Effects of Different Micro-Irrigation Methods on Water Use and the Economic Benefits of an Apple–Soybean Intercropping System
Abstract
1. Introduction
2. Materials and Methods
2.1. Study Area
2.2. Experimental Material
2.3. Experimental Design
2.4. Measurements
2.4.1. Soil Water Content Measurement
2.4.2. Apple and Soybean Root Growth and Distribution
2.4.3. Soybean Yield Measurement
2.4.4. Economic Indicator Measurement
2.5. Data Processing and Statistical Analysis
2.5.1. Soil Water Content Calculation
2.5.2. Water Consumption Calculation
2.5.3. Water-Use Efficiency
2.5.4. Economic Benefit Evaluation
3. Results
3.1. Spatial Distribution of Soil Water
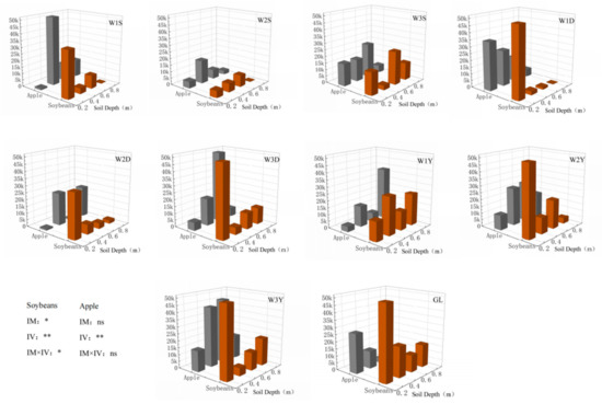
3.2. Effects of Micro-Irrigation Water Regulation on the Vertical Root Distributions of Apple and Soybean
3.3. Effects of Micro-Irrigation Regulation on Yield and Water Use in the Intercropping System
3.4. Effects of Micro-Irrigation Regulation on Economic Benefits in the Intercropping System
4. Discussion
4.1. Effects of Different Micro-Irrigation Water Regulation Systems on the Spatial Distribution of Soil Water
4.2. Effects of Different Micro-Irrigation Regulation Methods on Root Distribution in the Intercropping System
4.3. Effects of Different Micro-Irrigation Regulation Methods on Water-Use Characteristics and the Economic Benefits of the Intercropping System
5. Conclusions
Author Contributions
Funding
Data Availability Statement
Acknowledgments
Conflicts of Interest
References
- Xie, J.; Wang, L.; Li, L.; Anwar, S.; Luo, Z.; Zechariah, E.; Fudjoe, S.K. Yield, economic benefit, soil water balance, and water use efficiency of intercropped maize/potato in responses to mulching practices on the semiarid loess plateau. Agriculture 2021, 11, 1100. [Google Scholar] [CrossRef]
- Wang, Z.; Wu, Y.; Cao, Q.; Shen, Y.; Zhang, B. Modeling the coupling processes of evapotranspiration and soil water balance in agroforestry systems. Agric. Water Manag. 2021, 250, 106839. [Google Scholar] [CrossRef]
- Sun, Y.; Bi, H.; Xu, H.; Duan, H.; Peng, R.; Wang, J. Below-Ground Interspecific Competition of Apple (Malus pumila M.)–Soybean (Glycine max L. Merr.) Intercropping Systems Based on Niche Overlap on the Loess Plateau of China. Sustainability 2018, 10, 3022. [Google Scholar] [CrossRef]
- Fan, Y.; Park, S.; Nan, Z. Participatory water management and adoption of micro-irrigation systems: Smallholder farmers in arid north-western China. Int. J. Water Resour. Dev. 2018, 34, 434–452. [Google Scholar] [CrossRef]
- Madramootoo, C.A.; Morrison, J. Advances and challenges with micro-irrigation. Irrig. Drain. 2013, 62, 255–261. [Google Scholar] [CrossRef]
- Li, J.; Xu, X.; Lin, G.; Wang, Y.; Liu, Y.; Zhang, M.; Zhou, J.; Wang, Z.; Zhang, Y. Micro-irrigation improves grain yield and resource use efficiency by co-locating the roots and N-fertilizer distribution of winter wheat in the North China Plain. Sci. Total Environ. 2018, 643, 367–377. [Google Scholar] [CrossRef]
- Zhang, Y.; Yang, Z.; Kong, L.; Yang, H.; Yu, Y.; Zhao, Y. Water Content Variations and Pepper Water-Use Efficiency of Yunnan Laterite Under Root-Zone Micro-Irrigation. Front. Plant Sci. 2022, 13, 918288. [Google Scholar] [CrossRef]
- Fang, Q.; Zhang, X.; Shao, L.; Chen, S.; Sun, H. Assessing the performance of different irrigation systems on winter wheat under limited water supply. Agric. Water Manag. 2018, 196, 133–143. [Google Scholar] [CrossRef]
- Mohammad, J.; Mohammad, K. The Effect of Different Levels of Irrigation and Nitrogen Fertilizer on Yield and Water Use Efficiency of Potato in Subsurface Drip Irrigation. Majallah-I Āb Va Khāk 2017, 31, 51–60. [Google Scholar]
- Wang, H.; Fan, J.; Fu, W. Effect of Activated Water Irrigation on the Yield and Water Use Efficiency of Winter Wheat under Irrigation Deficit. Agronomy 2022, 12, 1315. [Google Scholar] [CrossRef]
- Liu, H.; Zhang, R.; Yin, C.; Zhao, Z.; Wang, J.; Miao, H.; Gao, T. Study on Irrigation Water Requirement and Yield of Dry Farming Rice Under Drip Irrigation in Hinggan League. Basic Clin. Pharmacol. Toxicol. 2020, 126, 18. [Google Scholar]
- Huang, S.; Li, X.; Wang, Y. A New Model of Geo-Environmental Impact Assessment of Mining: A Multiple-Criteria Assessment Method Integrating Fuzzy-Ahp with Fuzzy Synthetic Ranking. Environ. Earth Sci. 2012, 66, 275–284. [Google Scholar] [CrossRef]
- Han, L.; Mei, Q.; Lu, Y.; Ji, M. Analysis and Study on Ahp-Fuzzy Comprehensive Evaluation. China Saf. Sci. J. 2004, 14, 89–92. [Google Scholar] [CrossRef]
- Raz-Yaseef, N.; Rotenberg, E.; Yakir, D. Effects of spatial variations in soil evaporation caused by tree shading on water flux partitioning in a semi-arid pine forest. Agric. For. Meteorol. 2010, 150, 454–462. [Google Scholar] [CrossRef]
- Wang, J. The crown shading range of Apple-Peanut intercropping system in the Loess Plateau of West Shanxi Province. Beijing For. Univ. 2018. [Google Scholar] [CrossRef]
- Peng, R.; Bi, H.; Guo, M.; Sun, Y.; Duan, H.; Wang, J. Temporal and spatial distribution of the shading intensity of apple-soybean intercroping system in the loess area of western Shanxi. Sci. Soil Water Conserv. 2019, 17, 60–69. [Google Scholar]
- Dong, S.; Qin, K.; Wan, S.; Kang, Y.; Zou, W. Effect of Different Micro-irrigation Methods on Soil Moisture. Water Sav. Irrig. 2017, 38–43. [Google Scholar]
- Onishi, J.; Ikeura, H.; Paluashova, G.K.; Shirokova, Y.I.; Kitamura, Y.; Fujimaki, H. Suitable inflow rate and furrow length for simplified surge flow irrigation. Paddy Water Environ. 2019, 17, 51–63. [Google Scholar] [CrossRef]
- Zheng, C.; Wang, R.; Zhou, X.; Li, C.; Dou, X. Effects of Different Water Regulation on the Fine Root Distribution and Water Consumption Characteristics of Apple-Soybean Allay Cropping System in Losses Plateau of West Shanxi Province, China. J. Soil Water Conserv. 2019, 33, 118–126. [Google Scholar]
- Du, Y.; Li, Z.; Li, W. Effect of different water supply regimes on growth and size hierarchy in spring wheat populations under mulched with clear plastic film. Agric. Water Manag. 2006, 79, 265–279. [Google Scholar] [CrossRef]
- Meshram, D.T.; Gorantiwar, S.D.; Singh, N.V.; Babu, K.D. Response of micro-irrigation systems on growth, yield and WUE of Pomegranate (Punica granatum L.) in semi-arid regions of India. Sci. Hortic. 2019, 246, 686–692. [Google Scholar] [CrossRef]
- Santana Junior, E.B.; Coelho, E.F.; Cruz, J.L.; Reis, J.B.D.S.; de Mello, D.M.; Pereira, B.L.D.S. Trickle irrigation systems affect spatial distribution of roots of banana crop. Rev. Bras. De Eng. Agrícola E Ambient. 2020, 24. [Google Scholar] [CrossRef]
- Geng, Y.; Cao, G.; Wang, L.; Wang, M.; Huang, J. Can drip irrigation under mulch be replaced with shallow-buried drip irrigation in spring maize production systems in semiarid areas of northern China? J. Sci. Food Agric. 2021, 101, 1926–1934. [Google Scholar] [CrossRef]
- Sun, Y.; Bi, H.; Duan, H.; Peng, R.; Wang, J. Variation of fine root distribution and belowground competition in apple-soybean inter-cropping system. Chin. J. Ecol. 2019, 38, 459–466. [Google Scholar]
- Dou, X.; Wang, R.; Li, C.; Zheng, C.; Zhou, X. Spatial distribution of soil water, plant roots, and water use pattern under different drip fertigation regimes in an apple-soybean intercropping system on the Loess Plateau, China. Agric. Water Manag. 2022, 269, 107718. [Google Scholar] [CrossRef]
- Wang, J.; Du, G.; Tian, J.; Jiang, C.; Zhang, Y.; Zhang, W. Mulched drip irrigation increases cotton yield and water use efficiency via improving fine root plasticity. Agric. Water Manag. 2021, 255, 106992. [Google Scholar] [CrossRef]
- Mansour, H.A.; Abdallah, E.F.; Gaballah, M.S.; Gyuricza, C. Impact of Bubbler Discharge and Irrigation Water Quantity on Hydraulic Performance Evaluation and Maize Biomass Yield. Int. J. Geomate 2015, 9, 1538–1544. [Google Scholar] [CrossRef]
- Wei, Y.; Jin, J.; Jiang, S.; Ning, S.; Liu, L. Quantitative Response of Soybean Development and Yield to Drought Stress during Different Growth Stages in the Huaibei Plain, China. Agronomy 2018, 8, 97. [Google Scholar] [CrossRef]
- Çakir, R. Effect of water stress at different development stages on vegetative and reproductive growth of corn. Field Crops Res. 2004, 89, 1–16. [Google Scholar] [CrossRef]
- Steduto, P.; Hsiao, T.C.; Raes, D.; Fereres, E. AquaCrop—The FAO Crop Model to Simulate Yield Response to Water: I. Concepts and Underlying Principles. Agron. J. 2009, 101, 426–437. [Google Scholar] [CrossRef]
- Bharati, V.; Nandan, R.; Pandey, I. Effect of irrigation levels on yield, water-use efficiency and economics of winter maize (Zea mays)-based intercropping systems. Indian J. Agron. 2007, 52, 27–30. [Google Scholar]







| Scale | Meaning |
|---|---|
| 1 | Two-factor comparison: Ui and Uj are equally important |
| 3 | Ui is slightly more important than Uj |
| 5 | Ui is significantly more important than Uj |
| 7 | Ui is strongly more important than Uj |
| 9 | Ui is extremely more important than Uj |
| 2, 4, 6, 8 | Median of two adjacent scales |
| Countdown | Factor Uj compared to Ui, i.e., Uji = 1/Ui |
| Scale | U1 | U2 | …… | Un | Weighting |
|---|---|---|---|---|---|
| U1 | U11 | U12 | …… | U1n | W1 |
| U2 | U21 | U22 | …… | U12 | W2 |
| . | . | . | …… | . | . |
| . | . | . | …… | . | . |
| . | . | . | …… | . | . |
| Um | Um1 | Um2 | …… | Umn | Wm |
| Treatment | W1S | W2S | W3S | W1D | W2D | W3D | W1Y | W2Y | W3Y | GL |
|---|---|---|---|---|---|---|---|---|---|---|
| Branching stage | −0.031 ** | 0.782 ** | 0.317 ** | 0.850 ** | 1.069 ** | 0.376 ** | −0.619 ** | 0.544 ns | 0.909 ** | 0.172 * |
| Podding stage | 0.223 ** | 0.850 ** | −0.491 * | 0.734 * | 0.670 ** | 0.452 * | −0.361 * | −0.044 ** | 0.650 ** | 0.104 ns |
| Filling stage | 0.369 ** | 0.633 ** | 0.263 * | 0.613ns | 0.920 ** | 0.474 ** | −0.261 ** | −0.023 * | 0.896 ** | 0.048 ns |
| Mature stage | −0.208 * | 0.429 * | 0.818 ns | 1.171 ** | 0.175 ** | 0.104 * | 1.179 ** | 0.623 ns | 1.295 ** | 0.172 ** |
| Treatment | Dry-Matter Accumulation | Production/(kg·hm2) | Water Consumption/(mm) | Water-Use Efficiency/(kg·hm2·mm−1) | |
|---|---|---|---|---|---|
| Ground Section/(g) | Lower Ground/(g) | ||||
| W1S | 101.69 ± 19.35 bc | 34.41 ± 2.32 ab | 1704.96 ± 498.33 de | 226.17 ± 8.17 f | 7.54 ± 1.96 abc |
| W2S | 118.47 ± 50.34 ab | 35.33 ± 2.00 ab | 2216.25 ± 480.82 abcd | 325.88 ± 6.32 de | 6.80 ± 1.31 bc |
| W3S | 125.80 ± 39.74 a | 34.78 ± 2.50 ab | 1862.60 ± 623.38 bcde | 446.91 ± 7.73 a | 4.17 ± 1.25 d |
| W1D | 100.49 ± 34.09 bc | 35.43 ± 2.74 ab | 1700.10 ± 368.44 de | 234.35 ± 5.80 f | 7.25 ± 1.40 abc |
| W2D | 104.18 ± 20.11 ab | 36.69 ± 2.83 a | 2613.05 ± 922.72 a | 319.91 ± 4.31 e | 8.17 ± 2.74 ab |
| W3D | 115.90 ± 34.34 ab | 35.50 ± 1.28 ab | 2390.94 ± 1039.15 abc | 434.63 ± 1.82 b | 5.50 ± 2.15 cd |
| W1Y | 97.58 ± 15.31 bc | 36.24 ± 3.40 ab | 1788.14 ± 640.41 cde | 191.95 ± 2.62 g | 9.32 ± 2.97 a |
| W2Y | 104.82 ± 23.63 ab | 37.32 ± 14.99 a | 2467.66 ± 669.20 ab | 330.12 ± 3.15 d | 7.48 ± 1.81 abc |
| W3Y | 108.09 ± 19.18 ab | 34.57 ± 2.02 ab | 2363.97 ± 650.28 abc | 425.41 ± 1.59 c | 5.56 ± 1.36 cd |
| GL | 80.55 ± 20.46 c | 31.52 ± 1.18 b | 1527.47 ± 429.90 e | 161.32 ± 4.55 h | 9.47 ± 2.50 a |
| Significance analysis (F-value) | |||||
| IM | 2.350 ns | 0.562 ns | 2.220 ns | 28.415 ** | 2.687 ns |
| IV | 4.416 * | 0.790 ns | 9.889 ** | 4086.486 ** | 15.894 ** |
| IW × IV | 0.391 ns | 0.186 ns | 0.579 ns | 600.739 ** | 1.152 ns |
| Economic Benefits | Hectare Net Income | Input–Output Ratio | Hectares of Output | Normalised Weights |
|---|---|---|---|---|
| Hectare net income | 0.57 | 0.57 | 0.57 | 0.5714 |
| Input–output ratio | 0.29 | 0.29 | 0.29 | 0.2857 |
| Hectares of output | 0.14 | 0.14 | 0.14 | 0.1429 |
| Data Averages | Post-Standardised Data | |||||||
|---|---|---|---|---|---|---|---|---|
| Hectare Net Income | Input–Output Ratio | Hectares of Output | Hectare Net Income | Input–Output Ratio | Hectares of Output | Fuzzy Assessment Values | Ranking | |
| W1S | 4846.9720 | 1.6520 | 12,275.712 | 0.53 | 0.58 | 0.04 | 0.257 | 7 |
| W2S | 6383.8400 | 1.6670 | 15,957.000 | 0.70 | 0.60 | 0.58 | 0.353 | 4 |
| W3S | 1061.6500 | 1.0860 | 13,410.720 | 0.11 | 0.08 | 0.21 | 0.061 | 9 |
| W1D | 9074.3000 | 2.1150 | 17,214.768 | 1.00 | 1.00 | 0.77 | 0.522 | 1 |
| W2D | 9044.5400 | 1.9260 | 18,813.960 | 1.00 | 0.83 | 1.00 | 0.512 | 2 |
| W3D | 132.7400 | 1.0110 | 12,240.720 | 0.00 | 0.01 | 0.04 | 0.005 | 10 |
| W1Y | 5993.3480 | 1.8710 | 12,874.608 | 0.66 | 0.78 | 0.13 | 0.334 | 5 |
| W2Y | 7624.7620 | 1.7520 | 17,767.152 | 0.84 | 0.67 | 0.85 | 0.428 | 3 |
| W3Y | 5313.8040 | 1.4540 | 17,020.584 | 0.58 | 0.41 | 0.74 | 0.298 | 6 |
| GL | 4197.7840 | 1.6170 | 10,997.784 | 0.46 | 0.55 | 0.00 | 0.227 | 8 |
Disclaimer/Publisher’s Note: The statements, opinions and data contained in all publications are solely those of the individual author(s) and contributor(s) and not of MDPI and/or the editor(s). MDPI and/or the editor(s) disclaim responsibility for any injury to people or property resulting from any ideas, methods, instructions or products referred to in the content. |
© 2023 by the authors. Licensee MDPI, Basel, Switzerland. This article is an open access article distributed under the terms and conditions of the Creative Commons Attribution (CC BY) license (https://creativecommons.org/licenses/by/4.0/).
Share and Cite
Dai, H.; Wang, R.; Chen, L.; Wang, L.; Xiong, C.; Wang, X.; Zhang, M. Effects of Different Micro-Irrigation Methods on Water Use and the Economic Benefits of an Apple–Soybean Intercropping System. Agronomy 2023, 13, 1143. https://doi.org/10.3390/agronomy13041143
Dai H, Wang R, Chen L, Wang L, Xiong C, Wang X, Zhang M. Effects of Different Micro-Irrigation Methods on Water Use and the Economic Benefits of an Apple–Soybean Intercropping System. Agronomy. 2023; 13(4):1143. https://doi.org/10.3390/agronomy13041143
Chicago/Turabian StyleDai, Houshuai, Ruoshui Wang, Li Chen, Lisha Wang, Chang Xiong, Xin Wang, and Meng Zhang. 2023. "Effects of Different Micro-Irrigation Methods on Water Use and the Economic Benefits of an Apple–Soybean Intercropping System" Agronomy 13, no. 4: 1143. https://doi.org/10.3390/agronomy13041143
APA StyleDai, H., Wang, R., Chen, L., Wang, L., Xiong, C., Wang, X., & Zhang, M. (2023). Effects of Different Micro-Irrigation Methods on Water Use and the Economic Benefits of an Apple–Soybean Intercropping System. Agronomy, 13(4), 1143. https://doi.org/10.3390/agronomy13041143
