Abstract
Semi-dwarfing rootstocks have enabled the adoption of high-density orchard systems for sweet cherry. Understanding the effects of training systems on light capture and fruit quality of lateral bearing cultivars early in tree/orchard establishment is lacking. The aim of this study was to investigate light interception and fruit quality over two seasons of 4–5 year-old ‘Kordia’ grafted to ‘Krymsk 5′ rootstock and trained to the 2D planar training systems of upright fruiting offshoot (UFO), super spindle axe (SSA), tall spindle axe (TSA), Bibaum (BB) and steep leader (SL). Average light interception over the two seasons was highest in UFO and SL (69%) followed by BB (66%). Average yield was highest for SSA (15.1 t ha−1) followed by SL (14.5 t ha−1) and UFO (12.7 t ha). There were negative correlations between crop load and fruit dry matter content (r2 = 0.67 and 0.84) and total soluble solids (0.92 and 0.42) in 2019–2020 and 2020–2021, respectively. Our results indicate that sufficient space is required between uprights for lateral bearing cultivars when trained to a planar training system to achieve optimal light interception and fruit quality. This study provides improved understanding to enable the adoption of planar training systems for lateral fruiting cherry cultivars at high-density plantings.
1. Introduction
Development of dwarfing rootstocks for sweet cherry (Prunus avium) has enabled higher density planting with greater yield efficiencies driven, in part, by increased light interception [1]. In addition to the influence of planting density, light interception depends on cultivar, tree shape and height, row orientation, leaf area index (LAI) and the length of the growing season [2]. Training of the tree canopy can maximise light interception to ensure production of optimum yields of high-quality fruit [3,4,5]. In addition, sufficient within-canopy light penetration is crucial for fruit yield and quality, as excessive interior shading results in reduced fruitfulness and blind wood, a reduction in fruit weight, poor colour development, low fruit dry matter content (DMC) and low total soluble solids content (TSS) [6,7].
Maximum light interception and penetration can be achieved in various ways. The selection of training systems that are suited to the growing environment optimises light interception. Hedgerow systems such as Bibaum (BB) are adapted to regions of abundant light and high temperatures coupled with long growing seasons. Planar 2D training systems minimise canopy light exposures during the hours when it is most extreme (solar noon). This protects developing fruit from over-exposure of light in locations that experience long seasons with high temperatures; Zhang, et al. [8] reported light interceptions of approximately 31% for the Upright Fruiting Offshoot (UFO) training system in contrast to 78% in a Y-trellis system at 3pm, making planar training systems popular in the Po Valley in Italy [9]. Other methods of improving light interception and canopy penetration include pruning techniques and the precise structural placement of limbs early in tree establishment [9,10], resulting in increased tree precocity and improved fruit quality and yields [11]. The effect of precision branching and crop load has been considered in relation to optimising source sink relations and fruit quality [12]. It has been speculated that approximately 20 t ha−1 is the optimal fruit yield-quality relationship for trees trained to the Kym Green Bush system at a density of 833 trees ha−1 [13]. Negative correlations between increasing crop loads and fruit size, compression firmness and TSS, but not colour, have been reported in the cultivars ‘Sweetheart’ and ‘Van’ on ‘F12-1′ rootstocks [14]. Cittadini, et al. [15] reported linear decreases in mean fruit weight, titratable acidity, and TSS with an increase in fruit number to leaf area ratio on seven-year-old ‘Bing’ on ‘Mahaleb’ rootstock trained as a vase.
Training systems that enable increased tree density in other tree crops include the BB system in European pears [16], Tall Spindle Axe (TSA) in apples [17] and Palmette in nectarines [18]. These training systems are now being investigated in cherry orchards due to their improved light interception and within-canopy light distribution attributed to their 2D canopy structure. The training of cherry trees along a cordon wire in a planar structure has enabled high-density planting of trees, resulting in increased yields per hectare, and improved pruning and harvest efficiency due to the potential for reduced reliance on ladders and platforms [19,20].
Investigation of training systems, canopy light interception and subsequent fruit quality has received little attention in cherry cultivars on precocious, dwarfing rootstocks. Appropriate pruning and training of trees, suited to the soils and climate of the site, scion/rootstock vigour and planting density of the growing system, enables simplified orchard management practices as trees mature [18,21,22,23]. A mismatch of training system with the aforementioned factors can lead to less light interception, excessive vegetative vigour and increased within-canopy shading, resulting in an increase in blind wood, inter-tree competition for water and nutrients [24] and lost yield and fruit quality. Conversely, excess limbs may lead to excessive cropping, resulting in unsatisfactory fruit quality as well as triggering poorer tree health with regards to longevity and cropping capability [25]. Tree canopies that utilise light and space efficiently and do not require large scale pruning of blind wood seasonally will produce higher quality fruit over a greater period (K Breen 2019, pers. comm., 6 June).
Canopy training systems investigated in this study include the UFO, Super Spindle Axe (SSA), TSA and BB, all trained along cordon wires, as well as a free-standing Steep Leader (SL) structure (Figure A1). The UFO training system is a narrow fruiting wall that produces fruit on renewable vertical shoots arising from a trunk or ‘cordon’ that is trained to near horizontal. This system has improved air flow, increased light penetration and harvest efficiency with high yields [26,27]. The SSA training system is suited to cultivars with good vigour and the capacity to produce fruit on basal buds of 1-year-old shoots. The SSA requires grafting to dwarfing and precocious rootstocks due to the high-density planting required to compensate for the relatively low production per tree [27,28]. Similar to the SSA training system, the TSA follows a central leader structure; however, greater lateral shoot growth is encouraged to form the tree into a conical shape. Planting distances between TSA trees are greater than that of SSA, enabling sufficient space for lateral growth to occur. Both training systems, once mature, provide a continuous fruiting wall with relatively improved light interception. Annual heading is required for vigour control while the pruning of old unproductive lateral branches is required to promote new growth; the only permanent fixture of the TSA training system is the central leader [20,27]. The BB training system is characterised by two symmetric leaders originating from a single trunk. The division of growth across the two leaders provides the advantages of a narrower fruiting wall, improved light interception and penetration and the simplification of orchard management. This training system is suited to cultivars that fruit on lateral wood that fills the space between the two vertical leaders [16]. The SL training system typically comprises three to four vertical leaders in a ‘vase’ shape with lateral branching encouraged from the leaders. Optimum fruiting sites occur from the temporary lateral wood, with regeneration of leaders occurring when insufficient laterals are being produced [27].
The aim of this study was to investigate the effect of the various training systems on light interception and fruit yield and quality in the early stages of orchard establishment when trees were at fourth and fifth leaf. The ‘Kordia’ cultivar, a lateral bearing sweet cherry cultivar, grafted onto the semi-dwarfing rootstock ‘Krymsk 5′ (K5), was selected for this study. Early yields are an important consideration for growers when they evaluate cultivars/rootstocks/training systems for new orchards. Greater understanding of each of these training systems in the early stages of their development will inform grower management practices, particularly those growing lateral bearing sweet cherry cultivars under protected cropping systems where optimal utilisation of space and light is vital for early and profitable yields.
2. Materials and Methods
The trial site was located at Jericho (42°22′ S, 147°16′ E) in the southern Midlands of Tasmania, Australia. It is considered a cool temperate climate with mild to warm summers and an average maximum temperature of 20 °C. Average rainfall is 547 mm (Australian Bureau of Meteorology). The trial was conducted over two seasons. The first season (2019–2020) studied four-year-old Kordia trees, the second season (2020–2021) five-year-old Kordia trees, all established within a 4 ha retractable roof greenhouse (Cravo Equipment Ltd., Canada) constructed in 2016. The Cravo greenhouse is a permanent structure with an automated roof and side wall system that protects trees from rainfall, high winds, and extreme solar radiation levels. The system was programmed to automatically close at temperatures below 10 °C, fully open between 10 and 26 °C and 50% closed at temperatures greater than 26 °C (shade mode); it was also programmed to completely close when any rainfall was detected throughout the entire growing season, re-opening when a period of five minutes had elapsed with no detected rainfall. The block was planted in a north-east/south-west orientation on sandy loam topsoils with a heavy clay subsoil. Topsoil was mounded along planting rows which were 3.2 m apart with grass established in the inter-row (Table 1).
Table 1.
Details of the different training systems for ‘Kordia’ sweet cherry trees utilised in the study.
Irrigation, fertigation and pest and weed control were per usual management practices for the orchard. Dual drip tube under each tree line with emitters every 0.6 m released 1 L h−1 and was uniform for all training systems except under the SL trained trees where sprinklers with an application rate of 35 L h−1 were deployed at the base of each tree.
2.1. Experimental Design
The sampling scheme for the data was defined by the pre-existing orchard layout and its established management practices. Thus, the sample is essentially observational, rather than “experimentally designed”. All observations come from a four-hectare “Trial Block” within the orchard, which contains rows of trees at various age, cultivar, training system and rootstock combinations. Five different training systems were chosen that had trees consistent in age, cultivar and rootstock. A diagram of the Trial Block and sampling scheme is in Figure 1. The basic sampling unit is a tree (where there are multiple measurements taken from a tree, the values are averaged). Six trees were randomly selected from each of the five training systems, with the selection of trees being different for both seasons. This means n = 30 for each season. The random tree selection was done with two constraints. First, the Trial Block was rendered in half by a path, so for each season, three trees on either side of the path were selected (this step was arbitrary and the side-of-path structure was not incorporated into any models). Secondly, the random selection was done such that each tree was at least two trees away from any other tree in the sample. In summary, within a training system and season, we treated the six trees as being randomly selected from the same “population”. For the ANOVA analysis, n = 30 for the one-way ANOVA linear models and n = 60 for the two-way ANOVA linear models (which incorporate a system-by-season interaction). There were no missing values.
Figure 1.
Illustration of the trial block with the five training systems observed for this study split in half by the presence of a walkway. There were rows of trees between the studied rows; however, they consisted of different cultivar, rootstock, age and training system combinations (Approx. 4–6 rows between each of the studied rows).
2.2. Tree Measurements
Tree heights, trunk circumferences and limb lengths were measured in late winter and trunk cross-sectional area (TCSA) calculated for each tree. For training systems comprising multiple leaders/uprights (i.e., UFO, BB and SL), two leaders/uprights were selected and tagged, and lengths and circumference measured. Due to the intensive pruning required in the early stages of tree training for the UFO, BB and SL training systems between years one to three (2016–2018), it was agreed that trunk circumference above the graft union was not representative for measurements of TCSA in these systems. Therefore, flower and crop load data were calculated using upright/limb cross-sectional area measurements (LCSA) instead of TCSA. Flowers were counted on the selected upright/leaders at 60–80% bloom in late October and fruit set was counted prior to harvest in early January. Due to the nature of the SSA and TSA training systems, whole tree flower and fruit set counts were undertaken.
2.3. Light Interception
Light interception was measured using an AccuPAR LP–80 ceptometer (Decagon, Devices, Inc., Pullman, Washington), which considered latitude, longitude, international date, and standard local time in the calculation of zenith angle. The leaf distribution parameter was set to the default value (x = 1.0). Below-canopy readings were taken randomly for each training system by walking along the entire row inserting the ceptometer approximately 30 cm above ground level with the light bar extending into the mid row. Light measurements were taken randomly along the entire row, with measurement position determined by a random number generator. The measurements were taken throughout the season after the completion of canopy development, starting 44 days after full bloom (DAFB), at approximately 12 pm (±1.5 h) with a minimum of ten below-canopy measurements taken for each training system. Uninterrupted light measurements were taken midrow and at row ends in an open setting. Average photosynthetically active radiation (PAR) readings above and below the canopy were calculated to obtain light interception measurements for each training system. Due to factors outside the control of this study, one day of light interception measurements was captured for the first season and three days for the second season.
2.4. Leaf Area Index
Leaf area index (LAI) was measured with an LAI–2200C Plant Canopy Analyser (LI-COR Inc., Lincoln, NE, USA) with a fish-eye optical sensor (148° field-of-view) consisting of five concentric silicon ring detectors measuring five zenith angles (7°, 23°, 38°, 53° and 68°) from which light interception and LAI is estimated using a model of radiative transfer in vegetative canopies (LI-COR Manual). These measurements provide an approximation of LAI, due to the inability of the optical sensor to distinguish between green elements and other non-leaf elements of the canopy such as the projected stem and branch area, i.e., the wood area index (WAI). It is for this reason that Breda [29] coined the terminology ‘plant area index’ (PAI) which takes into consideration both WAI and LAI. Thus, PAI will be used henceforth. Measurements were taken on clear mornings (8 am ± 1 h) with a 90° view cap placed over the fish-eye lens to limit the azimuthal field of view to obscure the operator, compensate for gaps in the canopy and limit interference from nearby rows. The LAI-2200C automatically registered latitude as well as date and time to calculate the appropriate zenith angles. Physical tree measurements (height, width along cordon and extension into midrow) were taken for each training system and entered into the Li-COR computer software program (FV2200 ver 2.1.1). Measures of the 68° and occasionally the 53° zenith rings/angles were omitted depending on tree canopy shape to improve the PAI measurements by limiting the influence of incoming radiation that did not pass through the canopy. Light scatter correction equations were applied for each training system (LicCor manual). The LAI–2200C was only used in the 2020–2021 season to validate LAI readings recorded by the AccuPar LP-80. Calibration of the LAI-2200C was conducted prior to trial measurements. Multiple above and below-canopy measurements were required for PAI estimation to occur, with measurements taken 34 and 61 DAFB.
2.5. Fruit Quality and Yields
Fruit was harvested on commercial harvest dates (15 January 2020, 18 and 19 January 2021) for each training system, prior to midday in line with standard grower practice. All fruit on tagged limbs, and entire trees for the SSA and TSA training systems, were picked irrespective of fruit quality. Fruit was contained in labelled sealed bags and placed in the shade before being weighed in the field with electronic scales (Jastek, 5 kg electronic scales). Fruit was transported within two hours and immediately placed into refrigeration at 4 °C prior to grading within 24 h. Tagged trees in this study did not have fruit thinned by the orchard manager in either season to the best of our knowledge.
Average tree yield (kg) was determined by harvesting entire trees (SSA, TSA) or tagged limbs (UFO, BB and SL) and multiplying the limb weight by the average number of limbs for that training system, i.e., UFO had an average of eight uprights, BB two leaders and SL an average of four leaders. Total estimated yield in tonnes per hectare (t ha−1) was obtained by multiplying the weight (kg) per tree and the tree density (trees ha−1). Total fruit counts for each limb were recorded prior to fruit being graded into first class, second class and reject (rotten, severely cracked or damaged) fruit. First-class fruit were determined visually by size (>26 mm) and skin colour (≥3 according to the Australian cherry colour chart standards). A sample of thirty first-class fruit was randomly selected for fruit quality assessment (skin colour, diameter, weight, firmness, stem pull force, TSS and DMC). Skin colour measurements were obtained using a Konica Minolta, CR–400 Chroma Meter (Konica Minolta Sensing, Inc., Osaka, Japan), with two measurements per fruit, one on each cheek. Results were expressed in the CIELAB or L*a*b* format (a colour space defined by the International Commission on Illumination). Fruit diameter (mm) was measured across the widest points (cheeks) of the fruit using digital vernier calipers (Sidchrome, SCMT26226). Individual fruit weight (including stem) was measured using a Mettler Toledo scientific balance. Fruit compression firmness was estimated using a Firmtech 2 (Bioworks Inc., Stillwater, OK, USA) in g mm−1. Due to the large size of the cherries, fruit were placed with the cheeks in a horizontal axis rather than a vertical axis. Fruit skin and flesh puncture force tests were completed for each cherry using a Güss GS-20 Fruit Firmness Analyser (Güss Manufacturing Ltd., Strand, South Africa) operating at a penetration speed of 10 mm s−1 and a penetration depth of 4 mm. One side/cheek of the cherry had a small section of skin removed using a razor blade to measure flesh firmness while the other side/cheek was used to measure skin puncture force (kg). Stem pull force was measured in grams using a stand mounted Mark-10 Series 5 force gauge (Mark-10, NY, USA). All cherries were de-pipped and fifteen fruit from each sample dried at 68°C for a week for measurement of fruit DMC; the remaining fifteen fruit were juiced to measure TSS (°brix) using a PAL-1 digital hand-held refractometer (Atago, Japan).
2.6. Data Analysis
Data analysis was carried out with the statistical language R (version 4.1). All ANOVA analysis was derived from simple linear models (with different trees in each season so that no repeated measures were made). For each model, the residuals were checked for approximate normality. We made simple Bonferroni adjustments for multiple hypothesis testing in the fruit quality contrasts between training systems. The “n=” and “p-values” were not adjusted for multiple testing in each ANOVA table. Linear regression lines and R2 values for the fruit quality correlation charts were generated using Microsoft Excel 365 software.
2.7. Meteorological Observations
Meteorological data were recorded by a weather station positioned centrally in the orchard block within 150 m of all training systems (Harvest, Masterton, New Zealand, ITU G2).
3. Results
3.1. Meteorological Observations
Average daily temperatures were 2 °C and 2.4 °C lower in December 2020 and January 2021 (season two) in contrast to season one (Table 2). Solar radiation was 4.8 W m−2 lower in December of season two in contrast to the December in season one. Rainfall during flowering in season two (October 2020) (99.0 mm) was considerably higher than that in season one (October 2019) (13.6 mm).
Table 2.
Mean monthly climate data for season one (2019–2020) and season two (2020–2021).
3.2. Light Interception
Mean light interception was highest for the SL and UFO training systems (66%) in 2019–2020 (Table 3). Light interception was higher in all training systems in season two relative to season one, with the BB training system having the highest light interception measurements in the 2020–2021 season with 79% of all light intercepted by the canopy, followed by UFO and SL (71%), and SSA (70%). All PAI measurements were similarly higher in 2020–2021, relative to the 2019–2020 season with BB having the highest PAI of 3.5 followed by TSA (3.1) and UFO (3.0) in the 2020–2021 season.
Table 3.
Mean light interception and PAI values of the various training systems in the 2019–2020 and 2020–2021 seasons. Letters within columns illustrate significant differences between training systems (p ≤ 0.05).
3.3. Fruit Set and Yield
Fruit set was significantly higher for TSA, SSA and BB trained trees (35%, 33% and 32%) in contrast to UFO (17%) in the first season; however, crop loads were not significantly different between these training systems. UFO crop load was significantly higher in contrast to all other training systems in the second season (44.6 fruit/cm2) due to a 130% increase in flower load from the first season (Table 4).
Table 4.
Flower load, fruit set, crop load and yields of sweet cherry cv. ‘Kordia’ on multiple training systems for the first (2019–2020) and second (2020–2021) seasons. Letters within columns illustrate significant differences between training systems (p ≤ 0.05).
SSA trained trees had the largest estimated yields per hectare with an average of 15 t ha−1 ± 1.5 over the two seasons followed by SL with 14.4 t ha−1 ± 2.3 and UFO 12.7 t ha−1 ± 1.3. Yield increased in the 2020–2021 season for SL and UFO trained trees up from 8.4 to 20.5 t ha−1 (144% increase) and 7.5 to 17.8 t ha−1 (137% increase), respectively. Higher yields for both SL and UFO were related to increased flower loads (103.9 and 246.8 flowers cm−2 LCSA, respectively) with similar fruit sets to 2019–2020. Yield reductions of 46% occurred in TSA, 40% in SSA and 17% in BB in the 2020–2021 season.
3.4. Fruit Quality
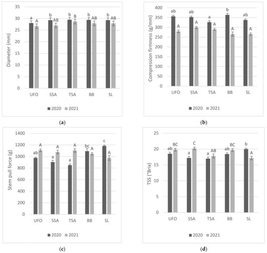
Of the first-class quality fruit analysed for fruit quality characteristics the TSA training system fruit were largest in diameter in each of the two seasons (Figure 2a). Observationally, fruit from the TSA training system were >26 mm (99%) followed by BB (98%) and SL (95%) over the two-year trial period (Table 5). The training systems with the highest average crop loads over the two seasons, UFO (31.9) and SSA (26.5), had the lowest fruit diameters.

Figure 2.
Training system effects on various fruit quality characteristics of sweet cherry cultivar ‘Kordia’ for the 2019–2020 (black) and 2020–2021 (grey) seasons. Bonferonni adjustments were made for multiple hypothesis testing between fruit quality characteristics between training systems, within each season as indicated by lower- and upper-case letters above means. Different letters above the means indicate significant difference (p ≤ 0.05) between training systems within the same season. Error bars represent one standard error for each training system and n = 6 for each system in a season.
Table 5.
Descriptive percentage fruit diameters for first-class sweet cherry cv. ‘Kordia’ fruit on multiple training systems for the first (2019–2020) and second (2020–2021) seasons.
In season one (2019–2020), the SSA and TSA training systems had the highest fruit sets (33% and 35%) and crop loads (34.5 and 32.7 fruit cm−2 TCSA) (Table 4) but lowest TSS (17.2% and 17%) (Figure 2d), lowest DMC (23%) (Figure 2e), lowest average stem pull force values (903 g and 850 g) (Figure 1c). Full ANOVA results contrasting fruit quality characteristics between training systems are illustrated in Appendix A (Table A1, Table A2, Table A3, Table A4, Table A5 and Table A6). Canopy light interception measurements for these training systems were also low (54% and 52%) in contrast to the other training systems measured (Table 3). However, fruit diameter was only significantly lower in UFO in the first season (2019–2020) (Figure 2a) which had higher light interception measurements (66%). This contrasts with SL and UFO which had the highest light interception for the first season (2019–2020), lowest crop loads (13.7 and 19 fruit cm−2 LCSA), yet higher fruit TSS (20% and 18.5%) and DMC (26%).
Larger (Figure 2a), firmer (Figure 2b), and darker coloured fruit (Figure 2f) were produced in the warmer first season (2019–2020) in contrast to the cooler second season (2020–2021). Stem pull forces (Figure 2c) and TSS (Figure 2d) were higher in the second season (2020–2021) for the majority of training systems. Average UFO fruit diameter over the two seasons was significantly different compared to the TSA and BB training systems (Figure A2), there was no difference for all other fruit quality characteristics over the two-year study (Figure A3, Figure A4, Figure A5 and Figure A6).
3.5. Season, System, and Light Interception Effects on Fruit Quality
Summary of the ANOVA results showed the seasonal effect consistently explained more variation in the fruit quality data than training system or light interception (Table 6 and Table 7). Variation was explained by season to the greatest extent for fruit colour (77%), compression firmness (71%) and DMC (58%). Although training system significantly (p < 0.01) accounted for variation in fruit stem pull force, TSS and colour, the greatest variation was accounted for fruit diameter (21%). Light interception explained variation in TSS (15%, p = 0.001), and DMC (10%, p ≤ 0.001) and stem pull force (7%, p = 0.02) across the two seasons (Table A7, Table A8, Table A9, Table A10, Table A11, Table A12, Table A13, Table A14, Table A15, Table A16, Table A17 and Table A18), (Table 6 and Table 7). The season–system interaction explained the variation in fruit quality characteristics to a greater extent than season-light interception as highlighted by the significant p-values for all but one of the fruit quality characteristics. All fruit quality characteristics, except for diameter, were significantly affected by the season–system interaction. In contrast only firmness and stem pull force were significantly impacted by the season-light interception interaction. Cumulative r2 values are presented to illustrate the significance of each individual variable (i.e., season, system or season–system interaction).
Table 6.
Two-way ANOVA results for either training system (Panel A) or light interception (Panel B), and their interaction with season, on fruit quality characteristics of sweet cherry cultivar ‘Kordia’. The cumulative r2 (proportion of variation explained) accumulates from the season effect alone. The p-values are from standard ANOVA F-tests. The cumulative r2 of the interaction column is the equivalent to the overall model’s r2. Refer to the Appendix A for the full ANOVA tables (Table A6, Table A7, Table A8, Table A9, Table A10, Table A11, Table A12, Table A13, Table A14, Table A15, Table A16 and Table A17).
Table 7.
Overall increase in r2 (proportion of variation explained) due to system and light interception variables, in respective two-way ANOVA models (season is the other variable in each model). The values shown are the effects of both the corresponding variable and its interaction with season, over and above the r2 due to season alone. For example, the r2 increase for the system of 0.22 shown in the first row of the table can be obtained from the values in Panel A of Table 6 corresponding to the “cumulative r2” value in the interaction column minus the “r2” of the season effect alone (0.57 − 0.35 = 0.22).
A significant positive correlation between fruit DMC and light interception was found in the first season (2019–2020) (r2 = 0.96; p < 0.01, Figure 3); TSS showed a similar correlation with light interception however was not significant (y = 13.068x + 10.614, r2 = 0.62, p-value = 0.12). Similar trends were found in the second season (2020–2021), although they were not significant. Negative correlations were found between fruit TSS and crop loads with r2 = 0.92 (p-value <0.01) in the first season and 0.42 (p-value = 0.35) in the second season when the UFO crop load data was removed due to disproportionate leverage (Figure 4). DMC was lowest in the second season for SL (18%) (Figure 2e), these results correlated with SL having the second highest crop load of 19.6 fruit cm−2 TCSA and subsequently highest yield (20.5 t ha−1) (Figure 5). Strong positive correlations were found in both the first and second seasons between TSS and DMC with r2 values of 0.68 and 0.83, respectively (Figure 6).
Figure 3.
The correlation between DMC of sweet cherry cultivar ‘Kordia’ and light interception across different training systems and seasons. Error bars represent one standard error for each training system and n = 6 for each system in a season.
Figure 4.
Correlation between crop load and fruit TSS of sweet cherry cultivar ‘Kordia’ across different training systems and seasons. Error bars represent one standard error for each training system and n = 6 for each system in a season.
Figure 5.
Correlation between crop load and fruit DMC of sweet cherry cultivar ‘Kordia’ across different training systems and seasons. Error bars represent one standard error for each training system and n = 6 for each system in a season.
Figure 6.
Association between fruit TSS and DMC of sweet cherry cultivar ‘Kordia’ across different training systems and seasons. Error bars represent one standard error for each training system and n = 6 for each system in a season.
4. Discussion
Variation in the number of uprights/leaders per hectare between the various training systems (Table 1) resulted in diverse light interception and PAI measurements across the two seasons in this study. Whilst the importance of number of uprights has been emphasised [30], the dual leader BB training system achieved the highest light interception with only 3440 leaders per hectare in contrast to 13,600 fruiting branches per hectare for UFO —suggesting that lateral wood, rather than upright limbs, was responsible for a large proportion of the light interception. This highlights that light interception of lateral bearing cultivars such as ‘Kordia’ is optimised in training systems such as BB that enable sufficient space for lateral growth whilst maintaining high planting densities. Further, high light interception for UFO and SL during the first (2019–2020) season (66%) in contrast to other training systems potentially improved floral bud development on two-year-old laterals in these training systems. This may explain the substantial increase in crop load and yield in second (2020–2021) season for these training systems. However higher yields were at the cost of fruit size, TSS and DMC, particularly for SL. Finally, the strong correlation between TSS and DMC in this study suggests that DMC could also be used as an attribute of quality for sweet cherry, as it contributes to consumer satisfaction for example in mango [31].
4.1. Light Interception and Yield
The increase in light interception and PAI from the first season to the second is likely a result of increased lateral wood within canopies given that trees were coming into their fifth leaf and still filling their canopies during this time. High light interception measurements for BB in season two (79%) (Table 3) without noticeable reduction in yields and fruit quality are in contradiction to the findings of Anthony, et al. [32], who suggested optimal fruit and yield production occurs at light interceptions of 66–68% in apples trained as a Spindle or perpendicular V training system with row spacings of 3 m. We suggest that this is due to the effective penetration of light into the BB trained trees of this study. Further to this conclusion, a recent study by Tustin [30] of an ultra-dense apple growing system of 1.5 to 2 m between row spacing and 3 m within-row spacing of a 2D ‘candelabra’ tree structure with approximately ten vertical fruiting branches per tree or 22 220 and 16 670 uprights ha−1 developed a LAI of greater than three, light interceptions greater than 70% and yields of 236 t ha−1 and 175 t ha−1, respectively. Our PAI measurements of 3.0 and 3.5 for UFO and BB in the second year support the observation that the 2D fruiting walls of these training systems filled the horizontal space between adjacent trees/leaders with laterals (that ‘Kordia’ tend to flower and fruit on) more uniformly in comparison to the other training systems. This emphasises the importance of the horizontal component of the canopy, relative to the vertical components of tree size, on light interception [33]. This is driven not only by the number of leaders/uprights filling the vertical space per hectare, (UFO had approximately 13,600 uprights and BB 3400 leaders) but adequate space between these uprights to support lateral fruiting wood of the cultivar ‘Kordia’ used in our study. This resulted in similar or higher light interceptions in UFO and BB compared to that of SSA with fewer trees. These results suggest that high PAI in BB, with approximately 3440 leaders per hectare, are not indicative of excessive shading that may limit yield. Increased light interception for all training systems in the second season in contrast to the first did not result in an increase in yields for all training systems. A moderate increase in light interception that occurred for SL and UFO in the second season (+5%) was associated with a large yield increase from the previous season (+144% and +137%, respectively—associated with flower load, as discussed in the next section). This was in contrast to the large increase in light interception in the second season for the BB (+18%) that was associated with a slight reduction in yield. This highlights that additional (to light interception and PAI) key factors influenced yield in this study, and we believe that these include pruning for tree structure, fruit set and crop loads.
Lower yields in the first season for UFO and SL may have been a result of the intensive pruning required early in the development of these training systems. Tree training in these systems was completed at the beginning of fifth leaf (2020–2021 season, Orchard manager personal communication) with a greater proportion of second year wood enabling more resources to go to fruit production rather than vegetative growth as observed in the first season. This contrasts with SSA, TSA and BB training systems that required less intensive pruning early in tree development. This resulted in the faster development of fruiting branches in contrast to the UFO and SL training systems, relatively early canopy maturity and higher yields.
4.2. Flower Load and Fruit Set
Although fruit sets were similar across the two seasons for UFO (17 and 18%), a 230% increase in flower load in the second season resulted in a large crop load of 44.6 fruit cm−2 LCSA. Similarly, a high crop load for SL in the second season can be explained by the 175% increase in flower load with a similar fruit set percentage to the first season. The increased flower and subsequent crop load may be a result of improved floral bud formation at the end of the first season due to high levels of light interception across the whole 2D planar training system in contrast to SSA and TSA which had poorer light interception measurements in the first season, resulting in a reduction in flower loads in the second season, as well as the development of more two-year-old lateral wood in the canopy.
The general occurrence of lower fruit set across most training systems in the second season relative to the first may be the result of a combination of lower average daily temperature and solar radiation levels and a significant increase in rainfall increasing humidity levels during flowering, as European honeybees do not leave the hive during humid conditions (R. Warren personal communication).
4.3. Crop Load and Fruit Quality
The influence of climate on photosynthate availability, fruit development and final quality is clearly demonstrated in this study. Despite larger crop loads in the first season, fruit quality on SSA, TSA and BB was better than in the second season, reflecting the influence of the higher temperatures and solar radiation levels supporting greater levels of photosynthates for fruit development. However, higher crop loads were associated with relatively low TSS and DMC in fruit of both UFO and SL in the second season, consistent with greater competition for photoassimilates among developing fruit [34,35]. Bound, et al. [14] preferred sweet cherry fruit quality attributes at crop loads of approximately 10 fruit cm−2 LCSA for ‘Sweetheart’ and ‘Van’ cultivars on F-12/1 trained as a Kym-Green-Bush. Neilsen, et al. [36] determined that ‘Lapins’ on Gisela 5 with approximately 45 fruit cm−2 TCSA were high crop loads that developed fruit weights of <10 g, whereas low crop loads of approximately 10 fruit cm−2 TCSA developed average fruit weights >14 g. Taking these findings into account, crop load in the second season of the current study would be considered mid to high for UFO and SL. Measham, et al. [37] reported that crop load in Southern Tasmania rarely exceeded 15 fruit cm−2 TCSA, but these trees were grafted to Colt which is less precocious than K5. In both the UFO and SL training systems lower crop loads in the first season produced heavier fruit with increased firmness and DMC. These results confirm that regardless of the relatively favourable growing conditions in the first season, excessive crop loads lead to relatively (to appropriate crop loads) poorer fruit quality.
Overall, UFO had the highest average light interception (69%) across the two seasons, but lowest percentage of fruit greater than 26 mm (81.5%) with average fruit size measuring 27.4 mm (Figure A2). This is in contrast with the TSA training system which had the lowest average light interception (60%) yet produced the highest percentage of fruit greater than 26 mm (99%) with an average size of 29.1 mm, highlighting the importance of crop load thresholds above which fruit quality diminishes. In the relatively warm first season, TSS was lower at higher crop loads (r2 = 0.92) in contrast to no correlation (r2 = 0.08) in the second season. Similar negative correlations were found for DMC with increased crop loads, with an r2 = 0.67 in the first season in contrast to an r2 = 0.10 in the second season. Removal of UFO crop load data from the second season resulted in an r2 = 0.84. This highlights that the regulation of crop loads to obtain optimal fruit quality relies on the prior knowledge of crop load thresholds at which size diminishes for each cultivar/rootstock combination [14]. We suggest that, due to distinct light interception characteristics, these thresholds also depend on the training system adopted. The amount of fruiting wood and overall canopy shape that intercepts incoming light to support fruit development varies between the training systems and therefore requires an understanding of crop load/quality relationships between training system, cultivar, and rootstock combinations.
4.4. Light Interception and Fruit Quality
Independent of crop load, strong positive correlations were observed between light interception and TSS and fruit DMC in the first season, with training systems that intercepted less light (SSA 54% and TSA 52%) producing fruit low in TSS (17.2% and 17%) and DMC (both 23%). Improved canopy light interception that drives an increase in fruit TSS was reported by Stefanelli, et al. [38] in peach on Tatura trellis relative to the vertical axis training system. These results are consistent with the findings of Grafe, et al. [39] and Pedisić, et al. [40] in sour cherry and Whiley, et al. [41] in mango. Low DMC in fruit can cause customer dissatisfaction [42] and reduce rates of repurchase [43]. Therefore, given the correlation found between TSS and DMC in this study, we suggest that consumer preference for high TSS cherries [44] may be contributed to by DMC. The results in Table 7 suggest, but do not prove, that training systems have significantly more influence on fruit quality than can be summarised by the respective system effects on light interception. We note here that we cannot disentangle the effects of system from light interception with linear regression models; a particular problem is that light interception measurements are made on an overall “per system” basis in each season (hence we had to rely on comparing r2 from different models). In further research, it would make sense to try and measure light interception at different height-levels and possibly not aggregate measurements to a single “system” value.
5. Conclusions
This study highlights the relationships between training systems, light interception, yield and fruit quality of the lateral-bearing ‘Kordia’ cultivar grafted to the dwarfing K5 rootstock early in orchard development. As orchard growing systems evolve towards high-density planar training systems with reduced row spacings, tree structures that optimise light interception will be crucial in achieving high yields of premium quality fruit. Results from this study indicate that when trees were at fourth and fifth leaf, the BB, TSA and SL training systems provided sufficient space between uprights that allowed for the growth of lateral fruiting wood suited to the lateral-bearing ‘Kordia’. While the ideal crop load for ‘Kordia’ grafted on K5 is yet to be determined, our results show that it varies with training system, as lateral wood production may be limited depending on stage of development and final tree structure. We conclude from this study that, based on the loss of fruit quality, ideal crop load will be less than 44 fruit cm−2 LCSA in the UFO system and less than 19.5 fruit cm−2 LCSA in the SL system in trees of approximately five years of age. However, trade-offs may be required to obtain optimal financial return, i.e., higher yields with lower fruit quality in contrast to reduced yields with improved fruit quality [19]. Seasonal variation had an over-riding effect in the second season with relatively cool temperatures, high rainfall and reduced solar radiation during flowering and fruit development negatively impacting fruit yield and quality. However, within a season, variation in light interception associated with the training systems and crop load related to yield and attributes of cherry quality (size, firmness, TSS, DMC and colour). It is acknowledged that longer-term research is required to gain a greater understanding of the benefits and draw backs of lateral bearing cultivars trained to various training systems. Nevertheless, this study has highlighted novel and interesting findings for training systems in the early stages of their development applied to lateral bearing ‘Kordia’ regarding light interception, fruit quality and yields.
Author Contributions
Study conception and methodology were contributed to by D.C.C., C.H.S. and S.A.B. Material preparation and field data collection was performed by C.H.S. Formal analysis was conducted by I.H. and interpretation of the analysis was undertaken by C.H.S., D.C.C. and S.A.B. The original draft of the manuscript was written by C.H.S. with data interpretation, writing, review and editing by D.C.C. and S.A.B. All authors have read and agreed to the published version of the manuscript.
Funding
This research was funded by Horticulture Innovation, grant number LP15007, as part of the Hort Frontiers strategic partnership initiative, with co-investment from The University of Tasmania and contributions from the Australian Government. This project was also supported by Fruit Growers Tasmania, Australia.
Data Availability Statement
Data will be available in a publicly accessible repository with https://dx.doi.org/10.25959/crhp-br38. In the meantime, the data presented in this study are available on request from the corresponding author.
Acknowledgments
We thank Reid Fruits for their kind provision of the trial site, in particular Andrew Hall for his time and knowledge throughout the study. We are also indebted to Ryan Warren for his assistance with field data collection and fruit quality analysis.
Conflicts of Interest
The authors declare no conflict of interest.
Appendix A

Figure A1.
Illustrations of the UFO (a), BB (b), SSA (c), TSA (d) and SL (e) training systems. (Source: Created with BioRender.com).
Table A1, Table A2, Table A3, Table A4, Table A5 and Table A6 Illustrating fruit quality ANOVA tables for seasons 2019–2020 and 2020–2021.
Table A1.
Diameter.
Table A1.
Diameter.
| 2020 | |||||||||
|---|---|---|---|---|---|---|---|---|---|
| coefficients | sigma | tstat | p values | pval_bonferroni | df | ci95_low | ci95_high | p_val | |
| SSA—BIBAUM | −0.156 | 0.341 | −0.457 | 0.651 | 1.000 | 25 | −0.858 | 0.546 | 0.651 |
| STEEP LEADER—BIBAUM | −0.104 | 0.341 | −0.307 | 0.762 | 1.000 | 25 | −0.807 | 0.598 | 0.762 |
| TSA—BIBAUM | 0.058 | 0.341 | 0.171 | 0.866 | 1.000 | 25 | −0.644 | 0.760 | 0.866 |
| UFO—BIBAUM | −1.374 | 0.341 | −4.032 | 0.000 | 0.005 | 25 | −2.077 | −0.672 | 0.000 |
| STEEP LEADER—SSA | 0.051 | 0.341 | 0.151 | 0.881 | 1.000 | 25 | −0.651 | 0.753 | 0.881 |
| TSA—SSA | 0.214 | 0.341 | 0.628 | 0.535 | 1.000 | 25 | −0.488 | 0.916 | 0.535 |
| UFO—SSA | −1.219 | 0.341 | −3.575 | 0.001 | 0.015 | 25 | −1.921 | −0.516 | 0.001 |
| TSA—STEEP LEADER | 0.163 | 0.341 | 0.478 | 0.637 | 1.000 | 25 | −0.539 | 0.865 | 0.637 |
| UFO—STEEP LEADER | −1.270 | 0.341 | −3.725 | 0.001 | 0.010 | 25 | −1.972 | −0.568 | 0.001 |
| UFO—TSA | −1.433 | 0.341 | −4.203 | 0.000 | 0.003 | 25 | −2.135 | −0.731 | 0.000 |
| 2021 | |||||||||
| coefficients | sigma | tstat | p values | pval_bonferroni | df | ci95_low | ci95_high | p_val | |
| SSA—BIBAUM | −0.901 | 0.552 | −1.631 | 0.115 | 1.000 | 25 | −2.039 | 0.237 | 0.115 |
| STEEP LEADER—BIBAUM | −0.028 | 0.552 | −0.051 | 0.959 | 1.000 | 25 | −1.166 | 1.109 | 0.959 |
| TSA –BIBAUM | 0.748 | 0.552 | 1.354 | 0.188 | 1.000 | 25 | −0.390 | 1.886 | 0.188 |
| UFO—BIBAUM | −1.230 | 0.552 | −2.226 | 0.035 | 0.352 | 25 | −2.368 | −0.092 | 0.035 |
| STEEP LEADER—SSA | 0.873 | 0.552 | 1.580 | 0.127 | 1.000 | 25 | −0.265 | 2.011 | 0.127 |
| TSA—SSA | 1.649 | 0.552 | 2.986 | 0.006 | 0.063 | 25 | 0.512 | 2.787 | 0.006 |
| UFO—SSA | −0.329 | 0.552 | −0.595 | 0.557 | 1.000 | 25 | −1.467 | 0.809 | 0.557 |
| TSA—STEEP LEADER | 0.777 | 0.552 | 1.406 | 0.172 | 1.000 | 25 | −0.361 | 1.914 | 0.172 |
| UFO—STEEP LEADER | −1.202 | 0.552 | −2.175 | 0.039 | 0.393 | 25 | −2.339 | −0.064 | 0.039 |
| UFO—TSA | −1.978 | 0.552 | −3.581 | 0.001 | 0.014 | 25 | −3.116 | −0.840 | 0.001 |
Table A2.
Compression firmness.
Table A2.
Compression firmness.
| 2020 | |||||||||
|---|---|---|---|---|---|---|---|---|---|
| coefficients | sigma | tstat | p values | pval_bonferroni | df | ci95_low | ci95_high | p_val | |
| SSA—BIBAUM | −11.166 | 10.016 | −1.115 | 0.276 | 1.000 | 25 | −31.794 | 9.462 | 0.276 |
| STEEP LEADER—BIBAUM | −26.085 | 10.016 | −2.604 | 0.015 | 0.153 | 25 | −46.712 | −5.457 | 0.015 |
| TSA—BIBAUM | −36.878 | 10.016 | −3.682 | 0.001 | 0.011 | 25 | −57.505 | −16.250 | 0.001 |
| UFO—BIBAUM | −7.170 | 10.016 | −0.716 | 0.481 | 1.000 | 25 | −27.798 | 13.458 | 0.481 |
| STEEP LEADER—SSA | −14.918 | 10.016 | −1.490 | 0.149 | 1.000 | 25 | −35.546 | 5.709 | 0.149 |
| TSA—SSA | −25.712 | 10.016 | −2.567 | 0.017 | 0.166 | 25 | −46.339 | −5.084 | 0.017 |
| UFO—SSA | 3.996 | 10.016 | 0.399 | 0.693 | 1.000 | 25 | -16.632 | 24.624 | 0.693 |
| TSA—STEEP LEADER | −10.793 | 10.016 | −1.078 | 0.291 | 1.000 | 25 | −31.421 | 9.835 | 0.291 |
| UFO—STEEP LEADER | 18.915 | 10.016 | 1.889 | 0.071 | 0.706 | 25 | −1.713 | 39.542 | 0.071 |
| UFO—TSA | 29.708 | 10.016 | 2.966 | 0.007 | 0.065 | 25 | 9.080 | 50.336 | 0.007 |
| 2021 | |||||||||
| coefficients | sigma | tstat | p values | pval_bonferroni | df | ci95_low | ci95_high | p_val | |
| SSA—BIBAUM | 33.227 | 11.180 | 2.972 | 0.006 | 0.065 | 25 | 10.201 | 56.252 | 0.006 |
| STEEP LEADER—BIBAUM | −0.101 | 11.180 | −0.009 | 0.993 | 1.000 | 25 | −23.126 | 22.925 | 0.993 |
| TSA—BIBAUM | 23.994 | 11.180 | 2.146 | 0.042 | 0.418 | 25 | 0.969 | 47.020 | 0.042 |
| UFO—BIBAUM | 13.606 | 11.180 | 1.217 | 0.235 | 1.000 | 25 | −9.420 | 36.631 | 0.235 |
| STEEP LEADER—SSA | −33.327 | 11.180 | −2.981 | 0.006 | 0.063 | 25 | −56.353 | −10.302 | 0.006 |
| TSA—SSA | −9.233 | 11.180 | −0.826 | 0.417 | 1.000 | 25 | −32.258 | 13.793 | 0.417 |
| UFO—SSA | −19.621 | 11.180 | −1.755 | 0.092 | 0.915 | 25 | −42.646 | 3.404 | 0.092 |
| TSA—STEEP LEADER | 24.095 | 11.180 | 2.155 | 0.041 | 0.410 | 25 | 1.069 | 47.120 | 0.041 |
| UFO—STEEP LEADER | 13.706 | 11.180 | 1.226 | 0.232 | 1.000 | 25 | −9.319 | 36.732 | 0.232 |
| UFO—TSA | −10.388 | 11.180 | −0.929 | 0.362 | 1.000 | 25 | −33.414 | 12.637 | 0.362 |
Table A3.
Stem pull force.
Table A3.
Stem pull force.
| 2020 | |||||||||
|---|---|---|---|---|---|---|---|---|---|
| coefficients | sigma | tstat | p values | pval_bonferroni | df | ci95_low | ci95_high | p_val | |
| SSA—BIBAUM | −189.471 | 42.766 | −4.430 | 0.000 | 0.002 | 25 | −277.550 | −101.392 | 0.000 |
| STEEP LEADER—BIBAUM | 90.018 | 42.766 | 2.105 | 0.046 | 0.455 | 25 | 1.939 | 178.097 | 0.046 |
| TSA—BIBAUM | −241.674 | 42.766 | −5.651 | 0.000 | 0.000 | 25 | −329.753 | −153.595 | 0.000 |
| UFO—BIBAUM | −117.384 | 42.766 | −2.745 | 0.011 | 0.110 | 25 | −205.463 | −29.305 | 0.011 |
| STEEP LEADER—SSA | 279.489 | 42.766 | 6.535 | 0.000 | 0.000 | 25 | 191.410 | 367.568 | 0.000 |
| TSA—SSA | −52.203 | 42.766 | −1.221 | 0.234 | 1.000 | 25 | −140.282 | 35.876 | 0.234 |
| UFO—SSA | 72.087 | 42.766 | 1.686 | 0.104 | 1.000 | 25 | −15.992 | 160.166 | 0.104 |
| TSA—STEEP LEADER | −331.692 | 42.766 | −7.756 | 0.000 | 0.000 | 25 | −419.771 | −243.613 | 0.000 |
| UFO—STEEP LEADER | −207.402 | 42.766 | −4.850 | 0.000 | 0.001 | 25 | −295.481 | −119.323 | 0.000 |
| UFO—TSA | 124.290 | 42.766 | 2.906 | 0.008 | 0.076 | 25 | 36.211 | 212.369 | 0.008 |
| 2021 | |||||||||
| coefficients | sigma | tstat | p values | pval_bonferroni | df | ci95_low | ci95_high | p_val | |
| SSA—BIBAUM | 31.605 | 47.337 | 0.668 | 0.510 | 1.000 | 25 | −65.888 | 129.098 | 0.510 |
| STEEP LEADER—BIBAUM | −68.950 | 47.337 | −1.457 | 0.158 | 1.000 | 25 | −166.443 | 28.543 | 0.158 |
| TSA—BIBAUM | 58.194 | 47.337 | 1.229 | 0.230 | 1.000 | 25 | −39.299 | 155.687 | 0.230 |
| UFO—BIBAUM | 61.478 | 47.337 | 1.299 | 0.206 | 1.000 | 25 | −36.015 | 158.971 | 0.206 |
| STEEP LEADER—SSA | −100.555 | 47.337 | −2.124 | 0.044 | 0.437 | 25 | −198.048 | −3.062 | 0.044 |
| TSA—SSA | 26.590 | 47.337 | 0.562 | 0.579 | 1.000 | 25 | −70.903 | 124.083 | 0.579 |
| UFO—SSA | 29.873 | 47.337 | 0.631 | 0.534 | 1.000 | 25 | −67.620 | 127.366 | 0.534 |
| TSA—STEEP LEADER | 127.144 | 47.337 | 2.686 | 0.013 | 0.127 | 25 | 29.651 | 224.637 | 0.013 |
| UFO—STEEP LEADER | 130.428 | 47.337 | 2.755 | 0.011 | 0.108 | 25 | 32.935 | 227.921 | 0.011 |
| UFO—TSA | 3.283 | 47.337 | 0.069 | 0.945 | 1.000 | 25 | −94.210 | 100.776 | 0.945 |
Table A4.
TSS.
Table A4.
TSS.
| 2020 | |||||||||
|---|---|---|---|---|---|---|---|---|---|
| coefficients | sigma | tstat | p values | pval_bonferroni | df | ci95_low | ci95_high | p_val | |
| SSA—BIBAUM | −1.217 | 0.672 | −1.810 | 0.082 | 0.823 | 25 | −2.601 | 0.168 | 0.082 |
| STEEP LEADER—BIBAUM | 1.533 | 0.672 | 2.281 | 0.031 | 0.313 | 25 | 0.149 | 2.918 | 0.031 |
| TSA—BIBAUM | −1.417 | 0.672 | −2.108 | 0.045 | 0.452 | 25 | −2.801 | −0.032 | 0.045 |
| UFO—BIBAUM | 0.117 | 0.672 | 0.174 | 0.864 | 1.000 | 25 | −1.268 | 1.501 | 0.864 |
| STEEP LEADER—SSA | 2.750 | 0.672 | 4.092 | 0.000 | 0.004 | 25 | 1.366 | 4.134 | 0.000 |
| TSA—SSA | −0.200 | 0.672 | −0.298 | 0.768 | 1.000 | 25 | −1.584 | 1.184 | 0.768 |
| UFO—SSA | 1.333 | 0.672 | 1.984 | 0.058 | 0.584 | 25 | −0.051 | 2.718 | 0.058 |
| TSA—STEEP LEADER | −2.950 | 0.672 | −4.389 | 0.000 | 0.002 | 25 | −4.334 | −1.566 | 0.000 |
| UFO—STEEP LEADER | −1.417 | 0.672 | −2.108 | 0.045 | 0.452 | 25 | −2.801 | −0.032 | 0.045 |
| UFO—TSA | 1.533 | 0.672 | 2.281 | 0.031 | 0.313 | 25 | 0.149 | 2.918 | 0.031 |
| 2021 | |||||||||
| coefficients | sigma | tstat | p values | pval_bonferroni | df | ci95_low | ci95_high | p_val | |
| SSA—BIBAUM | 0.513 | 0.760 | 0.676 | 0.505 | 1.000 | 25 | −1.051 | 2.078 | 0.505 |
| STEEP LEADER—BIBAUM | −2.505 | 0.760 | −3.298 | 0.003 | 0.029 | 25 | −4.069 | −0.941 | 0.003 |
| TSA—BIBAUM | −1.860 | 0.760 | −2.449 | 0.022 | 0.217 | 25 | −3.424 | −0.296 | 0.022 |
| UFO—BIBAUM | 0.107 | 0.760 | 0.140 | 0.889 | 1.000 | 25 | −1.458 | 1.671 | 0.889 |
| STEEP LEADER—SSA | −3.018 | 0.760 | −3.974 | 0.001 | 0.005 | 25 | −4.583 | −1.454 | 0.001 |
| TSA—SSA | −2.373 | 0.760 | −3.125 | 0.004 | 0.045 | 25 | −3.938 | −0.809 | 0.004 |
| UFO—SSA | −0.407 | 0.760 | −0.535 | 0.597 | 1.000 | 25 | −1.971 | 1.158 | 0.597 |
| TSA—STEEP LEADER | 0.645 | 0.760 | 0.849 | 0.404 | 1.000 | 25 | −0.919 | 2.209 | 0.404 |
| UFO—STEEP LEADER | 2.612 | 0.760 | 3.439 | 0.002 | 0.021 | 25 | 1.047 | 4.176 | 0.002 |
| UFO—TSA | 1.967 | 0.760 | 2.589 | 0.016 | 0.158 | 25 | 0.402 | 3.531 | 0.016 |
Table A5.
DMC.
Table A5.
DMC.
| 2020 | |||||||||
|---|---|---|---|---|---|---|---|---|---|
| coefficients | sigma | tstat | p values | pval_bonferroni | df | ci95_low | ci95_high | p_val | |
| SSA—BIBAUM | −0.003 | 0.007 | -0.383 | 0.705 | 1.000 | 25 | −0.018 | 0.012 | 0.705 |
| STEEP LEADER—BIBAUM | 0.030 | 0.007 | 3.976 | 0.001 | 0.005 | 25 | 0.014 | 0.045 | 0.001 |
| TSA—BIBAUM | 0.000 | 0.007 | 0.022 | 0.983 | 1.000 | 25 | −0.015 | 0.016 | 0.983 |
| UFO—BIBAUM | 0.025 | 0.007 | 3.342 | 0.003 | 0.026 | 25 | 0.010 | 0.040 | 0.003 |
| STEEP LEADER—SSA | 0.032 | 0.007 | 4.358 | 0.000 | 0.002 | 25 | 0.017 | 0.048 | 0.000 |
| TSA—SSA | 0.003 | 0.007 | 0.405 | 0.689 | 1.000 | 25 | −0.012 | 0.018 | 0.689 |
| UFO—SSA | 0.028 | 0.007 | 3.725 | 0.001 | 0.010 | 25 | 0.012 | 0.043 | 0.001 |
| TSA—STEEP LEADER | -0.029 | 0.007 | −3.954 | 0.001 | 0.006 | 25 | −0.045 | −0.014 | 0.001 |
| UFO—STEEP LEADER | −0.005 | 0.007 | −0.634 | 0.532 | 1.000 | 25 | −0.020 | 0.011 | 0.532 |
| UFO—TSA | 0.025 | 0.007 | 3.320 | 0.003 | 0.028 | 25 | 0.009 | 0.040 | 0.003 |
| 2021 | |||||||||
| coefficients | sigma | tstat | p values | pval_bonferroni | df | ci95_low | ci95_high | p_val | |
| SSA—BIBAUM | 0.003 | 0.008 | 0.393 | 0.698 | 1.000 | 25 | −0.013 | 0.020 | 0.698 |
| STEEP LEADER—BIBAUM | −0.030 | 0.008 | −3.734 | 0.001 | 0.010 | 25 | −0.047 | −0.013 | 0.001 |
| TSA—BIBAUM | −0.007 | 0.008 | −0.862 | 0.397 | 1.000 | 25 | −0.024 | 0.010 | 0.397 |
| UFO—BIBAUM | 0.002 | 0.008 | 0.291 | 0.774 | 1.000 | 25 | −0.014 | 0.019 | 0.774 |
| STEEP LEADER—SSA | −0.033 | 0.008 | −4.126 | 0.000 | 0.004 | 25 | −0.050 | −0.017 | 0.000 |
| TSA—SSA | −0.010 | 0.008 | −1.255 | 0.221 | 1.000 | 25 | −0.027 | 0.006 | 0.221 |
| UFO—SSA | −0.001 | 0.008 | −0.102 | 0.919 | 1.000 | 25 | −0.017 | 0.016 | 0.919 |
| TSA—STEEP LEADER | 0.023 | 0.008 | 2.871 | 0.008 | 0.082 | 25 | 0.007 | 0.040 | 0.008 |
| UFO—STEEP LEADER | 0.032 | 0.008 | 4.024 | 0.000 | 0.005 | 25 | 0.016 | 0.049 | 0.000 |
| UFO—TSA | 0.009 | 0.008 | 1.153 | 0.260 | 1.000 | 25 | −0.007 | 0.026 | 0.260 |
Table A6.
Colour (L).
Table A6.
Colour (L).
| 2020 | |||||||||
|---|---|---|---|---|---|---|---|---|---|
| coefficients | sigma | tstat | p values | pval_bonferroni | df | ci95_low | ci95_high | p_val | |
| SSA—BIBAUM | 1.610 | 0.225 | 7.155 | 0.000 | 0.000 | 25 | 1.147 | 2.074 | 0.000 |
| STEEP LEADER—BIBAUM | 1.556 | 0.225 | 6.912 | 0.000 | 0.000 | 25 | 1.092 | 2.019 | 0.000 |
| TSA—BIBAUM | 1.270 | 0.225 | 5.645 | 0.000 | 0.000 | 25 | 0.807 | 1.734 | 0.000 |
| UFO—BIBAUM | 1.713 | 0.225 | 7.610 | 0.000 | 0.000 | 25 | 1.249 | 2.176 | 0.000 |
| STEEP LEADER—SSA | −0.055 | 0.225 | -0.243 | 0.810 | 1.000 | 25 | −0.518 | 0.409 | 0.810 |
| TSA—SSA | −0.340 | 0.225 | -1.510 | 0.143 | 1.000 | 25 | −0.803 | 0.124 | 0.143 |
| UFO—SSA | 0.102 | 0.225 | 0.455 | 0.653 | 1.000 | 25 | −0.361 | 0.566 | 0.653 |
| TSA—STEEP LEADER | −0.285 | 0.225 | −1.267 | 0.217 | 1.000 | 25 | −0.749 | 0.178 | 0.217 |
| UFO—STEEP LEADER | 0.157 | 0.225 | 0.698 | 0.492 | 1.000 | 25 | −0.306 | 0.621 | 0.492 |
| UFO—TSA | 0.442 | 0.225 | 1.965 | 0.061 | 0.606 | 25 | −0.021 | 0.906 | 0.061 |
| 2021 | |||||||||
| coefficients | sigma | tstat | p values | pval_bonferroni | df | ci95_low | ci95_high | p_val | |
| SSA—BIBAUM | −0.320 | 0.390 | −0.821 | 0.420 | 1.000 | 25 | −1.124 | 0.483 | 0.420 |
| STEEP LEADER—BIBAUM | 1.122 | 0.390 | 2.875 | 0.008 | 0.081 | 25 | 0.318 | 1.925 | 0.008 |
| TSA—BIBAUM | 0.125 | 0.390 | 0.320 | 0.752 | 1.000 | 25 | −0.679 | 0.928 | 0.752 |
| UFO—BIBAUM | −1.300 | 0.390 | −3.332 | 0.003 | 0.027 | 25 | −2.104 | −0.497 | 0.003 |
| STEEP LEADER—SSA | 1.442 | 0.390 | 3.696 | 0.001 | 0.011 | 25 | 0.638 | 2.246 | 0.001 |
| TSA—SSA | 0.445 | 0.390 | 1.140 | 0.265 | 1.000 | 25 | −0.359 | 1.249 | 0.265 |
| UFO—SSA | −0.980 | 0.390 | −2.512 | 0.019 | 0.188 | 25 | −1.784 | −0.176 | 0.019 |
| TSA—STEEP LEADER | −0.997 | 0.390 | −2.555 | 0.017 | 0.171 | 25 | −1.801 | −0.193 | 0.017 |
| UFO—STEEP LEADER | −2.422 | 0.390 | −6.207 | 0.000 | 0.000 | 25 | −3.226 | −1.618 | 0.000 |
| UFO—TSA | −1.425 | 0.390 | −3.652 | 0.001 | 0.012 | 25 | −2.229 | −0.621 | 0.001 |
Figure A2.
Mean fruit diameter weight of sweet cherry cultivar ‘Kordia’ in different training systems and seasons. Different letters above the means indicate significant difference (p ≤ 0.05) between training systems.
Figure A3.
Average fruit compression firmness of sweet cherry cultivar ‘Kordia’ in different training systems and seasons. Different letters above the means indicate significant difference (p ≤ 0.05) between training systems.
Figure A4.
Average fruit colour (L*) of sweet cherry cultivar ‘Kordia’ in different training systems and seasons. Different letters above the means indicate significant difference (p ≤ 0.05) between training systems.
Figure A5.
Average fruit TSS content of sweet cherry cultivar ‘Kordia’ in different training systems and seasons. Different letters above the means indicate significant difference (p ≤ 0.05) between training systems.
Figure A6.
Average fruit DMC of sweet cherry cultivar ‘Kordia’ in different training systems and seasons. Different letters above the means indicate significant difference (p ≤ 0.05) between training systems.
Table A7, Table A8, Table A9, Table A10, Table A11 and Table A12 Illustrating two-way ANOVA results for individual fruit quality characteristics of sweet cherry cultivar ‘Kordia’ across different training systems and seasons.
Table A7.
Diameter.
Table A7.
Diameter.
| Df | Sum Sq | Mean Sq | F Value | Pr(>F) | r2 | r2_adj | |
|---|---|---|---|---|---|---|---|
| Season | 1 | 31.7806 | 31.7806 | 50.27576 | 4.33 × 10−9 | 0.365741 | 0.354806 |
| System | 4 | 20.34899 | 5.087248 | 8.047843 | 4.33 × 10−5 | 0.599924 | 0.56288 |
| Season–System | 4 | 3.157827 | 0.789457 | 1.248892 | 0.302499 | 0.636265 | 0.570793 |
| Residuals | 50 | 31.60628 | 0.632126 | NA | NA | NA | NA |
Table A8.
Compression firmness.
Table A8.
Compression firmness.
| Df | Sum Sq | Mean Sq | F Value | Pr(>F) | r2 | r2_adj | |
|---|---|---|---|---|---|---|---|
| Season | 1 | 67920.55 | 67920.55 | 200.9739 | 3.80 × 10−19 | 0.712161 | 0.707198 |
| System | 4 | 4072.161 | 1018.04 | 3.012336 | 0.026505 | 0.754859 | 0.73216 |
| Season–System | 4 | 6481.892 | 1620.473 | 4.794908 | 0.002367 | 0.822822 | 0.790931 |
| Residuals | 50 | 16897.85 | 337.9571 | NA | NA | NA | NA |
Table A9.
Stem pull force.
Table A9.
Stem pull force.
| Df | Sum Sq | Mean Sq | F Value | Pr(>F) | r2 | r2_adj | |
|---|---|---|---|---|---|---|---|
| Season | 1 | 58088.67 | 58088.67 | 9.515441 | 0.003315 | 0.066194 | 0.050094 |
| System | 4 | 101559 | 25389.76 | 4.159069 | 0.005512 | 0.181924 | 0.106176 |
| Season–System | 4 | 412670.7 | 103167.7 | 16.89978 | 7.96 × 10−9 | 0.652176 | 0.589568 |
| Residuals | 50 | 305233.7 | 6104.674 | NA | NA | NA | NA |
Table A10.
Total soluble solid content.
Table A10.
Total soluble solid content.
| Df | Sum Sq | Mean Sq | F Value | Pr(>F) | r2 | r2_adj | |
|---|---|---|---|---|---|---|---|
| Season | 1 | 7.725682 | 7.725682 | 5.007575 | 0.029722 | 0.047676 | 0.031257 |
| System | 4 | 23.26143 | 5.815357 | 3.769355 | 0.009343 | 0.191226 | 0.11634 |
| Season–System | 4 | 53.91696 | 13.47924 | 8.736874 | 1.99 × 10−5 | 0.523957 | 0.438269 |
| Residuals | 50 | 77.13995 | 1.542799 | NA | NA | NA | NA |
Table A11.
Dry matter content.
Table A11.
Dry matter content.
| Df | Sum Sq | Mean Sq | F Value | Pr(>F) | r2 | r2_adj | |
|---|---|---|---|---|---|---|---|
| Season | 1 | 0.02718 | 0.02718 | 150.3846 | 1.09 × 10−16 | 0.58265 | 0.575455 |
| System | 4 | 0.002118 | 0.00053 | 2.929963 | 0.029722 | 0.628058 | 0.593619 |
| Season–System | 4 | 0.008314 | 0.002078 | 11.49998 | 1.07 × 10−6 | 0.80628 | 0.77141 |
| Residuals | 50 | 0.009037 | 0.000181 | NA | NA | NA | NA |
Table A12.
Colour (L).
Table A12.
Colour (L).
| Df | Sum Sq | Mean Sq | F Value | Pr(>F) | r2 | r2_adj | |
|---|---|---|---|---|---|---|---|
| Season | 1 | 152.0657 | 152.0657 | 499.6523 | 1.10 × 10−27 | 0.769929 | 0.765962 |
| System | 4 | 12.83645 | 3.209113 | 10.54439 | 2.84 × 10−6 | 0.834922 | 0.819637 |
| Season–System | 4 | 17.38681 | 4.346703 | 14.28225 | 7.64 × 10−8 | 0.922954 | 0.909085 |
| Residuals | 50 | 15.21715 | 0.304343 | NA | NA | NA | NA |
Table A13, Table A14, Table A15, Table A16, Table A17 and Table A18 Illustrating two-way ANOVA results for individual fruit quality characteristics of sweet cherry cultivar ‘Kordia’ across different training systems and light interceptions.
Table A13.
Diameter.
Table A13.
Diameter.
| Df | Sum Sq | Mean Sq | F Value | Pr(>F) | r2 | r2_adj | |
|---|---|---|---|---|---|---|---|
| Season | 1 | 31.7806 | 31.7806 | 34.62063 | 2.35 × 10−7 | 0.365741 | 0.354806 |
| Light Interception | 1 | 2.857416 | 2.857416 | 3.112765 | 0.083135 | 0.398625 | 0.377524 |
| Season:Light Interception | 1 | 0.849532 | 0.849532 | 0.92545 | 0.340184 | 0.408402 | 0.376709 |
| Residuals | 56 | 51.40615 | 0.917967 | NA | NA | NA | NA |
Table A14.
Compression firmness.
Table A14.
Compression firmness.
| Df | Sum Sq | Mean Sq | F Value | Pr(>F) | r2 | r2_adj | |
|---|---|---|---|---|---|---|---|
| Season | 1 | 67920.55 | 67920.55 | 150.7794 | 1.61 × 10−17 | 0.712161 | 0.707198 |
| Light Interception | 1 | 461.7478 | 461.7478 | 1.025051 | 0.315678 | 0.717003 | 0.707073 |
| Season:Light Interception | 1 | 1764.224 | 1764.224 | 3.916468 | 0.05274 | 0.735501 | 0.721331 |
| Residuals | 56 | 25225.93 | 450.4631 | NA | NA | NA | NA |
Table A15.
Stem pull force.
Table A15.
Stem pull force.
| Df | Sum Sq | Mean Sq | F Value | Pr(>F) | r2 | r2_adj | |
|---|---|---|---|---|---|---|---|
| Season | 1 | 58088.67 | 58088.67 | 4.739473 | 0.033709 | 0.066194 | 0.050094 |
| Light Interception | 1 | 71216.67 | 71216.67 | 5.810591 | 0.019238 | 0.147348 | 0.11743 |
| Season:Light Interception | 1 | 61890.89 | 61890.89 | 5.049698 | 0.028589 | 0.217875 | 0.175975 |
| Residuals | 56 | 686355.8 | 12256.35 | NA | NA | NA | NA |
Table A16.
Total soluble solid content.
Table A16.
Total soluble solid content.
| Df | Sum Sq | Mean Sq | F Value | Pr(>F) | r2 | r2_adj | |
|---|---|---|---|---|---|---|---|
| Season | 1 | 7.725682 | 7.725682 | 3.384622 | 0.07111 | 0.047676 | 0.031257 |
| Light Interception | 1 | 26.40458 | 26.40458 | 11.56785 | 0.001244 | 0.210623 | 0.182926 |
| Season:Light Interception | 1 | 0.089104 | 0.089104 | 0.039037 | 0.844092 | 0.211173 | 0.168915 |
| Residuals | 56 | 127.8247 | 2.282583 | NA | NA | NA | NA |
Table A17.
Dry matter content.
Table A17.
Dry matter content.
| Df | Sum Sq | Mean Sq | F Value | Pr(>F) | r2 | r2_adj | |
|---|---|---|---|---|---|---|---|
| Season | 1 | 0.02718 | 0.02718 | 110.7612 | 6.94 × 10−15 | 0.58265 | 0.575455 |
| Light Interception | 1 | 0.004995 | 0.004995 | 20.35446 | 3.34 × 10−5 | 0.689723 | 0.678837 |
| Season:Light Interception | 1 | 0.000732 | 0.000732 | 2.98324 | 0.089643 | 0.705417 | 0.689635 |
| Residuals | 56 | 0.013742 | 0.000245 | NA | NA | NA | NA |
Table A18.
Colour (L).
Table A18.
Colour (L).
| Df | Sum Sq | Mean Sq | F Value | Pr(>F) | r2 | r2_adj | |
|---|---|---|---|---|---|---|---|
| Season | 1 | 152.0657 | 152.0657 | 202.8267 | 2.90 × 10−20 | 0.769929 | 0.765962 |
| Light Interception | 1 | 2.68112 | 2.68112 | 3.576103 | 0.063794 | 0.783504 | 0.775908 |
| Season:Light Interception | 1 | 0.774289 | 0.774289 | 1.032755 | 0.313883 | 0.787424 | 0.776036 |
| Residuals | 56 | 41.98501 | 0.749732 | NA | NA | NA | NA |
References
- Zhang, J.; Zhang, Q.; Whiting, M.D. Mapping interception of photosynthetically active radiation in sweet cherry orchards. Comput. Electron. Agric. 2015, 111, 29–37. [Google Scholar] [CrossRef]
- Green, S.; McNaughton, K.; Wünsche, J.; Clothier, B. Modeling light interception and transpiration of apple tree canopies. Agron. J. 2003, 95, 1380–1387. [Google Scholar] [CrossRef]
- West, T.; Sullivan, R.; Seavert, C.; Long, L. Orchard Economics—The Costs and Returns of Establishing and Producing High-Density Sweet Cherries in Wasco County; Oregan State University: Corvallis, OR, USA, 2012. [Google Scholar]
- Lauri, P.E.; Claverie, J. Sweet cherry tree architecture, physiology and management-towards an integrated view. Acta Hortic. 2008, 795, 605–614. [Google Scholar] [CrossRef]
- Carrasco-Benavides, M.; Mora, M.; Maldonado, G.; Olguín-Cáceres, J.; von Bennewitz, E.; Ortega-Farías, S.; Gajardo, J.; Fuentes, S. Assessment of an automated digital method to estimate leaf area index (LAI) in cherry trees. N. Z. J. Crop Hortic. Sci. 2016, 44, 247–261. [Google Scholar] [CrossRef]
- Flore, J.A.; Layne, D.R. The influence of tree shape and spacing on light interception and yield in sour cherry (Prunus cerasus CV. Montmorency). Acta Hortic. 1990, 285, 91–96. [Google Scholar] [CrossRef]
- Robinson, T.L. Modifying apple tree canopies for improved production efficiency. HortScience 1991, 26, 1005–1012. [Google Scholar] [CrossRef] [Green Version]
- Zhang, J.; Ruilong, L.; Patrick, S.; Matthew, W.; Qin, Z. Canopy architecture affects light interception in sweet cherry. In 2012 Dallas, Texas, 29 July –1 August 2012; American Society of Agricultural and Biological Engineers: St. Joseph, MI, USA, 2012. [Google Scholar]
- Grappadelli, L.C.; Lakso, A.N. Is maximising orchard light interception always the best choice? Acta Hortic. 2007, 732, 507–518. [Google Scholar] [CrossRef]
- Palmer, J.W.; Jackson, J.E. Seasonal light interception and canopy development in hedgerow and bed system apple orchards. J. Appl. Ecol. 1977, 14, 539–549. [Google Scholar] [CrossRef]
- Green, K. High density cherry systems in Australia. Acta Hortic. 2005, 667, 319–324. [Google Scholar] [CrossRef]
- Lang, G. Critical concepts for sweet cherry training systems. Compact. Fruit Tree 2001, 34, 70–73. [Google Scholar]
- Bound, S.A.; Close, D.C.; Measham, P.F.; Whiting, M.D. Regulating crop load of ‘Sweetheart’ and ‘Van’ sweet cherry for optimal quality and reduced risk of cracking. Acta Hortic. 2017, 1161, 91–96. [Google Scholar] [CrossRef]
- Bound, S.A.; Close, D.C.; Quentin, A.G.; Measham, P.F.; Whiting, M.D. Crop load and time of thinning interact to affect fruit quality in sweet cherry. J. Agric. Sci. 2013, 5, 216–230. [Google Scholar] [CrossRef] [Green Version]
- Cittadini, E.; van Keulen, H.; de Ridder, N.; Vallés, N.; Rodríguez, M.; Peri, P. Effect of fruit-to-leaf area ratio on fruit quality and vegetative growth of ‘Bing’ sweet cherry trees at optimal leaf area index. Acta Hortic. 2008, 795, 677–680. [Google Scholar] [CrossRef] [Green Version]
- Musacchi, S. Bibaum®: A new training system for pear orchards. Acta Hortic. 2008, 800, 763–769. [Google Scholar] [CrossRef]
- Robinson, T.L.; Hoying, S.A.; Reginato, G.H. The tall spindle planting system: Principles and performance. Acta Hortic. 2011, 903, 571–579. [Google Scholar] [CrossRef]
- Day, K.R.; DeJong, T.M.; Johnson, R.S. Orchard-system configurations increase efficiency, improve profits in peaches and nectarines. Calif. Agric. 2005, 59, 75–79. [Google Scholar] [CrossRef] [Green Version]
- Whiting, M.D.; Lang, G.A.; Ophardt, D. Rootstock and training system affect sweet cherry growth, yield, and fruit quality. HortScience 2005, 40, 582–586. [Google Scholar] [CrossRef] [Green Version]
- Lang, G.A.; Wilkinson, T.; Larson, J.E. Insights for orchard design and management using intensive sweet cherry canopy architectures on dwarfing to semi-vigorous rootstocks. Acta Hortic. 2019, 1235, 161–168. [Google Scholar] [CrossRef]
- Ayala, M.; Lang, G. Morphology, cropping physiology and canopy training. In Cherries-Botany, Production and Uses; Quero-García, J., Lezzoni, A., Pulawska, J., Lang, G., Eds.; CAB International: Wallingford, UK, 2017. [Google Scholar]
- Lauri, P.E.; Claverie, J. Sweet cherry training to improve fruit size and quality—An overview of some recent concepts and practical aspects. Acta Hortic. 2005, 667, 361–366. [Google Scholar] [CrossRef]
- Close, D.; Bound, S.A. Advances in understanding apple tree growth: Rootstocks and planting systems. In Achieving Sustainable Cultivation of Apples; Evans, K., Ed.; Burleigh Dodds: Cambridge, UK; Washington State University: Pullman, WA, USA, 2017; pp. 35–49. [Google Scholar]
- Tustin, D.S.; van Hooijdonk, B.M. Can light interception of intensive apple and pear orchard systems be increased with new approaches to tree design? Acta Hortic. 2016, 1130, 139–144. [Google Scholar] [CrossRef]
- Lang, G.A. Underlying principles of high density sweet cherry production. Acta Hortic. 2005, 667, 325–335. [Google Scholar] [CrossRef]
- Ampatzidis, Y.G.; Whiting, M.D. Training systems affects sweet cherry harvest efficiency. HortScience 2013, 48, 547–555. [Google Scholar] [CrossRef]
- Long, L.E.; Lang, G.A.; Musacchi, S.; Whiting, M.D. Cherry Training Systems; Oregon State University: Corvallis, OR, USA; Washington State University: Pullman, WA, USA; University of Idaho, Pacific Northwest Extention: St. Joseph, MI, USA, 2015; pp. 1–63. [Google Scholar]
- Musacchi, S.; Gagliardi, F.; Serra, S. New training systems for high-density planting of sweet cherry. HortScience 2015, 50, 59–67. [Google Scholar] [CrossRef]
- Breda, N.J. Ground-based measurements of leaf area index: A review of methods, instruments and current controversies. J. Exp. Bot. 2003, 54, 2403–2417. [Google Scholar] [CrossRef] [PubMed]
- Tustin, D.S. Orchard Systems for the 21st Century: Perspectives considerations and critique. In Proceedings of the XII International Symposium of Integrating Canopy, Rootstock and Environmental Physiology in Orchard Systems, Wenatchee, WA, USA, 28 July 2021. [Google Scholar]
- Walsh, K.B. Setting and meeting objective standards for eating quality in fresh fruit. Acta Hortic. 2006, 712, 191–201. [Google Scholar] [CrossRef]
- Anthony, B.; Serra, S.; Musacchi, S. Optimization of light interception, leaf area and yield in “WA38”: Comparisons among training systems, rootstocks and pruning techniques. Agronomy 2020, 10, 689. [Google Scholar] [CrossRef]
- Rom, C.R. Light thresholds for apple tree canopy growth and development. HortScience 1991, 26, 989–992. [Google Scholar] [CrossRef] [Green Version]
- Whiting, M.D.; Lang, G.A. Effects of leaf area removal on sweet cherry vegetative growth and fruit quality. Acta Hortic. 2004, 636, 481–488. [Google Scholar] [CrossRef]
- Proebsting, E.L.; Mills, H.H. Effects of season and crop load on maturity characteristics of ‘Bing’ cherry. J. Am. Soc. Hortic. Sci. 1981, 106, 144–146. [Google Scholar]
- Neilsen, G.; Kappel, F.; Neilsen, D. Fertigation and crop load affect yield, nutrition, and fruit quality of ‘Lapins’ sweet cherry on Gisela 5 rootstock. HortScience 2007, 42, 1456–1462. [Google Scholar] [CrossRef] [Green Version]
- Measham, P.; Bound, S.A.; Gracie, A.J.; Wilson, S.J. Crop load manipulation and fruit cracking in sweet cherry (Prunus avium L.). Adv. Hortic. Sci. 2012, 26, 25–31. [Google Scholar] [CrossRef]
- Stefanelli, D.; Jaeger, J.; Haberfield, D.; O’Connell, M. The effects of training systems and crop load on stored starch in young stone fruit trees. Acta Hortic. 2018, 1228, 141–148. [Google Scholar] [CrossRef]
- Grafe, C.; Monika, H.; Schuster, M. Evaluation of dry matter in sour cherry (Prunus cerasus L.). Acta Hortic. 2009, 839, 281–286. [Google Scholar] [CrossRef]
- Pedisić, S.; Branka, L.; Dragović-Uzelac, V.; Kos, K. Physicochemical composition, phenolic content and antioxidant activity of sour cherry cv. Marasca during ripening. Agric. Conspec. Sci. ACS 2007, 72, 295–300. [Google Scholar]
- Whiley, A.W.; Hofman, P.J.; Christiansen, H.; Marques, R.; Stubbings, B.; Whiley, D.G. Development of Pre and Postharvest Protocols for Production of Calypso Mango; Horticultural Australia: Sydney, Australia, 2006. [Google Scholar]
- Palmer, J.W.; Harker, F.R.; Tustin, D.S.; Johnston, J. Fruit dry matter concentration: A new quality metric for apples. J. Sci. Food Agric. 2010, 90, 2586–2594. [Google Scholar] [CrossRef] [PubMed]
- Anderson, N.T.; Subedi, P.P.; Walsh, K.B. Manipulation of mango fruit dry matter content to improve eating quality. Sci. Hortic. 2017, 226, 316–321. [Google Scholar] [CrossRef]
- Silva, V.; Pereira, S.; Vilela, A.; Bacelar, E.; Guedes, F.; Ribeiro, C.; Silva, A.P.; Goncalves, B. Preliminary insights in sensory profile of sweet cherries. Foods 2021, 10, 612. [Google Scholar] [CrossRef] [PubMed]
Publisher’s Note: MDPI stays neutral with regard to jurisdictional claims in published maps and institutional affiliations. |
© 2022 by the authors. Licensee MDPI, Basel, Switzerland. This article is an open access article distributed under the terms and conditions of the Creative Commons Attribution (CC BY) license (https://creativecommons.org/licenses/by/4.0/).