Integrating Crop-Livestock System Practices in Forage and Grain-Based Rotations in Northern Germany: Potentials for Soil Carbon Sequestration
Abstract
:1. Introduction
2. Materials and Methods
2.1. Study Site and Design
2.2. Measurements
2.2.1. Soil Sampling and SOC Analysis
bulk density [1.5 g cm−3 soil] × soil depth [30 cm]
2.2.2. Plant Sampling and Soil Carbon Input Estimations
2.3. Statistical Analysis
3. Results
3.1. Effect by Cropping Systems and N Rates on Annual SOC Change Rates
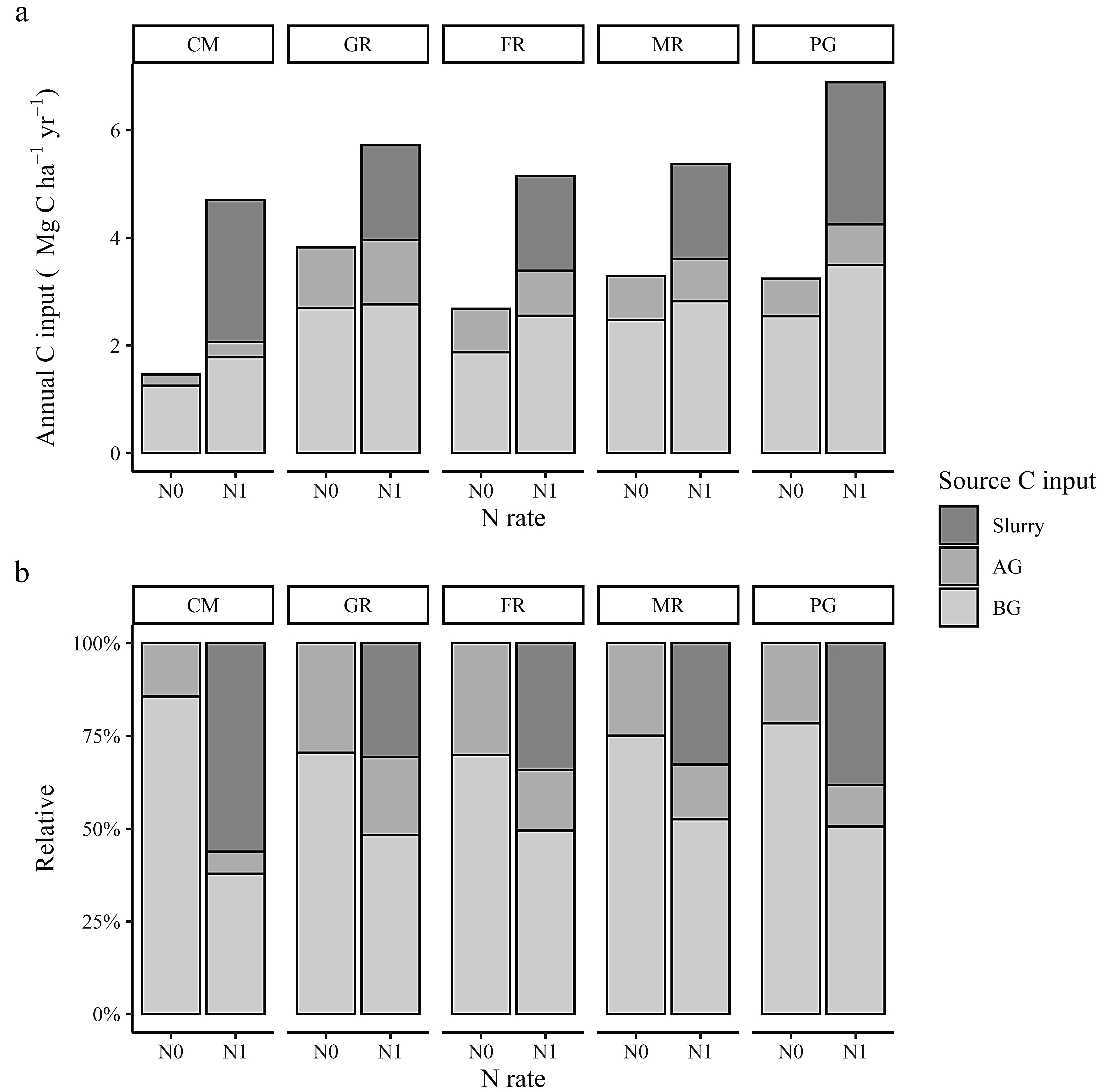
3.2. Estimated Annual Soil C Inputs and Relationship to Soil C Inputs
4. Discussion
4.1. Effect of Annual Leys and Cover Crops on SOC Stocks of Forage and Grain-Based Rotations
4.2. Influence of C Inputs from Slurry Application and Belowground C Input on Annual SOC Changes
5. Conclusions
Supplementary Materials
Author Contributions
Funding
Acknowledgments
Conflicts of Interest
References
- Minasny, B.; Malone, B.P.; McBratney, A.B.; Angers, D.A.; Arrouays, D.; Chambers, A.; Chaplot, V.; Chen, Z.-S.; Cheng, K.; Das, B.S.; et al. Soil carbon 4 per mille. Geoderma 2017, 292, 59–86. [Google Scholar] [CrossRef]
- Smith, P.; Bustamante, M.; Ahammad, H.; Clark, H.; Dong, H.; Elsiddig, E.A.; Haberl, H.; Harper, R.; House, J.; Jafari, M.; et al. Agriculture, Forestry and Other Land Use (AFOLU). In Climate Change 2014: Mitigation of Climate Change Working Group III Contribution to the Fifth Assessment Report of the Intergovernmental Panel on Climate Change; Edenhofer, O., Pichs-Madruga, R., Sokona, Y., Farahani, E., Kadner, S., Seyboth, K., Adler, A., Baum, I., Brunner, S., Eickemeier, P., et al., Eds.; Cambridge University Press: New York, NY, USA, 2014. [Google Scholar]
- Taube, F.; Gierus, M.; Hermann, A.; Loges, R.; Schönbach, P. Grassland and globalization—Challenges for north-west European grass and forage research. Grass Forage Sci. 2014, 69, 2–16. [Google Scholar] [CrossRef]
- Bommarco, R.; Kleijn, D.; Potts, S.G. Ecological intensification: Harnessing ecosystem services for food security. Trends Ecol. Evol. (Amst.) 2013, 28, 230–238. [Google Scholar] [CrossRef] [PubMed]
- Clay, N.; Garnett, T.; Lorimer, J. Dairy intensification: Drivers, impacts and alternatives. AMBIO 2020, 49, 35–48. [Google Scholar] [CrossRef] [PubMed] [Green Version]
- Leterme, P.; Nesme, T.; Regan, J.; Korevaar, H. Environmental benefits of farm- and district-scale crop-livestock integration. In Agroecosystem Diversity: Reconciling Contemporary Agriculture and Environmental Quality, 1st ed.; Lemaire, G., Carvalho, P., Kronberg, S., Recous, S., Eds.; Elsevier: Amsterdam, The Netherlands, 2019; pp. 335–349. ISBN 9780128110508. [Google Scholar]
- Guo, L.B.; Gifford, R.M. Soil carbon stocks and land use change: A meta analysis. Glob. Chang. Biol. 2002, 8, 345–360. [Google Scholar] [CrossRef]
- Cassman, K.G. Ecological intensification of cereal production systems: Yield potential, soil quality, and precision agriculture. Proc. Natl. Acad. Sci. USA 1999, 96, 5952–5959. [Google Scholar] [CrossRef] [PubMed] [Green Version]
- Tittonell, P. Ecological intensification of agriculture—Sustainable by nature. Curr. Opin. Environ. Sustain. 2014, 8, 53–61. [Google Scholar] [CrossRef]
- Schut, A.G.T.; Cooledge, E.C.; Moraine, M.; van de Ven, G.W.J.; Jones, D.L.; Chadwick, D.R. Reintegration of crop-livestock systems in Europe: An overview. Front. Agric. Sci. Eng. 2021, 8, 111. [Google Scholar] [CrossRef]
- Regan, J.T.; Marton, S.; Barrantes, O.; Ruane, E.; Hanegraaf, M.; Berland, J.; Korevaar, H.; Pellerin, S.; Nesme, T. Does the recoupling of dairy and crop production via cooperation between farms generate environmental benefits?: A case-study approach in Europe. Eur. J. Soil Sci. 2017, 82, 342–356. [Google Scholar] [CrossRef] [Green Version]
- King, A.E.; Blesh, J. Crop rotations for increased soil carbon: Perenniality as a guiding principle. Ecol. Model. 2018, 28, 249–261. [Google Scholar] [CrossRef]
- Panettieri, M.; Rumpel, C.; Dignac, M.-F.; Chabbi, A. Does grassland introduction into cropping cycles affect carbon dynamics through changes of allocation of soil organic matter within aggregate fractions? Sci. Total Environ. 2017, 576, 251–263. [Google Scholar] [CrossRef] [PubMed] [Green Version]
- Poeplau, C.; Don, A. Carbon sequestration in agricultural soils via cultivation of cover crops—A meta-analysis. Agric. Ecosyst. Environ. 2015, 200, 33–41. [Google Scholar] [CrossRef]
- Johnston, A.E.; Poulton, P.R.; Coleman, K. Chapter 1 soil organic matter: Its importance in sustainable agriculture and carbon dioxide fluxes. In Advances in Agronomy; Sparks, D.L., Ed.; Academic Press: Cambridge, MA, USA, 2009; pp. 1–57. ISBN 0065-2113. [Google Scholar]
- Maillard, É.; Angers, D.A. Animal manure application and soil organic carbon stocks: A meta-analysis. Glob. Chang. Biol. 2014, 20, 666–679. [Google Scholar] [CrossRef] [PubMed]
- Martin, G.; Durand, J.-L.; Duru, M.; Gastal, F.; Julier, B.; Litrico, I.; Louarn, G.; Médiène, S.; Moreau, D.; Valentin-Morison, M.; et al. Role of ley pastures in tomorrow’s cropping systems. A review. Agron. Sustain. Dev. 2020, 40, 17. [Google Scholar] [CrossRef]
- Loges, R.; Bunne, I.; Reinsch, T.; Malisch, C.; Kluß, C.; Herrmann, A.; Taube, F. Forage production in rotational systems generates similar yields compared to maize monocultures but improves soil carbon stocks. Eur. J. Agron. 2018, 97, 11–19. [Google Scholar] [CrossRef]
- Robson, M.C.; Fowler, S.M.; Lampkin, N.H.; Leifert, C.; Leitch, M.; Robinson, D.; Watson, C.A.; Litterick, A.M. The Agronomic and Economic Potential of Break Crops for Ley/Arable Rotations in Temperate Organic Agriculture. Adv. Agron. 2002, 77, 369–427. [Google Scholar] [CrossRef]
- Bolinder, M.A.; Janzen, H.H.; Gregorich, E.G.; Angers, D.A.; VandenBygaart, A.J. An approach for estimating net primary productivity and annual carbon inputs to soil for common agricultural crops in Canada. Agric. Ecosyst. Environ. 2007, 118, 29–42. [Google Scholar] [CrossRef]
- Bolinder, M.A.; Angers, D.A.; Dubuc, J.P. Estimating shoot to root ratios and annual carbon inputs in soils for cereal crops. Agric. Ecosyst. Environ. 1997, 63, 61–66. [Google Scholar] [CrossRef]
- Hirte, J.; Walder, F.; Hess, J.; Büchi, L.; Colombi, T.; van der Heijden, M.G.; Mayer, J. Enhanced root carbon allocation through organic farming is restricted to topsoils. Sci. Total Environ. 2020, 755, 143551. [Google Scholar] [CrossRef]
- Maillard, É.; Angers, D.A.; Chantigny, M.; Lafond, J.; Pageau, D.; Rochette, P.; Lévesque, G.; Leclerc, M.-L.; Parent, L.-É. Greater accumulation of soil organic carbon after liquid dairy manure application under cereal-forage rotation than cereal monoculture. Agric. Ecosyst. Environ. 2016, 233, 171–178. [Google Scholar] [CrossRef]
- Kätterer, T.; Bolinder, M.A.; Andrén, O.; Kirchmann, H.; Menichetti, L. Roots contribute more to refractory soil organic matter than above-ground crop residues, as revealed by a long-term field experiment. Agric. Ecosyst. Environ. 2011, 141, 184–192. [Google Scholar] [CrossRef] [Green Version]
- Puget, P.; Drinkwater, L.E. Short-term dynamics of root- and shoot-derived carbon from a leguminous green manure. Soil Sci. Soc. Am. J. 2001, 65, 771–779. [Google Scholar] [CrossRef]
- Lynch, D.H.; Voroney, R.P.; Warman, P.R. Soil Physical Properties and Organic Matter Fractions Under Forages Receiving Composts, Manure or Fertilizer. Compost. Sci. Util. 2005, 13, 252–261. [Google Scholar] [CrossRef] [Green Version]
- Reicosky, D.C.; Kemper, W.D.; Langdale, G.W.; Douglas, C.L., Jr.; Rasmussen, P.E. Soil organic matter changes resulting from tillage and biomass production. J. Soil Water Conserv. 1995, 50, 253–261. [Google Scholar]
- West, T.O.; Post, W.M. Soil Organic Carbon Sequestration Rates by Tillage and Crop Rotation: A Global Data Analysis. Soil Sci. Soc. Am. J. 2002, 66, 1930–1946. [Google Scholar] [CrossRef] [Green Version]
- ISO. Soil Quality—Determination of Organic and Total Carbon after Dry Combustion (Elementary Analysis), 13.080.10 (10694). Available online: https://www.iso.org/standard/18782.html (accessed on 20 April 2020).
- ISO. Soil Quality—Determination of Carbonate Content—Volumetric Method, 13.080.10 (10693). Available online: https://www.iso.org/standard/18781.html (accessed on 20 April 2020).
- Steingrobe, B.; Schmid, H.; Claassen, N. The use of the ingrowth core method for measuring root production of arable crops—Influence of soil and root disturbance during installation of the bags on root ingrowth into the cores. Eur. J. Agron. 2001, 15, 143–151. [Google Scholar] [CrossRef]
- Böhm, W. Methods of Studying Root Systems, 1st ed.; Springer: Berlin/Heidelberg, Germany, 1979; ISBN 978-3-642-67282-8. [Google Scholar]
- Pausch, J.; Kuzyakov, Y. Carbon input by roots into the soil: Quantification of rhizodeposition from root to ecosystem scale. Glob. Chang. Biol. 2018, 24, 1–12. [Google Scholar] [CrossRef]
- Bates, D.; Mächler, M.; Bolker, B.; Walker, S. Fitting linear mixed-effects models using lme4. J. Stat. Soft. 2015, 67. [Google Scholar] [CrossRef]
- R Core Team. R: A Language and Environment for Statistical Computing; R Foundation for Statistical Computing: Vienna, Austria, 2020. [Google Scholar]
- Christensen, B.T.; Johnston, A.E. Soil organic matter and soil quality: Lessons learned from long-term experiments at Askov and Rothamsted. In Soil Quality for Crop Production and Ecosystem Health; Gregorich, E.G., Carter, M.R., Eds.; Elsevier: Amsterdam, The Netherlands, 1997; pp. 399–430. [Google Scholar]
- Poulton, P.; Johnston, J.; Macdonald, A.; White, R.; Powlson, D. Major limitations to achieving “4 per 1000” increases in soil organic carbon stock in temperate regions: Evidence from long-term experiments at Rothamsted Research, United Kingdom. Glob. Chang. Biol. 2018, 24, 2563–2584. [Google Scholar] [CrossRef] [PubMed] [Green Version]
- Börjesson, G.; Bolinder, M.A.; Kirchmann, H.; Kätterer, T. Organic carbon stocks in topsoil and subsoil in long-term ley and cereal monoculture rotations. Biol. Fertil. Soils 2018, 54, 549–558. [Google Scholar] [CrossRef] [Green Version]
- Poeplau, C.; Aronsson, H.; Myrbeck, Å.; Kätterer, T. Effect of perennial ryegrass cover crop on soil organic carbon stocks in southern Sweden. Geoderma Reg. 2015, 4, 126–133. [Google Scholar] [CrossRef]
- McDaniel, M.D.; Grandy, A.S.; Tiemann, L.K.; Weintraub, M.N. Crop rotation complexity regulates the decomposition of high and low quality residues. Soil Biol. Biochem. 2014, 78, 243–254. [Google Scholar] [CrossRef] [Green Version]
- Aref, S.; Wander, M.M. Long-term trends of corn yield and soil organic matter in different crop sequences and soil fertility treatments on the Morrow Plots. Adv. Agron. 1997, 62, 153–197. [Google Scholar]
- Conant, R.T.; Paustian, K.; Elliott, E.T. Grassland management and conversion into grassland: Effects on soil carbon. Ecol. Appl. 2001, 11, 343–355. [Google Scholar] [CrossRef]
- Reinsch, T.; Struck, I.J.A.; Loges, R.; Kluß, C.; Taube, F. Soil carbon dynamics of no-till silage maize in ley systems. Soil Tillage Res. 2021, 209, 104957. [Google Scholar] [CrossRef]
- Thomsen, I.K.; Christensen, B.T. Yields of wheat and soil carbon and nitrogen contents following long-term incorporation of barley straw and ryegrass catch crops. Soil Use Manag. 2004, 20, 432–438. [Google Scholar] [CrossRef]
- Buyanovsky, G.A.; Wagner, G.H. Carbon cycling in cultivated land and its global significance. Glob. Chang. Biol. 1998, 4, 131–141. [Google Scholar] [CrossRef]
- Tisdall, J.; Oades, J.M. Stabilization of soil aggregates by the root systems of ryegrass. Aust. J. Soil Res. 1979, 17, 429–441. [Google Scholar] [CrossRef]
- Lithourgidis, A.S.; Matsi, T.; Barbayiannis, N.; Dordas, C.A. Effect of liquid cattle manure on corn yield, composition, and soil properties. Agron. J. 2007, 99, 1041–1047. [Google Scholar] [CrossRef]
- Matsi, T.; Lithourgidis, A.S.; Gagianas, A.A. Effects of injected liquid cattle manure on growth and yield of winter wheat and soil characteristics. Agron. J. 2003, 95, 592–596. [Google Scholar] [CrossRef]
- Culley, L.B.; Phillips, P.A.; Hore, F.R.; Patni, N.K. Soil chemical properties and removal of nutrients by corn resulting from different rates and timing of liquid dairy manure applications. Can. J. Soil Sci. 1981, 61, 35–46. [Google Scholar] [CrossRef]
- Holeplass, H.; Singh, B.R.; Lal, R. Carbon sequestration in soil aggregates under different crop rotations and nitrogen fertilization in an inceptisol in southeastern Norway. Nutr. Cycl. Agroecosyst. 2004, 70, 167–177. [Google Scholar] [CrossRef]
- Mikha, M.M.; Rice, C.W. Tillage and Manure Effects on Soil and Aggregate-Associated Carbon and Nitrogen. Soil Sci. Soc. Am. J. 2004, 68, 809–816. [Google Scholar] [CrossRef]




| Crop | Cultivar | Seeding Rate | Crop Type | Length (Month) | |
|---|---|---|---|---|---|
| Silage Maize | (Zea mays) | Ronaldinio | 12 seeds m−2 | Forage | May–October (6 m) |
| Spring Oats | (Avena sativa) | Ivory Max | 350 seeds ha−1 | Grain | March–August (6 m) |
| Winter Wheat | (Triticum aestivum) | Mulan Akteur Elixer | 400 seeds ha−1 | Forage Grain | October–July (10 m) October–August (11 m) |
| Pulses | Peas (Pisum sativum) Lupin (Lupinus angustifolius) Faba bean (Vicia faba) | Santana Boruta Fanfare | 80 seeds m2 130 seeds m2 50 seeds m2 | Grain | March–August (6 m) |
| Grass-clover Ley | Perennial ryegrass (Lolium perenne) Red clover (Trifolium pratense) White clover (Trifolium repens) | n.a. n.a. n.a. | 20 kg ha−1 8 kg ha−1 2 kg ha−1 | Cover crop Forage | May–March (11 m) May–March (22 m) |
| Grassland | Perennial ryegrass (Lolium perenne) Timothy grass (Phleum pratense) Meadow grass (Poa pratensis) White clover (Trifolium repens) | n.a. n.a. n.a. n.a. | 20 kg ha−1 4 kg ha−1 4 kg ha−1 2 kg ha−1 | Forage | Permanent |
| White Mustard | (Synapsis alba) | n.a. | 25 kg ha−1 | Cover crop | September–March (7 m) |
| Cropping System | Crop | Fertilized (Yes/No) | Amount of N Supplied per Application (kg ha−1) | Mean N Input in System (kg ha−1 yr−1) * |
|---|---|---|---|---|
| CM | Silage Maize | yes | 80 + 80 + 80 | 240 |
| GR | Spring Oats | yes | 80 + 80 + 80 | 160 |
| Winter Wheat | yes | 80 + 80 + 80 | ||
| Pulses | no | |||
| FR | Silage Maize | yes | 80 + 80 + 80 | 160 |
| Winter Wheat | yes | 80 + 80 + 80 | ||
| Grass-clover Ley | no | |||
| MR | Spring Oats | yes | 80 + 80 + 80 | 160 |
| Winter Wheat | yes | 80 + 80 + 80 | ||
| Grass-clover Ley | no | |||
| PG | Grassland | yes | 80 + 60 + 60 + 40 | 240 |
| Actors | Degrees of Freedom † | F-Value | p-Value |
|---|---|---|---|
| Intercept | 1, 300 | 11,045.4 | <0.0001 |
| CS | 4, 247 | 8.0 | <0.0001 |
| N rate | 1, 300 | 31.9 | <0.0001 |
| Time | 1, 300 | 1.0 | 0.31 |
| CS × N rate | 4, 300 | 5.5 | <0.0001 |
| CS × Time | 4, 300 | 1.3 | 0.27 |
| N rate × Time | 1, 300 | 10.1 | <0.01 |
| CS × N rate × Time | 4, 300 | 0.6 | 0.63 |
Publisher’s Note: MDPI stays neutral with regard to jurisdictional claims in published maps and institutional affiliations. |
© 2022 by the authors. Licensee MDPI, Basel, Switzerland. This article is an open access article distributed under the terms and conditions of the Creative Commons Attribution (CC BY) license (https://creativecommons.org/licenses/by/4.0/).
Share and Cite
De Los Rios, J.; Poyda, A.; Reinsch, T.; Kluß, C.; Taube, F.; Loges, R. Integrating Crop-Livestock System Practices in Forage and Grain-Based Rotations in Northern Germany: Potentials for Soil Carbon Sequestration. Agronomy 2022, 12, 338. https://doi.org/10.3390/agronomy12020338
De Los Rios J, Poyda A, Reinsch T, Kluß C, Taube F, Loges R. Integrating Crop-Livestock System Practices in Forage and Grain-Based Rotations in Northern Germany: Potentials for Soil Carbon Sequestration. Agronomy. 2022; 12(2):338. https://doi.org/10.3390/agronomy12020338
Chicago/Turabian StyleDe Los Rios, Josue, Arne Poyda, Thorsten Reinsch, Christof Kluß, Friedhelm Taube, and Ralf Loges. 2022. "Integrating Crop-Livestock System Practices in Forage and Grain-Based Rotations in Northern Germany: Potentials for Soil Carbon Sequestration" Agronomy 12, no. 2: 338. https://doi.org/10.3390/agronomy12020338
APA StyleDe Los Rios, J., Poyda, A., Reinsch, T., Kluß, C., Taube, F., & Loges, R. (2022). Integrating Crop-Livestock System Practices in Forage and Grain-Based Rotations in Northern Germany: Potentials for Soil Carbon Sequestration. Agronomy, 12(2), 338. https://doi.org/10.3390/agronomy12020338

