Control of Postharvest Gray Mold at Strawberry Fruits Caused by Botrytis cinerea and Improving Fruit Storability through Origanum onites L. and Ziziphora clinopodioides L. Volatile Essential Oils
Abstract
:1. Introduction
2. Materials and Methods
2.1. Plant Material and Isolation of Essential Oils
2.2. In Vitro Antifungal Assays
2.2.1. Fungi (Botrytis cinerea)
2.2.2. Antifungal Studies
2.3. In Vivo Postharvest Studies
2.3.1. Fruit Materials
2.3.2. In Vivo Experiments and Antifungal Activity Assay
2.3.3. Fruit Quality Analysis
2.4. Data Analysis
3. Results
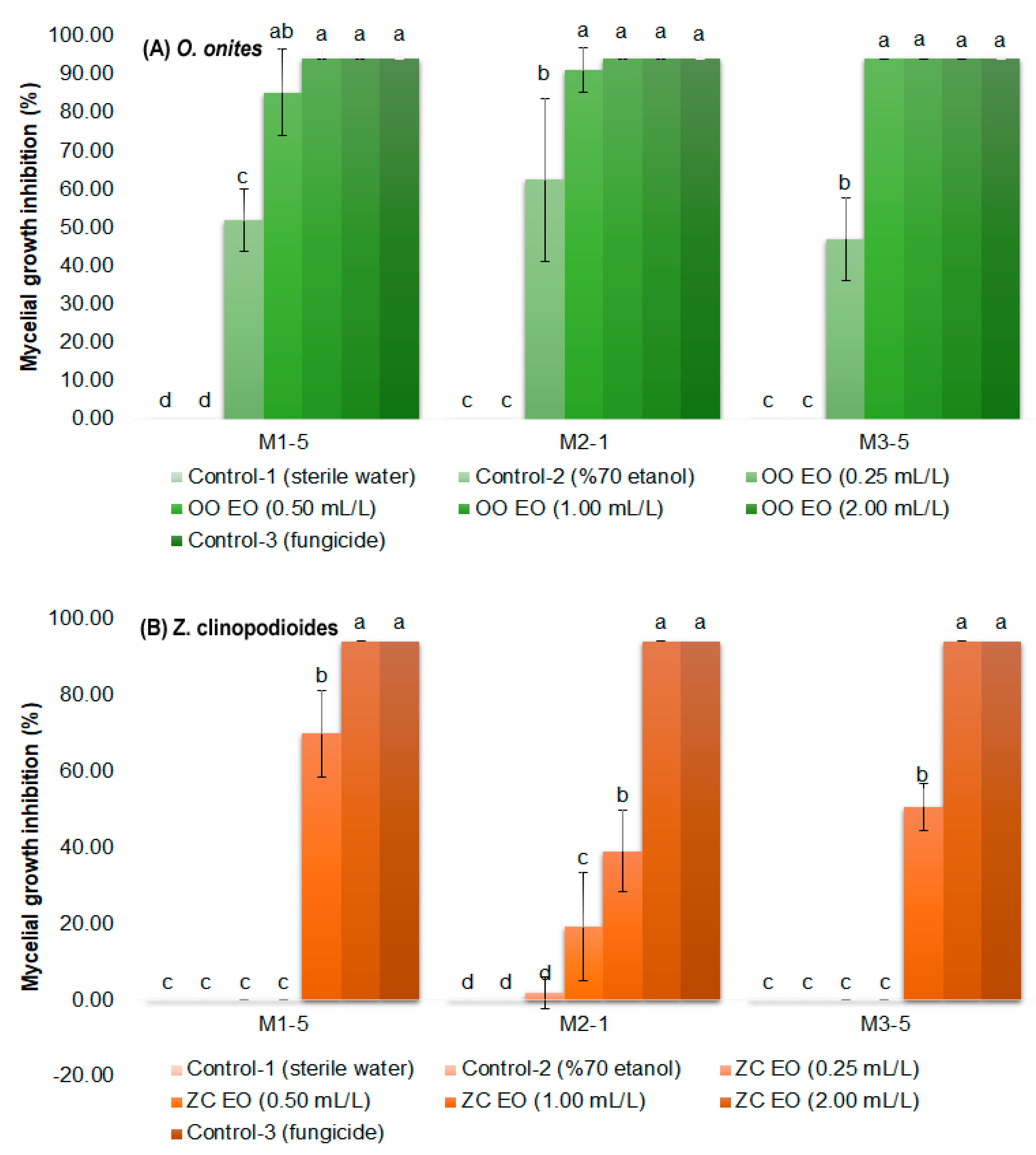
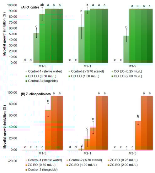
3.1. Antifungal Activity of Essential Oils
3.2. Impacts of Volatile Essential Oils on Disease Severity at Strawberry Fruits
3.3. Impacts of Volatile Essential Oils on Strawberry Fruit Quality
4. Discussion
5. Conclusions
Author Contributions
Funding
Institutional Review Board Statement
Informed Consent Statement
Data Availability Statement
Conflicts of Interest
References
- Yahia, E.M.; Ornelas-Paz, J.D.J.; Elansari, A. Postharvest technologies to maintain the quality of tropical and subtropical fruits. In Postharvest Biology and Technology of Tropical and Subtropical Fruits; Kader, A.A., Yahia, E.E., Eds.; Woodhead Publishing: Sawston, UK, 2011; pp. 142–195. [Google Scholar]
- Kahramanoğlu, İ. Introductory Chapter: Postharvest Physiology and Technology of Horticultural Crops. In Postharvest Handling; Kahramanoğlu, İ., Ed.; InTech Open: London, UK, 2017; pp. 1–5. [Google Scholar]
- Williamson, B.; Tudzynski, B.; Tudzynski, P.; Van Kan, J.A. Botrytis cinerea: The cause of grey mould disease. Mol. Plant Pathol. 2007, 8, 561–580. [Google Scholar] [CrossRef] [PubMed]
- Tripathi, P.; Dubey, N.K. Exploitation of natural products as an alternative strategy to control postharvest fungal rotting of fruit and vegetables. Postharvest Biol. Tech. 2004, 32, 235–245. [Google Scholar] [CrossRef]
- Zain, M.E. Impact of mycotoxins on humans and animals. J. Saudi Chem. Soc. 2011, 15, 129–144. [Google Scholar] [CrossRef] [Green Version]
- Kinay, P.; Mansour, M.F.; Mlikota Gabler, F.; Margosan, D.A.; Smilanick, J.L. Characterization of fungicide-resistant isolates of Penicillium digitatum collected in California. Crop Prot. 2007, 26, 647–656. [Google Scholar] [CrossRef]
- Hao, W.; Li, H.; Hu, M.; Yang, L.; Rizwan-ul-Haq, M. Integrated control of citrus green and blue mold and sour rot by Bacillus amyloliquefaciens in combination with tea saponin. Postharvest Biol. Tech. 2011, 59, 316–323. [Google Scholar] [CrossRef]
- Koch, S.; Epp, A.; Lohmann, M.; Böl, G.F. Pesticide residues in food: Attitudes, beliefs, and misconceptions among conventional and organic consumers. J. Food Prot. 2017, 80, 2083–2089. [Google Scholar] [CrossRef]
- Palou, L.; Smilanick, J.L.; Droby, S. Alternatives to conventional fungicides for the control of citrus postharvest green and blue moulds. Stewart Postharvest Rev. 2008, 2, 1–16. [Google Scholar]
- Kahramanoğlu, İ.; Usanmaz, S.; Alas, T.; Okatan, V.; Wan, C. Combined effect of hot water dipping and Cistus creticus L. leaf extracts on the storage quality of fresh Valencia oranges. Folia Hortic. 2020, 32, 337–350. [Google Scholar] [CrossRef]
- Papoutsis, K.; Mathioudakis, M.M.; Hasperué, J.H.; Ziogas, V. Non-chemical treatments for preventing the postharvest fungal rotting of citrus caused by Penicillium digitatum (green mold) and Penicillium italicum (blue mold). Trends Food Sci. Technol. 2019, 86, 479–491. [Google Scholar] [CrossRef]
- Kahramanoğlu, İ.; Wan, C. Determination and Improvement of the Postharvest Storability of Little Mallow (Malva Parviflora L.): A Novel Crop for a Sustainable Diet. HortScience 2020, 55, 1378–1386. [Google Scholar] [CrossRef]
- Riva, S.C.; Opara, U.O.; Fawole, O.A. Recent developments on postharvest application of edible coatings on stone fruit: A review. Sci. Hortic. 2020, 262, 109074. [Google Scholar] [CrossRef]
- Nor, S.M.; Ding, P. Trends and Advances in Edible Biopolymer Coating for Tropical Fruit: A Review. Food Res. Inter. 2020, 134, 109208. [Google Scholar] [CrossRef]
- Ali, S.; Khan, A.S.; Nawaz, A.; Anjum, M.A.; Naz, S.; Ejaz, S.; Hussain, S. Aloe vera gel coating delays postharvest browning and maintains the quality of harvested litchi fruit. Postharvest Biol. Tech. 2019, 157, 110960. [Google Scholar] [CrossRef]
- Maringgal, B.; Hashim, N.; Tawakkal, I.S.M.A.; Mohamed, M.T.M. Recent advance in edible coating and its effect on fresh/fresh-cut fruits quality. Trends Food Sci. Technol. 2020, 96, 253–267. [Google Scholar] [CrossRef]
- Kahramanoğlu, İ.; Okatan, V.; Wan, C. Biochemical composition of propolis and its efficacy in maintaining postharvest storability of fresh fruits and vegetables. J. Food Qual. 2020, 2020, 8869624. [Google Scholar] [CrossRef]
- Oszmianski, J.; Wojdyło, A. Comparative study of phenolic content and antioxidant activity of strawberry puree, clear, and cloudy juices. Eur. Food Res. Technol. 2009, 228, 623–631. [Google Scholar] [CrossRef]
- Caleb, O.J.; Wegner, G.; Rolleczek, C.; Herppich, W.B.; Geyer, M.; Mahajan, P.V. Hot water dipping: Impact on postharvest quality, individual sugars, and bioactive compounds during storage of ‘Sonata’ strawberry. Sci. Hortic. 2016, 210, 150–157. [Google Scholar] [CrossRef]
- Kahramanoğlu, İ. Effects of lemongrass oil application and modified atmosphere packaging on the postharvest life and quality of strawberry fruits. Sci. Hortic. 2019, 256, 108527. [Google Scholar] [CrossRef]
- Di Canito, A.; Mateo-Vargas, M.A.; Mazzieri, M.; Cantoral, J.; Foschino, R.; Cordero-Bueso, G.; Vigentini, I. The role of yeasts as biocontrol agents for pathogenic fungi on postharvest grapes: A review. Foods 2021, 10, 1650. [Google Scholar] [CrossRef]
- Velázquez-Nuñez, M.J.; Avila-Sosa, R.; Palou, E.; López-Malo, A. Antifungal activity of orange (Citrus sinensis var. Valencia) peel essential oil applied by direct addition or vapor contact. Food Control 2013, 31, 1–4. [Google Scholar] [CrossRef]
- Tao, N.; Jia, L.; Zhou, H. Anti-fungal activity of Citrus reticulata Blanco essential oil against Penicillium italicum and Penicillium digitatum. Food Chem. 2014, 153, 265–271. [Google Scholar] [CrossRef] [PubMed]
- Kordali, S.; Usanmaz, A.; Cakir, A.; Komaki, A.; Ercisli, S. Antifungal and herbicidal effects of fruit essential oils of four Myrtus communis genotypes. Chem. Biodivers. 2016, 13, 77–84. [Google Scholar] [CrossRef] [PubMed]
- Kong, J.; Zhang, Y.; Ju, J.; Xie, Y.; Guo, Y.; Cheng, Y.; Qian, H.; Quek, S.Y.; Yao, W. Antifungal effects of thymol and salicylic acid on cell membrane and mitochondria of Rhizopus stolonifer and their application in postharvest preservation of tomatoes. Food Chem. 2019, 285, 380–388. [Google Scholar] [CrossRef] [PubMed]
- Ma, B.X.; Ban, X.Q.; He, J.S.; Huang, B.; Zeng, H.; Tian, J.; Chen, Y.-K.; Wang, Y.W. Antifungal activity of Ziziphora clinopodioides Lam. essential oil against Sclerotinia sclerotiorum on rapeseed plants (Brassica campestris L.). Crop Prot. 2016, 89, 289–295. [Google Scholar] [CrossRef]
- Kotan, R.; Cakir, A.; Ozer, H.; Kordali, S.; Cakmakci, R.; Dadasoglu, F.; Dikbas, N.; Aydin, Y.; Kazaz, C. Antibacterial effects of Origanum onites against phytopathogenic bacteria: Possible use of the extracts from protection of disease caused by some phytopathogenic bacteria. Sci. Hortic. 2014, 172, 210–220. [Google Scholar] [CrossRef]
- Okut, N.; Selcuk, N.; Yagmur, M.; Yildirim, B. Chemical diversity of essential oil from leaves of Ziziphora clinopodioides growing in Van, Turkey. Fresenius Environ. Bull. 2018, 27, 2785–2790. [Google Scholar]
- Korukluoglu, M.; Gurbuz, O.; Sahan, Y.; Yigit, A.; Kacar, O.Y.A.; Rouseff, R. Chemical characterization and antifungal activity of Origanum onites L. essential oils and extracts. J. Food Saf. 2009, 29, 144–161. [Google Scholar] [CrossRef]
- Ocak, I.; Çelik, A.; Özel, M.Z.; Korcan, E.; Konuk, M. Antifungal activity and chemical composition of essential oil of Origanum hypericifolium. Int. J. Food Prop. 2012, 15, 38–48. [Google Scholar] [CrossRef]
- Hazrati, S.; Govahi, M.; Sedaghat, M.; Kashkooli, A.B. A comparative study of essential oil profile, antibacterial and antioxidant activities of two cultivated Ziziphora species (Z. clinopodioides and Z. tenuior). Ind. Crops Prod. 2020, 157, 112942. [Google Scholar] [CrossRef]
- Wang, H.; Yan, H.; Shin, J.; Huang, L.; Zhang, H.; Qi, W. Activity against plant pathogenic fungi of Lactobacillus plantarum IMAU10014 isolated from Xinjiang koumiss in China. Ann. Microbiol. 2011, 61, 879–885. [Google Scholar] [CrossRef]
- Ahmadu, T.; Ahmad, K.; Ismail, S.I.; Rashed, O.; Asib, N.; Omar, D. Antifungal efficacy of Moringa oleifera leaf and seed extracts against Botrytis cinerea causing gray mold disease of tomato (Solanum lycopersicum L.). Braz. J. Biol. 2020, 81, 1007–1022. [Google Scholar] [CrossRef] [PubMed]
- Thomidis, T.; Filotheou, A. Evaluation of five essential oils as bio-fungicides on the control of Pilidiella granati rot in pomegranate. Crop Prot. 2016, 89, 66–71. [Google Scholar] [CrossRef]
- Martinez, F.; Blancard, D.; Lecomte, P.; Levis, C.; Dubos, B.; Fermaud, M. Phenotypic differences between vacuma and transposa subpopulations of Botrytis cinerea. Eur. J. Plant Pathol. 2003, 109, 479–488. [Google Scholar] [CrossRef]
- de Oliveira Filho, J.G.; da Cruz Silva, G.; de Aguiar, A.C.; Cipriano, L.; de Azeredo, H.M.C.; Junior, S.B.; Ferreira, M.D. Chemical composition and antifungal activity of essential oils and their combinations against Botrytis cinerea in strawberries. J. Food Measur. Charact. 2021, 15, 1815–1825. [Google Scholar] [CrossRef]
- Fedele, G.; González-Domínguez, E.; Rossi, V. Influence of environment on the biocontrol of Botrytis cinerea: A systematic literature review. How Res. Can Stimul. Dev. Commer. Biol. Control. Plant Dis. 2020, 21, 61–82. [Google Scholar]
- Mohammadi, A.; Hashemi, M.; Hosseini, S.M. The control of Botrytis fruit rot in strawberry using combined treatments of Chitosan with Zataria multiflora or Cinnamomum zeylanicum essential oil. J. Food Sci. Technol. 2015, 52, 7441–7448. [Google Scholar] [CrossRef]
- Xu, Y.; Wei, J.; Wei, Y.; Han, P.; Dai, K.; Zou, X.; Jiang, S.; Xu, F.; Wang, H.; Sun, J.; et al. Tea tree oil controls brown rot in peaches by damaging the cell membrane of Monilinia fructicola. Postharvest Biol. Tech. 2021, 175, 111474. [Google Scholar] [CrossRef]
- Huang, R.; Li, G.Q.; Zhang, J.; Yang, L.; Che, H.J.; Jiang, D.H.; Huang, H.C. Control of postharvest Botrytis fruit rot of strawberry by volatile organic compounds of Candida intermedia. Phytopathology 2011, 101, 859–869. [Google Scholar] [CrossRef] [Green Version]
- Skinner, J. Experiments in Chemistry, Measuring the amount of vitamin C in fruit drinks. In Microscale Chemistry; Skinner, J., Ed.; Royal Society of Chemistry: London, UK, 1997; 67p. [Google Scholar]
- Shahbazi, Y. The properties of chitosan and gelatin films incorporated with ethanolic red grape seed extract and Ziziphora clinopodioides essential oil as biodegradable materials for active food packaging. Int. J. Biol. Macromol. 2017, 99, 746–753. [Google Scholar] [CrossRef]
- Mohammadi, A.; Hashemi, M.; Hosseini, S.M. Nanoencapsulation of Zataria multiflora essential oil preparation and characterization with enhanced antifungal activity for controlling Botrytis cinerea, the causal agent of gray mould disease. Innov. Food Sci. Emerg. Technol. 2015, 28, 73–80. [Google Scholar] [CrossRef]
- Khan, A.; Ahmad, A.; Akhtar, F.; Yousuf, S.; Xess, I.; Khan, L.A.; Manzoor, N. Ocimum sanctum essential oil and its active principles exert their antifungal activity by disrupting ergosterol biosynthesis and membrane integrity. Res. Microbiol. 2010, 161, 816–823. [Google Scholar] [CrossRef] [PubMed]
- Fadli, M.; Saad, A.; Sayadi, S.; Chevalier, J.; Mezrioui, N.E.; Pagès, J.M.; Hassani, L. Antibacterial activity of Thymus maroccanus and Thymus broussonetii essential oils against nosocomial infection–bacteria and their synergistic potential with antibiotics. Phytomedicine 2012, 19, 464–471. [Google Scholar] [CrossRef]
- Khalifa, I.; Barakat, H.; El-Mansy, H.A.; Soliman, S.A. Enhancing the keeping quality of fresh strawberry using chitosan-incorporated olive processing wastes. Food Biosci. 2016, 13, 69–75. [Google Scholar] [CrossRef]
- Pavinatto, A.; de Almeida Mattos, A.V.; Malpass, A.C.G.; Okura, M.H.; Balogh, D.T.; Sanfelice, R.C. Coating with chitosan-based edible films for mechanical/biological protection of strawberries. Int. J. Biol. Macromol. 2020, 151, 1004–1011. [Google Scholar] [CrossRef] [PubMed]
- Carvalho, I.T.; Estevinho, B.N.; Santos, L. Application of microencapsulated essential oils in cosmetic and personal healthcare products–A review. Int. J. Cosmet. Sci. 2016, 38, 109–119. [Google Scholar] [CrossRef] [PubMed]
- Tyagi, A.K.; Malik, A. Antimicrobial potential and chemical composition of Mentha piperita oil in liquid and vapour phase against food spoiling microorganisms. Food Control 2011, 22, 1707–1714. [Google Scholar] [CrossRef]
- Paris, M.J.; Ramírez-Corona, N.; Palou, E.; López-Malo, A. Modelling release mechanisms of cinnamon (Cinnamomum zeylanicum) essential oil encapsulated in alginate beads during vapor-phase application. J. Food Eng. 2020, 282, 110024. [Google Scholar] [CrossRef]
- Pedrotti, C.; da Silva Ribeiro, R.T.; Schwambach, J. Control of postharvest fungal rots in grapes through the use of Baccharis trimera and Baccharis dracunculifolia essential oils. Crop Prot. 2019, 125, 104912. [Google Scholar] [CrossRef]
- Vitoratos, A.; Bilalis, D.; Karkanis, A.; Efthimiadou, A. Antifungal activity of plant essential oils against Botrytis cinerea, Penicillium italicum and Penicillium digitatum. Not. Bot. Horti Agrobot. Cluj-Napoca 2013, 41, 86–92. [Google Scholar] [CrossRef] [Green Version]
- Hosseini, S.; Amini, J.; Saba, M.K.; Karimi, K.; Pertot, I. Preharvest and postharvest application of garlic and rosemary essential oils for controlling anthracnose and quality assessment of strawberry fruit during cold storage. Front. Microbiol. 2020, 11, 1855. [Google Scholar] [CrossRef]
- Sandhya. Modified atmosphere packaging of fresh produce: Current status and future needs. LWT-Food Sci. Technol. 2010, 43, 381–392. [Google Scholar] [CrossRef]
- Mpho, M.; Sivakumar, D.; Sellamuthu, P.S.; Bautista-Baños, S. Use of lemongrass oil and modified atmosphere packaging on control of anthracnose and quality maintenance in avocado cultivars. J. Food Qual. 2013, 36, 198–208. [Google Scholar] [CrossRef]
- Atress, A.S.H.; El-Mogy, M.M.; Aboul-Anean, H.E.; Alsaniu, B.W. Improving strawberry fruit storability by edible coating as a carrier of thymol or calcium chloride. J. Hortic. Sci. Ornam. Plants 2010, 2, 88–97. [Google Scholar]
- Ventura-Aguilar, R.I.; Bautista-Baños, S.; Flores-García, G.; Zavaleta-Avejar, L. Impact of chitosan based edible coatings functionalized with natural compounds on Colletotrichum fragariae development and the quality of strawberries. Food Chem. 2018, 262, 142–149. [Google Scholar] [CrossRef]
- Sellamuthu, P.S.; Sivakumar, D.; Soundy, P.; Korsten, L. Essential oil vapours suppress the development of anthracnose and enhance defence related and antioxidant enzyme activities in avocado fruit. Postharvest Biol. Tech. 2013, 81, 66–72. [Google Scholar] [CrossRef] [Green Version]
- Kabalina, D.V. Improvement of Apple Storage Technology with Use of a Complex Biological Product. Ph.D. Thesis, Federal State Budgetary Scientific Institution North Caucasian Regional Research Institute of Horticulture and Viticulture, Krasnodar, Russia, 2020. [Google Scholar]
- Shao, X.; Wang, H.; Xu, F.; Cheng, S. Effects and possible mechanisms of tea tree oil vapor treatment on the main disease in postharvest strawberry fruit. Postharvest Biol. Tech. 2013, 77, 94–101. [Google Scholar] [CrossRef]
- Gao, Y.; Kan, C.; Wan, C.; Chen, C.; Chen, M.; Chen, J. Quality and biochemical changes of navel orange fruits during storage as affected by cinnamaldehyde-chitosan coating. Sci. Hortic. 2018, 239, 80–86. [Google Scholar] [CrossRef]





| Treatments | 3 Days | 5 Days | 7 Days | 3 Days | 5 Days | 7 Days |
|---|---|---|---|---|---|---|
| O. onites on M1-5 Isolate | Z. clinopodioides on M1-5 Isolate | |||||
| EO (0.25 mL/L) | 1.53 d | 2.86 b | 4.09 b | 2.90 c | 7.75 ab | 8.50 a |
| EO (0.50 mL/L) | 1.70 c | 1.25 c | 1.25 c | 2.24 c | 7.00 b | 8.50 a |
| EO (1.00 mL/L) | 0.50 d | 0.50 d | 0.50 d | 0.60 d | 1.28 c | 2.56 b |
| EO (2.00 mL/L) | 0.50 d | 0.50 d | 0.50 d | 0.50 d | 0.50 c | 0.50 c |
| Control-1 (sterile water) | 5.41 a | 8.50 a | 8.50 a | 5.41 a | 8.50 a | 8.50 a |
| Control-2 (70% ethanol) | 3.90 b | 7.58 a | 8.50 a | 3.90 b | 7.60 ab | 8.50 a |
| Control-3 (fungicide) | 0.50 d | 0.50 d | 0.50 d | 0.50 d | 0.50 c | 0.50 c |
| O. onites on M2-1 isolate | Z. clinopodioides on M2-1 isolate | |||||
| EO (0.25 mL/L) | 0.79 b | 2.34 b | 3.19 b | 3.29 b | 7.95 a | 8.33 a |
| EO (0.50 mL/L) | 0.50 b | 0.50 c | 0.75 c | 1.76 c | 5.23 b | 6.86 b |
| EO (1.00 mL/L) | 0.50 b | 0.50 c | 0.50 c | 0.55 cd | 2.10 c | 5.18 c |
| EO (2.00 mL/L) | 0.50 b | 0.50 c | 0.50 c | 0.50 d | 0.50 c | 0.50 d |
| Control-1 (sterile water) | 4.49 a | 7.33 a | 8.50 a | 4.49 ab | 7.33 a | 8.50 a |
| Control-2 (70% ethanol) | 4.56 a | 7.99 a | 8.50 a | 4.56 a | 7.99 a | 8.50 a |
| Control-3 (fungicide) | 0.50 b | 0.50 c | 0.50 c | 0.50 d | 0.50 c | 0.50 d |
| O. onites on M3-5 isolate | Z. clinopodioides on M3-5 isolate | |||||
| EO (0.25 mL/L) | 0.99 b | 2.83 b | 4.50 b | 4.65 b | 8.23 a | 8.50 a |
| EO (0.50 mL/L) | 0.50 b | 0.50 c | 0.50 c | 3.14 c | 7.48 a | 8.50 a |
| EO (1.00 mL/L) | 0.50 b | 0.50 c | 0.50 c | 0.66 d | 2.16 b | 4.19 b |
| EO (2.00 mL/L) | 0.50 b | 0.50 c | 0.50 c | 0.50 d | 0.50 c | 0.50 c |
| Control-1 (sterile water) | 5.68 a | 8.50 a | 8.50 a | 5.68 ab | 8.50 a | 8.50 a |
| Control-2 (70% ethanol) | 6.10 a | 8.50 a | 8.50 a | 6.10 a | 8.50 a | 8.50 a |
| Control-3 (fungicide) | 0.50 b | 0.50 c | 0.50 c | 0.50 d | 0.50 c | 0.50 c |
Publisher’s Note: MDPI stays neutral with regard to jurisdictional claims in published maps and institutional affiliations. |
© 2022 by the authors. Licensee MDPI, Basel, Switzerland. This article is an open access article distributed under the terms and conditions of the Creative Commons Attribution (CC BY) license (https://creativecommons.org/licenses/by/4.0/).
Share and Cite
Kahramanoğlu, İ.; Panfilova, O.; Kesimci, T.G.; Bozhüyük, A.U.; Gürbüz, R.; Alptekin, H. Control of Postharvest Gray Mold at Strawberry Fruits Caused by Botrytis cinerea and Improving Fruit Storability through Origanum onites L. and Ziziphora clinopodioides L. Volatile Essential Oils. Agronomy 2022, 12, 389. https://doi.org/10.3390/agronomy12020389
Kahramanoğlu İ, Panfilova O, Kesimci TG, Bozhüyük AU, Gürbüz R, Alptekin H. Control of Postharvest Gray Mold at Strawberry Fruits Caused by Botrytis cinerea and Improving Fruit Storability through Origanum onites L. and Ziziphora clinopodioides L. Volatile Essential Oils. Agronomy. 2022; 12(2):389. https://doi.org/10.3390/agronomy12020389
Chicago/Turabian StyleKahramanoğlu, İbrahim, Olga Panfilova, Tuba Genç Kesimci, Ayse Usanmaz Bozhüyük, Ramazan Gürbüz, and Harun Alptekin. 2022. "Control of Postharvest Gray Mold at Strawberry Fruits Caused by Botrytis cinerea and Improving Fruit Storability through Origanum onites L. and Ziziphora clinopodioides L. Volatile Essential Oils" Agronomy 12, no. 2: 389. https://doi.org/10.3390/agronomy12020389
APA StyleKahramanoğlu, İ., Panfilova, O., Kesimci, T. G., Bozhüyük, A. U., Gürbüz, R., & Alptekin, H. (2022). Control of Postharvest Gray Mold at Strawberry Fruits Caused by Botrytis cinerea and Improving Fruit Storability through Origanum onites L. and Ziziphora clinopodioides L. Volatile Essential Oils. Agronomy, 12(2), 389. https://doi.org/10.3390/agronomy12020389

