars from 2012 to 2023. Note: the blue dashed line represents the average yield for all sowing periods in all years. ▲ represents the average of the data.
Figure 4. Prediction results of maize yield using DSSAT model on different planting dates of 5 maize cultivars from 2012 to 2023. Note: the blue dashed line represents the average yield for all sowing periods in all years. ▲ represents the average of the data.
Agronomy 14 02819 g004
Figure 5. Coefficients of variation of maize yield predicted using DSSAT model for sowing dates from 2012 to 2023.
Figure 5. Coefficients of variation of maize yield predicted using DSSAT model for sowing dates from 2012 to 2023.
Agronomy 14 02819 g005
Figure 6. Box plot distribution of solar radiation, maximum temperature, minimum temperature, and total rainfall during vegetative period, reproductive period, and whole growth period of maize on each planting date from 2012 to 2023. ▲ represents the average of the data.
Figure 6. Box plot distribution of solar radiation, maximum temperature, minimum temperature, and total rainfall during vegetative period, reproductive period, and whole growth period of maize on each planting date from 2012 to 2023. ▲ represents the average of the data.
Agronomy 14 02819 g006
Table 1. Profile of soil physical and chemical properties.
Table 1. Profile of soil physical and chemical properties.
Depth
(cm)
Bulk Density
(g/cm3)
Saturate Water Content
(cm3/cm3)
Field Capacity
(cm3/cm3)
Organic Carbon
(100%)
pH
1–101.28 0.52 0.44 1.52 5.23
10–201.28 0.52 0.44 1.52 5.83
20–301.23 0.54 0.46 1.31 5.93
30–501.18 0.56 0.48 1.21 6.03
50–701.14 0.58 0.50 1.11 6.13
70–901.14 0.58 0.501.11 6.33
90–1001.14 0.58 0.50 0.90 6.33
Table 2. Genetic coefficients of maize cultivars used in this study.
Table 2. Genetic coefficients of maize cultivars used in this study.
CoefficientValue RangeDescriptionYudan-8Guidan-8Huidan-4Deyu-5Yunrui-8
P1100–400Degree days (base 8 °C) from emergence to end of juvenile phase249.1272.4233.8261.9293.4
P20–4Photoperiod sensitivity coefficient 1.7671.7441.4761.4091.226
P5600–1000Degree days (base 8 °C) from silking to physiological maturity946.3992.0994.2989.1996.6
G2560–850Potential kernel number 698.1834.9653.8822.8661.2
G35–12Potential kernel growth rate mg/(kernel d)7.439.478.379.408.75
PHINT35–55Degree days required for a leaf tip to emerge (phyllochron interval) (°C d)40.3541.6736.9040.2739.21
Table 3. Verification results of different cultivars using DSSAT-CERES-Maize model.
Table 3. Verification results of different cultivars using DSSAT-CERES-Maize model.
VarietyItem R 2 RMSEnRMSEd
Yudan 8 Days from sowing to flowering (days)0.94 3.50 5.76%0.80
Days from sowing to maturity (days)0.75 3.35 2.86%0.90
Yield ( k g / h m 2 )0.77 501.06 6.79%0.90
Huidan 4 Days from sowing to flowering (days)0.76 2.40 3.61%0.84
Days from sowing to maturity (days)0.74 3.11 4.58%0.91
Yield ( k g / h m 2 )0.77 796.81 7.93%0.88
Guidan 8 Days from sowing to flowering (days)0.75 2.26 3.58%0.92
Days from sowing to maturity (days)0.79 2.47 2.05%0.81
Yield ( k g / h m 2 )0.81 421.32 5.86%0.92
Deyu 5Days from sowing to flowering (days)0.75 3.46 5.35%0.72
Days from sowing to maturity (days)0.93 4.57 3.65%0.77
Yield ( k g / h m 2 )0.93 427.70 4.43%0.95
Yunrui 8Days from sowing to flowering (days)0.74 2.60 4.03%0.89
Days from sowing to maturity (days)0.85 3.72 3.12%0.86
Yield ( k g / h m 2 )0.75 456.88 5.67%0.96
Table 4. Relationships between maize yield and meteorological conditions during sowing to flowering, flowering to maturity, and whole growth stage.
Table 4. Relationships between maize yield and meteorological conditions during sowing to flowering, flowering to maturity, and whole growth stage.
Climate VariableVegetative PeriodReproductive PeriodWhole Growth Stage
YieldYieldYield
SRAD−0.225 **0.309 **−0.004 ns
Tmax−0.159 **0.072 **−0.019 ns
Tmin0.102 **0.075 **0.075 **
Tavg−0.053 *0.101 **0.022 ns
Rain0.268 **−0.205 **0.019 ns
ns: not significant; * and **: significant at 0.05 and 0.01; SRAD: solar radiation; Tmax: maximum temperature; Tmin: minimum temperature; Tavg: average temperature.
Disclaimer/Publisher’s Note: The statements, opinions and data contained in all publications are solely those of the individual author(s) and contributor(s) and not of MDPI and/or the editor(s). MDPI and/or the editor(s) disclaim responsibility for any injury to people or property resulting from any ideas, methods, instructions or products referred to in the content.

Share and Cite

MDPI and ACS Style

Li, W.; Liu, W.; Huang, Y.; Xiao, W.; Xu, L.; Pan, K.; Fu, G.; Chen, X.; Li, C. Modeling the Effects of Sowing Dates on Maize in Different Environments in the Tropical Area of Southwest China Using DSSAT. Agronomy 2024, 14, 2819. https://doi.org/10.3390/agronomy14122819

AMA Style

Li W, Liu W, Huang Y, Xiao W, Xu L, Pan K, Fu G, Chen X, Li C. Modeling the Effects of Sowing Dates on Maize in Different Environments in the Tropical Area of Southwest China Using DSSAT. Agronomy. 2024; 14(12):2819. https://doi.org/10.3390/agronomy14122819

Chicago/Turabian Style

Li, Wenfeng, Wenrong Liu, Yue Huang, Weihua Xiao, Lei Xu, Kun Pan, Guodong Fu, Xiuyue Chen, and Chao Li. 2024. "Modeling the Effects of Sowing Dates on Maize in Different Environments in the Tropical Area of Southwest China Using DSSAT" Agronomy 14, no. 12: 2819. https://doi.org/10.3390/agronomy14122819

APA Style

Li, W., Liu, W., Huang, Y., Xiao, W., Xu, L., Pan, K., Fu, G., Chen, X., & Li, C. (2024). Modeling the Effects of Sowing Dates on Maize in Different Environments in the Tropical Area of Southwest China Using DSSAT. Agronomy, 14(12), 2819. https://doi.org/10.3390/agronomy14122819

Note that from the first issue of 2016, this journal uses article numbers instead of page numbers. See further details here.

Article Metrics

Back to TopTop