Next Article in Journal
YOLO-Banana: A Lightweight Neural Network for Rapid Detection of Banana Bunches and Stalks in the Natural Environment
Next Article in Special Issue
Rapeseed Morpho-Physio-Biochemical Responses to Drought Stress Induced by PEG-6000
Previous Article in Journal
Control of Postharvest Gray Mold at Strawberry Fruits Caused by Botrytis cinerea and Improving Fruit Storability through Origanum onites L. and Ziziphora clinopodioides L. Volatile Essential Oils
Previous Article in Special Issue
Light Intensity: The Role Player in Cucumber Response to Cold Stress
 
 
Font Type:
Arial Georgia Verdana
Font Size:
Aa Aa Aa
Line Spacing:
Column Width:
Background:
Article

Photosynthesis Alterations in Wheat Plants Induced by Herbicide, Soil Drought or Flooding

by
Dessislava Todorova
1,
Vladimir Aleksandrov
1,
Svetoslav Anev
2 and
Iskren Sergiev
1,*
1
Institute of Plant Physiology and Genetics, Bulgarian Academy of Sciences, Acad. Georgi Bonchev Str., Bldg. 21, 1113 Sofia, Bulgaria
2
Department Dendrology, Faculty of Forestry, University of Forestry, 10 Sveti Kliment Ohridski Blvd, 1756 Sofia, Bulgaria
*
Author to whom correspondence should be addressed.
Agronomy 2022, 12(2), 390; https://doi.org/10.3390/agronomy12020390
Submission received: 13 January 2022 / Revised: 28 January 2022 / Accepted: 2 February 2022 / Published: 4 February 2022
(This article belongs to the Collection Crop Physiology and Stress)

Abstract

:
The wheat plants were pretreated with the selective herbicide Serrate® (Syngenta) and subsequently subjected to drought or flooding stress for 7 days. The gas exchange parameters, chlorophyll a fluorescence and leaf pigment content were measured. The measurements were performed during the stress period and after 4 days of plants recovery. Herbicide pretreatment did not cause significant alterations in photosynthesis and fluorescence parameters in alone- or combined-treated seedlings. A significant reduction in gas exchange parameters (net photosynthesis rate, stomatal conductance, transpiration rate, and water use efficiency), Fv/Fm and Fv/F0 values during drought or flooding was observed. The disruption of photosynthesis together with reduction in the pigment content was stronger in droughted than flooded plants. When the normal irrigation was restored, the gas exchange and fluorescence parameters tended to increase. The comparative analysis of recovery and resilience indices of photosynthetic traits indicate that the plants subjected to drought recovered better than those subjected to flooding stress.

1. Introduction

The extensive agriculture employs different strategies to satisfy the Earth’s population growing needs for food. One of these strategies is the chemical control of weeds, which compete the crops for nutrients. [1] Herbicides, by selectively killing weeds, ensure crop’s growth and yield. Serrate® is a selective herbicide for wheat, rye, and triticale. It is developed by Syngenta (Bazel, Switzerland) and consists of two active ingredients: clodinafop-propargyl (prop-2-ynyl(R)-2-(4-(5-chloro-3-fluoro-2-pyridyloxy) phenoxy) propionate)—inhibitor of acetyl co-enzyme A carboxylase, involved into the fatty acids biosynthesis; and pyroxsulam ((N-(5,7-dimethoxy (1,2,4)triazolo (1,5-a) pyrimidin-2-yl)-2-methoxy-4-(trifluoromethyl)pyridine-3-sulfonamide))—inhibitor of acetolactate synthase enzyme, involved into the biosynthesis of branched-chain amino acids [2].
During their lifespan, crops are exposed to a number of unfavorable environmental conditions of biotic and abiotic origin which cause considerable yield losses. Water deficit and water excess are abiotic stresses directly linked to global climate change. Both factors can disturb normal plant metabolism and disrupt key physiological processes such as photosynthesis [3,4]. Soil drought causes water deficit in plant tissues, leading to a significant decrease in the photosynthesis rate [5]. Under conditions of water deficit, the electron transport through PS II is inhibited [6]. Several in vivo studies demonstrated that drought stress caused damages to the oxygen-evolving complex of PSII [7], and to dissociation of the light-harvesting complexes from photosynthetic reaction centers of PSII [6]. The plants react to water deficit through a rapid stomata closure to avoid further water losses [3,4,8].
Unforeseen and sudden heavy rainfalls cause flooding, which is becoming an increasingly challenging environmental problem due to global climate change. Flooding is a complex abiotic stress, which is associated with low oxygen (hypoxic) or no oxygen (anoxic) root environment for the plant. Furthermore, it limits the nutrient uptake and decreases the rate of photosynthesis, resulting in total yield and biomass loss and even plant death [9]. It has been reported that flooding causes a significant decline in photosynthetic capacity, especially in water-logging-intolerant plants and some cereals such as Hordeum vulgare (L.) [4,10,11].
Regarding the usage of Serrate®, Syngenta clearly advised the herbicide to be applied on healthy plants only, i.e., on crops that are not preliminarily stressed, in our case drought or flooding. There is limited information on the physiological responses of plants pretreated with this herbicide and subsequently exposed to stress factors. Recently, we reported the alterations in biochemical traits of wheat plants to soil drought or flooding after the application of Serrate® [12,13]. Here, we complement the information about physiological responses of wheat to herbicide application and following exposure to drought and flooding stresses by assessment of some photosynthesis-related parameters such as the net photosynthesis rate, transpiration, chlorophyll fluorescence and leaf pigment content. We aimed to investigate (1) whether the herbicide could cause some changes in photosynthesis when applied alone or in combination with other abiotic factor such as water stress, and (2) whether wheat plants subjected to multifactorial treatments could recover important physiological processes after termination of the stress.

2. Materials and Methods

2.1. Plant Material and Growing Conditions and Treatments

Seeds of the Bulgarian variety cv. Sadovo-1 of winter wheat (Triticum aestivum L.) were purchased from the Institute of Plant Genetic Resources (Sadovo, Bulgaria). This is one of the most extensively grown wheat varieties in Bulgaria because of its high productivity and good tolerance to soil drought and low temperatures. Wheat plants were grown in plastic pots filled with leached meadow cinnamon soil (pH 6.2), delivered from the Institute’s experimental field near Sofia, and sand (3:1). The growth conditions were: 60% relative air humidity, 22/19 °C and 16/8 h day/night photoperiod (fluorescent lamps providing PAR of 200 μmol photon m−2 s−1). Seventeen-day old seedlings were sprayed with 1 mg mL−1 aqueous solution of the herbicide Serrate® according to the manufacturer’s instructions. Drought and flooding stresses were performed 72 h after the herbicide treatment and were implemented by withholding of water [12] or by transferring the pots into an external container filled with water whose level was 2 cm higher than the soil level [13]. The duration of the stress program was seven days, then the plants were transferred back to the normal irrigation conditions for recovery. The analyses were performed on the 4th and 7th day of stress, and after 4 days of recovery.

2.2. Leaf Pigment Content

Chlorophyll and carotenoids contents were measured according to Arnon [14]. Approximately 30 mg fresh leaf material was grinded in 5 mL 80% acetone. The samples were centrifuged for 5 min at 5000× g in Sigma 2–16 K refrigerated centrifuge (SciQuip, Wem, UK). The resulting supernatants were diluted to 5 mL with 80% acetone to compensate for evaporation. The absorbance was measured at 460, 645, and 663 nm using a Multiskan Spectrum spectrophotometer (Thermo Electron Corporation, Vantaa, Finland).

2.3. Leaf Gas Exchange Parameters

Two fully expanded upper leaves per plant were selected to carry out leaf gas exchange readings. The leaves were previously adapted to the surrounding environmental conditions and the leaf surface was not touched to avoid stomata closure before measurements. The net photosynthetic rate (An, µmol CO2 m−2 s−1), transpiration rate (E, mmol H2O m−2 s−1), and stomatal conductance (gs, mmol m−2 s−1) were measured using portable infrared gas analyzer system Li6400 (LI-COR Biosciences Inc., Lincoln, NE, USA) equipped with an artificial light sourced chamber (LI6400-02) and 10L buffer to neutralize CO2 and H2O fluctuations in the air entering the system. Before measurements, the system was calibrated according to a standard procedure recommended by the manufacturer [15]. Measurements were taken in the morning between 10:00 h and 12:00 h under controlled conditions: actinic PAR of 200 μmol photon m−2 s−1; air temperature of 25 °C; air flow rate of 200 µmol s−1; relative air humidity at 40 to 45%. The water use efficiency (WUE, µmol CO2 mmol−1 H2O) was calculated using the formula WUE = An/E.

2.4. Chlorophyll a Fluorescence Parameters

Chlorophyll a fluorescence in vivo measurements were performed using a Multi-Function Plant Efficiency Analyzer—Hendy PEA fluorimeter (Hansatech Instruments Ltd., Norfolk, UK). The apparatus consists of an array of 3 red LEDs, which are filtered to a peak wavelength of 650 nm. The LEDs are focused via lenses to provide uniform illumination on the leaf area exposed by the 4 mm diameter leaf clip. The experimental plants were dark adapted for 30 min before measurements of chlorophyll a fluorescence. After dark adaptation, 10 fully developed leaves were illuminated by red actinic light with wavelength of 650 nm and intensity of 3500 µmol m−2 s−1. When the illumination of the leaves was completed, the prompt chlorophyll a fluorescence was measured. The measured parameters were minimal fluorescence (F0), when all PSII reaction centres are open (at t = 0); maximal fluorescence (Fm), when all PSII RCs are closed, and maximal variable fluorescence (Fv) which were used for analysing the efficiency of primary photochemical reactions (Fv/F0—electron transport outside QA) and the maximal quantum yield of PSII (Fv/Fm). Characteristic points of the fluorescent signal were used to calculate specific parameters of light phase of photosynthesis according to the JIP model, described by Strasser et al. [16] and Kalaji et al. [17].

2.5. Assessment of Recovery and Resilience Indices of Photosynthesis Traits

To calculate the recovery and resilience indices, we used the equations by Qi et al. [4], which were adapted to our model system:
Recovery = (X4dR − X7dS)/X7dS × 100
Resilience = (X4dR − Xc)/Xc × 100
where X7dS and X4dR are functional parameter values (e.g., An) after 7 days of stress and on the 4th day of recovery, and Xc is functional parameter’s value of control plants on the 4th day of recovery.

2.6. Statistical Analysis

All experiments were carried out two times and included 10 replicates. One-way analysis of variance (ANOVA) with post hoc Duncan’s multiple range test at p < 0.05 was performed to estimate the significant differences between the treatments. The data are presented as mean value ± standard error (SE).

3. Results

3.1. Phenotypic Alterations

The changes of crop phenotypic traits induced by herbicide treatment, water withholding or excess, are presented in Figure 1. The herbicide applied alone did not provoke visible alterations in plants phenotype except of some yellowing of the older leaves. Drought caused typical phenotypic alterations in both drought and herbicide + drought-treated plants, and they depended on the drought duration. Obvious wilting was observed, especially at 7 days of stress. After restoring the normal irrigation regime, all drought-stressed variants restarted their growth. No apparent differences were detected between the normally irrigated and the flooded for 4 days plants. Later on, after 7 days of stress, leaf yellowing and wilting were observed when plants were subjected to flooding and herbicide + flooding. After 4 days of recovery, the negative consequences of flooding were stronger than drought. The phenotypic traits of flooded plants worsened, especially of those subjected to herbicide + flooding.

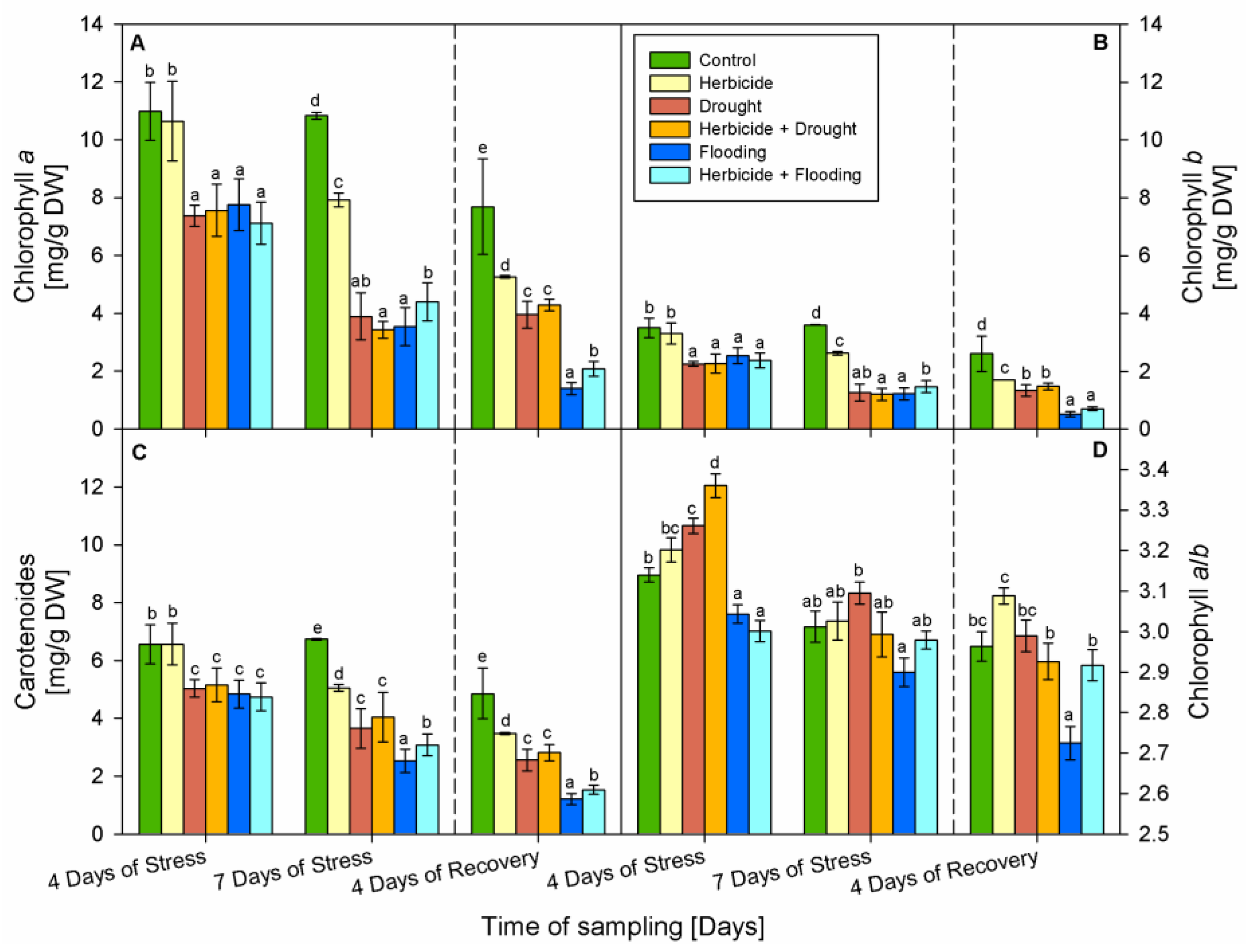
3.2. Leaf Pigments Content

The phenotypic alterations correlated well with the content of leaf pigments (Figure 2). Chlorophyll a (Figure 2A) was not altered significantly after herbicide treatment. It was considerably decreased by drought and flooding stresses either applied alone or in combination with Serrate® during 4 days of stress period.
Later, after 7 days of stress, the chlorophyll a continued to decline in all treatments, even in herbicide-only treated plants. After 4 days of recovery, a slight increase in chlorophyll a content was detected in drought-stressed plants while that in waterlogged ones continued to decrease. Similar trends during stress and recovery were detected in the content of chlorophyll b (Figure 1B) and carotenoides (Figure 1C). The chlorophyll a/b ratio increased after 4 days of drought stress, while it was decreased by flooding (Figure 1D). After 7 days of stress, the chlorophyll a/b ratio tended to maintain control value in drought-treated plants. In flooded seedlings, it continued to decline and remained significantly lower than the control after 4 days of recovery.

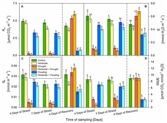
3.3. Gas Exchange Parameters

Both water stresses caused alterations in leaf gas exchange parameters (Figure 3). A substantial decline in the net photosynthesis rate An (Figure 3A) was established in drought-stressed plants, and in seedlings treated with herbicide + drought, the photosynthesis was almost fully inhibited. Flooding stress also provoked a reduction in photosynthesis, which was significant but less than that caused by drought. The combined treatment (herbicide + flooding) additionally decreased photosynthesis as compared to only flooded plants. A significant increase in the net photosynthesis rate was detected after 4 days of re-watering of drought-stressed plants, while An continued to decline in plants subjected to flooding.
Similar tendencies were observed in the transpiration rate E (Figure 3B), stomatal conductance gs (Figure 3C) and water use efficiency WUE (Figure 3D) during the stress and recovery periods. The decrease in gs and WUE after flooding stress was not significant as compared to the respective control levels during the stress period. Herbicide alone caused some reduction in An after 7 days of stress and of An and gs during the recovery period. The application of Serrate® did not provoke significant declines in transpiration rate and WUE as they remained near the control values at the three measurement points.

3.4. Chlorophyll Fluorescence Parameters

The alterations in chlorophyll fluorescence parameters are shown in Figure 4. It was observed that minimal fluorescence F0 (Figure 4A) and maximal fluorescence Fm (Figure 4B) were substantially decreased by drought stress, while these parameters were not influenced or decreased in a lesser degree by flooding stress. During the recovery period, these parameters tended to increase in plants subjected to drought stress, while F0 (Figure 4A) was additionally decreased, and Fm (Figure 4B) remained lower in flooded seedlings. Initially (4 days stress), Fv/F0 (Figure 4C) and Fv/Fm (Figure 4D) ratios were not significantly altered by all treatments; However, later, after 7 days of stress, a significant decrease caused by drought was found. Flooding stress also caused a slight decline in the Fv/F0 and Fv/Fm ratios, but it was insignificant. After restoring the normal irrigation, the Fv/F0 and Fv/Fm ratios were recovered to control levels and were even significantly higher in plants subjected to drought stress. Serrate® did not considerably influence the chlorophyll a fluorescence parameters either when applied alone or in combination with any of the stress factors.

3.5. Spider Plot Analyses of Fluorescence Parameters

For the purposes of the study, several biophysical parameters characterizing chlorophyll fluorescence were considered. These parameters provide important information about the photosynthetic apparatus of plants. JIP test parameters during the stress and recovery periods are presented as spider plot analyses in Figure 5, Figure 6 and Figure 7.
The most significant changes in fluorescence indices were observed in plants subjected to drought and herbicide + drought. Figure 5 shows that the parameters Vj and Vi were most significantly decreased during the first 4 days of the stress. Vj is a relative variable fluorescence after 2 s of luminescence emitting and provides information about the number of closed reaction centres (RCs) relative to the total number of RCs that could be closed. The values of maximum quantum yield (φPo or Fv/Fm) were lower in all variants as compared to control plants, where they had a maximum. The quantum yield of electron transport (at t = 0) (φEo) had the lowest values in drought and in herbicide + drought treated plants.
The plants treated with herbicide and herbicide + drought showed significant changes in fluorescence parameters after 7 days of stress (Figure 6). Plants subjected to drought and herbicide + drought had the lowest values of almost all parameters, except for F0/Fm, where the values were the highest. This parameter represents the quantum yield of energy dissipation, and this is the part of light energy harvested by plants photosynthetic apparatus, which is dissipated by heat.
Figure 7 shows that the fluorescence parameters tended to recover to their initial states in drought and herbicide + drought treated variants when the plants were transferred to a normal irrigation regime for recovery.

3.6. Assessment of the Recovery and Resilience Indices of Photosynthesis

The recovery index is presented by the ratio of values of functional parameters recorded during the stress period and those recorded during the recovery, while the resilience index is presented by the ratio of values of functional parameters recorded in control and treated plants during the recovery period.
It is evident that the drought and herbicide + drought stressed plants recovered to the highest degree (Table 1). The resilience index of most of the assessed functional parameters also had positive values. In the opposite, in plants subjected to flooding or herbicide + flooding stress, these indices had negative values, which supposed that these plants did not recover successfully after the stress and had deprived resilience. The recovery and resilience indices after herbicide treatment were altered insignificantly, but in combination with drought stress, it increased these parameters.

4. Discussion

Under changing environmental conditions, the disruption of water availability leading to water stress (either deficit or excess) becomes a significant problem, affecting plant growth and principal physiological and metabolic plant reactions [8,11,18,19]. There is no information concerning the alterations of photosynthesis-related parameters after treatment with the selective two-component herbicide Serrate®. Few articles reported such analyses with pyroxsulam (in combination with florasulam) or clodinafop-propagyl applied separately on weeds [20]. Hassannejad and Porheidar Ghafarbi [21] measured the effects of clodinafop-propagyl on chlorophyll a fluorescence in maize, which is sensitive to this herbicide. Our study demonstrates for a first time how Serrate®-treated wheat plants respond to drought and flooding stress by measuring key photosynthetic functional characteristics.
We found that treatment with Serrate® alone did not cause severe alterations in the photosynthesis-related parameters (Figure 2, Figure 3, Figure 4, Figure 5, Figure 6 and Figure 7). This result was not unexpected because the mode of action of this herbicide is not primarily related to photosynthesis. However, it is of interest to study its effects in combination with other stress factors which directly disrupt photosynthesis, and to investigate if there will be some additive side effects. The application of Serrate® in combination with water stresses provoked insignificant changes in the photosynthesis related traits, as compared to those measured in plants subjected only to drought or flooding. Therefore, the observed alterations were mainly due to the abiotic stress. It could be generalized that the application of Serrate® prior to exposure of wheat plants to water withholding or excess did not cause additional changes in photosynthesis.
It is well known that water stresses (both deficit and excess) provoke disturbance of plant growth. We also documented the negative impact of these stresses on plants phenotypic traits which deepened during the stress span (Figure 1). The application of Serrate® prior to water stresses did not worsen the phenotypic traits of drought-treated seedlings, and they recovered successfully after re-watering. Plants subjected to flooding exhibited worsened phenotype and arrested growth even during the recovery period. The alterations in phenotype correlated with the changes in photosynthesis rate, leaf pigment content and chlorophyll a fluorescence.
The results showed that drought rendered a negative impact on photosynthetic functions—An, WUE, E, gs, and leaf pigment content (Figure 2 and Figure 3). Net photosynthesis (An) is the physiological parameter which is most affected by water deficit [4]. Photosynthetic deterioration during water scarcity is mainly caused by either stomatal (stomatal closure due to CO2 reduction) or non-stomatal (decrease in chlorophyll content, inhibition of Rubisco and Rubisco activase, and lower photochemical efficiency of PSII) limitations [5,22]. A decrease in net photosynthesis, stomatal conductance, and chlorophyll content was observed in maize plants under drought stress conditions. These alterations were reversed after re-watering [4]. It is evident from Figure 2 and Figure 3 that the impairment of photosynthetic process due to drought during the first 4 days of stress period was mainly attributed to stomatal limitation, i.e., a decline in stomatal conductance, which decreased the CO2 availability and in due course limited the net photosynthesis rate. These processes occurred in parallel with a decrease in the transpiration rate and WUE. However, after prolonged drought (7 days), the changes in photosynthetic activity could also be linked to a decrease in chlorophyll content. The limitation of photosynthesis by stomatal as well as non-stomatal mechanisms depends not only on the intensity and duration of drought but also on the susceptibility/tolerance of plant species, stage of development and age [23]. Later, after restoration of the normal irrigation, the recovery of gs along with An indicated that the increase in stomatal aperture fostered the availability of CO2 from the atmosphere, as reported earlier [8]. In addition, the increase in gs facilitated transpiration and WUE.
Water excess in soil, which sometimes leads to flooding, also provokes negative consequences of photosynthesis-related traits in flooded plants [4,24], especially if they are intolerant [10,11,17,25,26]. Our results are in accordance with the reported by Yordanova et al. [25] and Malik et al. [11], who found a substantial decrease in net photosynthesis and stomatal conductance of flooded barley seedlings (for 5 days) and wheat (for 14 days), respectively. A reduction in net photosynthesis during periods of waterlogging was linked to a decrease in chlorophyll content, stomatal conductance [11], or activity of photosynthetic enzymes [25]. We documented that flooding provoked less decrease in gas exchange parameters (Figure 3) as compared to drought during the stress period. However, the destructive processes deepened further during the recovery period as wheat is a waterlogging susceptible crop [11]. The biochemical (leaf pigments—Figure 2) and physiological (gas exchange parameters—Figure 3) traits continued to decrease after transferring the plants to normal irrigation.
The energy of photosynthetically active radiation is absorbed by photosynthetic pigments located in the antenna complexes of the thylakoid membranes [27], and then it is transferred as excitation energy to photosystem I (PSI) and photosystem II (PSII) reaction centers, where it is used to initiate photochemical reactions. A part of photochemical energy is dissipated as heat and chlorophyll a fluorescence. The chlorophyll a fluorescence is a rapid, non-invasive, and sensitive method to evaluate the efficiency of the photosynthetic apparatus, photosynthetic electron transport, related photosynthetic processes, and plant’s physiological state [28,29]. Principally, Fv/Fm (maximal quantum yield of PSII) and Fv/F0 (electron transport outside QA) ratios are considered as major indicators assessing damage to PSII due to diverse environmental stresses [30,31]. A key place of the inhibition of the photosynthetic electron transport is the donor part of PSII, and especially the QB site on D1 protein in the reaction center of PSII, which prevents QA from reducing QB [32]. Our data of chlorophyll a fluorescence (Figure 4, Figure 5 and Figure 6) are in line with the photosynthesis parameters (Figure 3) and indicated that during the stress period drought caused much more severe alterations in the physiological responses than the flooding stress. During the recovery period, the chlorophyll a fluorescence indices (Figure 7) tended to recover to controls state in drought stressed seedlings but not in those exposed to flood.
In relation to the second question of our study—whether plants subjected to multifactorial treatments can recover important physiological processes after the termination of stress—we estimated the recovery and resilience indices of photosynthesis traits (Table 1). Recovery and resilience are terms usually used in ecology to assess ecosystems functioning under disturbance of ecological conditions. Most studies have estimated the ecosystem stability and response to perturbation, such as drought [33]. Recovery is the ability of the plant community to compensate biomass losses or reproductive outputs due to the perturbation, while resilience is the ability of the plant community to return to its original state following perturbation [34]. Recently, Qi et al. [4] introduced recovery and resilience in use for the assessment of photosynthesis traits of maize crop subjected to drought stress and re-watering. We used recovery and resilience indices to assess the ability of wheat plants to recover after drought and flooding stress. In the current study, full and over-compensatory upturn of photosynthetic traits An, gs, E, and WUE was observed in terms of both recovery and resilience indices of drought and herbicide + drought treated plants. These data correspond to the results of Pinheriro et al. [35], who found that upon re-watering, the rapid growth of new tissues and organs might accelerate plant growth of Lupinus albus and potentially enhance CO2 assimilation. Contrastively, an under-compensatory recovery (i.e., a negative percentage of the recovery and resilience) of photosynthetic traits An, gs, E, and WUE was observed in flooded and herbicide + flooding treated plants. Positive values of the resilience index of drought and herbicide + drought treated plants as compared to flooding treated plants implies a greater ability to recover, which is also evident from Figure 1. The values of the recovery index were higher in combined-treated wheat as compared to drought-only treated wheat. This fact allows us to suggest that the application of Serrate® did not worsen photosynthesis-related parameters of drought-treated wheat, and they recovered successfully after re-watering.

5. Conclusions

Our study demonstrates for the first time that the herbicide Serrate® caused insignificant changes in photosynthesis-related parameters of wheat plants when applied alone or in combination with drought or flooding. The reported considerable alterations in photosynthetic traits could be attributed to the negative consequences of the abiotic stress and depend on the particular tolerance/susceptibility of wheat to drought or flooding. Drought and flooding hampered growth and decreased the photosynthetic capacity of plants to a different extent during the course of stress. The alterations in leaf gas exchange parameters correlated with the changes in chlorophyll a fluorescence indices with the most significant variations after 7 days of stress. During the recovery, the photosynthetic functions of droughted plants almost completely recovered, while in flooded plants, the impaired photosynthesis continued to worsen, which is evidenced also by the recovery and resilience indices.

Author Contributions

I.S. and D.T. conceptualized and coordinated the research; D.T. grew and treated the plants; S.A., V.A., D.T. and I.S. performed the analyses, collected and interpreted the data; I.S. and V.A. prepared figures and photos; D.T. prepared original draft of manuscript; I.S. and D.T. reviewed and edited the manuscript; D.T., project administration and funding acquisition. All authors have read and agreed to the published version of the manuscript.

Funding

This work is supported by the Bulgarian National Scientific Fund (BNSF), Republic of Bulgaria (Grant KP-06-N36/3-30.09.2020).

Institutional Review Board Statement

Not applicable.

Informed Consent Statement

Not applicable.

Data Availability Statement

Not applicable.

Conflicts of Interest

The authors declare no conflict of interest.

References

  1. Nakka, S.; Jugulam, M.; Peterson, D.; Asif, M. Herbicide resistance: Development of wheat production systems and current status of resistant weeds in wheat cropping systems. Crop J. 2019, 7, 750–760. [Google Scholar] [CrossRef]
  2. Available online: https://sitem.herts.ac.uk/aeru/ppdb/en/atoz.htm (accessed on 12 January 2022).
  3. Mutava, R.N.; Prince, S.J.K.; Syed, N.H.; Song, L.; Valliyodan, B.; Chen, W.; Nguyen, H.T. Understanding abiotic stress tolerance mechanisms in soybean: A comparative evaluation of soybean response to drought and flooding stress. Plant Physiol. Biochem. 2015, 86, 109–120. [Google Scholar] [CrossRef]
  4. Qi, M.; Liu, X.; Li, Y.; Song, H.; Yin, Z.; Zhang, F.; He, Q.; Xu, Z.; Zhou, G. Photosynthetic resistance and resilience under drought, fooding and rewatering in maize plants. Photosynth. Res. 2021, 148, 1–15. [Google Scholar] [CrossRef] [PubMed]
  5. Xu, Z.; Zhou, G.; Shimizu, H. Plant responses to drought and rewatering. Plant Signal. Behav. 2010, 5, 649–654. [Google Scholar] [CrossRef] [PubMed] [Green Version]
  6. Basu, S.; Ramegowda, V.; Kumar, A.; Pereira, A. Plant adaptation to drought stress. F1000Research 2016, 5, 1554. [Google Scholar] [CrossRef] [PubMed]
  7. Georgieva, K.; Maslenkova, L.; Peeva, V.; Markovska, Y.; Stefanov, D.; Tuba, Z. Comparative study on the changes in photosynthetic activityof the homoiochlorophyllous desiccation-tolerant Haberlea rhodopensis and desiccation-sensitive spinach leaves during desiccation and rehydration. Photosynth. Res. 2005, 85, 191–203. [Google Scholar] [CrossRef] [PubMed]
  8. Abid, M.; Ali, S.; Qi, L.K.; Zahoor, R.; Tian, Z.; Jiang, D.; Snider, J.L.; Dai, T. Physiological and biochemical changes during drought and recovery periods at tillering and jointing stages in wheat (Triticum aestivum L.). Sci. Rep. 2018, 8, 4615. [Google Scholar] [CrossRef] [PubMed]
  9. Pan, J.; Sharif, R.; Xu, X.; Chen, X. Mechanisms of waterlogging tolerance in plants: Research progress and prospects. Front. Plant Sci. 2021, 11, 627331. [Google Scholar] [CrossRef]
  10. Luan, H.; Shen, H.; Pan, Y.; Guo, B.; Lv, C.; Xu, R. Elucidating the hypoxic stress response in barley (Hordeum vulgare L.) during waterlogging: A proteomics approach. Sci. Rep. 2018, 8, 9655. [Google Scholar] [CrossRef]
  11. Malik, A.I.; Colmer, D.T.; Lambers, H.; Schortemeyer, M. Changes in physiological and morphological traits of roots and shoots of wheat in response to different depths of waterlogging. Aust. J. Plant Physiol. 2001, 28, 1121–1131. [Google Scholar] [CrossRef]
  12. Todorova, D.; Sergiev, I.; Katerova, Z.; Shopova, E.; Dimitrova, L.; Brankova, L. Assessment of the biochemical responses of wheat seedlings to soil drought after application of selective herbicide. Plants 2021, 10, 733. [Google Scholar] [CrossRef] [PubMed]
  13. Katerova, Z.; Sergiev, I.; Todorova, D.; Shopova, E.; Dimitrova, L.; Brankova, L. Physiological responses of wheat seedlings to soil waterlogging applied after treatment with selective herbicide. Plants 2021, 10, 1195. [Google Scholar] [CrossRef] [PubMed]
  14. Arnon, D.I. Copper enzymes in isolated chloroplasts. Polyphenoloxidase in Beta vulgaris. Plant Physiol. 1949, 24, 1–15. [Google Scholar] [CrossRef] [PubMed] [Green Version]
  15. LiCor. Using the LI-6400/LI-6400XT Portable Photosynthesis System; LI-COR Biosciences: Lincoln, NE, USA, 2012; p. 846. [Google Scholar]
  16. Strasser, R.J.; Tsimilli-Michael, M.; Srivastava, A. Analysis of the chlorophyll a fluorescence transient. In Chlorophyll a Fluorescence: A Signature of Photosynthesis; Papageorgiou, G.C., Govindjee, Eds.; Springer: Dordrecht, The Netherlands, 2004; pp. 321–362. [Google Scholar] [CrossRef]
  17. Kalaji, H.M.; Oukarroum, A.; Alexandrov, V.; Kouzmanova, M.; Brestic, M.; Zivcak, M.; Samborska, I.A.; Cetner, M.D.; Allakhverdiev, S.I.; Goltsev, V. Identification of nutrient deficiency in maize and tomato plants by in vivo chlorophyll a fluorescence measurements. Plant Physiol. Biochem. 2014, 81, 16–25. [Google Scholar] [CrossRef] [PubMed]
  18. Katam, R.; Shokri, S.; Murthy, N.; Singh, S.K.; Suravajhala, P.; Khan, M.N.; Bahmani, M.; Sakata, K.; Reddy, K.R. Proteomics, physiological, and biochemical analysis of cross tolerance mechanisms in response to heat and water stresses in soybean. PLoS ONE 2020, 15, e0233905. [Google Scholar] [CrossRef]
  19. Wu, X.; Tang, Y.; Li, C.; Wu, C.; Huang, G. Chlorophyll fluorescence and yield responses of winter wheat to waterlogging at different growth stages. Plant Prod. Sci. 2015, 18, 284–294. [Google Scholar] [CrossRef] [Green Version]
  20. Wang, P.; Li, H.; Gerhards, R. Chlorophyll fluorescence response to herbicide stress in Alopecurus myosuroides. Julius-Kühn-Archiv. In Proceedings of the 27th German Conference on Weed Biology and Weed Control, Braunschweig, Germany, 23–25 February 2016; Volume 452, pp. 57–67. [Google Scholar] [CrossRef]
  21. Hassannejad, S.; Porheidar Ghafarbi, S. Assessment of some chlorophyll a fluorescence parameters of different corn cultivars in response to clodinafop-propagrgyl herbicide and salicylic acid. J. Plant. Physiol. Breed. 2018, 8, 47–57. [Google Scholar]
  22. Simova-Stoilova, L.; Pecheva, D.; Kirova, E. Drought stress response in winter wheat varieties –changes in leaf proteins and proteolytic activities. Acta Bot. Croat. 2020, 79, 121–130. [Google Scholar] [CrossRef]
  23. Marcińska, I.; Czyczyło-Mysza, I.; Skrzypek, E.; Filek, M.; Grzesiak, S.; Grzesiak, M.T.; Janowiak, F.; Hura, T.; Dziurka, M.; Dziurka, K.; et al. Impact of osmotic stress on physiological and biochemical characteristics in drought-susceptible and drought-resistant wheat genotypes. Acta Physiol. Plant. 2012, 35, 451–461. [Google Scholar] [CrossRef] [Green Version]
  24. Zhang, Q.; Liu, X.; Zhang, Z.; Liu, N.; Li, D.; Hu, L. Melatonin improved waterlogging tolerance in alfalfa (Medicago sativa) by reprogramming polyamine and ethylene metabolism. Front. Plant Sci. 2019, 10, 44. [Google Scholar] [CrossRef]
  25. Yordanova, R.Y.; Alexieva, V.S.; Popova, L.P. Influence of root oxygen deficiency on photosynthesis and antioxidant status in barley plants. Russ. J. Plant Physiol. 2003, 50, 163–167. [Google Scholar] [CrossRef]
  26. Yordanova, R.Y.; Uzunova, A.N.; Popova, L.P. Effects of short-term soil flooding on stomata behaviour and leaf gas exchange in barley plants. Biol. Plant. 2005, 49, 317–319. [Google Scholar] [CrossRef]
  27. Kalaji, H.M.; Carpentier, R.; Allakhverdiev, S.I.; Bosa, K. Fluorescence parameters as early indicators of light stress in barley. J. Photochem. Photobiol. B Biol. 2012, 112, 1–6. [Google Scholar] [CrossRef] [PubMed]
  28. Zivcak, M.; Brestic, M.; Balatova, Z.; Drevenakova, P.; Olsovska, K.; Kalaji, H.M.; Yang, X.; Allakhverdiev, S.I. Photosynthetic electron transport and specific photoprotective responses in wheat leaves under drought stress. Photosynth. Res. 2013, 117, 529–546. [Google Scholar] [CrossRef]
  29. Kalaji, H.M.; Jajoo, A.; Oukarroum, A.; Brestic, M.; Zivcak, M.; Samborska, I.A.; Cetner, M.D.Ł.; Goltsev, I.V.; Ladle, R.J. Chlorophyll a fluorescence as a tool to monitor physiological status of plants under abiotic stress conditions. Acta Physiol. Plant. 2016, 38, 102. [Google Scholar] [CrossRef] [Green Version]
  30. Maxwell, K.; Johnson, G.N. Chlorophyll fluorescence—A practical guide. J. Exp. Bot. 2000, 51, 659–668. [Google Scholar] [CrossRef]
  31. Borawska-Jarmułowicz, B.; Mastalerczuk, G.; Pietkiewicz, S.; Kalaji, M.H. Low temperature and hardening effects on photosynthetic apparatus efficiency and survival of forage grass varieties. Plant Soil Environ. 2014, 60, 177–183. [Google Scholar] [CrossRef] [Green Version]
  32. Ikeda, Y.; Shinpei, O.; Kazuya, K.; Akira, T.; Hiroyuki, W.; Hitoshi, K.; van Rensem, J.J.S.; Boger, P.; Waksbayashi, K. Binding site of novel 2-benzylamino-4-methyl-6-trifluromethyl-1, 3, 5- triazine herbicides in the D1 protein of photosystem II. Photosynth. Res. 2003, 77, 35–43. [Google Scholar] [CrossRef]
  33. Van Ruijven, J.; Berendse, F. Diversity enhances community recovery, but not resistance, after drought. J. Ecol. 2010, 98, 81–86. [Google Scholar] [CrossRef]
  34. Mariotte, P.; Vandenberghe, C.; Kardol, P.; Hagedorn, F.; Buttler, A. Subordinate plant species enhance community resistance against drought in semi-natural grasslands. J. Ecol. 2013, 101, 763–773. [Google Scholar] [CrossRef]
  35. Pinheriro, C.; Passarinho, J.A.; Ricardo, C.P. Effect of drought and rewatering on the metabolism of Lupinus albus organs. J. Plant Physiol. 2004, 161, 1203–1210. [Google Scholar] [CrossRef] [PubMed]
Figure 1. Phenotypic alterations of wheat plants treated with herbicide and subjected to drought or flooding stress. C—control; H—herbicide; D—drought; H + D—herbicide + drought; F—flooding; H + F—herbicide + flooding.
Figure 1. Phenotypic alterations of wheat plants treated with herbicide and subjected to drought or flooding stress. C—control; H—herbicide; D—drought; H + D—herbicide + drought; F—flooding; H + F—herbicide + flooding.
Agronomy 12 00390 g001
Figure 2. Chlorophyll a (A), chlorophyll b (B), carotenoids (C) content and chlorophyll a/b ratio (D) in wheat plants treated with herbicide and subjected to drought or flooding stress. Data are mean values ± standard errors. Different small letters denote significant differences between mean values at p < 0.05.
Figure 2. Chlorophyll a (A), chlorophyll b (B), carotenoids (C) content and chlorophyll a/b ratio (D) in wheat plants treated with herbicide and subjected to drought or flooding stress. Data are mean values ± standard errors. Different small letters denote significant differences between mean values at p < 0.05.
Agronomy 12 00390 g002
Figure 3. Leaf gas exchange parameters ((A): net photosynthesis rate (An); (B): transpiration rate (E); (C): stomatal conductance (gs); (D): water use ef-ficiency (WUE)) of wheat plants treated with herbicide and subjected to drought or flooding stress. Data are mean values ± standard errors. Different small letters denote significant differences between mean values at p < 0.05.
Figure 3. Leaf gas exchange parameters ((A): net photosynthesis rate (An); (B): transpiration rate (E); (C): stomatal conductance (gs); (D): water use ef-ficiency (WUE)) of wheat plants treated with herbicide and subjected to drought or flooding stress. Data are mean values ± standard errors. Different small letters denote significant differences between mean values at p < 0.05.
Agronomy 12 00390 g003
Figure 4. Chlorophyll fluorescence parameters ((A): F0; (B): Fm; (C): Fv/F0; (D): Fv/Fm) of wheat plants treated with herbicide and subjected to drought or flooding stress. Data are mean values ± standard errors. Different small letters denote significant differences between mean values at p < 0.05.
Figure 4. Chlorophyll fluorescence parameters ((A): F0; (B): Fm; (C): Fv/F0; (D): Fv/Fm) of wheat plants treated with herbicide and subjected to drought or flooding stress. Data are mean values ± standard errors. Different small letters denote significant differences between mean values at p < 0.05.
Agronomy 12 00390 g004
Figure 5. Spider plot of the chlorophyll fluorescence parameters in wheat plants after 4 days of drought or flooding.
Figure 5. Spider plot of the chlorophyll fluorescence parameters in wheat plants after 4 days of drought or flooding.
Agronomy 12 00390 g005
Figure 6. Spider plot of the chlorophyll fluorescence parameters in wheat plants after 7 days of drought or flooding.
Figure 6. Spider plot of the chlorophyll fluorescence parameters in wheat plants after 7 days of drought or flooding.
Agronomy 12 00390 g006
Figure 7. Spider plot of the chlorophyll fluorescence parameters in wheat plants after 4 days of recovery following drought or flooding.
Figure 7. Spider plot of the chlorophyll fluorescence parameters in wheat plants after 4 days of recovery following drought or flooding.
Agronomy 12 00390 g007
Table 1. Summary of the recovery and resilience indices of the photosynthesis functional traits in response to treatment with herbicide, drought and flooding (%).
Table 1. Summary of the recovery and resilience indices of the photosynthesis functional traits in response to treatment with herbicide, drought and flooding (%).
TraitsTreatmentsRecoveryResilience
Herbicide−6 ▬−15
Drought1612 ▲ ▲ ▲ ▲26
AnHerbicide + Drought4851 ▲ ▲ ▲ ▲40
Flooding−79 ▼ ▼−85 ▼ ▼
Herbicide + Flooding−71 ▼ ▼−81 ▼ ▼
Herbicide−16 −15
Drought428 ▲ ▲ ▲ ▲26
EHerbicide + Drought854 ▲ ▲ ▲ ▲41 ▲ ▲
Flooding−37 −33
Herbicide + Flooding−20 −29
Herbicide10 ▬−1 ▬
Drought207 ▲ ▲ ▲ ▲2 ▬
WUEHerbicide + Drought312 ▲ ▲ ▲ ▲−1 ▬
Flooding−62 ▼ ▼−73 ▼ ▼ ▼
Herbicide + Flooding−64 ▼ ▼−74 ▼ ▼ ▼
Herbicide15 −30
Drought654 ▲ ▲ ▲ ▲6 ▬
GsHerbicide + Drought1095 ▲ ▲ ▲ ▲20
Flooding−33 −52 ▼ ▼
Herbicide + Flooding−10 ▬−45 ▼ ▼
Notes: An, net photosynthetic rate; gs, stomatal conductance; E, transpiration rate; WUE, water use efficiency. Mean data of functional traits were used. Symbols: ▬ stands for ±10%; stands for ±11–40%; ▲ ▲ ▼ ▼ stands for ±41–70%; ▲ ▲ ▲ ▼ ▼ ▼ stands for ±71–100%; ▲ ▲ ▲ ▲ ▼ ▼ ▼ ▼ stands for ±˃100%.
Publisher’s Note: MDPI stays neutral with regard to jurisdictional claims in published maps and institutional affiliations.

Share and Cite

MDPI and ACS Style

Todorova, D.; Aleksandrov, V.; Anev, S.; Sergiev, I. Photosynthesis Alterations in Wheat Plants Induced by Herbicide, Soil Drought or Flooding. Agronomy 2022, 12, 390. https://doi.org/10.3390/agronomy12020390

AMA Style

Todorova D, Aleksandrov V, Anev S, Sergiev I. Photosynthesis Alterations in Wheat Plants Induced by Herbicide, Soil Drought or Flooding. Agronomy. 2022; 12(2):390. https://doi.org/10.3390/agronomy12020390

Chicago/Turabian Style

Todorova, Dessislava, Vladimir Aleksandrov, Svetoslav Anev, and Iskren Sergiev. 2022. "Photosynthesis Alterations in Wheat Plants Induced by Herbicide, Soil Drought or Flooding" Agronomy 12, no. 2: 390. https://doi.org/10.3390/agronomy12020390

APA Style

Todorova, D., Aleksandrov, V., Anev, S., & Sergiev, I. (2022). Photosynthesis Alterations in Wheat Plants Induced by Herbicide, Soil Drought or Flooding. Agronomy, 12(2), 390. https://doi.org/10.3390/agronomy12020390

Note that from the first issue of 2016, this journal uses article numbers instead of page numbers. See further details here.

Article Metrics

Back to TopTop