You are currently viewing a new version of our website. To view the old version click .
Agronomy
  • Article
  • Open Access

30 April 2023

Assessment of Energy–Economy and Environmental Performance of Perennial Crops in Terms of Biogas Production

,
,
and
Agriculture Academy, Vytautas Magnus University, K. Donelaičio Str. 58, LT-44248 Kaunas, Lithuania
*
Author to whom correspondence should be addressed.
This article belongs to the Special Issue Plant Biomass Production and Utilization

Abstract

Biogas production plays an important role in the clean energy economy and is reducing the problems of the energy crisis. The main objective of the current study is to analyze environmental performance by using perennial energy crops in the agricultural sector. Perennial energy crops are neutral for carbon and can be used for electricity and heating, which may mitigate climate change as well. The purpose of this work was to investigate and compare the energy–economy effectiveness and environmental performance of the suitability of four perennial crops for biogas production. Environmental performance was analyzed using the method of the life cycle assessment. To identify the most environmentally sustainable perennial crops for biogas production, a comparative analysis was conducted on four different crops: Lucerne, Miscanthus, Switchgrass, and Reed canary grass. The results of the analysis showed that Lucerne and Miscanthus, during the first–sixth years period, have lower indirect energy input (from 15.2 to 3.2 GJ/ha and 15.6 to 3.2 GJ/ha) than Switchgrass (from 20.9 to 3.2 GJ/ha) and Reed canary grass (from 16.7 to 3.2 GJ/ha). However, the highest direct energy input was determined by Lucerne (from 15.7 to 1.6 GJ/ha), and Miscanthus (from 11.9 to 0.9 GJ/ha) compared to Switchgrass (from 7.4 to 1.8 GJ/ha) and Reed canary grass (from 8.1 to 1.6 GJ/ha). Additionally, the lowest result of the direct economy and indirect economy costs was determined by Lucerne (from 3.9 to 3.7 kEUR/ha (direct) and 9.9 to 2.1 kEUR/ha (indirect)) and by Miscanthus (from 2.4 to 4.9 kEUR/ha (direct) and 11.8 to 1.9 kEUR/ha (indirect)) compared to Switchgrass (5.9 to 5.7 kEUR/ha (direct) and 17.5 to 2.1 kEUR/ha (indirect)), and reed canary grass (from 5.3 to 4.9 kEUR/ha (direct) and 13.7 to 1.9 kEUR/ha (indirect), respectively. The assessment of environmental performance revealed that Reed canary grass and Miscanthus had a more pronounced impact on Acidification. In contrast, Lucerne and Switchgrass had a more significant impact on Eutrophication indicators. The crop cultivation of four perennial crops impacted the environment in various significant ways. Despite the varying environmental impacts of the four perennial crops, the analysis revealed that all of them have the potential to increase biogas production.

1. Introduction

The whole world is facing a global energy crisis and climate change. Energy prices are rising rapidly in Europe. Energy uncertainty can affect the fight against climate change. Therefore, it is necessary to implement a more efficient energy security policy to ensure dependability, affordability, and accessibility while reducing emissions. The main role of a sustainable energy system is to bring about a clean energy economy and the potential of decentralized renewable energy production to the agricultural sector. Increasing the energy efficiency of biogas production is one of the priority directions to reduce the consequences of the energy crisis. In the national energy and climate action plan of Lithuania, the goal by 2030 is set at 9 percent to reduce greenhouse gas (GHG) emissions in sectors not covered by the EU Emissions Trading System (ETS) [1]. In Lithuania, the most important sector of biogas production is agriculture. Thus, Lithuania would benefit from establishing additional policies and measures regarding energy efficiency. There are currently 38 biogas plants operating in Lithuania, 15 of which operate in the agriculture sector.
Biogas production is a relevant component of agriculture, energy, economics, and environmental systems. Biogas is a clean fuel that can be used for heat and electricity generation, as well as in the transport and industrial sectors. Upgrading biogas production to bio-methane, which is equivalent to natural gas, provides a long-term storage resource for methane production throughout the year [2]. Under anaerobic conditions, biogas is generated through the breakdown of organic matter by microorganisms [3]. Biogas has a high potential, and its energy is widely used in the EU and the world. However, the biogas production inputs such as electricity, heat, and fuel are still high [4]. The main constituents of biogas are methane (60%) and carbon dioxide (40%). The removal of impurities, particularly carbon dioxide, will improve the biogas quality for forwarding use [5]. Biomethane plays an essential role in the European Union’s (EU) 2030 Greenhouse Gas (GHG) reduction goal and in achieving net-zero emissions by 2050 [6]. Unfortunately, Lithuania still has no biomethane plants. However, it is likely that their first biomethane plant will operate in 2023. Lithuania’s climate conditions are very favorable for the cultivation of perennial crops, which require low energy and labor inputs, making them one of the most cost-effective types of energy plants [7].
Many scientific studies have shown that the most significant negative effect on the environment is related to the process of cultivation of perennial grass biomass and its preparation for biogas production, such as fertilizers, pesticides, harvesting, transportation, and others [8,9,10,11,12,13,14,15,16,17]. Other scientific studies, however, show that the impact on the environment can be reduced. Rodríguez et al., 2022, discovered that growing perennial grasses could help to preserve soil structure and protect against wind and water erosion [18]. More detailed information is disclosed in the Discussion section. Additionally, the use of perennial crops for bioenergy production is a way to mitigate climate change, as these crops are carbon-neutral. Biogas produced through the anaerobic digestion of agricultural biomass, particularly from perennial crops, can be used for electricity and heating or upgraded to biomethane. The resulting digestate is a valuable source of organic fertilizer for agriculture. The existing digestate has an additional value that can be used for fertilizer production [19]. Renewable energy replaces fossil fuel energy, so this environmental impact of energy production is considered a positive effect [20]. This process can be viewed as a means of creating sustainability for environmental protection. The use of agricultural products for energy production has gained significant attention in recent years as a viable alternative to traditional fossil fuels. Agricultural products such as straw, rapeseed press cake, wheatgrass, traditional agricultural grasses, and other energy crops can be used for energy production. These bioenergetic plants can be used not only for biofuel production but for heat and electricity generation as well. In terms of research, perennial crops are a relatively new direction, but studies have shown that their potential for energy production is diverse and high. Up to 30% of all agricultural biomass, including energy plants and their waste, can be utilized for biogas production. It allows the utilization of different perennial crops as well as various agricultural wastes and residues for biogas production. Perennial crops are a significant source of biomass for biogas production, and there are many kinds of plants used for this purpose. Some of the most popular options include miscanthus (Miscanthus), switchgrass (Panicum virgatum), wheatgrass (Szarvasi), reed canary grass (Phalaris arundinacea), grass-clover mixture (e.g., mixture containing 8% red clover (Trifolium pratense L.), 9% white clover (Trifolium repens L.), 23% hybrid ryegrass (Lolium × boucheanum) and 60% perennial ryegrass (Lolium perenne L.), and rye grass (Lolium perenne L.) [21,22,23,24,25,26,27,28]. Some researchers suggest that forage legumes may increase bioenergy production by up to 20%. They found that one hectare of forage legumes can supply energy equivalent to that produced from 2–17 ha of arable land [2]. Additionally, crop residues and intercrop legumes can also be used to improve energy yield [2]. Researchers investigated the biogas production potential and suitability for biogas of four novel perennial crops: cup plant (Silphium perfoliatum), giant knotweed (Fallopia sachalinensis), and wheatgrass (Elymus elongatus ssp. ponticus cv. Szarvasi-1). The study revealed that the specific methane yield was significantly influenced by different harvest dates. The findings indicated that all crops except giant knotweed had sufficient biogas potential [29]. The researchers observed that legumes were the most suitable biomass for biogas production. Among them, tall fescue (Festuca arundinacea) and perennial ryegrass (Lolium perenne) were found to be the best for anaerobic digestion. The highest methane yields were obtained from common sainfoin (Onobrychis viciifolia), perennial ryegrass (Lolium perenne), and common cocksfoot (Dactylis glomerate), while the best results for specific methane yields were found for common sainfoin (Onobrychis viciifolia), common lucerne (Medicago sativa), and perennial ryegrass (Lolium perenne) [30]. The main crops used in biogas production are maize and sorghum (Sorghum perennial) due to their high potential for methane production and efficient technologies. However, perennial energy crops such as switchgrass (Panicum virgatum), miscanthus (Miscanthus), reed canary grass (Phalaris arundinacea), and napier grass (Cenchrus purpureus) offer significant environmental advantages [31]. It is imperative to consider all aspects—energy, economy, and environment—while choosing suitable perennial crops for biogas production. While Lucerne and Miscanthus may be more suitable for the energy and economic aspects, their environmental impact should also be considered. The use of any crop for biogas production should be done in a sustainable manner, taking into account factors such as land use, water use, and other environmental impacts. Researching the biogas production potential and suitability of different perennial crops can contribute to increased biogas production efficiency, which is crucial in reducing the consequences of the global energy crisis and fighting climate change.
The work aims to investigate and compare the energy–economy effectiveness and environmental performance of Reed canary grass (Phalaris arundinacea), Lucerne (Medicago sativa), Switchgrass (Panicum virgatum), and Miscanthus (Miscanthus) for biogas production in Lithuania. The research question is whether and to what effect perennial crops can lead to an improved environment. For this goal, we assess the four perennial crop utilization in biogas plants based on the life cycle method. Possible substitution effects depend on perennial crop cultivation yield, the number of harvests, the rate of use of fertilizers and herbicides, and the rate of seeds required for planting one hectare.
This article addresses the challenges of utilizing plant biomass from agricultural sources for the production of biogas by conducting a comprehensive environmental efficiency assessment. Our study proposes a novel approach to assessment by integrating the use of agricultural energy plants into the entire study and utilizing the life cycle method for evaluation. This approach provides a comprehensive understanding of the environmental impact of using plant biomass for biogas production. The methodology developed in this study can be applied in Lithuania to assess the environmental efficiency of agricultural energy plant production for biogas generation. The findings of this research will be valuable for policymakers in the agricultural and environmental sectors. Specifically, our results will aid the development of sustainable agricultural policies and in the implementation of the bioeconomy development strategy and the “European Green Deal” agreement strategy. Moreover, our study sheds light on the potential of using agricultural energy crops as a source of renewable energy, reducing the reliance on non-renewable sources. We recommend that policymakers promote the cultivation of energy crops on marginal lands and adopt sustainable land-use practices to mitigate environmental impacts. In conclusion, this article presents a novel approach to the assessment of the environmental efficiency of utilizing agricultural plant biomass for biogas production. Our study also highlights the potential of utilizing agricultural energy crops as a renewable energy source and provides recommendations for sustainable land-use practices. The significance of the work is characterized by the preparation and processing of four perennial crops for biogas production, with a unique analysis that includes an evaluation from three relevant perspectives: energy, economy, and environmental performance.

2. Materials and Methods

2.1. Life Cycle Analysis

Environmental performance should be analyzed using a life cycle assessment, including the process of a product from cradle to grave and establishing the effect associated with it at each stage [32]. The life cycle assessment can be applied to calculate the effect of perennial crop’s environmental performance in biogas production. The life cycle assessment includes inputs such as materials and energy. Materials consumption leads to the depletion of renewable and non-renewable resources, contributes to the generation of waste, and increases emissions into the atmosphere. In the life cycle analysis, the formed outputs include the product itself, intermediates and by-products, emissions into the atmosphere, as well as sewage, waste, and other pollutants [33]. The International Organization for Standardization (ISO) has developed sets of international standards known as the ISO 14000 series. These standards provide requirements for environmental protection and assist organizations in enhancing their environmental efficiency through the use of resources and the reduction of waste [34,35]. The environmental impact assessment was performed using SimaPro 9.3 software with databases including the Ecoinvent v3 database and Agri-footprint 5. The CML-I baseline model was chosen, which is developed by the Center of Environmental Science (CML) of Leiden University in the Netherlands [36].
When assessing the environmental impact of cultivation and maintaining perennial crops, specific categories of environmental impacts are typically considered. These categories are related to the use of resources and the release of substances that can harm the environment (such as greenhouse gases) and affect human health. Environmental impact assessment methods use models to qualitatively define the causal relationships between materials and energy emissions associated with the multi-year cycle of plant cultivation and care and each considered category of environmental impact [37]. According to CML-IA guidance, various indicators can be used in life cycle impact assessment and this can be applied to a wide range of studies [38].

2.2. Functional Unit

Environmental performance assessment involves evaluating the cultivation and maintenance of four perennial crops, their transportation to a biogas plant, and the cycle concluding with biogas production. In this process, we use a functional unit (FU) of 1 hectare for a 6-year cultivation period as the basis for our analysis. The cultivation area functional unit is employed as it indicates the land being utilized to produce all suitable perennial crops.

2.3. Methodological Assumptions of System Boundaries

The environmental impacts at all stages of the perennial crop cultivation process and the biogas plant technology are within the system boundaries. This means that the emissions associated with production and processing as well as the energy inputs required for the biogas plant are taken into account when assessing the environmental impacts of the system. The environmental performance assessment includes the technology processes involved in the crops’ biomass supply chain and the operation of the biogas plant, with pollutant emissions, except for capital equipment (Figure 1) [10,17,39,40].
Figure 1. System boundaries for perennial crop cultivation and its fermentation to biogas production, and utilization in heat and electricity produced.
The system boundaries, as shown in Figure 1, are divided into three stages. The first stage involves identifying the input materials used in biomass cultivation and preparation, such as energy, fuel, seeds, fertilizers, plant protection, and agromachinery. The second stage, which is the most important, consists of determining technological processes for biogas production. The LCA analysis covers the preparation of the raw material stage for biogas production, including the cultivation of perennial crops and the ensilage process. Field preparation for biomass cultivation is crucial and involves two main processes: (1) main tillage (field plowing) and (2) sowing tillage (cultivation, harrowing, and sowing).
Perennial crops are harvested using disc mowers and are chopped. The fresh biomass is then transported to the biogas plant, with the transport depending on factors such as distance, biomass density, vehicle-carrying capacity, and driving speed. Perennial crops-fresh silage is the preferred material for biogas production, and ensiling is the simplest and most suitable method for preserving plant biomass [41]. Silage production is a biological process that involves fermenting the green mass with organic acids, particularly lactic acid. This process accelerates the breakdown of biomass in an anaerobic environment, such as a biogas reactor. Ensilage of perennial crops biomass is a widely used technology in biogas energy worldwide, as it is a simple and less climate-dependent method of preserving biomass suitable for biogas production [42].
The technology of a biogas plant on the right side (Figure 1) shows the production of electricity and heat energy, which is used to substitute power in the grid and heat. This energy production has a positive environmental impact as it replaces energy produced by fossil fuels [20]. The heat and electricity produced by biogas combustion are utilized to meet the requirements of the biogas plant. Additionally, digestate, which is the byproduct of the biogas plant, is used as an organic fertilizer and soil-improving agent in perennial crop fields. The use of digestate as fertilizer eliminates the need for purchasing mineral fertilizers in perennial crop cultivation [19,43].

2.4. Analysis of Energy and Economy Indicators

This study determined the energy and economic costs associated with the production and preparation of raw materials for biogas production over a six-year period of growing perennial crops. The optimal period for growing perennial crops is six years, which yields the biggest crop yield. We assume, that from the first to sixth years, the perennial crops of cultivation are ensiled for biogas production.
Energy and economy indicators consist of direct and indirect inputs (costs). The direct energy and economy input (cost) of perennial crops was applied to field plowing, cultivation, sowing, spraying, fertilizing, harvesting, chopping, and other operations (ensilage) and is calculated by basic methods [44,45]. The indirect energy and economy input (cost) of perennial crops are applied for fertilizer and herbicides. Furthermore, agricultural machines were calculated for energy and economy intensity, except for human labor intensity. The following Equation (1) was used to estimate the energy and economy input (cost) E i n of perennial crops preparation and processing in a biogas plant (MJ/ha (calculation of input for energy indicators) and Eur/ha (calculation of cost for economy indicators)):
E i n = i n E c u l t + i n E b p
where,
  • Ecult—energy and economy input (cost) for perennial crops cultivation, MJ/ha; (Eur/ha);
  • E b p —energy and economy input (cost) for perennial crops processing in biogas plant, MJ/ha; (Eur/ha).
The energy and economy input (cost) for perennial crops cultivation, preparing it and spreading the recycled substrate in the fields can be expressed by following Equation (2):
E c u l t = i n E d c u l t + i n E i n d c u l t
where,
  • E d c u l t —direct energy and economy input (cost) for perennial crops cultivation and processing, MJ/ha; (Eur/ha);
  • E i n d c u l t —indirect energy and economy input (cost) for perennial crops cultivation and processing, MJ/ha; (Eur/ha).
This study applies an environmental performance assessment of the cultivation and preparation of perennial crops, their conversion through anaerobic digestion into biogas, and the use of the resulting digestate as an organic fertilizer on the production fields. The energy and economy input (cost) for processing perennial crops in the biogas plant E b p will not be evaluated. However, it would be appropriate to consider the energy and economic inputs (costs) of processing perennial crops in a biogas plant as a direction for the future expansion of this study.
Direct energy and economy input (cost) for the cultivation of perennial crops is related to technological operations. The indirect energy and economy intensity of agromachinery used in a technological operation is calculated based on the duration of the machine’s use, its lifespan, weight, and the energy consumption equivalent. The sum of the direct and indirect energy and economy inputs (costs) gives the total energy and economy inputs (costs) per hectare (MJ/ha and Eur/ha).
To facilitate further analysis, we have calculated input and output data for four perennial crops. Authors and other researchers from Lithuanian research institutions conducted experimental trials to gather data on crop cultivation and biogas generation [46,47,48,49,50]. The data obtained from these trials were then used to reflect the real environmental and climatic conditions relevant to this study. Factors such as soil type, temperature, rainfall, and other environmental conditions can vary significantly between regions, which can impact the performance of cultivation and crop-care systems. It is essential to consider the context of the specific conditions under which the experiments were conducted when interpreting the results. This data is based on the type of perennial crops, dry matter yield, fertilizer use, and plant protection separately for the first and later years (Table 1) [23,30,48,51,52,53,54,55]. We have taken data from our research and used it to provide information regarding yields of reed canary grass, fertilization, and biogas yield [46,47,48]. The data for switchgrass [49], lucerne [50], and miscanthus [56] were taken from experiments performed by the Lithuanian Research Centre for Agriculture and Forestry.
Table 1. Data of inputs and outputs of perennial crop cultivation per year.
The inventory data for the perennial crop cultivation process was collected from the literature, as well as the statistical and Ecoinvent database [57]. However, some of the required data were missing to build an LCA inventory describing perennial crop cultivation during the six-year period. Consequently, the inventory proposed in this paper is based on the modification of existing Ecoinvent inventory data on cultivation, crop care, and biogas generation. Table 2 summarizes the life cycle inventory of perennial crop cultivation technology inputs and outputs, underpinning the LCA results across 11 impact categories. This data is based on the type of perennial crop, dry matter yield, fertilizer use, and plant protection separately for the first and later years. The comparative total energy and material input was calculated based on the assumption of the defined functional unit.
Table 2. Inventory of inputs and outputs for a reference flow of perennial crops during the six-year period.
Overall, the inventory data presented in this study provides a comprehensive picture of the inputs and outputs involved in the cultivation of perennial crops over a six-year period. This data is essential for conducting an accurate and reliable LCA of this process, which can help identify opportunities for reducing its environmental impact.
Reed canary grass (Phalaris arundinacea) is a commonly found plant in Lithuania that produces a substantial amount of biomass, making it a suitable option for biogas production [56]. This perennial crop is not demanding in terms of soil fertility, is resistant to droughts and winter conditions, and can grow with minimal fertilization or even without any fertilizers at all [58]. It is recommended to cut the cultivated plant 2–3 times during the growing season [59]. The first cut of reed canary grass can be harvested in the middle of June, followed by a second cut after 40 days or within a subsequent period. This plant can provide a yield of up to 5.4–11.2 t/ha dry matter during a 10–12 year period without reseeding [60].
Lucerne is a popular plant in Lithuania. It is a perennial leguminous crop that remains in the field for about 10 years. This plant is suitable for growth in hilly areas and tolerates drought conditions. The vegetation period is most effective during the second and third years. Lucerne is known for its longevity and can yield 2–8 t/ha of dry matter. It is suitable for cutting (2–3 cuts). Lucerne is susceptible to root disease. The best harvest time is after flowering, as the plant has a higher crude protein and lower crude fiber content at this stage [30].
Switchgrass is one of the most suitable perennial crop candidates for future biogas production in Lithuania. Switchgrass is fast-growing, has a long growing season, and produces high-quality biomass for over 10 years with yields of 8.4–14.2 t/ha of dry matter. It grows well on marginal lands, is undemanding to soil, nutrient, and herbicides, and is resistant to leaf fungal disease in crop fields. This plant is very productive, long-lived, drought-resistant, and water-efficient, and some genotypes overwinter well. For biogas, plants are harvested twice per year [20,51,52]. This plant can be left in the field over winter and harvested the following spring, but this can reduce the yield by 20–40%. Hence, the optimal harvest time is autumn, though this does not affect the gasification energy yield [61].
Miscanthus has successfully adapted to the colder climate of Lithuania. This plant can be used as biofuel and raw material for biogas. It thrives in unfavorable weather conditions and resists frosts and droughts. It is sufficiently resistant to diseases and pests and does not require large amounts of fertilizer. Therefore, Miscanthus is the perfect choice for energy production in Lithuania due to its hardy nature and low maintenance requirements. The plant can be grown in one place for several years without harming the environment. During the harvest period, a sufficient amount of high-quality biomass suitable for biogas production is accumulated [23,52]. In the first year, miscanthus grows 1–2 m high, and the biomass yield is only 2–6 t/ha, so it is left in the field. During the second year, the biomass increases by 4–10 t/ha, after the third year by 10–13 t/ha, and by the fifth year, 18–20 t/ha of dry matter is achieved [54,56].
The study presents a comprehensive inventory of data on the cultivation of four perennial crops in Lithuania that can be used for biogas production. The data is essential for conducting accurate and reliable LCA to identify opportunities for reducing the environmental impact of the process. In summary, it can be disclosed that perennial crops were selected based on their different yields of plants, number of harvests, fertilizer and herbicide requirements, and need for seed rates. Reed Canary grass, Lucerne, and Switchgrass are harvested twice a year, while Miscanthus is harvested once a year.
The economic values of direct and indirect costs for the cultivation of perennial energy crops are shown in Table 3. The prices are used to calculate economic costs for all plant species [62,63].
Table 3. Direct and indirect economic cost values for perennial crop cultivation.
The energy input to perform a technological operation depends on its duration under Lithuania’s conditions. It is shown in Table 4 [59,64,65].
Table 4. Productivity of technological operations for perennial crops.
Table 5 shows the technical data of coefficient equivalents of cumulative energy consumption used in the energy input calculation. These coefficients represent the energy required to produce each input used in the process and are a significant factor in determining the overall energy efficiency of the system [58,66].
Table 5. Technical data on field operations.
Agromachinery is used in technological processes for the cultivation of perennial crops are shown in Table 6 [20,64].
Table 6. Agromachinery characteristics.
Direct and indirect energy–economy inputs (costs) of agromachinery are calculated using a tractor with a power of 399 kW and a tractor with a power of 70 kW. The technical data of agromachinery are applicable to land users with 250–400 ha of arable land. The emission stage for the transport used was assumed to be EURO4.
In assessing the environmental impact of a perennial crop’s growing and maintenance process, specific categories of environmental impacts are usually considered. This is related to the use of resources and the release of substances that harm the environment (greenhouse gases), which can also affect human health. Environmental impact assessment methods use models that qualitatively define the causal relationships between materials and energy emissions associated with the multi-year plant cultivation and care cycle. Each considered category of environmental impact depends on many factors: Global warming (GWP); abiotic depletion (AD); Fossil fuel depletion (FFD); acidification (AC); human toxicity (HT); ozone layer depletion (OLD); photochemical oxidation (PO); eutrophication (EU); freshwater aquatic ecotoxic (FWAE); marine aquatic ecotoxicity (MAE); and terrestrial ecotoxicity (TE) [67,68,69,70,71,72,73].
An economic and energetic evaluation was conducted with stochastic simulation, where Microsoft Excel (Microsoft Corporation, Redmond, WA, USA) was used as a tool.

3. Results

3.1. Energy and Economy Input (Cost)

The following section presents the results of the energy and economy input (cost) and the environmental effects of biogas production assessed using four types of perennial crops. All results are calculated per 1 ha of cultivation produced in 6 years ready to be fed into the biogas plant. Based on the research methodology, the estimation of perennial crop cultivation for biogas production depends on the yield of these plants. It also depends on the number of harvests, the rates of fertilizers and herbicides used, and the rate of seeds required for planting one hectare. This analysis is based on the assumption that agricultural technology and agromachinery remain the same for all crops.
Figure 2 shows the results of energy and economy (direct and indirect) inputs (costs) for four perennial crops: Reed Canary Grass, Lucerne, Switchgrass, and Miscanthus. The highest energy inputs per ha of all perennial crops were determined in the first year of cultivation. The highest direct energy inputs (DEI) were found in the case of Lucerne from 15.7 to 1.6 GJ/ha and Miscanthus, which ranged from 11.9 to 0.9 GJ/ha (during the first–sixth years period). The highest indirect energy inputs (IEI) were observed in the case of Switchgrass from 20.9 to 3.2 GJ/ha and Reed canary grass from 16.7 to 3.2 GJ/ha (during the first–sixth years period). The lowest direct energy inputs amounted to Switchgrass and Reed canary grass, i.e., from 7.4 to 1.8 GJ/ha and from 8.1 to 1.6 GJ/ha. In addition, the lowest indirect energy inputs amounted in the case of Lucerne from 15.2 to 3.2 GJ/ha and Miscanthus from 15.6 to 3.2 GJ/ha, respectively.
Figure 2. The direct and indirect energy and economy inputs (costs) of perennial crops: (a) Reed Canary Grass; (b) Lucerne; (c) Switchgrass; (d) Miscanthus.
The results showed that the direct economy cost (DEC) was highest for Switchgrass from 5.9 to 5.7 kEUR/ha and reed canary grass from 5.3 to 4.9 kEUR/ha. In addition, Switchgrass and Reed canary grass contributed the highest indirect economy cost (IEC) of 17.5 to 2.1 kEUR/ha and 13.7 to 1.9 kEUR/ha, respectively. The lowest result of the economy cost was observed in the case of Lucerne, which ranged from 3.9 to 3.7 kEUR/ha (DEC) and 9.9 to 2.1 kEUR/ha (IDEC). This was followed by Miscanthus, which ranged from 2.4 to 4.9 kEUR/ha (DEC) and 11.8 to 1.9 kEUR/ha (IDEC).
Based on the comparative analysis, Lucerne and Miscanthus had the highest direct energy input and lowest indirect energy input. Nevertheless, the cultivation of both perennial crops has the lowest direct and indirect economy costs, and when grown for production, they may generate positive results from the first year. On the other hand, Reed canary grass and Switchgrass were found to have the lowest direct energy input. However, their cultivation was calculated to have the highest indirect energy input. Furthermore, the cultivation of these crops was found to be the most expensive, both in terms of direct and indirect economy costs.
The total data for the cultivation of Reed canary grass, Lucerne, Switchgrass, and Miscanthus used in this analysis are summarized in Figure 3. The total energy input of Reed canary grass over a 6-year cultivation period was calculated to be 16.8 GJ/ha (DEI) and 32.5 GJ/ha (IEI); for Lucerne, it amounted to 24.9 GJ/ha (DEI) and 31.1 GJ/ha (IEI); for Switchgrass, it was estimated as 18.2 GJ/ha (DEI) and 36.7 GJ/ha (IEI); and for Miscanthus, it was 17.0 GJ/ha (DEI) and 31.5 GJ/ha (IEI), respectively. The total economy cost of Reed canary grass was determined to be 30.1 kEUR/ha (DEC) and 23.2 kEUR/ha (IEC); for Lucerne, it was calculated to be 22.2 kEUR/ha (DEC) and 20.3 kEUR/ha (IEC); for Switchgrass, it amounted to 34.5 kEUR/ha (DEC) and 27.9 kEUR/ha (IEC); and for Miscanthus, it was evaluated to be 25.5 kEUR/ha (DEC) and 21.5 kEUR/ha (IEC), respectively.
Figure 3. Total (direct and indirect) energy and economy inputs (costs) of perennial crop.
In summary, Lucerne and Miscanthus cultivation resulted in the lowest economy cost compared to Reed canary grass and Switchgrass throughout their life cycles. However, in terms of direct energy input, Lucerne and Switchgrass had the highest values compared to Reed canary grass and Miscanthus. Indirect energy input showed similar results for all perennial crops. High energy input values may indicate a significant impact on the environment. Further analysis of the results will be presented in the environmental performance section.
Figure 4 shows the structure of energy and economy (direct and indirect) inputs (costs) of perennial crops by technology operations and materials.
Figure 4. The structure of energy and economy inputs (cost) of perennial crops by technology operations and materials: (a) direct; (b) indirect.
Based on the data on the structure of the direct economy cost related to perennial energy crops, the first expensive cost factors amounted to an ensilage of 65.6% and transportation 28.3%. The lowest economy cost amounts generated by other cost factors (from plowing to chopping) ranged from 0.4% to 2.8%. The highest direct energy input was generated by plowing—26.6%, herbicide spraying—25.2%, cultivation—10.9%, transportation—18.3%, and ensilage—16.8%. The lowest direct energy input was estimated to be generated by fertilization, sowing, rolling, harvesting, and chopping, which ranged from 0.2% to 0.6%. According to the data on the structure of indirect economy costs, agromachinery intensity, and fertilizers are one of the largest cost factors, which ranged from 44.1% to 47.2%. The lowest costs were generated by the seed and use of herbicides, which ranged from 1.1% to 7.6%, respectively. The biggest indirect energy input was determined by the use of fertilizers and herbicides, which ranged from 46.6% to 33.7%. The smallest inputs were calculated generated by agromachinery intensity and seed use, which ranged from 18.5% to 1.1%, respectively.
The findings of this study demonstrate that cultivating four different perennial crops for biogas production can significantly impact the environment. Based on the analysis of energy and economic factors, Miscanthus is the most favorable crop for biogas production, followed by Lucerne and Reed canary grass. However, Switchgrass showed weakness in its use of fertilizers and herbicides compared to other perennial crops. Despite this, Switchgrass still has the potential to be used in biogas production, although it may require additional management to reduce fertilizer and herbicide use. Overall, this study demonstrates that cultivating four different perennial crops for biogas production can have a positive impact on the environment.

3.2. Environmental Impact Assessment of Perennial Crops

The results show that the cultivation of perennial crops has a significant effect on the main five environmental categories: GWP, FFD, HT, FWAE, and MAE (Table 7). The biggest effect on the environment is generated by Switchgrass at 36.6%, followed by Lucerne at 27.3%, and Reed canary grass at 23.4%. The lowest effect of this indicator is seen in Miscanthus at 12.7%. The indicator of ADF is estimated for Switchgrass and Reed canary grass cultivation, which ranged from 32.4% to 25.4%, while Lucerne and Miscanthus ranged from 23.4% to 18.8%. The highest effect on HT comes from the cultivation of Switchgrass and Reed canary grass, which ranged from 31.0% to 27.2%, while Lucerne (24.4%) and Miscanthus (17.5%) have a lower impact. The cultivations of Switchgrass and Reed canary grass have a big influence on FWAE and MAE, which ranged from 31.0% to 30.6% and 27.2% to 27.3%, respectively, followed by Lucerne, which ranged from 25.1% to 25.4%. The cultivation of Miscanthus has the lowest effect on these indicators, which ranged from 16.8% to 16.7%, respectively. The indicators of EP and AP show a positive impact on the environment, indicating a reduction in emissions.
Table 7. Summary results per functional unit (1 ha of cultivation) of environmental categories.
The following analysis results illustrate the impact of technology operations on the environmental performance of each perennial energy crop. Figure 5 shows the effect of environmental categories such as abiotic depletion, fossil fuels depletion, global warming, and ozone layer depletion.
Figure 5. The results of abiotic depletion, fossil fuels depletion, and global warming: (a) Reed Canary Grass; (b) Lucerne; (c) Switchgrass; (d) Miscanthus.
As a result of the cultivation of Reed canary grass, it was determined that the biggest related impacts were with the use of fertilizer, specifically nitrogen at 35.4% (AD), 17.9% (FFD), 20.7% (GWP), and 19.1% (OLD), followed by potassium at 17.4% (AD), 13.3% (FFD), 16.5% (GWP), and 15.8% (OLD). Additionally, the biggest effect on the environment was also caused by other technology operations such as chopping at 46.3% (AD), 44.4% (FFD), 90% (GWP), and 54% (OLD), followed by transportation at 18.9% (FFD, and 23.1% (GWP). A saving environmental effect was identified in biogas plant processes, which ranged from 16.5% to 30.2%. The highest saving emissions were seen in the case of categories GWP at 75.7% and OLD at 30.2%. The result of Lucerne indicated that the chopping operation had the highest emission impact for all environmental indicators, which ranged from 48.4% (FFD), 52.4% (OLD), and 56.5% (AD) to 77.03% (GWP), followed by potassium from 12% (GWP) to 18% (AD), harvest operation at 13% (OLD), and transportation at 13.7% (ADF) and 13.2% (GWP).
As a result of switchgrass cultivation, the biggest related impacts with the use of fertilizer were confirmed: nitrogen at 26.6% (AD), 12.5% (FFD), 12% (GWP), and 13.2% (OLD), followed by potassium at 25.1% (AD), 17.9% (FFD), 18% (GWP), and 21% (OLD). Additionally, the biggest effect on the environment is also amounted by other technology operations: chopping (39.1% (AD), 35% (FFD), 57.4% (GWP), 42% (OLD)), followed by transportation (20% for both FFD and GWP), and harvest operation (10.4% for OLD). A positive environmental effect was identified in biogas plant processes, which ranged from 7.8% to 13.2%. The highest saving emissions were in the category of global warming potential at 27.1%.
According to the results of the Miscanthus, the highest impacts with the use of fertilizer were discovered: nitrogen at 43.2% (AD), 20.4% (FFD), 32.1% (GWP), and 25.4% (OLD), followed by potassium at 25.1% (AD), 18% (FFD), 30.2% (GWP), and 24.9% (OLD). Secondly, the biggest effect on the environment is determined by chopping operation at 33.9% (AD), 30% (ADF), 82.4% (GWP), and 42.6% (OLD), followed by transportation (29.4% for FFD and 48.7% for GWP), plant protection at 12.7% and harvest at 10.5% for OLD, respectively. The positive saving effect on the environment was identified in biogas plants, which ranged from 23.2% to 46.4%. The highest saving emissions have amounted in the category of global warming potential at 135% and ozone layer depletion at 46.4%.
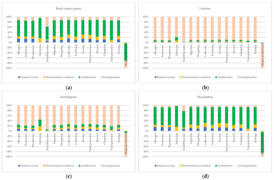
The environmental impact of categories of human toxicity, photochemical oxidation, acidification, and eutrophication are shown in Figure 6.
Figure 6. The results of human toxicity, photochemical oxidation, acidification, and eutrophication: (a) Reed Canary Grass; (b) Lucerne; (c) Switchgrass; (d) Miscanthus.
The analysis of the results shows that the use of fertilizer for Reed canary grass had the biggest effect on environmental performance, with nitrogen at 22.3% (HT), 12.1% (PO), and 87.4% (AC), followed by potassium at 11.5% (HT) and 46.9% (AC). Secondly, the chopping operation of Reed canary grass had the highest impact at 61.7% (HT), 71.4% (PO), and 317% (AC) and at 67% (EU), followed by digestate processing at 12.5% (AC), transportation at 69.5% (AC), 12.2% (EU), and plant protection at 15.3% (AC), plowing at 11% (AC) and harvest operation at 15.7% (AC). However, the case in the biogas plant procedures showed a saving effect for the environmental impact, which ranged from 13.2% (HT) to 227% (EP), respectively. The study of results of these environmental indicators showed that Lucerne cultivation had a significantly higher effect on Eutrophication, except for the biogas plant. The chopping operation had the biggest effect on other environmental indicators at 69% (HT), 72% (PO), and 114% (AC). Additionally, the use of fertilizer was at nitrogen 10.5% (AC), potassium 14,4% (AC), and 11% (HT). The savings effect has been generated by the biogas plant at 7.3% (HT), 8.8% (PO), and 93% (AC) as well. The results of the study show that the biggest effect comes from the utilization of fertilizers, with nitrogen at 17.4% (HT), 9.2% (PO), and 19.87% (AC), followed by potassium at 17.4% (HT), 8.5% (PO), and 20.5% (AC). The chopping operation has the highest effect on other environmental indicators at 54.2% (HT), 61.2% (PO), and 80.8% (AC). Additionally, transportation is 24% (AC). The savings environmental effect was generated by biogas plant procedures at 5.8% (HT), 7.5% (PO), and 65.6% (AC) as well. In contrast, the results of the cultivation of Switchgrass have the highest effect on the Eutrophication indicator, such as the cultivation of Lucerne. Similarly, the biogas plant has a savings effect on Eutrophication as well. The cultivation of Miscanthus has a significant effect on the environment, especially on acidification. The results are similar to Reed canary grass. However, the effect of Miscanthus cultivation is bigger compared to Reed canary grass. The nitrogen effect has been at 126.2%, potassium 80.3%, herbicide 19.6%, digestate 25.3%, plowing 18.6%, plant protection 26.2%, chopping 271%, transportation 136%, and so on. The technology operations have a lower effect on other environmental indicators such as nitrogenat 29.4% (HT), 16.3% (PO), and 11.3% (EU), followed by potassium at 17.9% (HT), 9.2% (PO), and 8.2% (EU). The chopping operation has the highest effect on other environmental indicators at 48.1% (HT), 57.2% (PO), and 25.4% (EU). The environmental savings were generated by biogas plant procedures, which ranged from 20% to 168%.
The results of fresh water aquatic ecotoxic, marine aquatic ecotoxicity, and terrestrial ecotoxicity are shown in Figure 7. The results of the study of Reed canary grass show that the highest effect is the use of nitrogen at 19.3% (FWAE) and 17.5% (MAE); operation of chopping at 10.7% (TWAE), 69.8% (MAE), and 35.2% (TE)) and biogas plant procedures at 36.7% (TE). The positive and saving effects of the environmental impact are determined in biogas plant procedures at 13.6% (FWAE) and 11.4% (MAE). In the case of Lucerne, chopping procedures have a significant effect on indicators of environmental impact: 73.5% (FWAE), 75.2% (MAE), and 47.6% (TE), followed by biogas plant procedure at 25% (TE). However, the savings effect was determined by biogas plant procedures in the environmental categories with 7.3% (FWAE) and 6.1% (MAE), respectively.
Figure 7. The results of fresh water aquatic ecotoxic, marine aquatic ecotoxicity, and terrestrial ecotoxicity: (a) Reed Canary Grass; (b) Lucerne; (c) Switchgrass; (d) Miscanthus.
The results from Switchgrass are shown as the biggest effect is the use of nitrogen at 15.1% (TWAE), 14% (MAE), and 8.6% (TE), which is followed by potassium at 16.1% (TWAE), 14.2% (MAE), and 15.1% (TE). The highest effect takes from the operation of chopping at 60% (TWAE), 62.3% (MAE), and 40% (TE), which is followed by biogas plant procedures at 20.5% (TE). The positive environmental effect has amounted to biogas plant procedures at 6% (FWAE) and 5.1% (MAE). The results showed that the cultivation of Miscanthus has the highest impact on the environment with the use of fertilizer, with nitrogen at 26.4% (FWAE), 24.2% (MAE), and 9.2% (TE), followed by potassium at 17.3 (FWAE), 15.2% (MAE), and 9.9% (TE). The operation of chopping has the biggest effect on environmental indicators, including 55% (FWAE), 57% (MAE), and 22% (TE), followed by the biogas plant procedure at 45.1% (TE). However, the savings effect was determined by biogas plant procedures in the environmental categories of 21.4% (FWAE) and 18.2% (MAE), respectively.

4. Discussion

In summary of the results of the study in Section 3, it is evident that the cultivation of Reed canary grass and Miscanthus has the highest effect on the acidification indicator, while the cultivation of Lucerne and Switchgrass has the biggest effect on the eutrophication indicator. All perennial crops have a significant impact on other indicators, such as ozone layer depletion, freshwater aquatic ecotoxic, and marine aquatic ecotoxicity. The lower effect was determined on abiotic depletion, human toxicity, photochemical oxidation, and terrestrial ecotoxicity. In conclusion, regarding the results of energy and economy input (cost), the cultivation of Miscanthus and Lucerne is cheaper and more suitable for biogas production. However, the environmental performance of all perennial crops has revealed that they cause damage to the environment. Additionally, we discovered that biogas plant procedures have a saving effect on the environment for all indicators, except terrestrial ecotoxicity (Reed canary grass, Lucerne, Switchgrass, and Miscanthus) and eutrophication (Reed canary grass). The highest effect on the environment has amounted to the use of fertilizers and technology operations such as chopping, transportation, plowing, harvesting, digestate, and plant protection. Hence, we disclosed very similar effects between all of these perennial crops on each environmental category.
Numerous studies have been conducted by researchers on the environmental performance of perennial crops used for biogas production, including miscanthus, reed canary grass, wheatgrass, maize, perennial wild plant mixtures, lucerne, switchgrass, perennial C4 grasses, etc. The results of these studies have shown varying effects on the environment. For instance, Bernas et al., 2019, suggested replacing maize production with more suitable energy crops such as Wheatgrass, Reed canary grass, and Miscanthus. However, the results of the analysis showed that regardless of its relevant environmental benefits, Wheatgrass cannot be useful as an economically viable alternative to maize [24]. Gasola et al., 2009, compared the bioenergy system by applying a life cycle assessment to Ethiopian mustard and natural gas. They identified that the use of fertilizers affects between 39% and 67% of emissions and the impact in them. Furthermore, diesel used in agricultural vehicles and tractors has a considerable impact on the category’s emissions (40–85%) [9]. Colin et al., 2022, determined that sorghum and miscanthus are significant energy crops for the utilization concerning biogas production. By applying the life cycle assessment, it was determined that large effects are generated by crop production and the purification and injection stage for both sorghum and miscanthus. In addition, sorghum utilization for biomethane production presents a reduction in climate changes ranging from 90% to 105% and miscanthus might reduce climate change by 60% to 80% [25]. Other researchers confirmed positive economic and environmental sentiments toward cultivating miscanthus as a suitable biomass for the biogas sector [54]. Perennial C4 grasses and especially miscanthus showed the best results on the reduction changes for 66% climate change, 74% fossil fuel depletion, 63% freshwater eutrophication, 60% marine eutrophication, and 21% terrestrial acidification [23]. Okeke et al., 2020, who analyzed the miscanthus chain flow of cultivation, harvesting, and transportation to the biogas plant, disclosed that the miscanthus for bio-diesel production could reduce GHG emissions by up to 73% compared with fossil diesel [15]. Lask et al., 2021, concentrated on miscanthus utilization for second-generation ethanol production. The main problem was that ethanol fermentation increases CO2 ejected in a highly concentrated form and this can be directly compressed, injected, and stored in specific oil reservoirs. Considering the protection of the environment, it is necessary to monitor and manage these emissions from waste combustion [74].
Many studies have promoted biomethane production from maize silage production. Adams and McManus, 2019, identified that biomethane production emissions from maize accounted for 33.8 gCO2e/MJ [8]. Hence, minimizing emissions from biomethane production is important to reduce the cost of fertilizer production, nitrogen inhibitors, imported electricity use, and fugitive methane. Bacenetti et al., 2014, performed a study of life cycle assessment for the environmental performances of maize and maize plus wheat. All of these systems showed that fertilizer emissions, diesel fuel emissions, diesel fuel production, and pesticide production have the biggest effect on environmental performance [11]. Hijazi et al., 2016, disclosed that the feedstock of maize, grass, or animal manure is a relevant element for the environmental influence of the biogas process. It is very important to improve biogas plant technologies and manage them by assembling the biogas during the saving of digested waste or installing a gas flare. This may improve the greenhouse gas balance of biogas plants [39]. Lask et al., 2020, suggested changing maize silage to perennial wild plant mixtures (WPM) for biogas production because it improves soil quality and expands agrobiodiversity. By applying a life cycle assessment, it has been discovered that WPM has lower marine eutrophication and global warming potential than maize [74]. In addition, straw and corn silage are the most sustainable feedstock for biogas due to their higher energy density which is connected with low environmental effects and associated with feedstock supply logistics and land use [13].
Several studies have found that the chain of maize, sorghum, and triticale biomethane exceeds the minimum limit of the value of GHG saving (35%) mostly due to the open storage of digestate. However, after covering the digestate storage in tanks and using heat and electricity from the biogas cogeneration plant, it could be reduced by 68.9% [21]. Pieratti et al., 2020, assessed the environmental impacts of 18 biomass-based plants located in the Alpine region using a life cycle assessment. Their results showed that the “critical points” were the transportation and processing phases [75]. Borghi et al., 2022, carried out a correlation with four vegetable crops (beans, peas, sweet corn, and tomatoes) and crop yield through a combination of agriculture and a life cycle assessment. Yield fluctuation plays a critical role in the environmental performance of crops.
Other researchers have noticed that agricultural waste is the most suitable for biogas production. They found that energy from biogas production was saved in eight out of seventeen environmental categories. Moreover, biogas processes are profitable and pay back in about 2 years [76]. Prasada et al., 2020, suggest paying attention to crop residues available for energy generation; otherwise, crop residues pose a threat to environmental pollution and cause health problems [14]. Subramaniam et al., 2021, determined that the higher GHG emissions for biogas utilization were caused by logged-over forests and the palm oil mill [77]. Arnold, 2010, found that the supply chain of agriculture processes promotes the highest GHG emissions of biomethane. If the N20 nitrogen fertilizer utilization consists of 5%, the GHG reduction potential of biomethane versus natural gas is very slight. Using fallow land with diesel fuel gave a global warming potential reduction of 85% [78]. In addition, it has been noticed that higher fertilization had a lower environmental mitigation impact per biogas energy [16]. Samson-Brek et al., 2022, focused on the replacement of maize silage substrate with waste from the domestic agri-food industry. They discovered that biogas production from waste brings environmental utility and affects the environment positively, particularly in the areas of human health and other resource categories [10]. Ardolino and Arena, 2019, compared two ways for biomethane production from biowaste: ‘‘biogas road” and “syngas road”. The proposed strategy by the “syngas road” for the evaluation of environmental performance showed higher levels of carbon utilization and better environmental performance, even though its technology may appear possible for only a plant capacity of 200 MW biomethane or more [79]. Some researchers determined that the higher GHG emissions for biogas utilization were caused by logged-over forests and the palm oil mill [77], and other research disclosed a conceptual linkage between supply-chain and social life-cycle analysis [80]. They emphasized that the cultivation of perennial plants can cause a lead between stakeholders. As such, annual crops are comprehended by all stakeholders as very hopeful possibilities across all impact categories.

5. Conclusions

The analysis of this research was applied to four energy perennial crops: Reed canary grass, Lucerne, Switchgrass, and Miscanthus for the determined energy–economy effectiveness and environmental performance. The similarity of these plants is that they used the same technology for their field operations. The differences were determined by the rate of fertilizers, pesticides, seeds/rhizomes, and yield. The energy analysis of the results revealed that perennial crops such as Lucerne and Miscanthus have lower indirect inputs but higher direct inputs. In contrast, Reed canary grass and Switchgrass have lower direct inputs but higher indirect inputs. However, the economic analysis disclosed that perennial crops of Reed canary grass and Switchgrass have more expensive costs of preparation for biogas production than Lucerne and Miscanthus. The results of the perennial crops by technology operations disclosed that the highest direct energy and economy input (cost) are plowing, herbicide spraying, ensilage, and transportation, followed by indirect energy and economy input (cost), which includes agromachinery intensity and the use of fertilizers. The lowest direct energy and economy input (cost) includes fertilization, sowing, rolling, harvesting, and chopping, followed by indirect energy and economy input (cost) by agromachinery intensity and the use of seed and fertilizers, as well as herbicides.
The estimation of environmental performance disclosed that the cultivation of perennial crops affected nature differently. The environmental performance evaluation of four perennial crops showed the highest effect on the main five environmental indicators: global warming (climate change), fossil fuel depletion, human toxicity, freshwater aquatic ecotoxic, and marine aquatic ecotoxicity. Reed canary grass and Miscanthus have the biggest effect on the acidification indicator. Lucerne and Switchgrass have the highest effect on the eutrophication indicator.

Author Contributions

Conceptualization, R.B.; methodology R.B., K.V. and K.N.; software, R.B.; validation A.M.; formal analysis, R.B.; investigation, R.B.; resources, R.B. and K.V.; data curation, R.B.; writing—original draft preparation, R.B.; review and editing, A.M., K.V. and K.N.; visualization, R.B.; supervision, A.M.; project administration, A.M., K.V. and K.N.; funding acquisition, R.B. All authors have read and agreed to the published version of the manuscript.

Funding

This research was funded by the European Social Fund No. 09.03.3-LMT-K-712 “Development of Competencies of Scientists, other Researchers and Students through Practical Research Activities”.

Data Availability Statement

Not applicable.

Acknowledgments

The authors gratefully acknowledge the European Social Fund for the support of this study under the 2014–2020 Operation Programme for the European Union Funds Investments in Lithuania.

Conflicts of Interest

The authors declare no conflict of interest.

References

  1. European Commission. Assessment of Lithuania’s final national energy and climate action plan. Comm. Serv. Work. Doc. 2020, 10, 1–29. Available online: https://energy.ec.europa.eu/system/files/2021-01/staff_working_document_assessment_necp_lithuania_lt_0.pdf (accessed on 24 October 2022).
  2. Stinner, P.W.; Deuker, A.; Schmalfuß, T.; Brock, C.; Rensberg, N.; Denysenko, V.; Trainer, P.; Möller, K.; Zang, J.; Janke, L.; et al. Perennial and Intercrop Legumes as Energy Crops for Biogas Production; Springer Nature Singapore Pte Ltd.: Singapore, 2018; pp. 1–34. [Google Scholar]
  3. Holliger, C.; Laclos, H.F.; Hack, G. Methane Production of Full-Scale Anaerobic Digestion Plants Calculated from Substrate’s Biomethane Potentials Compares Well with the One Measured On-Site. Front. Energy Res. 2017, 5, 12. [Google Scholar] [CrossRef]
  4. Bahrs, E.; Angenendt, E. Status quo and perspectives of biogas production for energy andmaterial utilization. GCB Bioenergy 2019, 11, 9–20. Available online: https://onlinelibrary.wiley.com/doi/epdf/10.1111/gcbb.12548 (accessed on 30 October 2022). [CrossRef]
  5. Adnan, A.I.; Mei Yin Ong, M.Y.; Nomanbhay, S.; Chew, K.W.; Show, P.L. Technologies for Biogas Upgrading to Biomethane: A Review. Bioengineering 2019, 6, 92. [Google Scholar] [CrossRef] [PubMed]
  6. Alberici, S.; Grimme, W.; Toop, G. Biomethane production potentials in the EU; A Gas for Climate Report. July 2022. pp. 1–35. Available online: https://www.europeanbiogas.eu/wp-content/uploads/2022/07/GfC_national-biomethane-potentials_070722.pdf (accessed on 25 November 2022).
  7. Kabeyi, M.J.B.; Olanrewaju, O.A. Biogas Production and Applications in the Sustainable Energy Transition. J. Energy 2022, 2022, 8750221. [Google Scholar] [CrossRef]
  8. Adams, P.W.R.; McManus, M.C. Characterisation and variability of greenhouse gas emissions from biomethane production via anaerobic digestion of maize. J. Clean. Prod. 2019, 218, 529–542. [Google Scholar] [CrossRef]
  9. Gasola, C.M.; Gabarrella, X.; Antonc, A.; Rigolad, M.; JCarrascoe, J.; Ciriae, P.; Rieradevalla, J. LCA of poplar bioenergy system compared with Brassica carinata energy crop and natural gas in regional scenario. Biomass Bioenergy 2009, 33, 119–129. [Google Scholar] [CrossRef]
  10. Samson-Brek, I.; Owczuk, M.; Matuszewska, A.; Biernat, K. Environmental Assessment of the Life Cycle of Electricity Generation from Biogas in Polish Conditions. Energies 2022, 15, 5601. [Google Scholar] [CrossRef]
  11. Bacenetti, J.; Fusi, A.; Negri, M.; Guidetti, R.; Fiala, M. Environmental assessment of two different crop systems in terms of biomethane potential production. Sci. Total Environ. 2014, 466–467, 1066–1077. [Google Scholar] [CrossRef]
  12. Borghi, A.D.; Tacchino, V.; Moreschi, L.; Matarazzo, A.; Gallo, M.; Vazquez, D.A. Environmental assessment of vegetable crops towards the water-energy-food nexus: A combination of precision agriculture and life cycle assessment. Ecol. Indic. 2022, 140, 10901. [Google Scholar] [CrossRef]
  13. Poeschl, M.; Ward, S.; Owende, P. Environmental impacts of biogas deployment. Part II: Life cycle assessment of multiple production and utilization pathways. J. Clean. Prod. 2012, 24, 184–201. [Google Scholar] [CrossRef]
  14. Prasada, S.; Singhb, A.; Korresc, N.K.; Rathored, D.; Sevdae, S.; Pant, D. Sustainable utilization of crop residues for energy generation: A life cycle assessment (LCA) perspective. Bioresour. Technol. 2020, 303, 122964. [Google Scholar] [CrossRef]
  15. Okeke, I.J.; Sahoo, K.; Kaliyan, N.; Mani, S. Life cycle assessment of renewable diesel production via anaerobic digestion and Fischer-Tropsch synthesis from miscanthus grown in strip-mined soils. J. Clean. Prod. 2020, 249, 119358. [Google Scholar] [CrossRef]
  16. Nilsson, J.; Sundberg, C.; Tidaker, P.; Hansson, P.A. Regional variation in climate impact of grass-based biogas production: A Swedish case study. J. Clean. Prod. 2020, 275, 122778. [Google Scholar] [CrossRef]
  17. Lask, J.; Guajardo, A.M.; Weik, J.; Cossel, M.V.; Lewandowski, I.; Wagne, M. Comparative environmental and economic life cycle assessment of biogas production from perennial wild plant mixtures and maize (Zea mays L.) in Southwest Germany. GCB Bioenergy 2020, 12, 571–585. [Google Scholar] [CrossRef]
  18. Rodríguez, B.C.; Zuazo, V.H.D.; Soriano Rodríguez, M.S.; García-Tejero, I.F.; Gálvez Ruiz, B.; Repullo-Ruibérriz de Torres, M.A.; Ordóñez-Fernández, R.; Carbonell-Bojollo, R.M.; Cuadros Tavira, S. Legumes protect the soil erosion and ecosystem services. In Advances in Legumes for Sustainable Intensification; Academic Press: Cambridge, MA, USA, 2022; pp. 242–266. [Google Scholar]
  19. McCabe, K.M.B.; Schmidt, T. Integrated Biogas Systems Local Applications of Anaerobic Digestion towards Integrated Sustainable Solutions; IEA Bioenergy: Paris, France, 2018; pp. 1–28. Available online: https://www.ieabioenergy.com/wp-content/uploads/2018/06/Integrated-biogas-systems_WEB.pdf (accessed on 24 January 2023).
  20. Nekrošius, A. Sustainability and Impact on Environmental Pollution of Using Perennial Grasses for Biogas Production. Ph.D. Dissertation, Stulginskis University, Agriculture at the Faculty of Engineering, Institute of Energy and Biotechnology Engineering Kaunas District, Akademija, Lithuania, 2014; pp. 1–23. [Google Scholar]
  21. Buratti, C.; Barbanera, M.; Fantozzi, F. Assessment of GHG emissions of biomethane from energy cereal crops in Umbria, Italy. Appl. Energy 2013, 108, 128–136. [Google Scholar] [CrossRef]
  22. Pugesgaard, S.; Schelde, K.; Larsen, S.U.; Erke, E.P.; Jørgensen, U. Comparing annual and perennial crops for bioenergy production–influence on nitrate leaching and energy balance. GCB Bioenergy 2015, 7, 1136–1149. [Google Scholar] [CrossRef]
  23. Kiesel, A.; Wagner, M.; Lewandowski, I. Environmental Performance of Miscanthus, Switchgrass and Maize: Can C4 Perennials Increase the Sustainability of Biogas Production? Sustainability 2017, 9, 5. [Google Scholar] [CrossRef]
  24. Bernas, J.; Moudrý, J., Jr.; Kopecky, M.; Konvalina, P.; Šterba, Z. Szarvasi-1 and Its Potential to Become a Substitute for Maize Which Is Grown for the Purposes of Biogas Plants in the Czech Republic. Agronomy 2019, 9, 98. [Google Scholar] [CrossRef]
  25. Colin, J.; Laurence, T.H.; Helene, C. Life Cycle Assessment of Two Alkaline Pretreatments of Sorghum and Miscanthus and of Their Batch Co-digestion with Cow Manure. Bioenergy Res. 2022, 15, 810–833. [Google Scholar]
  26. Vítěz, T.; Koutný, T.; Geršl, M.; Kudělka, J.; Nitayapat, N.; Ryant, P.; Hejduk, S.; Lošák, T.; Vítězová, M.; Mareček, J. Biogas and methane yield from Ryegrass. Acta Univ. Agric. Et Silvic. Mendel. Brun. 2015, 63, 143–146. Available online: http://acta.mendelu.cz/artkey/acu-201501-0019_biogas-and-methane-yield-from-rye-grass.php (accessed on 3 January 2023). [CrossRef]
  27. Bužinskienė, R.; Miceikienė, A. Cost–Benefit Analysis for Supply Chain of Renewable Gases from Perennial Energy Crops: The Case of Lithuania. Sustainability 2022, 14, 10988. [Google Scholar] [CrossRef]
  28. Martınez-Perez, N.; Cherryman, S.J.; Premier, G.C.; Dinsdale, R.M.; Hawkes, D.L.; Hawkes, F.R.; Kyazze, G.; Guwy, A.J. The potential for hydrogen-enriched biogas production from crops: Scenarios in the UK. Biomass Bioenergy 2007, 31, 95–104. [Google Scholar] [CrossRef]
  29. Mast, B.; Lemmerb, A.; Oechsnerb, H.; Reinhardt-Hanischb, A.; Claupeina, W.; Graeff-Hönninger, S. Methane yield potential of novel perennial biogas crops influenced by harvest date. Ind. Crops Prod. 2014, 58, 194–203. [Google Scholar] [CrossRef]
  30. Amaleviciute-Volunge, K.; Slepetiene, A.; Butkute, B. Methane yield of perennial grasses as affected by the chemical composition of their biomass. Zemdirbyste-Agriculture 2020, 107, 243–248. [Google Scholar] [CrossRef]
  31. Drazic, G.; Rakašćan, N.; Dražić, N. Agri-energy Crops for Biogas Production Regimes. Int. J. Innov. Approaches Agric. Res. 2021, 5, 230–240. [Google Scholar] [CrossRef]
  32. Jensen, A.A.; Hoffman, L.; Møller, B.T.; Schmidt, A. Life-cycle assessment (LCA)—A guide to approaches, experiences and information sources, European Environment Agency. Environ. Issues Ser. 1997, 6, 1–116. [Google Scholar]
  33. Navickas, K.; Venslauskas, V. Life Cycle Assessment of Biomass. Academy. 2012, pp. 1–85. Available online: http://www.esparama.lt/es_parama_pletra/failai/ESFproduktai/2012_Biomases_buvio_ciklo_analize_mokomoji_knyga.pdf (accessed on 5 January 2023).
  34. ISO 14040:2006; Environmental Management—Life Cycle Assessment—Principles and Framework International Organization for Standardization. ISO: Brussels, Belgium, 2006.
  35. ISO 14044:2006; Environmental Management—Life Cycle Assessment—Requirements and Guidelines International Organization for Standardization. ISO: Brussels, Belgium, 2006.
  36. Guinée, J.B.; Heijungs, R.; Huppes, G.; Kleijn, R.; de Koning, A.; van Oers, L.; Wegener Sleeswijk, A.; Suh, S.; Udo de Haes, H.A.; de Bruijn, H. Life Cycle Assessment. Operational Guide to the ISO Standards. I: LCA in Perspective. IIa: Guide. IIb: Operational Annex. III: Scientific Background; Ministries of the Netherlands: Dordrecht, The Netherlands, 2002; p. 692.
  37. Holka, M.; Kowalska, J.; Jakubowska, M. Reducing Carbon Footprint of Agriculture—Can Organic Farming Help to Mitigate Climate Change? Agriculture 2022, 12, 1383. [Google Scholar] [CrossRef]
  38. CML—Department of Industrial Ecology. CML-IA Characterisation Factors, 5 September 2016. Available online: https://www.universiteitleiden.nl/en/research/research-output/science/cml-ia-characterisation-factors (accessed on 4 December 2022).
  39. Hijazi, O.; Munro, S.; Zerhusen, B.; Effenberger, M. Review of life cycle assessment for biogas production in Europe. Renew. Sustain. Energy Rev. 2016, 54, 1291–1300. [Google Scholar] [CrossRef]
  40. Akbulut, A. Techno-economic analysis of electricity and heat generation from farm-scale biogas plant: Çiçekdagı case study. Energy 2012, 44, 381–390. [Google Scholar] [CrossRef]
  41. Kreuger, E.; Nges, I.A.; Björnsson, L. Ensiling of crops for biogas production: Effects on methane yield and total solids determination. Biotechnol. Biofuels 2011, 4, 30–44. [Google Scholar] [CrossRef]
  42. Liebetrau, J.; Clemens, J.; Cuhls, C.; Hafermann, C.; Friehe, J.; Weiland, P. Methane emissions from biogas-producing facilities within the agricultural sector. Eng. Life Sci. 2010, 10, 595–599. [Google Scholar] [CrossRef]
  43. Gissén, C.; Prade, P.; Kreuger, E.; Nges, I.A.; Rosenqvist, H.; Svensson, S.E.; Lantz, M.; Mattsson, J.E.; Börjesson, P.; Björnsson, L. Comparing energy crops for biogas production—Yields, energy input and costs in cultivation using digestate and mineral fertilisation. Biomass Bioenergy 2014, 64, 199–210. [Google Scholar] [CrossRef]
  44. Berglund, M.; Borjesson, P. Assessment of energy performance in the life-cycle of biogas production. Biomass Bioenergy 2006, 30, 254–266. [Google Scholar] [CrossRef]
  45. Bakasėnas, A. Analysis of total energy input in operation of agriculture machinery. Res. Pap. IAg Eng. LUA LU Agric. 2006, 38, 5–16. [Google Scholar]
  46. Nekrošius, A.; Navickas, K.; Venslauskas, K.; Kadžiulienė, Ž.; Tilvikienė, V. Assessment of energy biomass potential and greenhouse gas emissions from biogas production from perennial grasses. Zemdirbyste-Agriculture 2014, 101, 271–278. [Google Scholar] [CrossRef]
  47. Butkutė, B.; Lemežienė, N.; Kanapeckas, L.; Navickas, K.; Dabkevičius, Z.; Venslauskas, K. Cocksfoot, tall fescue and reed canary grass: Dry matter yield, chemical composition and biomass convertibility to methane. Biomass Bioenergy 2014, 66, 1–11. [Google Scholar] [CrossRef]
  48. Tilvikiene, V.; Kadziuliene, Z.; Dabkevicius, Z.; Venslauskas, K.; Navickas, K. Feasibility of tall fescue, cocksfoot and reed canary grass for anaerobic digestion: Analysis of productivity and energy potential. Ind. Crops Prod. 2016, 84, 87–96. [Google Scholar] [CrossRef]
  49. Norkevičienė, E.; Kemešytė, V.; Dabkevičienė, G.; Butkutė, B. Yield of Lithuania-grown switchgrass populations differing in ploidy level. Agric. Food 2016, 4, 74–84. [Google Scholar]
  50. Jurgutis, L.; Šlepetienė, A.; Amalevičiūtė-Volungė, K.; Volungevičius, J.; Šlepetys, J. The effect of digestate fertilisation on grass biogas yield and soil properties in field-biomass-biogas-field renewable energy production approach in Lithuania. Biomass Bioenergy 2021, 153, 106211. [Google Scholar] [CrossRef]
  51. Kandel, T.P.; Sutaryo, S.; Mølle, H.B.; Jørgensen, U.; Lærke, P.U. Chemical composition and methane yield of reed canary grass as influenced by harvesting time and harvest frequency. Bioresour. Technol. 2013, 130, 659–666. [Google Scholar] [CrossRef]
  52. Tilvikienė, V. Production of Alternative Biomass Sources (Including Alternative Protein Production Sources and Technologies) in Primary Agriculture: Technological Solutions, Their Use for Bioeconomy Development Purposes—Energy, Feed, Food; Lithuanian Research Centre for Agriculture and Forestry: Kaunas, Lithuania, 2020; pp. 1–169. [Google Scholar]
  53. Krzyżaniak, M.; Stolarski, M.J.; Warmiński, K. Life Cycle Assessment of Giant Miscanthus: Production on Marginal Soil with Various Fertilisation Treatments. Energies 2020, 13, 1931. [Google Scholar] [CrossRef]
  54. Anderson, E.K.; Lee, D.; Allen, D.J.; Voigt, T.B. Agronomic factors in the establishment of tetraploid seeded Miscanthus giganteus. GCB Bioenergy 2015, 7, 1075–1083. [Google Scholar] [CrossRef]
  55. Wagner, M.; Mangold, A.; Lask, J.; Petig, E.; Kiesel, A.; Lewandowsk, I. Economic and environmental performance of miscanthus cultivated on marginal land for biogas production. GCB Bioenergy 2019, 11, 34–49. [Google Scholar] [CrossRef]
  56. Kryževičienė, A.; Kadžiulienė, Ž.; Šarūnaitė, L.; Dabkevičius, Z.; Tilvikienė, V.; Šlepetys, J. Cultivation of Miscanthus × giganteus for biofuel and its tolerance of Lithuania’s climate. Žemdirbystė-Agriculture 2011, 98, 267–274. [Google Scholar]
  57. Wernet, G.; Bauer, C.; Steubing, B.; Reinhard, J.; Moreno-Ruiz, E.; Weidema, B. The ecoinvent database version 3 (part I): Overview and methodology. Int. J. Life Cycle Assess. 2016, 21, 1218–1230. [Google Scholar] [CrossRef]
  58. Tilvikienė, V.; Butkutė, B.; Dabkevičius, Z.; Kadžiulienė, Ž.; Kryževičienė, A. Changes in the biomass of tall fescue and common cocksfoot during the flowering stages. Agriculture 2009, 96, 138–150. [Google Scholar]
  59. Jasinskas, A.; Kryževičienė, A. Energetic grassland and the input of growing them and preparation for fuel. Res. Pap. IAg Eng. LUA LU Agric. 2006, 38, 59–71. Available online: https://gs.elaba.lt/object/elaba:6212483/ (accessed on 2 January 2023).
  60. Dubrovskis, V.; Adamovičs, A.; Plūme, I. Biogas production from reed canary grass and silage of mixed oats and barley. In Proceedings of the Engineering for Rural Development, Jelgava, Latvia, 28–29 May 2009; pp. 243–246. [Google Scholar]
  61. Adler, P.E.R.; Sanderson, M.A.; Boateng, A.A.; Weimer, P.J.; Jung, H.-J.G. Biomass yield and biofuel quality of switchgrass harvested in fall or spring. Agron 2006, 98, 1518–1525. [Google Scholar] [CrossRef]
  62. Lithuanian Agricultural Information and Rural Business Center. Prices of Mechanized Agricultural Services in 2022. Available online: https://www.vic.lt/zumpris/2022/06/07/mechanizuotu-zemes-ukio-paslaugu-kainos-2022-m/ (accessed on 12 February 2023).
  63. Lithuanian Institute of Agricultural Economy. Possibilities and Needs of Biogas Production and Use Evaluation and Development Opportunities. 2018, pp. 1–137. Available online: https://zum.lrv.lt/uploads/zum/documents/files/LT_versija/Veiklos_sritys/Zemes_ir_maisto_ukis/Bioenergetika/BIodujustudija%202018.pdf (accessed on 2 February 2023).
  64. Rutkauskas, G. Energetic, Economic and Technical Evaluation of Crop Production Technologies and Equipment and Justification of Rational Machine Complexes for Farms of Various Sizes of Traditional (Chemicalized) and Organic Farming Systems (2011–2012). 2012. Available online: https://zum.lrv.lt/uploads/zum/documents/files/LT_versija/Veiklos_sritys/Mokslas_mokymas_ir_konsultavimas/Moksliniu_tyrimu_ir_taikomosios_veiklos_darbu_galutines_ataskaitos/SUma%C5%A1in%C5%B3kompl_2012.pdf (accessed on 5 February 2023).
  65. Sakalauskas, A. The Use of Perennial Grasses and Non-Traditional Herbaceous Plants (Miscanthus, Sida, Legumes, Cane Grass) and Their Mixtures for the Production of Pressed Biofuel. Academy. 2014, pp. 1–68. Available online: https://zum.lrv.lt/uploads/zum/documents/files/LT_versija/Veiklos_sritys/Mokslas_mokymas_ir_konsultavimas/Moksliniu_tyrimu_ir_taikomosios_veiklos_darbu_galutines_ataskaitos/7darbas2014.pdf (accessed on 15 February 2023).
  66. Oleszek, M.; Matyka, M. Energy Use Efficiency of Biogas Production Depended on Energy Crops, Nitrogen Fertilization Level, and Cutting System. BioEnergy Res. 2020, 13, 1069–1081. Available online: https://link.springer.com/content/pdf/10.1007/s12155-020-10147-2.pdf (accessed on 10 February 2023). [CrossRef]
  67. Tilvikienė, V. Use of Degassed Biosubstrate for Fertilization of Agricultural Plants of the 2015–2020 Scientific Research and Applied Activity Project of Agriculture, Food Industry and Fisheries. LAMMC Academy. 2019, pp. 1–95. Available online: https://zum.lrv.lt/uploads/zum/documents/files/1_%20LAMMC%20degazuotas%20biosubstratas%20galutin%C4%97.pdf (accessed on 15 November 2022).
  68. Kvedaras, A.K.; Šapalas, A.; Šaučiuvėnas, G.; Blaževičius, Ž. Large Valorisation on Sustainability of Steel Structures; Research and Innovationm Vilnius Technology; European Commission: Brussels, Belgium, 2014; pp. 1–94. [Google Scholar]
  69. Shindell, G.; Bréon, D.; Collins, F.M.; Fuglestvedt, W.; Huang, J.; Koch, J.; Lamarque, D.; Lee, J.F.; Mendoza, D.; Nakajima, B.; et al. Anthropogenic and Natural Radiative Forcing. In Climate Change 2013: The Physical Science Basis. Contribution of Working Group I to the Fifth Assessment Report of the Intergovernmental Panel on Climate Change; Stocker, T.F., Qin, D., Plattner, G.-K., Tignor, M., Allen, S.K., Boschung, J., Eds.; Cambridge University Press: Cambridge, UK, 2013; pp. 659–740. [Google Scholar]
  70. Heffels, T.; McKenna, R.; Fichtner, W. An ecological and economic assessment of absorption-enhanced-reforming (AER) biomass gasification. Energy Convers. Manag. 2014, 77, 535–544. [Google Scholar] [CrossRef]
  71. Acero, A.P.; Rodríguez, C.; Ciroth, A. Impact Assessment Methods in Life Cycle Assessment and Their Impact Categories. 2015, pp. 1–22. Available online: https://www.openlca.org/wp-content/uploads/2015/11/LCA-METHODS-v.1.5.2.pdf (accessed on 16 February 2023).
  72. Galgani, P.; Woltjer, G.; Toorop, R.A.; Ruiz, A.G. Fossil Fuel and Other Nonrenewable Material Depletion: True Pricing Method for Agri-Food Products; Wageningen University & Research: Wageningen, The Netherlands, 2021; pp. 1–14. [Google Scholar]
  73. Farinha, C.; Brito, J.; Veiga, M. Chapter 8—Life cycle assessment. In Eco-Efficient Rendering Mortars: Use of Recycled Materials; Woodhead Publishing Series in Civil and Structural Engineering; Woodhead Publishing: Sawston, UK, 2021; pp. 205–234. [Google Scholar]
  74. Lask, J.; Rukavina, S.; Zorić, I.; Kam, J.; Kiesel, A.; Lewandowski, I.; Wagne, M. Lignocellulosic ethanol production combined with CCS—A study of GHG reductions and potential environmental trade-offs. GCB Bioenergy 2021, 13, 336–347. [Google Scholar] [CrossRef]
  75. Pieratti, E.; Paletto, A.; Atena, A.; Bernardi, S.; Palm, M.; Patzelt, D.; Romagnoli, M.; Teston, F.; Grega, E.V.; Grebenc, T.; et al. Environmental and Climate Change impacts of eighteen Biomass-Based Plants in the Alpine Region: A Comparative Analysis. J. Clean. Prod. 2020, 242, 118449. [Google Scholar]
  76. Balcioglu, G.; Jeswani, H.K.; Azapagic, A. Evaluating the environmental and economic sustainability of energy from anaerobic digestion of different feedstocks in Turkey. Sustain. Prod. Consum. 2022, 32, 924–941. [Google Scholar] [CrossRef]
  77. Subramaniam, V.; Loh, S.K.; Aziz, A.A. GHG analysis of the production of crude palm oil considering the conversion of agricultural wastes to by-products. Sustain. Prod. Consum. 2021, 28, 1552–1564. [Google Scholar] [CrossRef]
  78. Arnold, K. Life cycle assessment of greenhouse gas mitigation of production and use of bio-methane: Sensitivity of effects from N2O emissions. J. Integr. Environ. Sci. 2010, 7, 257–267. [Google Scholar] [CrossRef]
  79. Ardolino, F.; Arena, U. Biowaste-to-Biomethane: An LCA study on biogas and syngas roads. Waste Manag. 2019, 87, 441–453. [Google Scholar] [CrossRef] [PubMed]
  80. Panoutsou, C.; Cosse, M.V.; Ciria, P.; Ciria, C.S.; Baraniecki, P.; Monti, A.; Zanetti, F.; Dubois, J.L. Social considerations for the cultivation of industrial crops on marginal agricultural land as feedstock for bioeconomy. Biofuels Bioprod. Bioref. 2022, 16, 1319–1341. [Google Scholar] [CrossRef]
Disclaimer/Publisher’s Note: The statements, opinions and data contained in all publications are solely those of the individual author(s) and contributor(s) and not of MDPI and/or the editor(s). MDPI and/or the editor(s) disclaim responsibility for any injury to people or property resulting from any ideas, methods, instructions or products referred to in the content.

Article Metrics

Citations

Article Access Statistics

Multiple requests from the same IP address are counted as one view.