Mechanisms of Cadmium Tolerance and Detoxification in Two Ornamental Plants
Abstract
1. Introduction
2. Materials and Methods
2.1. Plant Material
2.2. Pot Experiment
2.3. Analysis of Cd in Plant Materials
2.4. Separation of Cd Subcellular Fractions
2.5. Extraction of the Chemical Forms of Cd
2.6. Determination of the Antioxidative Enzyme Activity
2.7. Evaluation of Membrane Damage
2.8. Calculation of Relevant Parameters
2.9. Statistical Analysis
3. Results
3.1. Tolerance and Repair Potential of Two Ornamental Plants
3.1.1. Plant Growth and Tolerance Index
3.1.2. Concentration and Accumulation of Cd
3.2. Subcellular Distribution of Cd in Two Ornamental Plants
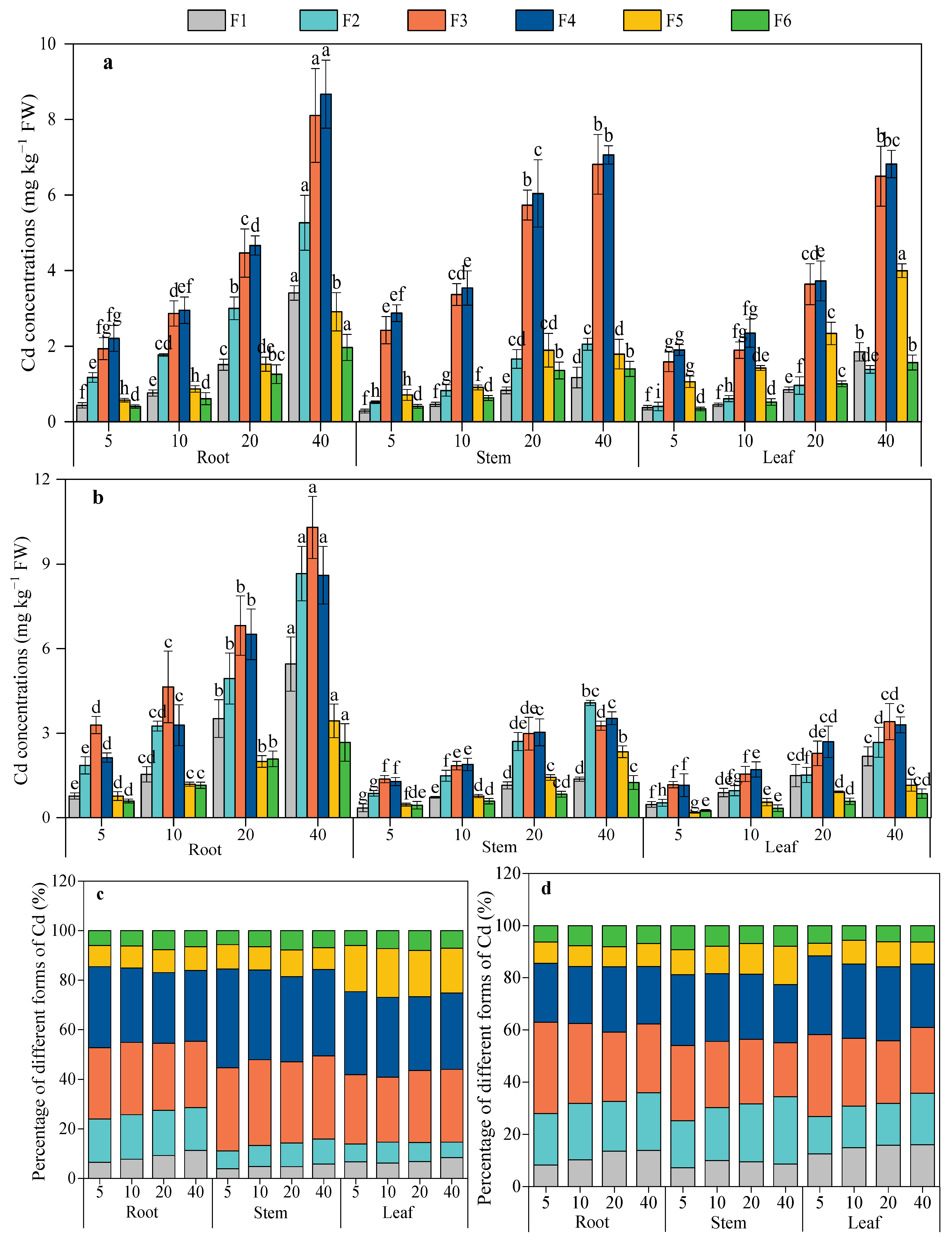
3.3. Chemical Forms of Cd in Two Ornamental Plants
3.4. Antioxidant System in Both Ornamental Plants
3.4.1. Antioxidant Enzyme Activity
3.4.2. Lipid Peroxidation and Membrane Permeability
4. Discussion
4.1. Differences in Cd Tolerance and Remediation Potential of Two Ornamental Plants
4.2. The Cd Tolerance and Detoxification Mechanisms of the Two Ornamental Plants
5. Conclusions
Author Contributions
Funding
Data Availability Statement
Acknowledgments
Conflicts of Interest
References
- Zhang, X.; Zhang, S.; Xu, X.; Li, T.; Gong, G.; Jia, Y.; Li, Y.; Deng, L. Tolerance and accumulation characteristics of cadmium in Amaranthus hybridus L. J. Hazard. Mater. 2010, 180, 303–308. [Google Scholar] [CrossRef]
- Xu, X.; Zhang, S.; Xian, J.; Yang, Z.; Cheng, Z.; Li, T.; Jia, Y.; Pu, Y.; Li, Y. Subcellular distribution, chemical forms and thiol synthesis involved in cadmium tolerance and detoxification in Siegesbeckia orientalis L. Int. J. Phytoremediat. 2018, 20, 973–980. [Google Scholar] [CrossRef]
- Zhang, X.; Chen, D.; Zhong, T.; Zhang, X.; Cheng, M.; Li, X. Assessment of cadmium (Cd) concentration in arable soil in China. Environ. Sci. Pollut. Res. 2015, 22, 4932–4941. [Google Scholar] [CrossRef]
- Wang, C.; Rong, H.; Zhang, X.; Shi, W.; Hong, X.; Liu, W.; Cao, T.; Yu, X.; Yu, Q. Effects and mechanisms of foliar application of silicon and selenium composite sols on diminishing cadmium and lead translocation and affiliated physiological and biochemical responses in hybrid rice (Oryza sativa L.) exposed to cadmium and lead. Chemosphere 2020, 251, 126347. [Google Scholar] [CrossRef]
- Nogawa, K.; Yamada, Y.; Honda, R.; Ishizaki, M.; Tsuritani, I.; Kawano, S.; Kato, T. The relationship between itai-itai disease among inhabitants of the jinzu river basin and cadmium in rice. Toxicol. Lett. 1983, 17, 263–266. [Google Scholar] [CrossRef]
- Ali, H.; Khan, E.; Sajad, M.A. Phytoremediation of heavy metals-concepts and applications. Chemosphere 2013, 91, 869–881. [Google Scholar] [CrossRef]
- Kumar, A.; Tripti; Raj, D.; Maiti, S.K.; Maleva, M.; Borisova, G. Soil pollution and plant efficiency indices for phytoremediation of heavy metal (loid)s: Two-decade study (2002–2021). Metals 2022, 12, 1330. [Google Scholar] [CrossRef]
- Brooks, R.R. Plants That Hyperaccumulate Heavy Metals; CAB International: Oxford, UK, 1998; p. 392. [Google Scholar]
- Reeves, R.D.; Baker, A.J.M.; Jaffré, T.; Erskine, P.D.; Echevarria, G.; van der Ent, A. A global database for plants that hyperaccumulate metal and metalloid trace elements. New Phytol. 2017, 218, 407–411. [Google Scholar] [CrossRef]
- Krämer, U. Metal hyperaccumulation in plants. Annu. Rev. Plant Biol. 2010, 61, 517–534. [Google Scholar] [CrossRef]
- Yeşilyurt, S. Phytoremediation method and Brassica family: Removal of chromium, cadmium and lead accumulation with broccoli (Brassica oleracea var. italica). Results Chem. 2023, 6, 101005. [Google Scholar] [CrossRef]
- Verbruggen, N.; Hermans, C.; Schat, H. Molecular mechanisms of metal hyperaccumulation in plants. New Phytol. 2008, 181, 759–776. [Google Scholar] [CrossRef]
- Liu, J.N.; Zhou, Q.X.; Sun, T.; Ma, L.Q.; Wang, S. Growth responses of three ornamental plants to Cd and Cd-Pb stress and their metal accumulation characteristics. J. Hazard. Mater. 2008, 151, 261–267. [Google Scholar] [CrossRef]
- Du, J.; Zeng, J.; Ming, X.; He, Q.; Tao, Q.; Jiang, M.; Gao, S.; Li, X.; Lei, T.; Pan, Y.; et al. The presence of zinc reduced cadmium uptake and translocation in Cosmos bipinnatus seedlings under cadmium/zinc combined stress. Plant Physiol. Biochem. 2020, 151, 223–232. [Google Scholar] [CrossRef]
- Liu, S.; Ali, S.; Yang, R.; Tao, J.; Ren, B. A newly discovered Cd-hyperaccumulator Lantana camara L. J. Hazard. Mater. 2019, 371, 233–242. [Google Scholar] [CrossRef]
- Zhu, Q.Q. Physiological Response and Enrichment Characteristics of Gardenia jasminoides and Gardenia stenophylla to Cadmium, Lead and Zinc Contaminated Pollution Soil. Master Dissertation, Sichuan Agricultural University, Chengdu, China, 2018. (In Chinese). [Google Scholar]
- Tang, Z.; Wang, H.Q.; Chen, J.; Chang, J.D.; Zhao, F.J. Molecular mechanisms underlying the toxicity and detoxification of trace metals and metalloids in plants. J. Interg. Plant Biol. 2023, 65, 1570–1593. [Google Scholar] [CrossRef]
- Zeng, J.; Li, X.; Wang, X.; Zhang, K.; Wang, Y.; Kang, H.; Chen, G.; Lan, T.; Zhang, Z.; Yuan, S.; et al. Cadmium and lead mixtures are less toxic to the Chinese medicinal plant Ligusticum chuanxiong Hort. Than either metal alone. Ecotoxicol. Environ. Saf. 2020, 193, 110342. [Google Scholar] [CrossRef]
- Pan, G.; Yan, W.; Zhang, H.; Xiao, Z.; Li, X.; Liu, W. Subcellular distribution and chemical forms involved in manganese accumulation and detoxification for Xanthium strumarium L. Chemosphere 2019, 237, 124531. [Google Scholar] [CrossRef]
- Ni, T.H.; Wei, Y.Z. Subcellular distribution of cadmium in mining ecotype Sedum alfredii. Acta Bot. Sin. 2003, 45, 925–928. [Google Scholar]
- Weng, B.; Xie, X.; Weiss, D.J.; Liu, J.; Lu, H.; Yan, C. Kandelia obovata (S., L.) Yong tolerance mechanisms to cadmium: Subcellular distribution, chemical forms and thiol pools. Mar. Pollut. Bull. 2012, 64, 2453–2460. [Google Scholar] [CrossRef]
- Fu, X.; Dou, C.; Chen, Y.; Chen, X.; Shi, J.; Yu, M.; Xu, J. Subcellular distribution and chemical forms of cadmium in Phytolacca americana L. J. Hazard. Mater. 2011, 186, 103–107. [Google Scholar] [CrossRef]
- Xu, W.; Shi, W.; Yan, F.; Zhang, B.; Liang, J. Mechanisms of cadmium detoxification in cattail (Typha angustifolia L.). Aquat. Bot. 2011, 94, 37–43. [Google Scholar] [CrossRef]
- Xiao, Z.; Pan, G.; Li, X.; Kuang, X.; Wang, W.; Liu, W. Effects of exogenous manganese on its plant growth, subcellular distribution, chemical forms, physiological and biochemical traits in Cleome viscosa L. Ecotoxicol. Environ. Saf. 2020, 198, 110696. [Google Scholar] [CrossRef]
- Zhang, S.J.; Li, T.X.; Huang, H.G.; Zhang, X.Z.; Yu, H.Y.; Zheng, Z.C.; Wang, Y.D.; Zou, T.J.; Hao, X.Q.; Pu, Y. Phytoremediation of cadmium using plant species of Athyrium wardii (Hook.). Int. J. Environ. Sci. Technol. 2014, 11, 757–764. [Google Scholar] [CrossRef]
- Wang, P.; Deng, X.; Huang, Y.; Fang, X.; Zhang, J.; Wan, H.; Yang, C. Comparison of subcellular distribution and chemical forms of cadmium among four soybean cultivars at young seedlings. Environ. Sci. Pollut. Res. 2015, 22, 19584–19595. [Google Scholar] [CrossRef]
- Zu, Y.; Li, Y.; Min, H.; Zhan, F.; Qin, L.; Wang, J. Subcellular distribution and chemical form of Pb in hyperaccumulator Arenaria orbiculata and response of root exudates to Pb addition. Front. Environ. Sci. Eng. 2015, 9, 250–258. [Google Scholar] [CrossRef]
- Singh, S.; Parhar, P.; Singh, R.; Singh, V.P.; Prasad, S.M. Heavy metal tolerance in plants: Role of transcriptomics, proteomics, metabolomics, and ionomics. Front. Plant Sci. 2016, 6, 1143. [Google Scholar] [CrossRef]
- Grigoryuk, I.P.; Lykholat, U.V.; Rossykhina-Galycha, G.S.; Khromykh, N.O.; Serga, O.I. Effect of soil herbicides on the antioxidant system of maize vegetative organs during ontogenesis. Ann. Agrar. Sci. 2016, 14, 95–98. [Google Scholar] [CrossRef]
- Lozowicka, B.; Wolejko, E.; Kaczynski, P.; Konecki, R.; Iwaniuk, P.; Dragowski, W.; Lozowicki, J.; Tujtebajeva, G.; Wydro, U.; Jablonska-Trypuc, A. Effect of microorganism on behavior of two commonly used herbicides in wheat/soil system. Appl. Soil Ecol. 2021, 162, 103879. [Google Scholar] [CrossRef]
- Iwaniuk, P.; Lozowicka, B. Biochemical compounds and stress markers in lettuce upon exposure to pathogenic Botrytis cinerea and fungicides inhibiting oxidative phosphorylation. Planta 2022, 255, 61. [Google Scholar] [CrossRef]
- Ma, X.; Zheng, J.; Zhang, X.; Hu, Q.; Qian, R. Salicylic acid alleviates the adverse effects of salt stress on Dianthus superbus (Caryophyllaceae) by activating photosynthesis, protecting morphological structure, and enhancing the antioxidant system. Front. Plant Sci. 2017, 8, 600. [Google Scholar] [CrossRef]
- Feng, J.; Liu, Y.; Yang, Y.; Shen, Q.; Huang, J.; Wang, S.; Zhu, X.; Li, Z. Tolerance and bioaccumulation of Cd and Cu in Sesuvium portulacastrum. Ecotoxicol. Environ. Saf. 2018, 147, 306–312. [Google Scholar] [CrossRef]
- Wu, M.; Luo, Q.; Liu, S.; Zhao, Y.; Long, Y.; Pan, Y. Screening ornamental plants to identify potential Cd hyperaccumulators for bioremediation. Ecotoxicol. Environ. Saf. 2018, 162, 35–41. [Google Scholar] [CrossRef]
- Sun, Y.; Zhou, Q.; Wang, L.; Liu, W. Cadmium tolerance and accumulation characteristics of Bidens pilosa L. as a potential Cd-hyperaccumulator. J. Hazard. Mater. 2009, 161, 808–814. [Google Scholar] [CrossRef]
- Sun, Y.; Zhou, Q.; Diao, C. Effects of cadmium and arsenic on growth and metal accumulation of Cd-hyperaccumulator Solanum nigrum L. Bioresour. Technol. 2008, 99, 1103–1110. [Google Scholar] [CrossRef]
- Shi, H.; Wang, Y.; Chen, H.; Deng, F.; Liu, Y.; Cao, G. Changes in metal distribution, vegetative growth, reactive oxygen and nutrient absorption of Tagetes patula under soil cadmium stress. Horticulturae 2022, 8, 69. [Google Scholar] [CrossRef]
- Băbău, A.M.C.; Micle, V.; Damian, G.E.; Sur, I.M. Sustainable ecological restoration of sterile dumps using Robinia pseudoacacia. Sustainability 2021, 13, 14021. [Google Scholar] [CrossRef]
- Fang, H.L.; Zhou, W. Screening of amaranth cultivars (Amaranthus mangostanus L.) for cadmium hyperaccumulation. Agric. Sci. China 2009, 8, 342–351. [Google Scholar]
- Yang, X.E.; Long, X.X.; Ye, H.B.; He, Z.L.; Calvert, D.V.; Stoffella, P.J. Cadmium tolerance and hyperaccumulation in a new Zn-hyperaccumulating plant species (Sedum alfredii Hance). Plant Soil 2004, 259, 181–189. [Google Scholar] [CrossRef]
- Shakirova, F.M.; Allagulova, C.R.; Maslennikova, D.R.; Klyuchnikova, E.O.; Avalbaev, A.M.; Bezrukova, M.V. Salicylic acid-induced protection against cadmium toxicity in wheat plants. Environ. Exp. Bot. 2016, 122, 19–28. [Google Scholar] [CrossRef]
- Qiu, R.L.; Thangavel, P.; Hu, P.J.; Senthilkumar, P.; Ying, R.R.; Tang, Y.T. Interaction of cadmium and zinc on accumulation and sub-cellular distribution in leaves of hyperaccumulator Potentilla griffithii. J. Hazard. Mater. 2011, 186, 1425–1430. [Google Scholar] [CrossRef]
- Lai, H.Y. Subcellular distribution and chemical forms of cadmium in Impatiens walleriana in relation to its phytoextraction potential. Chemosphere 2015, 138, 370–376. [Google Scholar] [CrossRef]
- Hao, X.; Li, T.; Yu, H.; Zhang, X.; Zheng, Z.; Chen, G.; Zhang, S.; Zhao, L.; Pu, Y. Cd accumulation and subcellular distribution in two ecotypes of Kyllinga brevifolia Rottb as affected by Cd treatments. Environ. Sci. Pollut. Res. 2015, 22, 7461–7469. [Google Scholar] [CrossRef]
- Wei, S.; Zeng, X.; Wang, S.; Zhu, J.; Ji, D.; Li, Y.; Jiao, H. Hyperaccumulative property of Solanum nigrum L. to Cd explored from cell membrane permeability, subcellular distribution, and chemical form. J. Soil Sediment. 2014, 14, 558–566. [Google Scholar] [CrossRef]
- Lu, H.; Li, Z.; Wu, J.; Shen, Y.; Li, Y.; Zou, B.; Tang, Y.; Zhuang, P. Influences of calcium silicate on chemical forms and subcellular distribution of cadmium in Amaranthus hypochondriacus L. Sci. Rep. 2017, 7, 40583. [Google Scholar] [CrossRef]
- Zhang, S.; Lin, H.; Deng, L.; Gong, G.; Jia, Y.; Xu, X.; Li, T.; Li, Y.; Chen, H. Cadmium tolerance and accumulation characteristics of Siegesbeckia orientalis L. Ecol. Eng. 2013, 51, 133–139. [Google Scholar] [CrossRef]
- Ahammed, G.J.; Ruan, Y.P.; Zhou, J.; Xia, X.J.; Shi, K.; Zhou, Y.H.; Yu, J.Q. Brassinosteroid alleviates polychlorinated biphenyls-induced oxidative stress by enhancing antioxidant enzymes activity in tomato. Chemosphere 2013, 90, 2645–2653. [Google Scholar] [CrossRef]
- Muradoglu, F.; Gundogdu, M.; Ercisli, S.; Encu, T.; Balta, F.; Jaafar, H.Z.E.; Zia-UI-Haq, M. Cadmium toxicity affects chlorophyll a and b content, antioxidant enzyme activities and mineral nutrient accumulation instrawberry. Biol. Res. 2015, 48, 11–15. [Google Scholar] [CrossRef]






| Dry Weight | TI | ||||||
|---|---|---|---|---|---|---|---|
| Cd Concentrations (mg kg−1) | Root (g Plant−1) | Stem (g Plant−1) | Leaf (g Plant−1) | Shoot (g Plant−1) | Root | Shoot | |
| E. pectinatus | 0 | 5.14 ± 0.45 a | 14.05 ± 1.00 b | 12.31 ± 0.92 b | 26.37 ± 1.26 c | - | - |
| 5 | 5.26 ± 0.39 a | 15.21 ± 0.45 b | 13.30 ± 0.43 ab | 28.52 ± 0.48 b | 1.02 ± 0.03 a | 1.08 ± 0.04 a | |
| 10 | 5.52 ± 0.54 a | 15.73 ± 1.12 b | 13.35 ± 0.75 ab | 29.08 ± 0.51 b | 1.09 ± 0.20 a | 1.11 ± 0.07 a | |
| 20 | 5.43 ± 0.35 a | 16.91 ± 1.04 ab | 14.22 ± 1.01 a | 31.13 ± 0.38 a | 1.06 ± 0.09 a | 1.18 ± 0.07 a | |
| 40 | 5.39 ± 0.46 a | 18.44 ± 1.20 a | 13.37 ± 0.64 ab | 31.82 ± 1.46 a | 1.05 ± 0.11 a | 1.21 ± 0.08 a | |
| G. jasminoides | 0 | 5.77 ± 0.71 a | 15.55 ± 1.34 a | 18.86 ± 2.04 b | 34.41 ± 3.31 b | - | - |
| 5 | 6.23 ± 0.58 a | 15.65 ± 1.61 a | 22.93 ± 1.66 a | 38.58 ± 0.83 a | 1.09 ± 0.16 a | 1.13 ± 0.08 a | |
| 10 | 5.49 ± 0.56 ab | 14.35 ± 2.12 a | 18.30 ± 1.3 bc | 32.65 ± 1.03 b | 0.97 ± 0.21 ab | 0.95 ± 0.07 ab | |
| 20 | 4.51 ± 0.69 b | 13.71 ± 1.82 a | 15.77 ± 1.18 c | 29.47 ± 2.48 c | 0.80 ± 0.23 ab | 0.86 ± 0.13 bc | |
| 40 | 3.50 ± 0.42 b | 9.77 ± 1.33 b | 13.09 ± 1.91 c | 22.87 ± 2.17 d | 0.61 ± 0.09 b | 0.67 ± 0.09 c | |
| Cd Treatments (mg kg−1) | BCF | TF | PR (%) | ||
|---|---|---|---|---|---|
| Root | Shoot | ||||
| E. pectinatus | 0 | -- | -- | 1.26 ± 0.27 a | -- |
| 5 | 2.82 ± 0.28 a | 2.67 ± 0.38 a | 0.96 ± 0.22 ab | 2.85 ± 0.41 a | |
| 10 | 2.05 ± 0.18 b | 1.84 ± 0.07 b | 0.91 ± 0.12 b | 2.01 ± 0.08 b | |
| 20 | 1.78 ± 0.14 bc | 1.56 ± 0.04 b | 0.88 ± 0.06 b | 1.82 ± 0.05 b | |
| 40 | 1.59 ± 0.02 c | 1.13 ± 0.05 c | 0.72 ± 0.03 b | 1.36 ± 0.06 c | |
| G. jasminoides | 0 | -- | -- | 0.53 ± 0.12 a | -- |
| 5 | 4.19 ± 0.51 a | 1.84 ± 0.32 a | 0.44 ± 0.07 ab | 2.66 ± 0.46 a | |
| 10 | 3.32 ± 0.22 b | 1.32 ± 0.12 b | 0.39 ± 0.02 b | 1.61 ± 0.15 b | |
| 20 | 2.81 ± 0.18 b | 1.11 ± 0.06 bc | 0.40 ± 0.03 b | 1.22 ± 0.07 b | |
| 40 | 2.08 ± 0.05 c | 0.78 ± 0.01 c | 0.38 ± 0.01 b | 0.67 ± 0.01 c | |
Disclaimer/Publisher’s Note: The statements, opinions and data contained in all publications are solely those of the individual author(s) and contributor(s) and not of MDPI and/or the editor(s). MDPI and/or the editor(s) disclaim responsibility for any injury to people or property resulting from any ideas, methods, instructions or products referred to in the content. |
© 2023 by the authors. Licensee MDPI, Basel, Switzerland. This article is an open access article distributed under the terms and conditions of the Creative Commons Attribution (CC BY) license (https://creativecommons.org/licenses/by/4.0/).
Share and Cite
Jia, Y.; Yue, P.; Li, K.; Xie, Y.; Li, T.; Pu, Y.; Xu, X.; Wang, G.; Zhang, S.; Li, Y.; et al. Mechanisms of Cadmium Tolerance and Detoxification in Two Ornamental Plants. Agronomy 2023, 13, 2039. https://doi.org/10.3390/agronomy13082039
Jia Y, Yue P, Li K, Xie Y, Li T, Pu Y, Xu X, Wang G, Zhang S, Li Y, et al. Mechanisms of Cadmium Tolerance and Detoxification in Two Ornamental Plants. Agronomy. 2023; 13(8):2039. https://doi.org/10.3390/agronomy13082039
Chicago/Turabian StyleJia, Yongxia, Peixi Yue, Keheng Li, Yihui Xie, Ting Li, Yulin Pu, Xiaoxun Xu, Guiyin Wang, Shirong Zhang, Yun Li, and et al. 2023. "Mechanisms of Cadmium Tolerance and Detoxification in Two Ornamental Plants" Agronomy 13, no. 8: 2039. https://doi.org/10.3390/agronomy13082039
APA StyleJia, Y., Yue, P., Li, K., Xie, Y., Li, T., Pu, Y., Xu, X., Wang, G., Zhang, S., Li, Y., & Luo, X. (2023). Mechanisms of Cadmium Tolerance and Detoxification in Two Ornamental Plants. Agronomy, 13(8), 2039. https://doi.org/10.3390/agronomy13082039
