Abstract
In Spain and other Mediterranean countries, significant quantities of semi-solid olive mill waste are generated, which should be preferentially applied to agricultural soils to close nutrient cycles. However, two-phase olive mill waste (termed alperujo in Spanish) is known to pose risks to soil quality and plant production when applied to soil in large quantities. Alperujo has high contents of polyphenol substances, which can inhibit microbial growth and are also phytotoxic in nature. However, when applied in appropriate quantities and following specific methods, it is possible that the practice may not pose any risks, and this requires evaluation. As a waste management option, direct application of alperujo can supply plant nutrients and organic matter to degradation-prone Mediterranean soils. In order to validate this circular economy fertilization and soil protection strategy, an 18-month field experiment was undertaken, applying moderate quantities of alperujo on permanent crop groves throughout the Spanish region of Valencia. Eleven experimental parcels with permanent crops managed by farmers were identified to test two scenarios: a single application of 10 t/ha, and a second application of 10 t/ha after 10 months. Soil chemical parameters were assessed at 0, 6, 10, and 18 months. Soil organic carbon, total Kjeldahl nitrogen, pH, electrical conductivity, nitrates, and polyphenol contents were modified by alperujo application, but these effects were highly transient in nature, with generally no lasting effects after 4–6 months for either application scenario. Also, qualitative evaluations carried out by farmers revealed few effects, although some reductions in erosive processes and improvements in plant vigor were noted. As such, based on the measured parameters, it is concluded that the direct soil application of alperujo olive mill wastes at low application rates did not lead to any lasting detrimental effects on soil quality or compromise the productivity of permanent crops in this Mediterranean region.
1. Introduction
Olive oil production is a crucial primary industry in Mediterranean countries, currently valued at over 14 billion dollars, and, as a sector, it is expected to experience continued growth over the coming decade. As an important part of the rural economy, olive and other extensive permanent crops are crucial to the mediation of rural abandonment and depopulation of Mediterranean rural areas [1,2]. In Spain, the world’s largest olive oil producer, the land area covered by olive orchards is over 2.6 M ha [3]. There are several challenges requiring an appropriate ecological transition in olive production, and among these are soil conservation and waste management. Soil conservation is a critical issue in semiarid regions located on the borders of desertification-prone agroecosystems, which are among those most affected by climate change according to the latest IPCC reports [4]. In addition to reducing desertification risk, incrementing soil C stocks in olive orchards can positively impact the GHG balance associated with the large extents of land cultivated to this crop [5,6]. Concerning mass flows associated with olive oil processing, 80% consist of liquid and/or semisolid waste [7]. Historically, the majority of these wastes have been used for the secondary extraction of oil (refined oil) and the for the production of thermal energy. However, due to a scarcity of refined oil producers, demand for olive mill wastes has slackened, and the cost of transport of olive mill wastes is now an important economic barrier for the sector. Waste management costs are not insignificant for olive oil producers in Spain (2–8 EUR/ton) whereas, in the past, the resale value of these wastes represented income (2–10 EUR/ton).
Alperujo is the Spanish term for two-phase olive mill waste (OMW) following pressing and centrifugation, which results in a semi-solid product containing pulp, olive pits, skin, and mesocarp of the olive fruit. Importantly, alperujo has water contents above 60%. Two-phase extraction systems are now the most common in Spanish olive oil mills. The production of a single waste product differentiates two-phase and three-phase systems, the latter of which are still used extensively in other olive-producing countries such as Greece and Tunisia, which generate large quantities of liquid wastes requiring treatment, specialized use, or responsible land application [8]. Olive mill wastewaters incorrectly disposed of in water bodies can cause anoxia due to their high organic loads [9]. Olive mill solid wastes have high contents of polyphenol substances with antimicrobial properties, potentially impacting rhizosphere microorganisms, and may also provoke phytotoxicity when applied to soils in excessive quantities [10,11]. Composting has typically been recommended as an appropriate biological treatment for OMW, which facilitates the degradation of these phenol substances. As such, ample research efforts have focused on composting and the land application of composted products, rather than direct application. While compost is a highly valuable product for agriculture, composting requires additional investment and labor, which is particularly prohibitive for small producers. Regni et al. [12] carried out a review on the application of olive mill wastes; this brought to attention that while composting is recommended for raw wet olive pomace (alperujo), its application without pretreatment can equally contribute to soil fertility, including increases in soil aggregate stability, soil chemical properties including total N, available P, and K [13,14,15,16].
Despite the apparent simplification of managing one waste (semi-solid) as opposed to two (solid and liquid), the treatment and particularly transport of alperujo are important barriers for olive oil producers. For this reason, efforts are underway to characterize the benefits and drawbacks of direct land application of alperujo—with no pretreatment such as composting—as an alternative management solution. On one hand, the direct application of alperujo requires validation and testing to avoid potential phytotoxic effects on the target crops, but potential improvements in soil health and fertility status should also be characterized. Where applicable (mainly Mediterranean countries), the goal should be to reconcile OMW management and agronomic needs, closing nutrient cycles in the process.
As an organic fertilization solution, alperujo should be applied with appropriate agronomic criteria to satisfy all or part of a crop’s nutritional needs. Based on typical alperujo nutrient contents, and considering the available agronomic recommendations for permanent crops such as olive, it was determined that 10 t (fresh weight) of alperujo would supply approximately 60 kg of N, 18 kg of P2O5, and 115 kg K2O—this was the criterion used for establishing the application rate in the present study.
Since regional administrations require data that validate the safe application of raw alperujo, an experiment was established to assess how moderate applications may impact major soil properties over time and identify any soil degradation risks. Importantly, the experiment was distributed across functioning farms in a large Mediterranean region, thereby accounting for the potential variability and heterogeneity of the wastes produced, common permanent crops, and pedoclimatic conditions. As such, the objectives of the work were to (1) investigate and evaluate the agronomic and environmental effects of the direct application of alperujo in permanent crops, and (2) generate the necessary evidence for a potential authorization for the direct use of alperujos in Valencian agriculture, with high relevance to other Mediterranean contexts.
2. Materials and Methods
A distributed field experiment was established in the provinces of Castellón, Valencia, and Alicante in the Spanish autonomous region of the Valencian Community (Table S1). Eleven parcels with permanent crop groves were identified on functioning farms. A preliminary parcel study was carried out in order to characterize existing limitations and risks to soil use that could be improved with the application of exogenous organic matter (olive mill waste). Some of the prerequisites that were established for the selection of plots were that they were in full production and that they had a minimum area of one hectare. However, some variability was also sought in terms of accessibility, slope, type of soil, crop, variety and planted area. The crops were mainly olive (8/11), but also included carab (1/11), apple (1/11) and almond (1/11). Common features among the chosen parcels were the low soil fertility status (organic matter, phosphorus, nitrogen), and risks of water and wind erosion.
The experimental design consisted of three treatments, including a control, single, and double application. Applications were programmed to coincide with crucial moments in the crop cycle. For both the single and double applications, alperujo was first applied in June (T = 0), corresponding with the beginning of the fruit development stage. For the double application treatment only, a second application was made in April of the following year (T = 10), corresponding to the olive flowering stage [17]. The alperujos applied at each of the farms were produced locally and were each thoroughly characterized (details following below). Olive mill pomace solid waste (alperujo) was applied at an application rate of 10 t/ha to all 11 parcels. As mentioned above, five of the parcels received a second application of 10 t/ha after 9–10 months. Control areas were established in each parcel, with attention to the terrain vegetative state of the crop trees and other effects potentially associated with the use of olive mill waste. Alperujo was applied between rows using either an agricultural trailer with a maximum opening of 1.5 m or a slurry tank, and later incorporated with a chisel plow to a depth of 30 cm. Due to its rheological properties, olive mill waste is pumpable, and its direct application can be carried out with traditional organic amendment systems similar to those used for manure. Additional details about the parcels, including exact locations and the size of each experimental area, are shown in Table S1.
A longitudinal sampling plan was used to evaluate the short-term effects (up to 18 months) of alperujo application on soil properties and other farm indicators. Again, this sampling plan was programmed to coincide with key crop phenological moments in June (T = 0), December winter budding stage and following harvest (T = 6), April leaf development stage (T = 10) and again following crop harvest (T = 18). Monitored oil parameters included: electrical conductivity (EC), pH, total organic carbon (Corg), total Kjeldahl nitrogen (NTK), nitrates, and polyphenols (methods presented below). Also, a qualitative evaluation was carried out with the participation of the farmers of each experimental parcel (detailed methods presented below).
2.1. Analysis of Two-Phase Olive Mill Pomace Wastes (Alperujo)
The olive mill wastes were sampled from each cooperative (those producing olive oil and generating alperujo waste) at the time of application at each parcel. The analyzed parameters were: apparent density, humidity according to the standard method CEN13039 [18], pH and electrical conductivity (EC) in an aqueous extract 1:10 (w/v), and organic matter (OM) by weight loss at 550 °C for 24 h, according to the standard method CEN13039. Total nitrogen (TN) and total organic carbon (TOC) were determined by dry combustion at 950 °C using an elemental analyzer (Truspec CN, Leco, St. Joseph, MI, USA). Phosphorus, sodium, potassium and metals were determined by ICP masses. Water-soluble polyphenols were determined by the modified Folin–Ciocalteu method in a 1:20 (w/v) water extract, according to Bustamante et al. [19].
2.2. Analysis of Soil Samples
Soil samples were taken at 0, 6, 10, and 18 months for parcels with one application, and at 10 and 18 months in the case of the parcels receiving a second application at 10 months. Soil samples were taken at 20 cm depth with a hoe and shovel. Composite samples were obtained in each parcel and subplot by sampling across the experimental area in a zig-zag fashion. Each subsample consisted of three shovelfuls perpendicular to the application band. The quartering system was applied for the homogenization and selection of the final sample, which was sent to the laboratory for analysis. Once in the laboratory, the soil samples were spread out on trays to air-dry and the largest aggregates were broken up. Once dry, they were sieved to 2 mm and packed in hermetic bags for handling and subsequent analysis. The parameters analyzed in the soil samples were: electrical conductivity (EC) and pH, according to M.A.P.A. [20], organic carbon according to Yeomans and Bremner [21], Kjeldahl total nitrogen (TKN) according to Bremner and Britenbeck [22], nitrates according to the method of Sempere et al. [23], and water-soluble polyphenols, determined by the modified Folin–Ciocalteu method in a 1:10 (w/v) water extract [19].
2.3. Qualitative Evaluations
Qualitative evaluations of visually observable soil and plant characteristics were carried out at all plots, including crop vegetative state, flowering, possible appearances of necrosis in leaves, greenness and productivity, the formation of superficial soil crusts, rills, and emergence of adventitious vegetation (weeds). The evaluation was carried out using a point scale ranging from −5 (maximum negative impact) to 5 (maximum positive impact), whereas one value was recorded for each parameter. This evaluation was carried out jointly between the farmers managing each plot and agricultural engineers from Miguel Hernández University, who recorded the results on a qualitative evaluation sheet.
2.4. Data Analysis
Statistical analysis and graphical representation were carried out with the R program for statistical computing [24]. First an ANOVA was used to test for differences between treatment groups for each soil parameter (e.g., Corg~Treatment), and then post-hoc Tukey tests were carried out to evaluate differences between treatment groups at each sampling moment (0, 6, 10, and 18 months). Statistical significance was established as p < 0.05.
3. Results and Discussion
3.1. Alperujo Physico-Chemical Properties
Since the study and organic waste management model tested in the study is the application of locally produced olive mill wastes on fields close to the production zone, 11 different alperujos were employed, each on a different plot. The summary of the physicochemical properties of these wastes is shown in Table 1. It is seen that, in terms of main chemical properties, including water contents, pH, EC, organic carbon (Corg), and nitrogen, the alperujos were generally similar, with low coefficients of variation. Total nitrogen content was the parameter that varied the most among these (CV = 34%, Table 1). Macroelement and trace element concentrations had larger greater variability, though this was usually in the case of elements which were in exceedingly low concentrations (e.g., Cd, Pb). As is commonly known about these two-phase olive mill wastes [8], potassium was present in particularly high concentrations as compared to other macroelements.
Table 1.
Descriptive statistics of the physicochemical properties of the olive mill wastes (alperujos) employed in the study (n = 11). Contents are reported on a dry weight basis.
In general, the olive mill wastes had high humidity (>60%) and density (>1.0 kg/L). The pH values were acidic (Ph < 6), which is valuable for Mediterranean soils from an agronomic point of view. Mediterranean soils are mostly alkaline (pH > 8) due to the high content of limestone, sulphates and exchangeable bases (Ca, Mg, Na and K). The acidity associated with alcohol (−OH) and carboxyl (−COOH) groups of organic matter contributes to the solubility and bioavailability of essential elements for plant nutrition (e.g., typically deficient elements such as Fe and Mn). It also facilitates the formation of clay–humin complexes responsible for soil aggregation (erosion resistance), and allows for the reversible fixation of nutrients and fertilizers on the active soil surfaces, thereby reducing leaching. In addition, its ionic character allows for it to retain higher contents of available water in the soil for longer periods.
The EC of the olive mill wastes, between 2.5 and 4.7 dS/m, was moderate, compared to other wastes such as sewage sludge or slurry. As a plant-derived material, its organic matter content is very high (over 90%, and total organic carbon over 50%), so the efficiency of carbon additions is greater than other organic wastes such as sludge or slurry. The nitrogen contents of the alperujos were low to moderate, between 0.8 and 2.0%, which results in a high C/N ratio, which is tied with its (generally considered) poorly mineralizable nature as compared to sewage sludge or animal excrement slurry. Its phosphorus content were low (0.09–0.18%) and its potassium contents were moderate (1.0–1.8%). With these macronutrient contents, olive mill wastes of this type are most appropriate as a potassium fertilizer [25]. The polyphenol contents, between 3.3 and 5.5 mg/L, were high, as expected, compared to that of other residues such as sludge or manure. However, they did not exceed the limit established for olive mill waste compost by the Spanish Royal Decree 506/2013 on fertilizers, modified by order AAA/2564/2015 and by RD 535/2017. Polyphenols can inhibit soil biological activity [26], so the application rate and agronomic management in the edaphoclimatic environment is key, determining its biodegradation/mineralization. Regarding metals, contents were low, so no environmental risks were anticipated.
3.2. Effects of Alperujo Application on Soil Organic Carbon
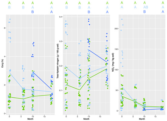
Soil organic carbon (Corg) increased with both one and two applications of alperujo. For the single application, the effect was still detectable after up to 10 months, whereas average concentrations in the control and treatment were 1.2% and 1.6%, respectively; however, these differences were not detectable at 18 months. Although not statistically significant when using the Tukey test, the average Corg values for one and two applications at 18 months (1.5% and 1.7%, respectively) were higher than the control (1.3%; Figure 1). While the average Corg values in the control plots increased very slightly over the study period (likely due to root biomass development, etc.), the plots with alperujo application had a very strong temporal effect, whereas Corg decreased quite significantly following application, showing that, in fact, its mineralization was not impaired. Since a longitudinal sampling design was used, it was possible to detect the rapid mineralization of the organic matter over the 4–6-month periods between samplings.
Figure 1.
Evolution of organic carbon, total Kjeldahl nitrogen, and nitrate concentrations in the soils monitored over the study period, with samplings at 0, 6, 10, and 18 months (x-axis). Treatments are color-coded such that control = green, one application = light blue, two applications = dark blue. Colored lines indicate the mean value for each treatment and sampling moment. Letters at top indicate result of the Tukey HSD test, whereas different letters indicate statistically significant (p < 0.05) differences between treatments. Consult Table S2 for details of the statistical test results.
It is important to keep in mind that, with the application of alperujos and its potential in-field degradation, the final organic matter mass balance is strongly influenced by the proportion of olive pits in the waste product versus hydrosoluble carbon, and this may add to variability when comparing different studies. Although alperujo seems to be highly biodegradable, the application of organic wastes of this type is nonetheless recommended for increasing soil organic matter, which simultaneously supplies nitrogen and other plant nutrients, (as shown with the TKN results). Actual increases in soil organic carbon will depend on the balance between the addition of organic matter and its decomposition.
Based on the available literature, effects on Corg have varied. Previous research has shown that the periodic incorporation of alperujo can change the dynamics of the organic matter of the soil, either stabilizing or increasing it. García-Ortiz-Civanots [27] observed an increase in the organic matter contents of soil after 5 years of applying raw alperujo and alperujo compost. In the case of raw alperujo, organic matter increased between the first and last year. Also, there were no significant differences between composted and raw products; even though the organic matter content in raw alperujo is very high, when incorporated into soil without previous biostabilization, the most labile fraction will mineralize. Furthermore, the soils amended with raw alperujo had the highest organic matter contents at the beginning of the trial, and resulted in soil organic matter contents at the end of the trial that were comparable to soils amended with alperujo composts. Specifically, after five years of testing, a 78% increase in organic matter was observed in the plots amended with raw alperujo, and an 82% increase in the plots amended with alperujo compost, as compared to the plots with mineral fertilizer.
In a trial in a sub-humid region of Slovenia with high application rates (80 t/ha), significant increases in soil Corg were found one year after application [28]. However, in a three-year trial in a non-irrigated olive grove in Italy, applying 75 t/ha spread directly under trees, no effects on soil Corg were found, which was attributed to a rapid mineralization (possibly owing to the additional urea fertilization) [16]. Nasini et al. [29], testing a more diverse group of olive pomaces, did not find any effects on Corg, either. On the other hand, a study carried out in Italy found that long-term application of raw olive pomace increased soil organic matter and soil exoenzyme activities, despite high phenolic and salt contents [30].
Increases in organic matter after the application of OMW, either temporary or lasting, are important in the semi-arid context of Mediterranean agricultural soils, which are poor in organic matter and are exposed to degradation risks associated with low rainfall, fire, and high evapotranspiration. Alperujo applications may help to restore the lost fertility of soils subjected to long regimes of plowing and other disturbances [30].
3.3. Soil total Kjeldahl Nitrogen
Total Kjeldahl nitrogen (TKN) in the study soils is shown in Figure 1. For control plots at the beginning of the experiment, average TKN in the plots was 0.12%, with a minimum of 0.02% and a maximum of 0.28%. These data show that nitrogen was generally deficient in the study soils. Nitrogen in the rooting zone under natural conditions can have a wide range, from 0.03% to 0.4% [31], associated with soil organic matter contents.
As seen in Figure 1, alperujo did contribute to soil nitrogen but in a very temporally dependent manner, whereas no differences were detectable at the experiment’s end (18 months). The mineralization of organic nitrogen may have been activated after the application of the alperujo, leading to lower levels of TKN at 6 months, since nitrogen may be taken up by plants (in its assimilable forms) or lost by lixiviation, volatilization, or denitrification. In our study, despite the low application rate of alperujo (10 t/ha), the quantity of TKN in the amended soils initially increased with respect to the controls, but by 18 months the soil TKN levels were indistinguishable from the controls. What can be deduced from our data is that there is a wide margin to increase the application rate of the alperujo based on the criterion of nitrogen demand.
Total Kjeldahl nitrogen includes the sum of ammoniacal nitrogen plus organic sources. More than 95% of the nitrogen stored in soils is generally in organic forms [32,33], associated with biological tissues from soil litter, roots, microflora, or soil fauna [34]. Organic nitrogen is bound in proteins, free amino acids, amino sugars, and other complex substances, with mineralization rates determining its availability to plants [35]. The exchangeable ammonium on soil colloids or in soil solution, together with the nitrite and nitrate forms, together constitute less than 2% of the total nitrogen in soils.
Most N contained in alperujo is not immediately available, requiring mineralization. It has been found that even in co-composted olive pomace materials, the N contained therein is in recalcitrant forms [36]. However, while most N contained in alperujos is in an organic form, it may also contain ammonium salts. When applied to soils, this (positively charged) ammonium may be adsorbed by the colloids, somewhat preventing leaching. Subsequently, the ammonium is oxidized to nitrate, whereupon it may be taken up by the plant, or leached when its quantity in the soil solution is greater than what the system demands. According to López-Piñeiro et al. [37], the best period for the application and soil incorporation of alperujo is autumn–winter, before vegetative growth resumes.
Brunetti et al. [14] observed a linear increase in total N in a study carried out on the application of fresh alperujo for two years. During the first year, the largest increase was for organic N, but in the second year it was also attributable to inorganic N. The concentration increased with increasing volume of application compared to the control. The unbalanced C/N ratio of the residue could also enhance the immobilization of nitrogen and affect the activity of the nitrogen cycle bacteria in the amended plots. Ordoñez et al. [38], who applied over 20 t/ha of alperujo to a wheat crop, recommend that a nitrogenous fertilizer be applied together with the alperujo to favor the mineralization of the residue and enrich the soil [15].
3.4. Soil Nitrate
As seen in Figure 1, there was a general decrease in soil nitrate levels across all treatments during the study; this is most likely related to previous management and the application of fertilizers. Alperujo application did seemingly increase soil nitrate levels in some plots at the first application, but not in all, which resulted in mean differences that were statistically equal (Figure 1).
Overall, there was no clear behavior in the average values of nitrates, whereas the application of alperujo initially seems to have been associated with increased soil nitrate contents in some plots, but not in others. Also, at 10 months (second application), soil nitrate levels were not affected. This may be explained by the previous fertilization regimes or residues in the soil, or the particular edaphic and biological conditions in the plots, since nitrification is a two-step process of the oxidation of ammonium, first to nitrite and then to nitrate. Either plant uptake or leaching due to rain are expected to be the main reasons for its decrease over time. López-Piñeiro et al. [15], who applied alperujo to a Mediterranean soil for eight years, first observed an increase in nitrates, and later a decrease, two years after the last application.
Nitrate ion (NO3−) is a bioavailable N compound, the most common nitrogen species in fertilizer formulas. Nitrate ion is highly soluble in water and is not retained by the negatively charged soil colloids (organic matter and clay), so it is highly mobile and easily transported by water [39]. Percolation waters can drag it downwards into the soil profile, making it inaccessible to plants. Nitrates can also be lost by denitrification and immobilization by microorganisms [40].
3.5. Soil pH
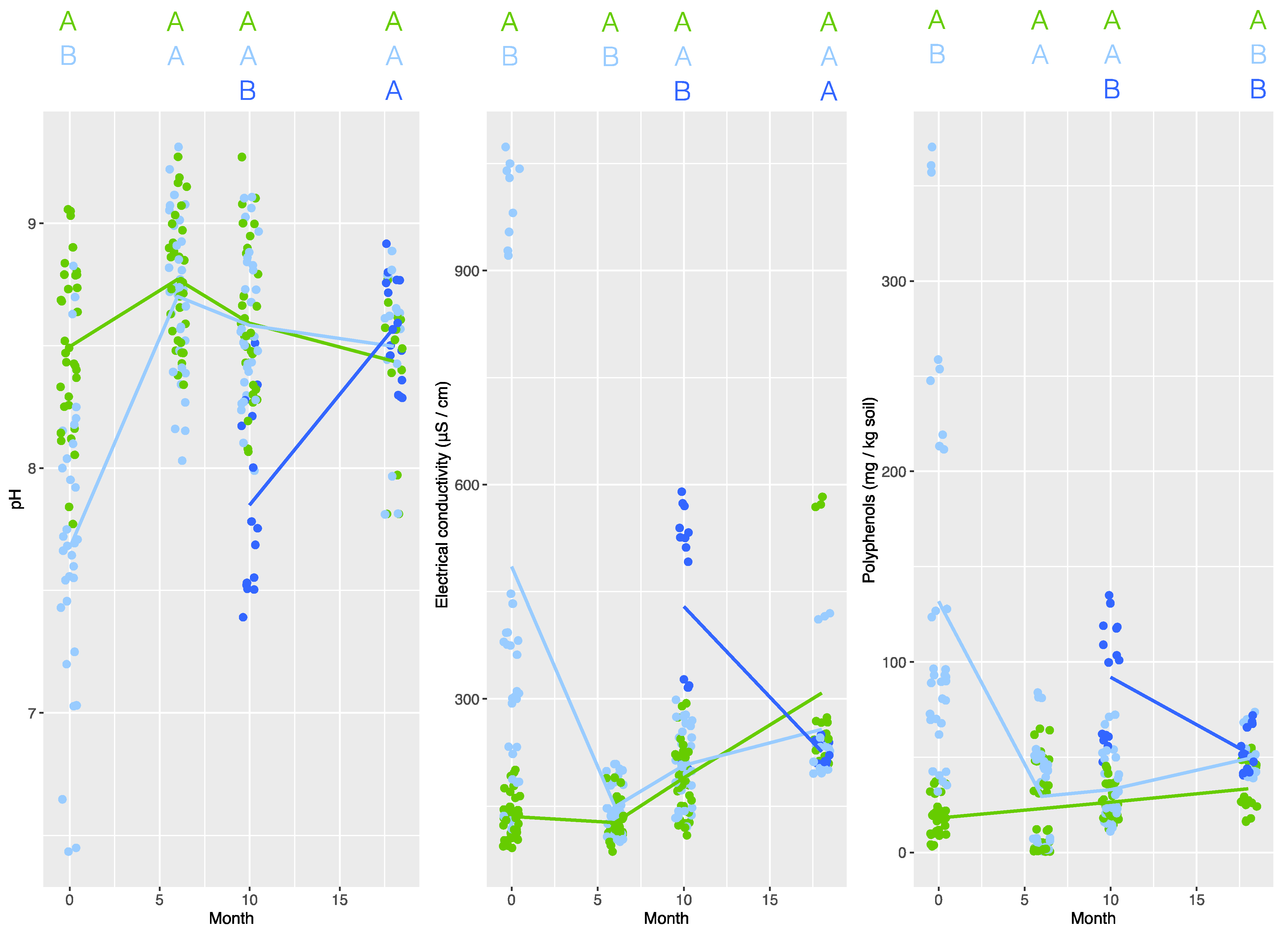
The average pH values for the treatments, sites, and sampling periods ranged from 7.7 to 8.7. pH values were lowest just after applying the olive mill wastes, and these differences were statistically significant between treatments. However, at the next sampling, the pH values of both treatments were indistinguishable from the controls (Figure 2). Therefore, it was seen that the effect of the wastes on pH values was quite transient, with effects lasting for no longer than 6 months. Similar effects were also observed by García-Ruiz et al. [41] and Nasini et al. [29], in an olive grove where 50 t/ha of fresh alperujo had been applied to soil for four consecutive years and a slight decrease in pH was observed. García-Ortiz-Civanots [27] also observed slight decreases in pH after applying fresh alperujo and alperujo compost for 5 years.
Figure 2.
Evolution of pH, electrical conductivity, and polyphenol concentrations in the soils monitored over the study period, with samplings at 0, 6, 10, and 18 months (x-axis). Treatments are color coded such that control = green, 1 application = light blue, 2 applications = dark blue. Colored lines indicate the mean value for each treatment and sampling moment. Letters at top indicate results of the Tukey HSD test, whereas different letters indicate statistically significant (p < 0.05) differences between treatments. Consult Table S2 for details of the statistical test results.
The pH value of soil influences the availability of plant essential elements and biological transformation processes (e.g., of nitrogenous species), as well as the mobility of different elements and their bioavailability [42]. Soil pH also influences the proliferation of microorganisms, the velocity of organic matter stabilization and mineralization, and the cation exchange capacity [43].
The changes in pH with the application of alperujo are due to its acidic nature (3.1–4.7 pH units). In the Mediterranean context of the study, high soil pH values are indicative of the abundance of alkaline and alkaline earth elements, which may limit the availability of some plant nutrients (P, Fe, Cu, Mn, Zn, etc.). The buffering effect of the alkaline and alkaline earth metals in the soil neutralizes the weak acids contributed by the alperujo. Also, although the alperujo is acidic, this acidity is associated with alcohol and carboxyl groups that act as buffers, which may be protonated and deprotonated depending on the receiving medium. Initially, the addition of alperujo decreased soil pH, which should improve the availability of plant nutrients, but the presence of calcium carbonate buffers the acid reaction of the phenolic and carboxylic groups (weak acids) resulting from the decomposition of organic matter contained in the alperujo.
3.6. Electrical Conductivity
Electrical conductivity (EC) values of the study soils ranged between 125 and 485 μS/cm. The only differences in EC between treatments were seen just after applying alperujo, whereas in the subsequent samplings, EC returned to values that were statistically equivalent to control treatments (Figure 2). As such, in our study, we did not observe that any increases in EC were maintained over time as a result of the application of alperujo. However, other authors, such as López-Piñeiro et al. [44], in a field study, observed an increase in EC after nine years of applying alperujo to a soil in a semi-arid environment.
The average values in the study soils, amended and not, are in the low to normal range, so problems related to the accumulation of soluble salts are not to be expected. It should be taken into account that the majority of EC associated with alperujo is due to its potassium contents, not sodium, so problems associated with the accumulation of sodium are not to be expected. Alperujos usually have a moderate salinity compared to other organic materials such as manure, sewage sludge or compost.
Salinity and erosion are causes of soil degradation in semi-arid regions [45]. Salinization is a global problem, reducing plant growth and agricultural productivity [46]. Salinity increases the osmotic potential that plants must overcome to have access to soil water and, in addition, it can exert adverse pressure on soil biota and the essential biological processes that maintain soil quality [47]. The ions present in soil solution also influence physical properties; the accumulation of cations such as Na+ causes the dispersion of clays, affecting soil permeability, water retention and crop productivity [48]. Some studies have found that repeated applications of alperujo may increase soil salinity to undesirable levels, whereas a previous study identified this risk for application rates exceeding 27 t/ha (the moderate application rate established in the cited study, whereas 54 t/ha induced soil EC of 1.89 dS/m) [15].
3.7. Influence of Alperujo Application on Soil Polyphenol Concentrations
The application of alperujo had a very clear but transient effect on soil polyphenol concentrations, which increased following application but, in subsequent samplings, returned to levels that were equivalent or nearly equivalent to the control (Figure 2). However, at 18 months, plots with one and two applications did have polyphenol contents which were statistically different from the controls, with averages of 49 and 52 mg/kg, respectively, whereas the control had 33 mg/kg. This small difference at the experiment end hardly seems significant, and it is not expected that these concentrations pose any risk to soil microbiota or provoke phytotoxic effects for crops. While composting has been extensively studied as a method for reducing the phenol contents of olive mill solid wastes, the use of raw olive pomace in olive groves (direct application) can, in fact, boost the yield and productive efficiency of olive groves beyond that of composted products [16].
Polyphenols are organic compounds with antioxidant and antimicrobial properties that can inhibit the biotic activity of soil. It is known that high concentrations of polymeric phenols can have a bacteriostatic effect and phytotoxic effects on crops, mainly due to the ability of phenolic compounds to combine with other organic components, altering the permeability of the cell membrane and intercellular transfer mechanisms [49].
3.8. Qualitative Evaluation of Alperujo Effects on Crop and Soil Properties
In the plots receiving two applications of olive mill waste (Castellón province), no effects on the target crops were observed. In terms of visually detectable impacts on soil properties, one farmer observed improved soil texture, the elimination of soil crusts, and greater porosity in the applied area, which improved water infiltration. In the rest of the plots, the farmers did not report any differences (comparing the treatments and control). In the plots receiving only one application (provinces of Alicante and Valencia), no visually detectable differences were noted, except for a greater greenness in one plot compared to the unamended one. At this same plot, the farmer also observed greater ease in tilling the soil as compared to the control. Also, in two other plots, a higher abundance of weeds was observed, especially Diplotaxis erucoides (white rocket). In the remainder of the plots, farmers reported no differences. Finally, all the participating farmers believed that the application rate of olive mill waste seemed low.
3.9. Research Perspectives and Application
The application of organic wastes in agriculture furthers the goals of the circular economy and circularity of nutrient cycles in agroindustry. Considering the soil application of high-OM wastes, it is worth noting that soil organic carbon (SOC) gains may now be claimed by farmers for carbon credits in some markets. Organic matter mineralization was shown to be highly dynamic in this study, and further research could be undertaken to better characterize the fate and persistence of this SOC, including its distribution between mineral-associated and particulate pools.
Also, fertilization plans combining alperujo and other fertilizing products require further development and definition. Raw alperujo or other olive mill wastes are not equilibrated in terms of their C/N ratio as compared to agricultural soils and, for this reason, it is sometimes recommended that its application should be accompanied by nitrogenous fertilization. However, it is not known to what degree soil organic matter may accumulate under conditions, since the microbial community may be primed by these additions of labile carbon and nitrogen—this is a research gap.
Another commonly cited challenge with alperujo application is the risk of generating persistent soil salinity, though this was not seen to be problematic with the application rate used in our study. It may be useful to develop risk models considering application rate, alperujo chemical characteristics, and climatic zone, among other factors. This might be undertaken for various fertilization scenarios and application regimes (single, double, etc.). Similar tools may be of interest for polyphenols; the persistence of these compounds is associated with application rate and soil microbiological activity, but other factors regulating their persistence are not well-characterized. Nonetheless, moderate application rates such as those employed in this study do not present a significant risk.
4. Conclusions
Few studies have addressed the direct application of OMW pomace using agronomic criteria and the longitudinal monitoring of soil chemical properties. With the application rate of 10 t/ha, temporary effects have been seen on pH, electrical conductivity, nitrate contents, NTK, and polyphenol contents. Changes were mainly detectable at the time of application, but not at subsequent sampling dates (approximately 4–6 months). Soil carbon concentrations generally increased among the study parcels; as such, this practice can improve the fertility of soils with low organic matter contents (a number of parcels included in the study had organic carbon contents below 1%). Finally, the participating scientists and farmers did not detect any negative effects on the soil or on the crop. Thus, direct application as a nutrient cycling strategy would seem to cause no impairments to soil quality and can be made compatible with existing or updated legislation regulating the practice.
The direct application of alperujos is an agro-environmentally viable management alternative for these flows of agro-industrial wastes which are seasonal and highly dispersed in the rural landscape. Since alperujo is generated in large volumes, it is necessary to establish appropriate management paths for small producers, permitting its local use and doing away with the significant costs of waste transport. We conclude that, together with pomace treatment and composting, the direct application of alperujos at a dose of 10 t/ha per year can be considered an adequate management option to promote the circular economy in the olive oil sector of the Community of Valencia and other regions in the Mediterranean Basin.
Supplementary Materials
The following supporting information can be downloaded at: https://www.mdpi.com/article/10.3390/agronomy13102585/s1, Table S1: experimental parcel data. Table S2: statistical test details.
Author Contributions
Conceptualization, R.M. and M.T.C.; methodology, A.G.-R. and J.A.-R.; formal analysis, L.O., E.A.N.M. and A.G.-R.; investigation, A.G.-R.; resources, A.G.-R., L.O. and E.M.S.; data curation, A.G.-R. and E.M.S.; writing—original draft preparation, A.G.-R., E.A.N.M. and M.D.P.-M.; writing—review and editing, R.M. and M.T.C.; visualization, E.A.N.M.; supervision, R.M. and J.A.-R.; project administration, R.M. and M.T.C.; funding acquisition, R.M. and M.T.C. All authors have read and agreed to the published version of the manuscript.
Funding
This research was funded by the Valencian regional government (Conselleria de Agricultura, Desarollo Rural, Emergencia Climática y Transición Ecológica) within the Agrocomposting project. The authors also express their gratitude for support from Cooperatives Agro-alimentàries of the Valencian Community.
Conflicts of Interest
The authors declare no conflict of interest.
References
- Bruno, D.; Sorando, R.; Álvarez-Farizo, B.; Castellano, C.; Céspedes, V.; Gallardo, B.; Jiménez, J.J.; López, M.V.; López-Flores, R.; Moret-Fernández, D.; et al. Depopulation Impacts on Ecosystem Services in Mediterranean Rural Areas. Ecosyst. Serv. 2021, 52, 101369. [Google Scholar] [CrossRef]
- Sánchez-Martínez, J.D.; Rodríguez-Cohard, J.C.; Garrido-Almonacid, A.; Gallego-Simón, V.J. Social Innovation in Rural Areas? The Case of Andalusian Olive Oil Co-Operatives. Sustainability 2020, 12, 10019. [Google Scholar] [CrossRef]
- Ministerio de Agricultura, Pesca y Alimentación. Avance Datos de Olivar, 2022; Ministerio de Agricultura, Pesca y Alimentación: Madrid, Spain, 2022. [Google Scholar]
- Mirzabaev, A.; Stringer, L.C.; Benjaminsen, T.A.; Gonzalez, P.; Harris, R.; Jafari, M.; Stevens, N.; Tirado, C.M.; Zakieldeen, S. Cross-Chapter Paper 3: Deserts, Semiarid Areas and Desertification. In Climate Change 2022: Impacts, Adaptation and Vulnerability. Contribution of Working Group II to the Sixth Assessment Report of the Intergovernmental Panel on Climate Change; Pörtner, H.-O., Roberts, D.C., Tignor, M., Poloczanska, E.S., Mintenbeck, K., Alegría, A., Craig, M., Langsdorf, S., Löschke, S., Möller, V., Okem, A., Rama, B., Eds.; Cambridge University Press: Cambridge, UK, 2022; pp. 2195–2231. [Google Scholar]
- Sánchez-Monedero, M.A.; Cayuela, M.L.; Mondini, C.; Serramiá, N.; Roig, A. Potential of Olive Mill Wastes for Soil C Sequestration. Waste Manag. 2008, 28, 767–773. [Google Scholar] [CrossRef]
- Pardo, G.; del Prado, A.; Martínez-Mena, M.; Bustamante, M.A.; Martín, J.A.R.; Álvaro-Fuentes, J.; Moral, R. Orchard and Horticulture Systems in Spanish Mediterranean Coastal Areas: Is There a Real Possibility to Contribute to C Sequestration? Agric. Ecosyst. Environ. 2017, 238, 153–167. [Google Scholar] [CrossRef]
- Caputo, A.C.; Scacchia, F.; Pelagagge, P.M. Disposal of By-Products in Olive Oil Industry: Waste-to-Energy Solutions. Appl. Therm. Eng. 2003, 23, 197–214. [Google Scholar] [CrossRef]
- Marks, E.A.N.; Kinigopoulou, V.; Akrout, H.; Azzaz, A.A.; Doulgeris, C.; Jellali, S.; Rad, C.; Sánchez Zulueta, P.; Tziritis, E.; El-Bassi, L. Potential for Production of Biochar-Based Fertilizers from Olive Mill Waste in Mediterranean Basin Countries: An Initial Assessment for Spain, Tunisia, and Greece. Sustainability 2020, 12, 6081. [Google Scholar] [CrossRef]
- Paredes, C.; Cegarra, J.; Roig, A.; Sánchez-Monedero, M.A.; Bernal, M.P. Characterization of Olive Mill Wastewater (Alpechin) and Its Sludge for Agricultural Purposes. Bioresour. Technol. 1999, 67, 111–115. [Google Scholar] [CrossRef]
- Fiorentino, A.; Gentili, A.; Isidori, M.; Monaco, P.; Nardelli, A.; Parrella, A.; Temussi, F. Environmental Effects Caused by Olive Mill Wastewaters: Toxicity Comparison of Low-Molecular-Weight Phenol Components. J. Agric. Food Chem. 2003, 51, 1005–1009. [Google Scholar] [CrossRef] [PubMed]
- Pinho, I.A.; Lopes, D.V.; Martins, R.C.; Quina, M.J. Phytotoxicity Assessment of Olive Mill Solid Wastes and the Influence of Phenolic Compounds. Chemosphere 2017, 185, 258–267. [Google Scholar] [CrossRef] [PubMed]
- Regni, L.; Gigliotti, G.; Nasini, L.; Agrafioti, E.; Galanakis, C.M.; Proietti, P. Reuse of Olive Mill Waste as Soil Amendment. In Olive Mill Waste: Recent Advances for Sustainable Management; Academic Press: Cambridge, MA, USA, 2017; ISBN 9780128053140. [Google Scholar]
- Kavdir, Y.; Killi, D. Influence of Olive Oil Solid Waste Applications on Soil PH, Electrical Conductivity, Soil Nitrogen Transformations, Carbon Content and Aggregate Stability. Bioresour. Technol. 2008, 99, 2326–2332. [Google Scholar] [CrossRef]
- Brunetti, G.; Plaza, C.; Senesi, N. Olive Pomace Amendment in Mediterranean Conditions: Effect on Soil and Humic Acid Properties and Wheat (Triticum turgidum L.) Yield. J. Agric. Food Chem. 2005, 53, 6730–6737. [Google Scholar] [CrossRef]
- López-Piñeiro, A.; Albarrán, A.; Nunes, J.M.R.; Peña, D.; Cabrera, D. Long-Term Impacts of de-Oiled Two-Phase Olive Mill Waste on Soil Chemical Properties, Enzyme Activities and Productivity in an Olive Grove. Soil. Tillage Res. 2011, 114, 175–182. [Google Scholar] [CrossRef]
- Proietti, P.; Federici, E.; Fidati, L.; Scargetta, S.; Massaccesi, L.; Nasini, L.; Regni, L.; Ricci, A.; Cenci, G.; Gigliotti, G. Effects of Amendment with Oil Mill Waste and Its Derived-Compost on Soil Chemical and Microbiological Characteristics and Olive (Olea europaea L.) Productivity. Agric. Ecosyst. Environ. 2015, 207, 51–60. [Google Scholar] [CrossRef]
- Sanz-Cortés, F.; Martinez-Calvo, J.; Badenes, M.L.; Bleiholder, H.; Hack, H.; Llácer, G.; Meier, U. Phenological Growth Stages of Olive Trees (Olea europaea). Ann. Appl. Biol. 2002, 140, 151–157. [Google Scholar] [CrossRef]
- European Committee For Standardization. CEN 13039: Soil Improvers and Growing Media—Determination of Organic Matter and Ash; European Committee For Standardization: Brussels, Belgium, 2011. [Google Scholar]
- Bustamante, M.A.; Paredes, C.; Marhuenda-Egea, F.C.; Pérez-Espinosa, A.; Bernal, M.P.; Moral, R. Co-Composting of Distillery Wastes with Animal Manures: Carbon and Nitrogen Transformations in the Evaluation of Compost Stability. Chemosphere 2008, 72, 551–557. [Google Scholar] [CrossRef] [PubMed]
- Ministerio de Agricultura, Pesca y Alimentación. Métodos Oficiales de Análisis. Tomo III: Métodos Oficiales de Análisis de Suelos y Aguas Para El Riego; Ministerio de Agricultura, Pesca y Alimentación: Madrid, Spain, 1994. [Google Scholar]
- Yeomans, J.C.; Bremner, J.M. A Rapid and Precise Method for Routine Determination of Organic Carbon in Soil. Commun. Soil Sci. Plant Anal. 1988, 19, 1467–1476. [Google Scholar] [CrossRef]
- Bremner, J.; Breitenbeck, G. A Simple Method for Determination of Ammonium in Semimicro-Kjeldahl Analysis of Soils and Plant Materials Using a Block Digester. Commun. Soil Sci. Plant Anal. 1983, 14, 905–913. [Google Scholar] [CrossRef]
- Sempere, A.; Oliver, J.; Ramos, C. Simple Determination of Nitrate in Soils by Second-derivative Spectroscopy. J. Soil Sci. 1993, 44, 633–639. [Google Scholar] [CrossRef]
- R Core Team. R: A Language and Environment for Statistical Computing; R Foundation for Statistical Computing: Vienna, Austria, 2022. [Google Scholar]
- García-Rández, A.; Marks, E.A.N.; Martínez-Sabater, E.; Sáez-Tovar, J.A.; Andreu-Rodríguez, J.; Orden, L.; Bustamante, M.A.; Pérez-Murcia, M.D.; Moral, R. Identifying the Circularization Opportunities for Organic Wastes Generated in a Mediterranean Region. Nutr. Cycl. Agroecosyst. 2023, 1–17. [Google Scholar] [CrossRef]
- Alburquerque, J.A.; Gonzálvez, J.; García, D.; Cegarra, J. Effects of Bulking Agent on the Composting of “Alperujo”, the Solid by-Product of the Two-Phase Centrifugation Method for Olive Oil Extraction. Process Biochem. 2006, 41, 127–132. [Google Scholar] [CrossRef]
- García-Ortiz-Civantos, C. Aprovechamiento Del Alperujo Como Enmienda Orgánica En El Olivar. Ph.D. Thesis, University of Jaén, Jaén, Spain, 2016. [Google Scholar]
- Podgornik, M.; Bučar-Miklavčič, M.; Levart, A.; Salobir, J.; Rezar, V.; Butinar, B. Chemical Characteristics of Two-Phase Olive-Mill Waste and Evaluation of Their Direct Soil Application in Humid Mediterranean Regions. Agronomy 2022, 12, 1621. [Google Scholar] [CrossRef]
- Nasini, L.; Gigliotti, G.; Balduccini, M.A.; Federici, E.; Cenci, G.; Proietti, P. Effect of Solid Olive-Mill Waste Amendment on Soil Fertility and Olive (Olea europaea L.) Tree Activity. Agric. Ecosyst. Environ. 2013, 164, 292–297. [Google Scholar] [CrossRef]
- Innangi, M.; Niro, E.; D’Ascoli, R.; Danise, T.; Proietti, P.; Nasini, L.; Regni, L.; Castaldi, S.; Fioretto, A. Effects of Olive Pomace Amendment on Soil Enzyme Activities. Appl. Soil Ecol. 2017, 119, 242–249. [Google Scholar] [CrossRef]
- Tisdale, S.L.; Nelson, W.L.; Beaton, J.D. Soil Fertility and Fertilizers; Collier Macmillan Publishers: New York, NY, USA, 1985; ISBN 0024208302. [Google Scholar]
- Allison, F.E. Soil Organic Matter and Its Role in Crop Production; Elsevier: Amsterdam, The Netherlands, 1973; ISBN 0080869696. [Google Scholar]
- Batjes, N.H. Total Carbon and Nitrogen in the Soils of the World. Eur. J. Soil Sci. 1996, 47, 151–163. [Google Scholar] [CrossRef]
- Stevenson, F.J. Humus Chemistry: Genesis, Composition, Reactions; John Wiley & Sons: Hoboken, NJ, USA, 1994; ISBN 0471594741. [Google Scholar]
- Powlson, D. Mineralization and Assimilation in Soil-Plant Systems. In Nitrogen Isotope Techniques; Knowles, R., Blackburn, T.H., Eds.; Academic Press Inc.: Cambridge, MA, USA, 1993; pp. 209–242. [Google Scholar]
- Gómez-Muñoz, B.; Hatch, D.J.; Bol, R.; Dixon, E.R.; García-Ruiz, R. Gross and Net Rates of Nitrogen Mineralisation in Soil Amended with Composted Olive Mill Pomace. Rapid Commun. Mass Spectrom. 2011, 25, 1472–1478. [Google Scholar] [CrossRef]
- López-Piñeiro, A.; Murillo, S.; Barreto, C.; Muñoz, A.; Rato, J.M.; Albarrán, A.; García, A. Changes in Organic Matter and Residual Effect of Amendment with Two-Phase Olive-Mill Waste on Degraded Agricultural Soils. Sci. Total Environ. 2007, 378, 84–89. [Google Scholar] [CrossRef]
- Ordóñez, R.; González, P.; Giráldez, J.V.; García-Ortiz, A. Efecto de La Enmienda Con Alperujo Sobre Los Principales Nutrientes de Un Suelo Agrícola. In Studios de la Zona No Saturada.; Muñoz-Carpena, R., Ritter, A., Tascón, C., Eds.; Indiana Crop Improvement Association (ICIA): Lafayette, IN, USA, 1999. [Google Scholar]
- Foth, H.D. Fundamentals of Soil Science; Wiley: Hoboken, NJ, USA, 1991. [Google Scholar]
- Marañés, A.; Sánchez, J.A.; de Haro, S.; Sánchez, S.; del Moral, F. Análisis de Suelos. Metodología e Interpretación; Universidad de Almería: Almería, Spain, 1998. [Google Scholar]
- García-Ruiz, R.; Ochoa, M.V.; Hinojosa, M.B.; Gómez-Muñoz, B. Improved Soil Quality after 16 Years of Olive Mill Pomace Application in Olive Oil Groves. Agron. Sustain. Dev. 2012, 32, 803–810. [Google Scholar] [CrossRef]
- Porta, J.; López Acevedo, M.; Poch, R.M. Edafología: Uso y Protección de Suelo; Mundi-Prensa: Madrid, Spain, 2014. [Google Scholar]
- Andrades, M.; Martínez, M.E. Fertilidad Del Suelo y Parámetros Que La Definen; Universidad de la Rioja: Logroño, Spain, 2014. [Google Scholar]
- López-Piñeiro, A.; Peña, D.; Albarrán, Á.; Sánchez-Llerena, J.; Becerra, D. Long-Term Effects of Olive Mill Waste Amendment on the Leaching of Herbicides through Undisturbed Soil Columns and Mobility under Field Conditions. Soil Tillage Res. 2014, 144, 195–204. [Google Scholar] [CrossRef]
- Heilig, J.; Kempenich, J.; Doolittle, J.; Brevik, E.C.; Ulmer, M. Evaluation of Electromagnetic Induction to Characterize and Map Sodium-affected Soils in the Northern Great Plains. Soil Surv. Horiz. 2011, 52, 77–88. [Google Scholar] [CrossRef]
- Yu-Peng, W.U.; Zhang, Y.; Yan-Meng, B.I.; Zhen-Jun, S.U.N. Biodiversity in Saline and Non-Saline Soils along the Bohai Sea Coast, China. Pedosphere 2015, 25, 307–315. [Google Scholar]
- Pankhurst, C.E.; Yu, S.; Hawke, B.G.; Harch, B.D. Capacity of Fatty Acid Profiles and Substrate Utilization Patterns to Describe Differences in Soil Microbial Communities Associated with Increased Salinity or Alkalinity at Three Locations in South Australia. Biol. Fertil. Soils 2001, 33, 204–217. [Google Scholar] [CrossRef]
- Keren, R. Salinity. In Handbook of Soil Science; Sumner, M., Ed.; CRC Press: Boca Raton, FL, USA, 2000; pp. G3–G25. [Google Scholar]
- Peri, C.; Proietti, P. Olive Mill Waste and By-products. In The Extra-Virgin Olive Oil Handbook; John Wiley & Sons, Ltd.: Hoboken, NJ, USA, 2014; pp. 283–302. [Google Scholar]
Disclaimer/Publisher’s Note: The statements, opinions and data contained in all publications are solely those of the individual author(s) and contributor(s) and not of MDPI and/or the editor(s). MDPI and/or the editor(s) disclaim responsibility for any injury to people or property resulting from any ideas, methods, instructions or products referred to in the content. |
© 2023 by the authors. Licensee MDPI, Basel, Switzerland. This article is an open access article distributed under the terms and conditions of the Creative Commons Attribution (CC BY) license (https://creativecommons.org/licenses/by/4.0/).

