Plant Spacing Effects on Stem Development and Secondary Growth in Nicotiana tabacum
Abstract
:1. Introduction
2. Materials and Methods
2.1. Plant Material and Growth Conditions
2.2. Measurements of Stem Girth and Microscopy
2.3. Chemical Composition of Secondary Cell Wall and Nutrient Content Analysis
2.4. Phylogenetic Analysis and Transactivation Activity Assay of NtHB8sy, NtHB8to, NtNST3sy, NtNST3to
2.5. Transcription-Polymerase Chain Reaction (qRT-PCR) Analysis
2.6. cis-Acting Regulatory Element Analysis
2.7. Statistical Analysis
3. Results
3.1. Effect of Plant Spacing on Vascular Bundle of Tobacco Stem
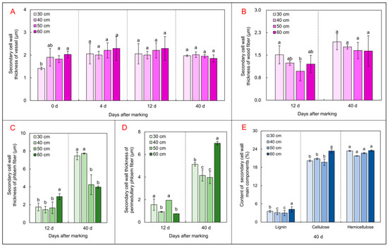
3.2. Effect of Plant Spacing on Secondary Cell Wall Formation
3.3. Effect of Plant Spacing on NtHB8s and NtNST3s Genes Expression
3.4. cis-Acting Element Analysis of Key Genes
3.5. Effect of Plant Spacing on Nutrient Content
4. Discussion
4.1. Anatomic Structure and Gene Expression Pattern Analysis of the Transition from Primary to Secondary Stem Development
4.2. Morphological Structure, Chemical Composition, and Gene Expression Pattern Response of Tobacco to Plant Spacing
5. Conclusions
Supplementary Materials
Author Contributions
Funding
Data Availability Statement
Acknowledgments
Conflicts of Interest
References
- Sanchez, P.; Nehlin, L.; Greb, T. From thin to thick: Major transitions during stem development. Trends Plant Sci. 2012, 17, 113–121. [Google Scholar] [CrossRef] [PubMed]
- Notaguchi, M.; Okamoto, S. Dynamics of long-distance signaling via plant vascular tissues. Front. Plant Sci. 2015, 6, 161. [Google Scholar] [CrossRef] [PubMed]
- Spicer, R.; Groover, A. Evolution of development of vascular cambia and secondary growth. New Phytol. 2010, 186, 577–592. [Google Scholar] [CrossRef] [PubMed]
- Campbell, L.; Turner, S. Regulation of vascular cell division. J. Exp. Bot. 2017, 68, 27–43. [Google Scholar] [CrossRef]
- Agusti, J.; Blazquez, M.A. Plant vascular development: Mechanisms and environmental regulation. Cell Mol. Life Sci. 2020, 77, 3711–3728. [Google Scholar] [CrossRef]
- De Rybel, B.; Mahonen, A.P.; Helariutta, Y.; Weijers, D. Plant vascular development: From early specification to differentiation. Nat. Rev. Mol. Cell Biol. 2016, 17, 30–40. [Google Scholar] [CrossRef]
- Ruonala, R.; Ko, D.; Helariutta, Y. Genetic Networks in Plant Vascular Development. Annu. Rev. Genet. 2017, 51, 335–359. [Google Scholar] [CrossRef]
- Zhang, J.; Elo, A.; Helariutta, Y. Arabidopsis as a model for wood formation. Curr. Opin. Biotechnol. 2011, 22, 293–299. [Google Scholar] [CrossRef]
- Elo, A.; Immanen, J.; Nieminen, K.; Helariutta, Y. Stem cell function during plant vascular development. Semin. Cell Dev. Biol. 2009, 20, 1097–1106. [Google Scholar] [CrossRef]
- Barra-Jimenez, A.; Ragni, L. Secondary development in the stem: When Arabidopsis and trees are closer than it seems. Curr. Opin. Plant Biol. 2017, 35, 145–151. [Google Scholar] [CrossRef]
- Etchells, J.P.; Smit, M.E.; Gaudinier, A.; Williams, C.J.; Brady, S.M. A brief history of the TDIF-PXY signalling module: Balancing meristem identity and differentiation during vascular development. New Phytol. 2016, 209, 474–484. [Google Scholar] [CrossRef] [PubMed]
- Zhou, J.; Sebastian, J.; Lee, J.Y. Signaling and gene regulatory programs in plant vascular stem cells. Genesis 2011, 49, 885–904. [Google Scholar] [CrossRef]
- Du, J.; Groover, A. Transcriptional regulation of secondary growth and wood formation. J. Integr. Plant Biol. 2010, 52, 17–27. [Google Scholar] [CrossRef]
- Baima, S.; Possenti, M.; Matteucci, A.; Wisman, E.; Altamura, M.M.; Ruberti, I.; Morelli, G. The Arabidopsis ATHB-8 HD-zip protein acts as a differentiation-promoting transcription factor of the vascular meristems. Plant Physiol. 2001, 126, 643–655. [Google Scholar] [CrossRef] [PubMed]
- Kang, J.; Tang, J.; Donnelly, P.; Dengler, N. Primary vascular pattern and expression of ATHB-8 in shoots of Arabidopsis. New Phytol. 2003, 158, 443–454. [Google Scholar] [CrossRef] [PubMed]
- Ye, Z.H. Vascular tissue differentiation and pattern formation in plants. Annu. Rev. Plant Biol. 2002, 53, 183–202. [Google Scholar] [CrossRef]
- Mitsuda, N.; Iwase, A.; Yamamoto, H.; Yoshida, M.; Seki, M.; Shinozaki, K.; Ohme-Takagi, M. NAC transcription factors, NST1 and NST3, are key regulators of the formation of secondary walls in woody tissues of Arabidopsis. Plant Cell 2007, 19, 270–280. [Google Scholar] [CrossRef]
- Zhong, R.Q.; Ye, Z.H. Regulation of cell wall biosynthesis. Curr. Opin. Plant Biol. 2007, 10, 564–572. [Google Scholar] [CrossRef]
- Zhu, Y.; Song, D.; Sun, J.; Wang, X.; Li, L. PtrHB7, a class III HD-Zip gene, plays a critical role in regulation of vascular cambium differentiation in Populus. Mol. Plant 2013, 6, 1331–1343. [Google Scholar] [CrossRef]
- Ko, J.H.; Prassinos, C.; Han, K.H. Developmental and seasonal expression of PtaHB1, a Populus gene encoding a class III HD-Zip protein, is closely associated with secondary growth and inversely correlated with the level of microRNA (miR166). New Phytol. 2006, 169, 469–478. [Google Scholar] [CrossRef]
- Zhong, R.Q.; Ye, Z.H. Complexity of the transcriptional network controlling secondary wall biosynthesis. Plant Sci. 2014, 229, 193–207. [Google Scholar] [CrossRef] [PubMed]
- Zhong, R.; Ye, Z.H. The poplar PtrWNDs are transcriptional activators of secondary cell wall biosynthesis. Plant Signal Behav. 2010, 5, 469–472. [Google Scholar] [CrossRef] [PubMed]
- Bastos, L.M.; Carciochi, W.; Lollato, R.P.; Jaenisch, B.R.; Ciampitti, I.A. Winter Wheat Yield Response to Plant Density as a Function of Yield Environment and Tillering Potential: A Review and Field Studies. Front. Plant Sci. 2020, 11, 54. [Google Scholar] [CrossRef] [PubMed]
- Hu, L.; Pan, X.; Wang, X.; Hu, Q.; Wang, X.; Zhang, H.; Xue, Q.; Song, M. Cotton photosynthetic productivity enhancement through uniform row-spacing with optimal plant density in Xinjiang, China. Crop Sci. 2021, 61, 2745–2758. [Google Scholar] [CrossRef]
- Abichou, M.; de Solan, B.; Andrieu, B. Architectural Response of Wheat Cultivars to Row Spacing Reveals Altered Perception of Plant Density. Front. Plant Sci. 2019, 10, 999. [Google Scholar] [CrossRef]
- Amare, G.; Gebremedhin, H. Effect of Plant Spacing on Yield and Yield Components of Tomato (Solanum lycopersicum L.) in Shewarobit, Central Ethiopia. Scientifica 2020, 2020, 8357237. [Google Scholar]
- Legard, D.E.; Xiao, C.L.; Mertely, J.C.; Chandler, C.K. Effects of Plant Spacing and Cultivar on Incidence of Botrytis Fruit Rot in Annual Strawberry. Plant Dis. 2000, 84, 531–538. [Google Scholar] [CrossRef]
- Yoshimoto, K.; Takamura, H.; Kadota, I.; Motose, H.; Takahashi, T. Chemical control of xylem differentiation by thermospermine, xylemin, and auxin. Sci. Rep. 2016, 6, 21487. [Google Scholar] [CrossRef]
- Robischon, M.; Du, J.; Miura, E.; Groover, A. The Populus Class III HD ZIP, popREVOLUTA, Influences Cambium Initiation and Patterning of Woody Stems. Plant Physiol. 2011, 155, 1214–1225. [Google Scholar] [CrossRef]
- Van Soest, P.J.; Robertson, J.B.; Lewis, B.A. Methods for dietary fiber, neutral detergent fiber, and nonstarch polysaccharides in relation to animal nutrition. J. Dairy Sci. 1991, 74, 3583–3597. [Google Scholar] [CrossRef]
- Intapun, J.; Rungruang, T.; Suchat, S.; Cherdchim, B.; Hiziroglu, S. The Characteristics of Natural Rubber Composites with Klason Lignin as a Green Reinforcing Filler: Thermal Stability, Mechanical and Dynamical Properties. Polymers 2021, 13, 1109. [Google Scholar] [CrossRef]
- Misra, R.K.; Turnbull, C.R.A.; Cromer, R.N.; Gibbons, A.K.; LaSala, A.V.; Ballard, L.M. Below-and above-ground growth of Eucalyptus nitens in a young plantation—II. Nitrogen and phosphorus. For. Ecol. Manag. 1998, 106, 295–306. [Google Scholar] [CrossRef]
- McLeod, S. Determination of total soil and plant nitrogen using a micro-distillation unit in a continuous flow analyzer. Anal. Chim. Acta 1992, 266, 113–117. [Google Scholar] [CrossRef]
- Ozturk, M.; Uysal, I.; Yucel, E.; Altay, V.; Karabacak, E. Soil-plant interactions in the monumental plane trees (Platanus orientalis) grove-Canakkale-Turkey. J. Environ. Biol. 2017, 38, 1129–1137. [Google Scholar] [CrossRef]
- Xu, N.; Meng, L.; Song, L.; Li, X.; Du, S.; Hu, F.; Lv, Y.; Song, W. Identification and Characterization of Secondary Wall-Associated NAC Genes and Their Involvement in Hormonal Responses in Tobacco (Nicotiana tabacum). Front. Plant Sci. 2021, 12, 712254. [Google Scholar] [CrossRef]
- Lescot, M.; Dehais, P.; Thijs, G.; Marchal, K.; Moreau, Y.; Van de Peer, Y.; Rouze, P.; Rombauts, S. PlantCARE, a database of plant cis-acting regulatory elements and a portal to tools for in silico analysis of promoter sequences. Nucleic Acids Res. 2002, 30, 325–327. [Google Scholar] [CrossRef]
- Jura-Morawiec, J.; Tulik, M.; Iqbal, M. Lateral Meristems Responsible for Secondary Growth of the Monocotyledons: A Survey of the State of the Art. Bot. Rev. 2015, 81, 150–161. [Google Scholar] [CrossRef] [PubMed]
- Turley, E.K.; Etchells, J.P. Laying it on thick: A study in secondary growth. J. Exp. Bot. 2022, 73, 665–679. [Google Scholar] [CrossRef] [PubMed]
- Chaffey, N.; Cholewa, E.; Regan, S.; Sundberg, B. Secondary xylem development in Arabidopsis: A model for wood formation. Physiol. Plant. 2002, 114, 594–600. [Google Scholar] [CrossRef]
- Nieminen, K.M.; Kauppinen, L.; Helariutta, Y. A weed for wood? Arabidopsis as a genetic model for xylem development. Plant Physiol. 2004, 135, 653–659. [Google Scholar] [CrossRef]
- Wang, D.; Chen, Y.; Li, W.; Li, Q.; Lu, M.; Zhou, G.; Chai, G. Vascular Cambium: The Source of Wood Formation. Front. Plant Sci. 2021, 12, 700928. [Google Scholar] [CrossRef]
- Schrader, J.; Moyle, R.; Bhalerao, R.; Hertzberg, M.; Lundeberg, J.; Nilsson, P.; Bhalerao, R.P. Cambial meristem dormancy in trees involves extensive remodelling of the transcriptome. Plant J. 2004, 40, 173–187. [Google Scholar] [CrossRef]
- Bhalerao, R.P.; Fischer, U. Environmental and hormonal control of cambial stem cell dynamics. J. Exp. Bot. 2017, 68, 79–87. [Google Scholar] [CrossRef]
- Sterky, F.; Regan, S.; Karlsson, J.; Hertzberg, M.; Rohde, A.; Holmberg, A.; Amini, B.; Bhalerao, R.; Larsson, M.; Villarroel, R.; et al. Gene discovery in the wood-forming tissues of poplar: Analysis of 5692 expressed sequence tags. Proc. Natl. Acad. Sci. USA 1998, 95, 13330–13335. [Google Scholar] [CrossRef] [PubMed]
- Dharmawardhana, P.; Brunner, A.M.; Strauss, S.H. Genome-wide transcriptome analysis of the transition from primary to secondary stem development in Populus trichocarpa. BMC Genom. 2010, 11, 150. [Google Scholar] [CrossRef]
- Lu, T.; Liu, L.; Wei, M.; Liu, Y.; Qu, Z.; Yang, C.; Wei, H.; Wei, Z. The Effect of Poplar PsnGS1.2 Overexpression on Growth, Secondary Cell Wall, and Fiber Characteristics in Tobacco. Front. Plant Sci. 2018, 9, 9. [Google Scholar] [CrossRef] [PubMed]
- Shah, A.N.; Tanveer, M.; Abbas, A.; Yildirim, M.; Shah, A.A.; Ahmad, M.I.; Wang, Z.; Sun, W.; Song, Y. Combating Dual Challenges in Maize Under High Planting Density: Stem Lodging and Kernel Abortion. Front. Plant Sci. 2021, 12, 699085. [Google Scholar] [CrossRef] [PubMed]
- Nieminen, K.; Blomster, T.; Helariutta, Y.; Mahonen, A.P. Vascular Cambium Development. Arab. Book 2015, 13, e0177. [Google Scholar] [CrossRef] [PubMed]
- Lucas, W.J.; Groover, A.; Lichtenberger, R.; Furuta, K.; Yadav, S.R.; Helariutta, Y.; He, X.Q.; Fukuda, H.; Kang, J.; Brady, S.M.; et al. The plant vascular system: Evolution, development and functions. J. Integr. Plant Biol. 2013, 55, 294–388. [Google Scholar] [CrossRef]
- Souza, L.A.; Tavares, R. Nitrogen and Stem Development: A Puzzle Still to Be Solved. Front. Plant Sci. 2021, 12, 630587. [Google Scholar] [CrossRef]
- Gall, H.; Philippe, F.; Domon, J.M.; Gillet, F.O.; Pelloux, J.M.; Rayon, C. Cell Wall Metabolism in Response to Abiotic Stress. Plants 2015, 4, 112–166. [Google Scholar] [CrossRef] [PubMed]
- Falcioni, R.; Moriwaki, T.; de Oliveira, D.M.; Andreotti, G.C.; de Souza, L.A.; Dos Santos, W.D.; Bonato, C.M.; Antunes, W.C. Increased Gibberellins and Light Levels Promotes Cell Wall Thickness and Enhance Lignin Deposition in Xylem Fibers. Front. Plant Sci. 2018, 9, 1391. [Google Scholar] [CrossRef] [PubMed]
- Ibrahim, I.A.E.; Yehia, W.M.B.; Saleh, F.H.; Lamlom, S.F.; Ghareeb, R.Y.; El-Banna, A.A.A.; Abdelsalam, N.R. Impact of Plant Spacing and Nitrogen Rates on Growth Characteristics and Yield Attributes of Egyptian Cotton (Gossypium barbadense L.). Front. Plant Sci. 2022, 13, 916734. [Google Scholar] [CrossRef]
- Papadopoulos, A.P.; Pararajasingham, S. The influence of plant spacing on light interception and use in greenhouse tomato (Lycopersicon esculentum Mill.): A review. Sci. Hortic. 1997, 69, 1–29. [Google Scholar] [CrossRef]
- Postma, J.A.; Hecht, V.L.; Hikosaka, K.; Nord, E.A.; Pons, T.L.; Poorter, H. Dividing the pie: A quantitative review on plant density responses. Plant Cell Environ. 2021, 44, 1072–1094. [Google Scholar] [CrossRef] [PubMed]
- Warnasooriya, S.N.; Brutnell, T.P. Enhancing the productivity of grasses under high-density planting by engineering light responses: From model systems to feedstocks. J. Exp. Bot. 2014, 65, 2825–2834. [Google Scholar] [CrossRef]







| Gene | Light | Circadian | Auxin | ABA | GA | MeJA | SA | Anaerobic | Low-Temperature | MYB | MYC |
|---|---|---|---|---|---|---|---|---|---|---|---|
| NtHB8syP | 18 | 1 | / | 1 | / | 2 | / | 4 | 3 | 14 | 8 |
| NtHB8toP | 19 | 1 | / | 3 | / | 4 | 2 | / | 2 | 9 | 8 |
| NtNST3syP | 20 | / | 2 | 6 | 2 | 6 | 4 | / | 2 | 8 | 2 |
| NtNST3toP | 12 | / | 2 | / | 2 | 10 | 1 | / | 1 | 4 | 7 |
Disclaimer/Publisher’s Note: The statements, opinions and data contained in all publications are solely those of the individual author(s) and contributor(s) and not of MDPI and/or the editor(s). MDPI and/or the editor(s) disclaim responsibility for any injury to people or property resulting from any ideas, methods, instructions or products referred to in the content. |
© 2023 by the authors. Licensee MDPI, Basel, Switzerland. This article is an open access article distributed under the terms and conditions of the Creative Commons Attribution (CC BY) license (https://creativecommons.org/licenses/by/4.0/).
Share and Cite
Xu, N.; Meng, L.; Tang, F.; Du, S.; Xu, Y.; Kuang, S.; Lv, Y.; Song, W.; Li, Y.; Qi, W.; et al. Plant Spacing Effects on Stem Development and Secondary Growth in Nicotiana tabacum. Agronomy 2023, 13, 2142. https://doi.org/10.3390/agronomy13082142
Xu N, Meng L, Tang F, Du S, Xu Y, Kuang S, Lv Y, Song W, Li Y, Qi W, et al. Plant Spacing Effects on Stem Development and Secondary Growth in Nicotiana tabacum. Agronomy. 2023; 13(8):2142. https://doi.org/10.3390/agronomy13082142
Chicago/Turabian StyleXu, Na, Lin Meng, Fang Tang, Shasha Du, Yanli Xu, Shuai Kuang, Yuanda Lv, Wenjing Song, Yang Li, Weicong Qi, and et al. 2023. "Plant Spacing Effects on Stem Development and Secondary Growth in Nicotiana tabacum" Agronomy 13, no. 8: 2142. https://doi.org/10.3390/agronomy13082142
APA StyleXu, N., Meng, L., Tang, F., Du, S., Xu, Y., Kuang, S., Lv, Y., Song, W., Li, Y., Qi, W., & Zhang, Y. (2023). Plant Spacing Effects on Stem Development and Secondary Growth in Nicotiana tabacum. Agronomy, 13(8), 2142. https://doi.org/10.3390/agronomy13082142

