Long-Term Maize Intercropping with Peanut and Phosphorus Application Maintains Sustainable Farmland Productivity by Improving Soil Aggregate Stability and P Availability
Abstract
:1. Introduction
2. Materials and Methods
2.1. Experimental Site
2.2. Experimental Design
2.3. Soil Sampling
2.4. Determination of Soil Aggregate
2.5. Soil Chemical Property Analysis
2.6. Determination of Crop Yields
2.7. Calculations
2.7.1. Stability Index of Soil Aggregates
[nutrient concentration of the aggregate fraction (g·kg−1) × proportion of
the aggregate fraction (%)/soil nutrient concentration] × 100,
2.7.2. Land Equivalent Ratio
2.8. Statistical Analyses
3. Results
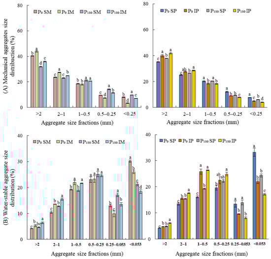
3.1. Effects of Long-Term M||P and P Application on the Proportion and Stability of Aggregates
3.2. Effects of Long-Term M||P and P Application on Concentration and Contribution Rates of SOC in Aggregates
3.3. Effects of Long-Term M||P and P Application on Organic C and Nutrients
3.4. Effects of Long-Term M||P and P Application on Farmland Productivity
3.5. Relationships between Farmland Productivity and Soil Physical and Chemical Properties
4. Discussion
4.1. Long-Term M||P and P Application Strengthened the Soil Aggregate Stability, Increased the Topsoil SOC Concentration in Macroaggregates
4.2. Long-Term M||P and P Application Improved Topsoil TP and AP Concentration in Aggregate Fractions
4.3. Long-Term M||P and P Application Could Maintain Sustainable Farmland Productivity
5. Conclusions
Supplementary Materials
Author Contributions
Funding
Data Availability Statement
Acknowledgments
Conflicts of Interest
References
- Hunter, M.C.; Smith, R.G.; Schipanski, M.E.; Atwood, L.W.; Mortensen, D.A. Agriculture in 2050: Recalibrating targets for sustainable intensification. Bioscience 2017, 67, 386–391. [Google Scholar] [CrossRef]
- van Dijk, M.; Morley, T.; Rau, M.L.; Saghai, Y. A meta-analysis of projected global food demand and population at risk of hunger for the period 2010–2050. Nat. Food 2021, 2, 494–501. [Google Scholar] [CrossRef] [PubMed]
- Jang, W.S.; Neff, J.C.; Im, Y.; Doro, L.; Herrick, J.E. The hidden costs of land degradation in US maize agriculture. Earths Future 2021, 9, e2020EF001641. [Google Scholar] [CrossRef]
- Cappelli, S.L.; Domeignoz-Horta, L.A.; Loaiza, V.; Laine, A.L. Plant biodiversity promotes sustainable agriculture directly and via belowground effects. Trends Plant Sci. 2022, 27, 674–687. [Google Scholar] [CrossRef] [PubMed]
- Li, X.F.; Wang, Z.G.; Bao, X.G.; Sun, J.H.; Yang, S.C.; Wang, P.; Wang, C.B.; Wu, J.P.; Liu, X.R.; Tian, X.L.; et al. Long-term increased grain yield and soil fertility from intercropping. Nat. Sustain. 2021, 4, 943–950. [Google Scholar] [CrossRef]
- Chapagain, T.; Riseman, A. Nitrogen and carbon transformations, water use efficiency and ecosystem productivity in monocultures and wheat-bean intercropping systems. Nutr. Cycl. Agroecosys 2015, 101, 107–121. [Google Scholar] [CrossRef]
- Sun, X.Z.; Zhang, C.C.; Bei, S.K.; Wang, G.Z.; Geisen, S.; Bedoussac, L.; Christie, P.; Zhang, J.L. High bacterial diversity and siderophore-producing bacteria collectively suppress Fusarium oxysporum in maize/faba bean intercropping. Front. Microbiol. 2022, 13, 972587. [Google Scholar] [CrossRef]
- Li, L.; Zhang, F.S.; Li, X.L.; Christie, P.; Sun, J.H.; Yang, S.C.; Tang, C.X. Interspecific facilitation of nutrient uptake by intercropped maize and faba bean. Nutr. Cycl. Agroecosys 2003, 65, 61–71. [Google Scholar] [CrossRef]
- Li, H.G.; Zhang, F.S.; Rengel, Z.; Shen, J.B. Rhizosphere properties in monocropping and intercropping systems between faba bean (Vicia faba L.) and maize (Zea mays L.) grown in a calcareous soil. Crop Pasture Sci. 2013, 64, 976–984. [Google Scholar] [CrossRef]
- Chen, C.; Liu, W.; Wu, J.; Jiang, X.; Zhu, X. Can intercropping with the cash crop help improve the soil physico-chemical properties of rubber plantations? Geoderma 2019, 335, 149–160. [Google Scholar] [CrossRef]
- Lian, T.X.; Mu, Y.H.; Jin, J.; Ma, Q.B.; Cheng, Y.B.; Cai, Z.D.; Nian, H. Impact of intercropping on the coupling between soil microbial community structure, activity, and nutrient-use efficiencies. PeerJ 2019, 7, e6412. [Google Scholar] [CrossRef] [PubMed]
- Peng, Y.M.; Xu, H.S.; Wang, Z.; Li, L.; Shang, J.Y.; Li, B.G.; Wang, X. Effects of intercropping and drought on soil aggregation and associated organic carbon and nitrogen. Soil Use Manag. 2023, 39, 316–328. [Google Scholar] [CrossRef]
- Balesdent, J.; Chenu, C.; Balabane, M. Relationship of soil organic matter dynamics to physical protection and tillage. Soil. Tillage Res. 2000, 53, 215–230. [Google Scholar] [CrossRef]
- Garland, G.; Bunemann, E.K.; Oberson, A.; Frossard, E.; Six, J. Plant-mediated rhizospheric interactions in maize-pigeon pea intercropping enhance soil aggregation and organic phosphorus storage. Plant Soil 2017, 415, 37–55. [Google Scholar] [CrossRef]
- Chamkhi, I.; Cheto, S.; Geistlinger, J.; Zeroual, Y.; Kouisni, L.; Bargaz, A.; Ghoulam, C. Legume-based intercropping systems promote beneficial rhizobacterial community and crop yield under stressing conditions. Ind. Crop Prod. 2022, 183, 114958. [Google Scholar] [CrossRef]
- Tripathi, S.C.; Venkatesh, K.; Meena, R.P.; Chander, S.; Singh, G.P. Sustainable intensification of maize and wheat cropping system through pulse intercropping. Sci. Rep. 2021, 11, 18805. [Google Scholar] [CrossRef] [PubMed]
- Jiao, N.Y.; Ning, T.Y.; Yang, M.K.; Fu, G.Z.; Yin, F.; Xu, G.W.; Li, Z.J. Effects of maize||peanut intercropping on photosynthetic characters and yield forming of intercropped maize. Acta Ecol. Sin. 2013, 33, 4324–4330. [Google Scholar] [CrossRef]
- Jiao, N.Y.; Wang, J.T.; Ma, C.; Zhang, C.C.; Guo, D.Y.; Zhang, F.S.; Jensen, E.S. The importance of aboveground and belowground interspecific interactions in determining crop growth and advantages of peanut/maize intercropping. Crop J. 2021, 9, 1460–1469. [Google Scholar] [CrossRef]
- Jiao, N.Y.; Wang, F.; Ma, C.; Zhang, F.S.; Jensen, E.S. Interspecific interactions of iron and nitrogen use in peanut (Arachis hypogaea L.)-maize (Zea mays L.) intercropping on a calcareous soil. Eur. J. Agron. 2021, 128, 126303. [Google Scholar] [CrossRef]
- Jiao, N.Y.; Ning, T.Y.; Zhao, C.; Wang, Y.; Shi, Z.Q.; Hou, L.T.; Fu, G.Z.; Jiang, X.D.; Li, Z.J. Characters of photosynthesis in intercropping system of maize and peanut. Acta Agron. Sin. 2006, 17, 2332–2336. [Google Scholar] [CrossRef]
- Feng, C.; Sun, Z.X.; Zhang, L.Z.; Zheng, J.M.; Bai, W.; Gu, C.F.; Wang, Q.; Xu, Z.; van der Werf, W. Maize/peanut intercropping increases land productivity: A meta-analysis. Field Crops Res. 2021, 270, 108208. [Google Scholar] [CrossRef]
- Blankinship, J.C.; Fonte, S.J.; Six, J.; Schimela, J.P. Plant versus microbial controls on soil aggregate stability in a seasonally dry ecosystem. Geoderma 2016, 272, 39–50. [Google Scholar] [CrossRef]
- Benbi, D.K.; Singh, P.; Toor, A.S.; Gayatri, V. Manure and fertilizer application effects on aggregate and mineral-associated organic carbon in a loamy soil under rice-wheat system. Commun. Soil Sci. Plant Anal. 2016, 47, 1828–1844. [Google Scholar] [CrossRef]
- Chaplot, V.; Cooper, M. Soil aggregate stability to predict organic carbon outputs from soils. Geoderma 2014, 243, 205–213. [Google Scholar] [CrossRef]
- Tian, X.L.; Wang, C.B.; Bao, X.G.; Wang, P.; Li, X.F.; Yang, S.C.; Ding, G.C.; Christie, P.; Li, L. Crop diversity facilitates soil aggregation in relation to soil microbial community composition driven by intercropping. Plant Soil 2019, 436, 173–192. [Google Scholar] [CrossRef]
- Liao, D.; Zhang, C.; Li, H.; Lambers, H.; Zhang, F. Changes in soil phosphorus fractions following sole cropped and intercropped maize and faba bean grown on calcareous soil. Plant Soil 2020, 448, 587–601. [Google Scholar] [CrossRef]
- Yang, Z.; Zhang, Y.; Wang, Y.; Zhang, H.; Zhu, Q.; Yan, B.; Luo, G. Intercropping regulation of soil phosphorus composition and microbially-driven dynamics facilitates maize phosphorus uptake and productivity improvement. Field Crop Res. 2022, 287, 108666. [Google Scholar] [CrossRef]
- Marcos-Pérez, M.; Sánchez-Navarro, V.; Zornoza, R. Intercropping fava bean with broccoli can improve soil properties while maintaining crop production under Mediterranean conditions. In Proceedings of the EGU General Assembly 2020, Online, 4–8 May 2020; p. 11058. [Google Scholar] [CrossRef]
- Zhang, Y.; Shengzhe, E.; Wang, Y.N.; Su, S.M.; Bai, L.Y.; Wu, C.X.; Zeng, X.B. Long-term manure application enhances the stability of aggregates and aggregate-associated carbon by regulating soil physicochemical characteristics. Catena 2021, 203, 105342. [Google Scholar] [CrossRef]
- Roohi, M.; Arif, M.S.; Guillaume, T.; Yasmeen, T.; Riaz, M.; Shakoor, A.; Farooq, T.H.; Shahzad, S.M.; Bragazza, L. Role of fertilization regime on soil carbon sequestration and crop yield in a maize-cowpea intercropping system on low fertility soils. Geoderma 2022, 428, 116152. [Google Scholar] [CrossRef]
- Zheng, B.C.; Chen, P.; Du, Q.; Yang, H.; Luo, K.; Wang, X.C.; Yang, F.; Yong, T.W.; Yang, W.Y. Soil organic matter, aggregates, and microbial characteristics of intercropping soybean under straw incorporation and N input. Agriculture 2022, 12, 1409. [Google Scholar] [CrossRef]
- Chai, Y.J.; Zeng, X.B.; Sheng-zhe, E.; Huang, T.; Che, Z.X.; Su, S.M.; Bai, L.Y. Response of soil organic carbon and its aggregate fractions to long term fertilization in irrigated desert soil of China. J. Integr. Agr. 2014, 13, 2758–2767. [Google Scholar] [CrossRef]
- Grunwald, D.; Kaiser, M.; Ludwig, B. Effect of biochar and organic fertilizers on C mineralization and macro-aggregate dynamics under different incubation temperatures. Soil Tillage Res. 2016, 164, 11–17. [Google Scholar] [CrossRef]
- Liu, X.R. Effects of Intercropping and P Fertilization on Crop Yields and Soil Fertility in Orthic Antrosols. Master’s Dissertation, Shihezi University, Shihezi, China, 2016. [Google Scholar] [CrossRef]
- Yang, H.G.; Sun, W.; Wu, F.; Xu, H.B.; Gu, F.W.; Hu, Z.C. Determination of planting pattern and screening of agricultural machineries for maize-peanut strip intercropping: A Case Study in Henan Province of China. Sustainability 2023, 15, 8289. [Google Scholar] [CrossRef]
- Bao, S.D. Soil and Agriculture Chemistry Analysis, 3rd ed.; China Agriculture Press: Beijing, China, 2015. [Google Scholar]
- Soinne, H.; Hovi, J.; Tammeorg, P.; Turtola, E. Effect of biochar on phosphorus sorption and clay soil aggregate stability. Geoderma 2014, 219, 162–167. [Google Scholar] [CrossRef]
- Bai, Y.X.; Zhou, Y.C.; He, H.Z. Effects of rehabilitation through afforestation on soil aggregate stability and aggregate-associated carbon after forest fires in subtropical China. Geoderma 2020, 376, 114548. [Google Scholar] [CrossRef]
- Dou, Y.X.; Yang, Y.; An, S.S.; Zhu, Z.L. Effects of different vegetation restoration measures on soil aggregate stability and erodibility on the Loess Plateau, China. Catena 2020, 185, 104294. [Google Scholar] [CrossRef]
- Zuo, F.L.; Li, X.Y.; Yang, X.F.; Wang, Y.; Ma, Y.J.; Huang, Y.H.; Wei, C.F. Soil particle-size distribution and aggregate stability of new reconstructed purple soil affected by soil erosion in overland flow. J. Soils Sediments 2020, 20, 272–283. [Google Scholar] [CrossRef]
- Mead, R.; Willey, R. The concept of a ‘land equivalent ratio’ and advantages in yields from intercropping. Exp. Agric. 1980, 16, 217–228. [Google Scholar] [CrossRef]
- Liu, K.; Xu, Y.; Feng, W.; Zhang, X.; Yao, S.; Zhang, B. Modeling the dynamics of protected and primed organic carbon in soil and aggregates under constant soil moisture following litter incorporation. Soil Biol. Biochem. 2020, 151, 108039. [Google Scholar] [CrossRef]
- Cong, W.F.; Hoffland, E.; Li, L.; Six, J.; Sun, J.H.; Bao, X.G.; Zhang, F.S.; Van Der Werf, W. Intercropping enhances soil carbon and nitrogen. Global Chang. Biol. 2014, 21, 1715–1726. [Google Scholar] [CrossRef]
- Hu, L.N.; Huang, R.; Deng, H.; Li, K.; Peng, J.Y.; Zhou, L.Q.; Ou, H.P. Effects of different intercropping methods on soil organic carbon and aggregate stability in sugarcane field. Pol. J. Environ. Stud. 2022, 31, 3587–3596. [Google Scholar] [CrossRef]
- Bronick, C.J.; Lal, R. Soil structure and management: A review. Geoderma. 2005, 124, 3–22. [Google Scholar] [CrossRef]
- Tisdall, J.M.; Oades, J.M. Organic matter and water-stable aggregates in soils. Eur. J. Soil Sci. 1982, 33, 141–163. [Google Scholar] [CrossRef]
- Zhou, Q.; Wang, L.C.; Xing, Y.; Ma, S.M.; Zhang, X.D.; Chen, J.; Shi, C. Effects of Chinese milk vetch intercropped with rape under straw mulching on soil aggregate and organic carbon character. J. Appl. Ecol. 2019, 30, 1235–1242. [Google Scholar] [CrossRef]
- Dijkstra, F.A.; Hobbie, S.E.; Reich, P.B.; Knops, J.M. Divergent effects of elevated CO2, N fertilization, and plant diversity on soil C and N dynamics in a grassland field experiment. Plant Soil 2005, 272, 41–52. [Google Scholar] [CrossRef]
- Jin, V.L.; Wienhold, B.J.; Mikha, M.M.; Schmer, M.R. Cropping system partially offsets tillage-related degradation of soil organic carbon and aggregate properties in a 30-yr rainfed agroecosystem. Soil Tillage Res. 2021, 209, 104968. [Google Scholar] [CrossRef]
- Wan, W.; Li, X.; Han, S.; Wang, L.; Luo, X.; Chen, W.; Huang, Q. Soil aggregate fractionation and phosphorus fraction driven by long-term fertilization regimes affect the abundance and composition of P-cycling-related bacteria. Soil Tillage Res. 2020, 196, 104475. [Google Scholar] [CrossRef]
- Prakash, D.; Benbi, D.K.; Saroa, G.S. Effect of rate and source of phosphorus application on soil organic carbon pools under rice (Oryza sativa)-wheat (Triticum aestivum) cropping system. Indian J. Agric. Sci. 2016, 86, 1127–1132. Available online: https://www.researchgate.net/publication/308581768 (accessed on 21 January 2023). [CrossRef]
- Bansal, S.; Yin, X.; Savoy, H.J.; Jagadamma, S.; Lee, J.; Sykes, V. Long-term influence of phosphorus fertilization on organic carbon and nitrogen in soil aggregates under no-till corn-wheat-soybean rotations. Agron. J. 2020, 112, 2519–2534. [Google Scholar] [CrossRef]
- Mahmoud, E.; Ibrahim, M.; Abd El-Rahman, L.; Khader, A. Effects of biochar and phosphorus fertilizers on phosphorus fractions, wheat yield and microbial biomass carbon in Vertic Torrifluvents. Commun. Soil Sci. Plan. 2019, 50, 362–372. [Google Scholar] [CrossRef]
- Soudzilovskaia, N.A.; van der Heijden, M.G.A.; Cornelissen, J.H.C.; Makarov, M.I.; Onipchenko, V.G.; Maslov, M.N.; Akhmetzhanova, A.A.; Bodegom, P.M. Quantitative assessment of the differential impacts of arbuscular and ectomycorrhiza on soil carbon cycling. New Phytol. 2015, 208, 280–293. [Google Scholar] [CrossRef] [PubMed]
- Zhao, H.; Sun, B.F.; Lu, F.; Wang, X.K.; Zhuang, T.; Zhang, G.; Ouyang, Z.Y. Roles of nitrogen, phosphorus, and potassium fertilizers in carbon sequestration in a Chinese agricultural ecosystem. Clim. Chang. 2017, 142, 587–596. [Google Scholar] [CrossRef]
- Ludewig, U.; Yuan, L.X.; Neumann, G. Improving the efficiency and effectiveness of global phosphorus use: Focus on root and rhizosphere levels in the agronomic system. Front. Agric. Sci. Eng. 2019, 6, 357–365. [Google Scholar] [CrossRef]
- Chen, X.; Chen, H.Y.; Chang, S.X. Meta-analysis shows that plant mixtures increase soil phosphorus availability and plant productivity in diverse ecosystems. Nat. Ecol. Evol. 2022, 6, 1112–1121. [Google Scholar] [CrossRef]
- Tian, J.; Tang, M.; Xu, X.; Luo, S.; Condron, L.M.; Lambers, H.; Wang, J. Soybean (Glycine max (L.) Merrill) intercropping with reduced nitrogen input influences rhizosphere phosphorus dynamics and phosphorus acquisition of sugarcane (Saccharum officinarum). Biol. Fert. Soils 2020, 56, 1063–1075. [Google Scholar] [CrossRef]
- Cui, H.; Ou, Y.; Wang, L.X.; Wu, H.T.; Yan, B.X.; Li, Y.X. Distribution and release of phosphorus fractions associated with soil aggregate structure in restored wetlands. Chemosphere 2019, 223, 319–329. [Google Scholar] [CrossRef]
- Fonte, S.J.; Nesper, M.; Hegglin, D.; Velásquez, J.E.; Ramirez, B.; Rao, I.M.; Bernasconi, S.M.; Bünemann, E.K.; Frossard, E.; Oberson, A. Pasture degradation impacts soil phosphorus storage via changes to aggregate-associated soil organic matter in highly weathered tropical soils. Soil Biol. Biochem. 2014, 68, 150–157. [Google Scholar] [CrossRef]
- Latati, M.; Blavet, D.; Alkama, N.; Laoufi, H.; Drevon, J.J.; Gerard, F.; Ounane, S.M. The intercropping cowpea-maize improves soil phosphorus availability and maize yields in an alkaline soil. Plant Soil 2014, 385, 181–191. [Google Scholar] [CrossRef]
- Latati, M.; Bargaz, A.; Belarbi, B.; Lazali, M.; Benlahrech, S.; Tellah, S.; Kaci, G.; Drevon, J.J.; Ounane, S.M. The intercropping common bean with maize improves the rhizobial efficiency, resource use and grain yield under low phosphorus availability. Eur. J. Agron. 2016, 72, 80–90. [Google Scholar] [CrossRef]
- Li, L.; Li, S.M.; Sun, J.H.; Zhou, L.L.; Bao, X.G.; Zhang, H.G.; Zhang, F.S. Diversity enhance agricultural productivity via rhizophere phosphorus facilitation on phosphorus-deficient soils. Proc. Natl. Acad. Sci. USA 2007, 104, 11192–11196. [Google Scholar] [CrossRef]
- Li, L.; Tilman, D.; Lambers, H.; Zhang, F.S. Plant diversity and overyielding: Insights from belowground facilitation of intercropping in agriculture. New Phytol. 2014, 203, 63–69. [Google Scholar] [CrossRef] [PubMed]
- Tang, X.Y.; Placella, S.A.; Daydé, F.; Bernard, L.; Robin, A.; Journet, E.P.; Justes, E.; Hinsinger, P. Phosphorus availability and microbial community in the rhizosphere of intercropped cereal and legume along a P-fertilizer gradient. Plant Soil 2016, 407, 119–134. [Google Scholar] [CrossRef]
- An, R.; Yu, R.P.; Xing, Y.; Zhang, J.D.; Bao, X.G.; Lambers, H.; Li, L. Enhanced phosphorus-fertilizer-use efficiency and sustainable phosphorus management with intercropping. Agron. Sustain. Dev. 2023, 43, 57. [Google Scholar] [CrossRef]
- Wang, X.C.; Deng, X.Y.; Pu, T.; Song, C.; Yong, T.W.; Yang, F.; Sun, X.; Liu, W.G.; Yan, Y.H.; Du, J.B.; et al. Contribution of interspecific interactions and phosphorus application to increasing soil phosphorus availability in relay intercropping systems. Field Crop. Res. 2017, 204, 12–22. [Google Scholar] [CrossRef]
- Jensen, E.S.; Chongtham, I.R.; Dhamala, N.R.; Rodriguez, C.; Carton, N.; Carlsson, G. Diversifying European agricultural systems by intercropping grain legumes and cereals. Int. J. Agric. Nat. Res. 2020, 47, 174–186. [Google Scholar] [CrossRef]
- Jat, H.S.; Datta, A.; Choudhary, M.; Yadav, A.K.; Choudhary, V.; Sharma, P.C.; Gathala, M.K.; Jat, M.L.; McDonald, A. Effects of tillage, crop establishment and diversification on soil organic carbon, aggregation, aggregate associated carbon and productivity in cereal systems of semi-arid Northwest India. Soil Tillage Res. 2019, 190, 128–138. [Google Scholar] [CrossRef]
- Qin, A.Z.; Gan, Y.T.; Yu, A.Z. Higher yield and lower carbon emission by intercropping maize with rape, pea, and wheat in arid irrigation areas. Agron. Sustain. Dev. 2013, 34, 535–543. [Google Scholar] [CrossRef]
- Li, B.; Liu, J.; Shi, X.X.; Han, X.; Chen, X.Y.; Wei, Y.F.; Xiong, F. Effects of belowground interactions on crop yields and nutrient uptake in maize-faba bean relay intercropping systems. Arch. Agron. Soil Sci. 2023, 69, 314–325. [Google Scholar] [CrossRef]
- Tang, X.Y.; Bernard, L.; Brauman, A.; Daufresne, T.; Deleporte, P.; Desclaux, D.; Souche, G.; Placella, S.A.; Hinsinger, P. Increase in microbial biomass and phosphorus availability in the rhizosphere of intercropped cereal and legumes under field conditions. Soil Biol. Biochem. 2014, 75, 86–93. [Google Scholar] [CrossRef]
- Tiemann, L.K.; Grandy, A.S.; Atkinson, E.E.; Marin-Spiotta, E.; McDaniel, M.D. Crop rotational diversity enhances belowground communities and functions in an agroecosystem. Ecol. Lett. 2015, 18, 761–771. [Google Scholar] [CrossRef]





| P | Planting | DR0.25 (%) | WR0.25 (%) | ELT | PAD | MWD (mm) | GMD (mm) |
|---|---|---|---|---|---|---|---|
| Level | Pattern | ||||||
| P0 | SM | 92.0 ± 0.2 c | 69.9 ± 0.4 c | 43.1 ± 0.5 b | 24.0 ± 0.6 b | 0.50 ± 0.02 c | 0.87 ± 0.01 b |
| IM | 96.6 ± 0.2 a | 73.9 ± 0.7 b | 35.9 ± 0.5 c | 23.4 ± 0.5 b | 0.58 ± 0.02 b | 0.95 ± 0.01 a | |
| SP | 92.4 ± 0.1 c | 66.7 ± 1.5 d | 46.6 ± 1.2 a | 27.8 ± 1.7 a | 0.51 ± 0.03 c | 0.93 ± 0.01 a | |
| IP | 95.1 ± 0.3 b | 78.0 ± 0.7 a | 31.6 ± 0.6 d | 17.9 ± 0.7 c | 0.62 ± 0.02 a | 0.96 ± 0.00 a | |
| P180 | SM | 90.3 ± 0.1 d | 78.7 ± 0.6 b | 38.4 ± 1.1 a | 12.9 ± 0.6 b | 0.55 ± 0.00 d | 0.90 ± 0.00 d |
| IM | 93.0 ± 0.1 c | 81.6 ± 0.7 a | 31.9 ± 0.6 b | 12.2 ± 0.6 b | 0.64 ± 0.01 b | 0.98 ± 0.01 b | |
| SP | 94.0 ± 0.2 b | 75.6 ± 0.6 c | 38.3 ± 0.3 a | 19.6 ± 0.7 a | 0.59 ± 0.00 c | 0.96 ± 0.00 c | |
| IP | 96.1 ± 0.3 a | 82.9 ± 0.3 a | 25.2 ± 0.5 c | 13.7 ± 0.4 b | 0.69 ± 0.00 a | 1.00 ± 0.00 a | |
| P level | *** | *** | *** | ns | ns | *** | |
| Planting pattern | *** | *** | *** | *** | *** | *** | |
| P level × Planting pattern | *** | ns | * | *** | ns | ns | |
| P Level | Planting Pattern | >2 mm | 2–1 mm | 1–0.5 mm | 0.5–0.25 mm | <0.25 mm | |||||
|---|---|---|---|---|---|---|---|---|---|---|---|
| TP | AP | TP | AP | TP | AP | TP | AP | TP | AP | ||
| P0 | SM | 696.4 ± 12.4 b | 8.5 ± 0.2 c | 704.8 ± 3.7 b | 9.7 ± 0.2 d | 709.0 ± 1.6 b | 9.5 ± 0.6 b | 725.1 ± 7.6 b | 9.2 ± 0.4 bc | 781.3 ± 10.4 b | 10.0 ± 0.7 b |
| IM | 781.7 ± 1.6 a | 9.7 ± 0.1 b | 741.0 ± 4.1 a | 17.5 ± 0.4 a | 777.2 ± 10.5 a | 11.6 ± 0.7 a | 779.6 ± 6.8 a | 12.1 ± 1.0 a | 801.2 ± 151 a | 12.9 ± 1.4 ab | |
| SP | 739.6 ± 7.7 ab | 10.1 ± 0.6 b | 705.5 ± 11.2 b | 13.3 ± 0.3 c | 719.8 ± 6.0 b | 12.5 ± 0.6 a | 773.5 ± 4.8 a | 8.7 ± 0.2 c | 757.9 ± 15.8 b | 9.9 ± 0.6 b | |
| IP | 835.3 ± 51.5 a | 12.6 ± 0.2 a | 759.4 ± 1.6 a | 16.4 ± 0.2 b | 760.5 ± 0.2 a | 12.9 ± 0.5 a | 769.3 ± 7.0 a | 11.4 ± 0.8 a b | 754.1 ± 4.2 b | 14.5 ± 1.1 a | |
| P180 | SM | 1010.5 ± 8.9 b | 60.0 ± 2.2 b | 976.2 ± 11.5 b | 31.9 ± 1.3 c | 942.7 ± 45.8 b | 26.9 ± 3.4 c | 1096.6 ± 23.2 b | 31.1 ± 3.0 b | 1289.4 ± 3.9 a | 15.9 ± 0.6 c |
| IM | 1072.0 ± 3.5 a | 74.7 ± 4.2 a | 1097.6 ± 25.9 a | 50.7 ± 2.6 a | 1113.0 ± 8.2 a | 48.9 ± 0.7 a | 1164.4 ± 10.7 ab | 48.7 ± 0.8 a | 1253.4 ± 26.6 a | 26.2 ± 0.7 b | |
| SP | 1007.7 ± 17.7 b | 34.2 ± 2.5 c | 997.8 ± 3.7 b | 33.4 ± 1.4 bc | 1097.6 ± 38.6 a | 34.6 ± 1.8 b | 1113.1 ± 19.6 ab | 23.2 ± 1.0 c | 1273.8 ± 6.4 a | 17.4 ± 1.0 c | |
| IP | 1106.3 ± 34.5 a | 55.4 ± 3.9 b | 1074.9 ± 7.9 a | 38.1 ± 0.9 b | 1043.4 ± 4.9 a | 42.4 ± 0.8 a | 1173.4 ± 14.7 a | 29.2 ± 2.3 bc | 1280.7 ± 49.2 a | 31.7 ± 0.2 a | |
| P level | *** | *** | *** | *** | *** | *** | *** | *** | *** | *** | |
| Planting pattern | *** | *** | *** | *** | *** | *** | *** | *** | *** | *** | |
| P level × Planting pattern | ns | *** | *** | *** | *** | *** | ns | *** | ns | *** | |
| P Level | Planting Pattern | SOC | TN | TP | AP | Ca2-P | Ca8-P | Al-P | Fe-P | O-P | Ca10-P | pH |
|---|---|---|---|---|---|---|---|---|---|---|---|---|
| (g·kg−1) | (g·kg−1) | (g·kg−1) | (mg·kg−1) | (mg·kg−1) | (mg·kg−1) | (mg·kg−1) | (mg·kg−1) | (mg·kg−1) | (mg·kg−1) | |||
| P0 | SM | 13.3 ± 0.2 b | 1.18 ± 0.02 a | 0.73 ± 0.00 b c | 9.1 ± 0.1 d | 2.0 ± 0.1 c | 119.2 ± 0.7 c | 20.7 ± 0.1 c | 72.1 ± 0.5 b | 4.53 ± 0.06 a | 200.6 ± 2.5 a | 7.34 ± 0.03 a |
| IM | 16.5 ± 0.4 a | 1.18 ± 0.03 a | 0.79 ± 0.02 a | 12.5 ± 0.3 b | 2.3 ± 0.0 b | 131.6 ± 2.5 b | 24.7 ± 0.1 a | 75.9 ± 0.7 a | 4.22 ± 0.05 b | 190.1 ± 0.8 b | 7.30 ± 0.00 a | |
| SP | 11.9 ± 0.1 c | 1.24 ± 0.00 a | 0.71 ± 0.01 c | 11.2 ± 0.2 c | 2.7 ± 0.1 a | 135.7 ± 1.0 b | 23.7 ± 0.1 b | 75.8 ± 0.2 a | 4.12 ± 0.07 b | 175.4 ± 1.8 c | 7.33 ± 0.02 a | |
| IP | 12.8 ± 0.0 b | 1.20 ± 0.00 a | 0.77 ± 0.01 b | 13.7 ± 0.1 a | 2.0 ± 0.0 c | 164.9 ± 4.7 a | 18.8 ± 0.0 d | 72.1 ± 0.0 b | 4.23 ± 0.03 b | 186.7 ± 0.5 b | 7.15 ± 0.04 b | |
| P180 | SM | 13.4 ± 0.3 b | 1.38 ± 0.01 a b | 1.07 ± 0.02 b | 28.3 ± 1.0 c | 12.3 ± 0.5 b | 274.4 ± 4.0 b | 63.3 ± 0.4 b | 97.3 ± 0.4 b | 4.96 ± 0.11 a | 159.2 ± 2.7 c | 7.41 ± 0.05 a |
| IM | 17.8 ± 0.9 a | 1.40 ± 0.02 a | 1.11 ± 0.01 a | 42.7 ± 0.3 a | 15.8 ± 0.6 a | 320.8 ± 3.3 a | 66.7 ± 0.7 a | 105.9 ± 0.7 a | 4.61 ± 0.07 b | 179.8 ± 0.8 b c | 7.43 ± 0.06 a | |
| SP | 12.5 ± 0.1 b | 1.34 ± 0.01 b c | 1.01 ± 0.01 b | 24.9 ± 0.7 d | 12.6 ± 1.0 b | 277.2 ± 3.2 b | 65.5 ± 0.5 a | 90.7 ± 0.3 c | 4.23 ± 0.09 c | 183.0 ± 5.0 b | 7.37 ± 0.05 a | |
| IP | 19.0 ± 0.3 a | 1.30 ± 0.00 c | 1.10 ± 0.01 a | 34.3 ± 0.7 b | 9.2 ± 0.2 c | 245.8 ± 5.0 c | 56.1 ± 0.2 c | 97.0 ± 0.3 b | 4.60 ± 0.03 b | 196.4 ± 0.6 a | 7.29 ± 0.05 a | |
| P level | ** | *** | *** | *** | *** | *** | *** | *** | *** | *** | *** | |
| Planting pattern | ** | *** | ** | *** | *** | *** | *** | *** | *** | *** | *** | |
| P level × Planting pattern | ns | *** | ** | * | *** | *** | *** | *** | *** | ns | *** | |
| Year | P Level | Maize Yield (t·ha−1) | Peanut Yield (t·ha−1) | LER | Wheat Yield (t·ha−1) | Annual Yield (t·ha−1) | ||||||
|---|---|---|---|---|---|---|---|---|---|---|---|---|
| SM | IM | SP | IP | SM Stubble | SP Stubble | M||P Stubble | SM-W | SP-W | M||P-W | |||
| 2018 | P0 | 5.25 ± 0.05 a | 5.03 ± 0.10 a | 3.08 ± 0.22 b | 1.02 ± 0.02 c | 1.29 | 2.17 ± 0.32 b | 3.33 ± 0.45 a | 3.40 ± 0.15 a | 7.42 ± 0.29 b | 6.42 ± 0.23 c | 9.44 ± 0.12 a |
| P180 | 7.44 ± 0.46 a | 6.22 ± 0.13 b | 4.00 ± 0.13 c | 1.18 ± 0.07 d | 1.14 | 5.07 ± 0.41 b | 6.03 ± 0.18 a | 7.00 ± 0.18 a | 12.51 ± 0.87 b | 10.03 ± 0.22 c | 14.37 ± 0.15 a | |
| 2019 | P0 | 5.63 ± 0.14 a | 5.32 ± 0.10 b | 2.44 ± 0.01 c | 0.82 ± 0.01 d | 1.28 | 2.32 ± 0.12 b | 2.91 ± 0.02 a | 2.63 ± 0.02 a | 7.95 ± 0.12 b | 5.36 ± 0.11 c | 8.76 ± 0.21 a |
| P180 | 9.62 ± 0.42 a | 8.02 ± 0.27 b | 3.79 ± 0.02 c | 1.15 ± 0.02 d | 1.14 | 9.66 ± 0.07 c | 10.26 ± 0.03 b | 10.76 ± 0.12 a | 18.87 ± 0.07 b | 14.05 ± 0.05 c | 19.93 ± 0.35 a | |
| 2020 | P0 | 6.36 ± 0.09 a | 5.83 ± 0.04 b | 2.37 ± 0.03 c | 0.90 ± 0.01 d | 1.3 | 2.67 ± 0.13 b | 3.45 ± 0.05 a | 3.39 ± 0.03 a | 9.03 ± 0.18 b | 5.81 ± 0.07 b | 10.12 ± 0.07 a |
| P180 | 9.63 ± 0.23 a | 9.10 ± 0.38 a | 3.52 ± 0.04 b | 1.00 ± 0.01 c | 1.23 | 9.43 ± 0.05 c | 10.11 ± 0.09 b | 10.62 ± 0.06 a | 19.06 ± 0.25 b | 13.63 ± 0.07 c | 20.72 ± 0.38 a | |
| 2021 | P0 | 5.24 ± 0.13 a | 5.20 ± 0.08 a | 3.17 ± 0.08 b | 0.98 ± 0.01 c | 1.3 | 1.29 ± 0.11 a | 1.25 ± 0.07 a | 1.54 ± 0.18 a | 6.53 ± 0.24 b | 4.42 ± 0.01 c | 7.72 ± 0.22 a |
| P180 | 7.43 ± 0.10 a | 6.87 ± 0.23 b | 4.13 ± 0.05 c | 1.36 ± 0.06 d | 1.25 | 6.63 ± 0.44 a | 6.96 ± 0.08 a | 8.50 ± 0.01 a | 14.06 ± 0.52 b | 11.09 ± 0.03 c | 16.73 ± 0.21 a | |
| 2022 | P0 | 4.28 ± 0.04 a | 4.09 ± 0.13 a | 4.35 ± 0.09 a | 2.17 ± 0.08 b | 1.46 | 2.26 ± 0.13 b | 2.91 ± 0.07 a | 3.00 ± 0.16 a | 6.54 ± 0.16 c | 7.27 ± 0.02 b | 9.26 ± 0.10 a |
| P180 | 7.39 ± 0.21 a | 6.51 ± 0.08 b | 5.23 ± 0.06 c | 2.47 ± 0.05 d | 1.35 | 9.06 ± 0.47 b | 7.95 ± 0.52 b | 10.54 ± 0.24 a | 17.12 ± 0.28 b | 13.17 ± 0.47 b | 19.52 ± 0.27 a | |
| Mean | P0 | 5.35 ± 0.02 a | 5.09 ± 0.02 b | 3.08 ± 0.05 c | 1.18 ± 0.02 d | 1.33 | 2.14 ± 0.10 b | 2.77 ± 0.08 a | 2.78 ± 0.05 a | 7.60 ± 7.49 b | 5.88 ± 5.86 c | 9.00 ± 9.05 a |
| P180 | 8.22 ± 0.11 a | 7.33 ± 0.07 b | 4.13 ± 0.02 c | 1.43 ± 0.02 d | 1.22 | 7.97 ± 0.13 b | 8.26 ± 0.16 b | 9.48 ± 0.03 a | 16.19 ± 0.02 b | 12.39 ± 0.14 c | 18.24 ± 0.08 a | |
| P level | *** | *** | *** | |||||||||
| Year | *** | *** | *** | |||||||||
| Planting pattern | *** | *** | *** | |||||||||
| P level × Year | *** | *** | *** | |||||||||
| P level × Planting pattern | *** | ** | *** | |||||||||
| Year × Planting pattern | *** | * | *** | |||||||||
| P level × Year × Planting pattern | *** | ns | * | |||||||||
Disclaimer/Publisher’s Note: The statements, opinions and data contained in all publications are solely those of the individual author(s) and contributor(s) and not of MDPI and/or the editor(s). MDPI and/or the editor(s) disclaim responsibility for any injury to people or property resulting from any ideas, methods, instructions or products referred to in the content. |
© 2023 by the authors. Licensee MDPI, Basel, Switzerland. This article is an open access article distributed under the terms and conditions of the Creative Commons Attribution (CC BY) license (https://creativecommons.org/licenses/by/4.0/).
Share and Cite
Zan, Z.; Jiao, N.; Ma, R.; Wang, J.; Wang, Y.; Ning, T.; Zheng, B.; Liu, L.; Zhao, X.; Cong, W. Long-Term Maize Intercropping with Peanut and Phosphorus Application Maintains Sustainable Farmland Productivity by Improving Soil Aggregate Stability and P Availability. Agronomy 2023, 13, 2846. https://doi.org/10.3390/agronomy13112846
Zan Z, Jiao N, Ma R, Wang J, Wang Y, Ning T, Zheng B, Liu L, Zhao X, Cong W. Long-Term Maize Intercropping with Peanut and Phosphorus Application Maintains Sustainable Farmland Productivity by Improving Soil Aggregate Stability and P Availability. Agronomy. 2023; 13(11):2846. https://doi.org/10.3390/agronomy13112846
Chicago/Turabian StyleZan, Zhiman, Nianyuan Jiao, Rentian Ma, Jiangtao Wang, Yun Wang, Tangyuan Ning, Bin Zheng, Ling Liu, Xupeng Zhao, and Wenfeng Cong. 2023. "Long-Term Maize Intercropping with Peanut and Phosphorus Application Maintains Sustainable Farmland Productivity by Improving Soil Aggregate Stability and P Availability" Agronomy 13, no. 11: 2846. https://doi.org/10.3390/agronomy13112846
APA StyleZan, Z., Jiao, N., Ma, R., Wang, J., Wang, Y., Ning, T., Zheng, B., Liu, L., Zhao, X., & Cong, W. (2023). Long-Term Maize Intercropping with Peanut and Phosphorus Application Maintains Sustainable Farmland Productivity by Improving Soil Aggregate Stability and P Availability. Agronomy, 13(11), 2846. https://doi.org/10.3390/agronomy13112846
