Abstract
Humic acids (HAs) regulate soil chemical reactivity and improve many soil functions. The amendment of soil with organic materials increases soil organic matter (SOM) content and promotes the formation of HAs. However, the effect of the type, frequency and duration of amendment, and pedoclimatic conditions on SOM transformation and HA structural changes remains unclear. Herein, four experimental field sites (S1–4) with short-to-long-term organic fertilisation schemes were used to assess the effects of such factors, i.e., S1: loamy sand amended once with farmyard manure (FYM), brown coal waste (BCW), and biochar (BIO) for 0.5 and 1.5 years; S2: silt loam amended once with BIO for 8 years; S3: loamy sand amended every 5 years with FYM for 94 years; and S4: clayey silt amended every 2 years with FYM for 116 years. All HAs were extracted and analysed for structural differences by elemental analysis (EA), attenuated total reflectance–Fourier transform infrared spectroscopy (ATR-FTIR), solid-state cross polarisation magic angle spinning nuclear magnetic resonance spectroscopy (CP/MAS 13C-NMR), and differential scanning calorimetry (DSC). Results from EA, FTIR, and NMR showed that the long-term samples from S3 (treatments, T9–T10) and S4 (T11–T12) had the greatest aromatic characteristics, which increased with FYM amendment (T10 and T12). These agreed with DSC data, which indicated lower aliphatic contents compared with other samples. Samples from S2 (T7–T8), with receded amendment effects, had less aromatic and greater aliphatic characteristics compared with the short-term samples, S1 (T1–T6). In S1, structural changes were limited, but aromaticity increased with BIO (T3 and T6) compared with corresponding FYM (T1 and T4) and BCW (T2 and T5) amendments due to inherently high aromatic groups in the former. Overall, the results showed that the site (due to differences in pedoclimatic conditions), field age of OM, and amendment frequency were the main factors that influenced HA structure, and hence SOM transformation. Regular, long-term organic amendment increases the aromatic characteristics of HAs, which can improve soil functionality, but short-term structural improvements are achievable only when amending material is rich in aromatic compounds.
1. Introduction
The amendment of agricultural and marginal soils with organic materials increases soil organic matter (SOM), enhancing soil resilience through improvements in soil physical, chemical, and biological properties [1,2,3]. Organic residues in soil are biologically transformed to their inorganic forms via mineralisation. The remaining detritus is then transformed by humification into humic substances (HSs) [4]. This increases the aromatic characteristics of SOM, thus making HSs highly resistant to further decomposition and a potential long-term sink for C in soil [5].
The main components of HSs are humic acids (HAs), which have diverse functional groups that interact with several soil components [6,7]. During the transformation of SOM, C is preferentially concentrated in HAs relative to fulvic acids, the secondary components of HSs [8]. Thus, the elemental ratios of C in HAs, especially C/N, are used as indicators of humification and aromatisation [7,9,10]. At the latter stages of humification, the structural complexity of HAs increases, leading to the formation of complex substituted aromatic and carboxylic functional groups, which behave as di- or tribasic acids. This enhances their surface charge and reactivity, making them important for nutrient retention and contaminant immobilisation in soil [10,11,12,13]. The benefits of HAs in soil are far-ranging and are well reported in the literature, including improvement of soil structure (water holding capacity, aeration, and aggregation) and promotion of plant growth through biostimulation (enzymatic activation, microbial growth stimulation, and root elongation) [12,14,15]. This highlights the suitability of HA-rich organic amendments for both environmental and agricultural applications [1,10,16].
Biochar and brown coal waste (BCW) are carbonised organic materials which have high proportions of recalcitrant OM, and by extension higher levels of HAs with aromatic characteristics, compared with other organic amendments such as farmyard manure (FYM) and composts [17,18,19]. Thus, the differences in the contents of aromatic compounds or degree of humification in such materials create significant variation in the structure of HAs [5,7,20]. In addition, this is influenced by the field age of OM, amendment dosage, and amendment frequency [7,15,16,21]. A synthesis based on data from 48 studies showed that soil organic C dynamics were strongly affected by C input, duration of experiment, and the management practices used, and less influenced by pedological and climate parameters [22]. However, it is not clear as to how the aforementioned factors affect SOM transformation and the attendant changes in the structure of HAs [23]. This knowledge is important because it will provide information on the presence and relative proportions of relevant functional groups, especially aromatic and aliphatic compounds, which reflect the extent of mineralisation or humification in soil [24,25]. Thus, the differences in the structure of HAs from soils amended with organic materials can be used as a proxy for assessing the transformation of SOM and potential soil functionality [6,16,26].
The objective of this study, therefore, was to investigate changes in the structure of HAs in organic (FYM, biochar, and BCW) amended soils as a proxy for evaluating the transformation of SOM, as well as how the structural characteristics of HAs are affected by the following factors: field age of OM, amendment dosage and frequency, and the aromatic content of the amendment. The differences in structural characteristics and potential functionality of SOM were investigated using attenuated total reflectance–Fourier transform infrared spectroscopy (ATR-FTIR), solid-state cross polarisation magic angle spinning nuclear magnetic resonance spectroscopy (CP/MAS 13C-NMR), and differential scanning calorimetry (DSC). In addition, elemental analysis (EA) was used to determine the C and N composition of HAs.
2. Materials and Methods
2.1. Study Sites and Soil Sampling
Soil samples were collected from four sites (S1–S4) ranging from short- to long-term field experiments. The physicochemical characteristics of soil from all sites are presented in Table 1. The organic amendments used across the sites were FYM, BCW, and biochar (BIO), which were applied to soil at rates between 30 and 72 t ha−1 and amendment frequencies of 2–8 years (Table 2). The study mainly focused on the variations in the characteristics of HAs introduced to treatments due to differences in organic amendments (type, application dosage, and application frequency) and duration of experiment (field age of the amendments). Thus, ‘sites’ in this study are defined by the different experimental trials rather than the locations.
Table 1.
Properties of soil at the experimental sites.
Table 2.
Description of experimental sites and treatments.
2.1.1. Site 1: Microplot Field Trial in Skierniewice, Poland
This trial was established at the Experimental Station of the Agricultural Institute of prof. Marian Górski in Skierniewice (ESAIMGS) (51°58′ N, 20°34′ E) in April 2017 to evaluate the effect of organic amendments on soil quality and crop productivity (cultivated in a cropping sequence of corn and potato). The following amendments: FYM, BCW, and conifer chip BIO were added to soil at a rate of C equivalent in 30 t FYM ha−1 once at the start of the trial and combined with and without mineral NPK fertiliser. A full description of the experiment is provided in Amoah-Antwi et al. [27]. Soil samples were collected from a depth of 30 cm from the organic-only plots, i.e., FYM, BCW, and BIO (without NPK fertiliser) at 6 months (T1–T3) and 18 months (T4-T6) from the start of the trial. Samples from this site were designated as short-term SOM sources (Table 2).
2.1.2. Site 2: Experimental Trial in Traismauer, Austria
This field trial was established in Traismauer (48°19′52.6′’ N, 15°44′20.5′’ E) in 2011 to investigate the effect of beech wood BIO (pyrolysis temperature of 550 °C) on soil characteristics, nutrient uptake, and crop yield in two cropping systems (spring barley and sunflower). The BIO was added once at the start of the trial to plots at 0, 30, and 90 t ha−1 wet weight (corrected to 0, 24, and 72 t ha−1 dry weight) corresponding to 0, 1, and 3% w/w of soil. A full description of the experiment and treatments can be found in Karer et al. [28]. Soil samples were collected in 2019 from the unamended control (0 t ha−1) and the 72 t ha−1 BIO plots from each cropping system at a soil depth of 30 cm, mixed to form composite samples per treatment and named T7 and T8, respectively. Thus, from the start of the trial, samples were 8 years old at the time of sampling and designated as medium-term SOM sources (Table 2).
2.1.3. Site 3: Static Fertilisation Field Trial in Skierniewice, Poland
This static fertilisation experiment is located at the ESAIMGS. Ongoing experiments at this station have been evaluating the effects of mineral NPK fertilisers and FYM on soil properties and crop yields in a five-crop rotation system (potatoes, spring barley, legume plants, winter wheat, and rye). The NPK fertilisers are applied in comparable doses at the start of the planting season as follows: 90 kg N ha−1, 26 kg P ha−1, and 91 kg K ha−1, singly or in combination with FYM, which is added every five years at 30 t ha−1. Plots are limed with 1.6 t Ca every four years to regulate pH. A full experimental information can be found in Mercik et al. [29]. An unamended soil sample was collected from outside the experimental plots at ESAIMGS (T9) and used as a control in addition to sampling from the FYM + Ca plot (T10), both at a sampling depth of 30 cm in autumn 2018. This is 94 years from the start of the trial and was thus designated as long-term SOM sources (Table 2). Sample T9 was also considered as a control for the samples from S1.
2.1.4. Site 4: Static Fertilisation Experiment in Bad-Lauchstadt, Germany
The Static Fertilisation Experiment at Bad-Lauchstadt (51°24′N, 11°53′E) was established in 1902. Treatments included FYM added to soil at 0, 20, and 30 t ha−1 every two years with different combinations of mineral NPK fertiliser adapted to various crop requirements in a crop rotation system comprising sugar beet, spring barley, potatoes, and winter wheat. Detailed experimental information is presented in Merbach and Schulz [31]. Soil samples were taken from archived samples collected in 2018 from the top 20 cm of the unfertilised control and the 30 t ha−1 FYM (only) plots across all crop systems and mixed to form composite samples per treatment, named T11 and T12, respectively. Samples were 116 years old at the time of sampling and were thus designated long-term SOM sources (Table 2).
2.2. Humic Acid Extraction and Characterisation
Plots at S3 were limed and also, Chernozems have characteristically high calcium contents. Therefore, air-dried soil samples (100 g) from all field trials (Sites 1–4) were passed through a 2 mm sieve and added to 1 L of 0.05 M HCl for 24 h to decalcify them. The supernatant was decanted, and the remaining soil was repeatedly washed with distilled water by centrifuging at 3500× g for 20 min (same settings used throughout the procedure) until a neutral soil pH was attained. The HAs were then extracted from the decalcified soil by the standard procedures recommended by the International Humic Substances Society (IHSS) with some modifications [32]. Soil was extracted with 1 L of 0.5 M NaOH for 24 h, followed by centrifugation, after which the supernatant containing a mixture of humic and fulvic acids was separated and the remaining soil residue discarded. The supernatant was acidified to pH 1–2 by adding 50–100 mL of 6 M HCl and left for 24 h to precipitate. After centrifuging, the fulvic acid-containing supernatant was discarded, leaving HAs as precipitate. A 100–150 mL mixture of 0.3 M HCl and 0.3 M HF was added to the sample to de-ash and remove impurities from the HAs, followed by centrifugation after 24 h. This step was repeated twice, after which the HA sample was washed repeatedly with distilled water, with each round followed by centrifugation until a neutral pH indicating the absence of chlorides was attained. The supernatant was decanted and the HAs extracts were freeze-dried (STERIS Lyovac GT2, Steris Corporation, Hürth, Germany). The dry HA samples were quantified and characterised by EA, ATR-FTIR, CP/MAS 13C-NMR, and DSC (with thermogravimetric analysis, TGA).
2.2.1. Elemental Analysis (EA)
The total C and N compositions of HA samples were determined using a CHN analyser (TruSpec Micro Elemental Analyser, Leco Corporation, MI, USA). Three (3) mg dried HA samples were used, and analyses were conducted in triplicate. The C/N ratio was calculated from the mean of these results to determine the degree of condensation of organic compounds in the samples.
2.2.2. Differential Scanning Calorimetry (DSC)
Before analysing samples by DSC, TGA was carried out on two randomly selected HA samples (T3 and T12) using a TGA-50 Shimadzu thermogravimetric analyser (Shimadzu Corporation, Kyoto, Japan) to assess their thermal stability. For this, 5 mg samples were combusted from room temperature up to 800 °C with a heat ramp of 10 °C min−1. The TGA profiles of the samples were obtained as a percentage weight loss relative to the initial sample weight. Results from TGA indicated low thermal stability of both HA samples at high temperatures. Consequently, to ensure relatively high thermal stability of HAs during the DSC analysis, we placed 5 mg dry samples in high pressure pans with gold-coated copper seals and analysed them in duplicate in a DSC equipment (Discovery DSC 250, TA Instruments, Wakefield, MA, USA) from −70 to 300 °C at 10 °C min−1. Changes in heat flow from samples were measured, and thermal effects were established for different transitions.
2.2.3. ATR-FTIR Spectroscopy
The ATR-FTIR analysis was used as a fingerprint technique to determine the presence of functional groups (e.g., the C=C of aromatic rings or the C=O of carboxyl groups) in HAs by identifying their characteristic absorption peaks. An advantage of the ATR technology (over transmission FTIR) is that it requires little or no sample preparation and prevents scattering in spectra. Infrared spectra were obtained at room temperature on an FTIR instrument equipped with a germanium crystal ATR accessory (Perkin Elmer Spectrum One, PerkinElmer Inc., Waltham, MA, USA) with a scanning range of 4000–800 cm−1. The HA samples (10 mg) were spread to fully cover a sample disc, scanned 30 times in the selected wavelength region and analysed in triplicate.
2.2.4. CP/MAS 13C-NMR Spectroscopy
The CP/MAS 13C-NMR analysis was used to identify different functional groups in the HAs by detecting chemical shifts caused by differences in their C configuration. Solid-state NMR spectra were obtained on a Bruker AVIIIHD 500 MHz spectrometer (Bruker Corporation, Karlsruhe, Germany) with CPMAS technology operated at the 13C resonance frequency of 75 MHz. The magic angle spin frequency was 10 kHz, with an acquisition time of 1 ms, a cycle delay time of 0.5 s, and 31,128 scans. The spectra obtained were divided into four regions and integrated as follows: 0–50 ppm (Alkyl-C), 50–110 pm (O-alkyl), 110–160 ppm (aromatic), 160–200 ppm (carbonyl) [32].
2.2.5. Statistical Analysis
For each analysis, data were compared across all treatments (T1-T12). For EA, the dataset was imported into R software (version 4.1.2, R Core Team, Vienna, Austria) and analysed for differences among means of variables using ANOVA. For ATR-FTIR analysis, the spectral baseline was corrected and normalised to 1 absorbance unit. Source data were imported to Microsoft Office Excel 2010, and the mean absorbance of replicates was calculated and used for plotting spectra. Absorbances at the following wavelengths: 2920, 2850, 1720, and 1620 cm−1 were selected and analysed for differences between treatments using ANOVA in R software. For CP/MAS 13C-NMR, the spectra obtained were analysed and integrated in TopSpin® software (version 4.1.3, Bruker BioSpin GmbH, Rheinstetten, Germany). For each sample, the ratio of each of the four defined regions relative to the total area was calculated by integrating the corresponding region under the spectral curve. Aromaticity was expressed as a percentage of the integrated area under 110–160 ppm relative to the sum of the areas under 0–50 ppm, 50–110 pm, and 110–160 ppm [32]. For DSC, the source data were analysed and imported into Microsoft Office Excel 2010 for preparation of figures. The relationship between all possible pairs of the following were found by Pearson’s correlation coefficient: absorption intensity of the aromatic peak at 1630 cm−1 of FTIR spectra, the integrated aromatic region (110–160 ppm) of CP/MAS 13C-NMR spectra, and the C/N ratio.
3. Results and Discussion
3.1. Quantity of Humic Acid Samples and Elemental Composition
Humic acid yields ranged from 1.0 to 3.0 g kg−1 (Table 3) and were similar to those found in other studies [33]. Due to the enrichment of high-quality humus in Chernozems, the recovery of HAs from them is reported to be greater than from other soils [30,34]. However, the results from this study revealed two contrasting outcomes. The highest HA yields were found in the clay silt Haplic Chernozem from the long-term trial, S4 (T11-T12), and the lowest in the silt loam Chernozem from the medium-term trial, S2 (T7-T8). This contradicts findings by Ghabbour et al. [35], who found characteristically high HA yields from silt loam soils. Differences between treatments are expected to occur for the sites due to variations in soil type and the prevailing experimental conditions. The slow rate of OM transformation in soil, which can span over several decades, implies that organic amendments have more of a long- than short-term benefit, which improves with repeated soil amendment, once every five years as a minimum [36,37]. Thus, relative to this five-year threshold, the effective application frequencies for trials in S2 (8 years), S3 (5 years), and S4 (2 years) were, respectively, lower, equivalent, and higher. The OM in the soil from the short-term trial was unlikely to be adequately humified, and while collected within 1.5 years of soil amendment, the S1 samples were assigned the lowest possible application frequency within the threshold (5 years), as per the S3 samples, which share common pedoclimatic conditions. The high application rate of BIO in S2 (T8) provided no additional benefits in HA yield over the amendments at the other sites (S1, S3, and S4), which were all applied to soil at substantially lower rates (Table 2). Considering the low frequency of BIO amendment in S2 (once in eight years), we find that this may reflect a potentially receded treatment effect. Due to the absence of an effective gradient in amendment dosages across all sites, it was excluded as a discriminating factor in the analyses.
Table 3.
Quantity, elemental composition, and C/N ratio of HAs.
The HA yields recovered from the S1 and S3 samples (T1-T6 and T9-T10) only differed slightly across treatments (1.7–2.4 g kg−1), and thus revealed no trends in terms of the field age of SOM. Considering the above observation, we found that there was evidence of a substantial site effect (S1/S3 vs. S2 vs. S4), as a result of differences in pedoclimatic conditions, on HA yield. The strong influence of soil type on HA yield has also been highlighted by Zavarzina et al. [38], who found that across the same soil type (Chernozem and Retisol), the recovery of HAs using two alkaline extraction methods were similar. Similar to other studies [39,40], there was an effect of the frequency of amendment and limited influence of field age of SOM on the amount of HAs extracted from soil. However, almost no effect from the quantity of aromatic compounds in the organic amendment was observed, which is contrary to findings by Zhang et al. [41], who found increased HA content of soil, in line with the concentration of aromatic compounds in organic amendments. In this study, the organic amendment known to have a high content of aromatic functional groups, BIO, was either applied to soil less frequently or over a short period of time, thereby limiting any potential differentiation of HA content based on aromaticity of the material alone.
The results from EA were within the ranges: C (43.1–52.7%), N (4.3–6.4%), and C/N (7.2–10.4) (Table 3), similar to those found in the literature [42]. The elemental composition of HAs showed significant variation between sites and chemical heterogeneity between treatments. The C contents varied slightly among samples, except for those from S2 (T7 and T8), which were significantly lower than the others irrespective of the BIO amendment. The deviation in the behaviour of the S2 samples was again observed in terms of the N and C/N values, which were, respectively, higher and lower compared with the other samples. The results show that samples (T10 and T12) from the FYM-amended plots in the long-term trials (S3 and S4) had the lowest N contents, which were significantly lower than their corresponding unamended samples from the same sites (T9 and T11) or samples from the short-term trial (T1-T6). Comparable to the changes that occur during compost maturation, the decrease in the N content of HAs is associated with polycondensation of OM, which is reportedly characterised by oxidative degradation of N-containing groups and aliphatic side chains [24].
High C/N ratios indicate high stability and humification degree of HAs [43]. Samples from S2 aside, the C/N ratios of the other samples were close to 10 (Table 3), which is considered typical for chemically stable organic compounds [26], thus suggesting relatively lower potential for mineralisation in the samples from S1, S3, and S4. Considering the EA (C, N, and C/N) perspective, condensation of OM in HAs was significantly influenced by the field age of the SOM, site, and frequency of organic amendment, but with minimal effect from the quantity of aromatic compounds in the amendment.
3.2. Thermal Characteristics
Samples T3 (BIO) and T12 (FYM), respectively representing short- and long-term sources of SOM, were randomly selected for TGA analysis. Thermograms of the two HA samples (Figure 1) indicated a weight loss of approximately 50% at 500 °C. Compared with similar studies, the rate of sample loss in this study was both faster [44] and slower [41]. Both thermograms showed the three classic thermal events and their reaction-regions: (i) a broad endotherm at 100 °C attributed to moisture loss and the possible volatilisation of small organic compounds; (ii) a broad, moderate-temperature exotherm at 150–240 °C, indicating the combustion of polysaccharides and the loss of some carboxyl, alcohol, and methyl functional groups in aliphatic structures; and (iii) a less distinct exotherm at 430–500 °C related to the cleavage of C=C bonds and the combustion of aromatic structures in lignin.
Figure 1.
Thermograms indicating sample weight loss regions in thermogravimetric analysis (TGA) of humic acids from organic amended soils. Tn—treatment number: T3—biochar (BIO, with field age of 0.5 years) and T12—farmyard manure (FYM, 116 years).
These findings, in addition to the complete degradation of the organic components in samples between 600 and 700 °C (which left behind about 5% of inorganics), have also been reported by others [26,41,44]. There is no evidence of metal complexation in the HAs from the TGA thermograms, as metal complexes would have extended the final decomposition beyond 600 °C as reported by De Souza and Braganca [45]. However, shifts in thermal events are common in some samples, as the combustion of aliphatic structures has also been reported to occur at higher temperatures (250–350 °C) than observed in this study [46,47]. Just before the second TGA exotherm at 430 °C, the point by which almost all aliphatic compounds (approximately 45%) are known to have been degraded, about 55% of each HA sample weight remained.
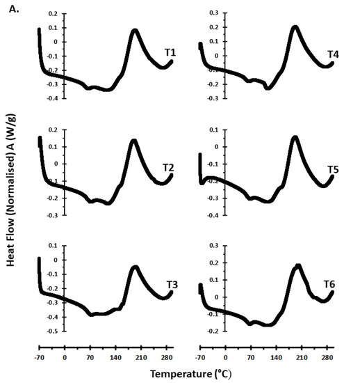
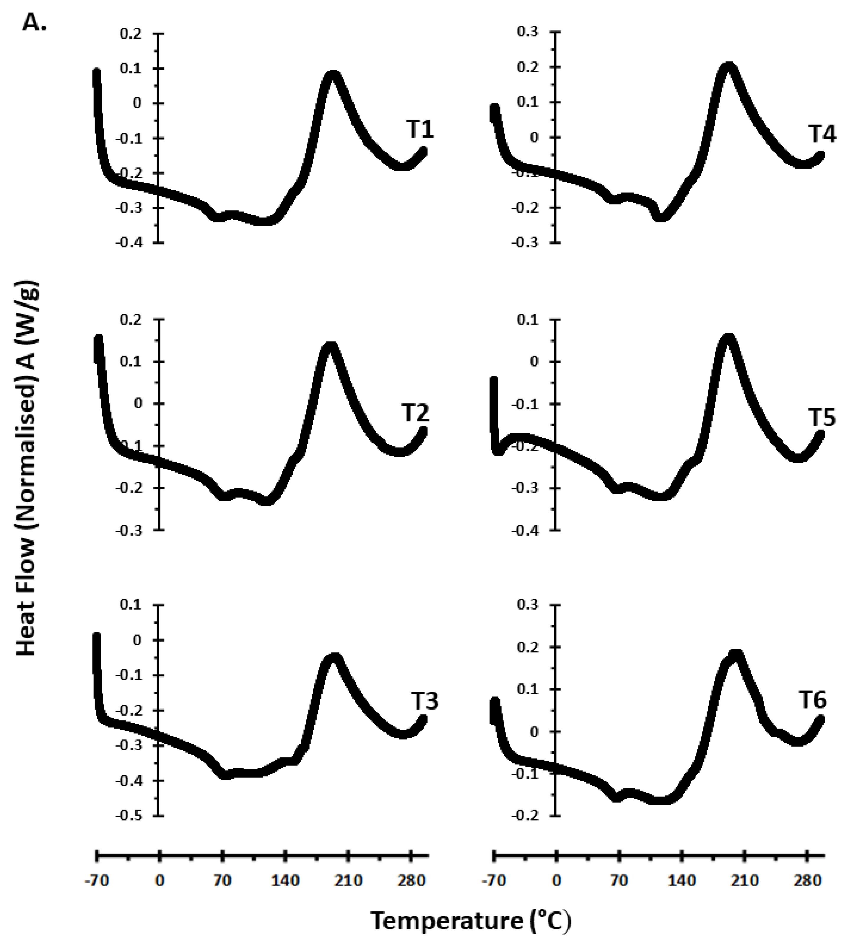
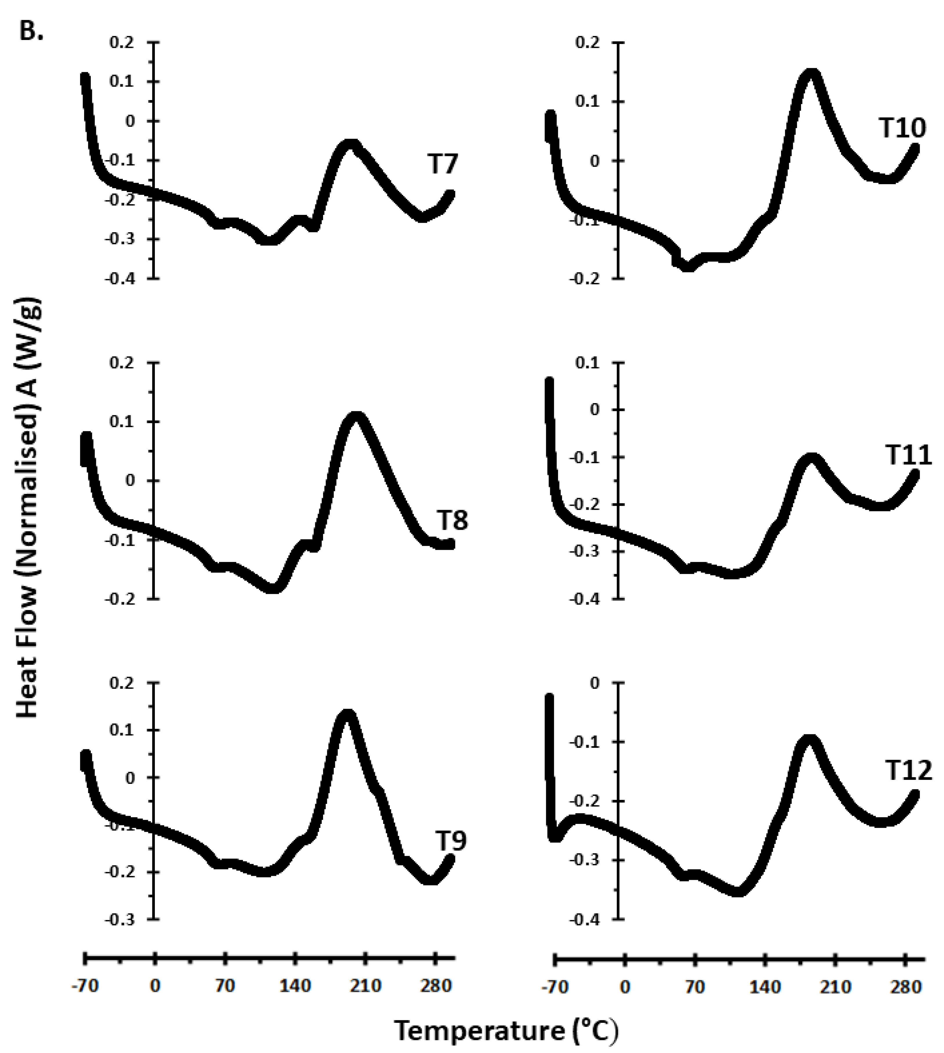
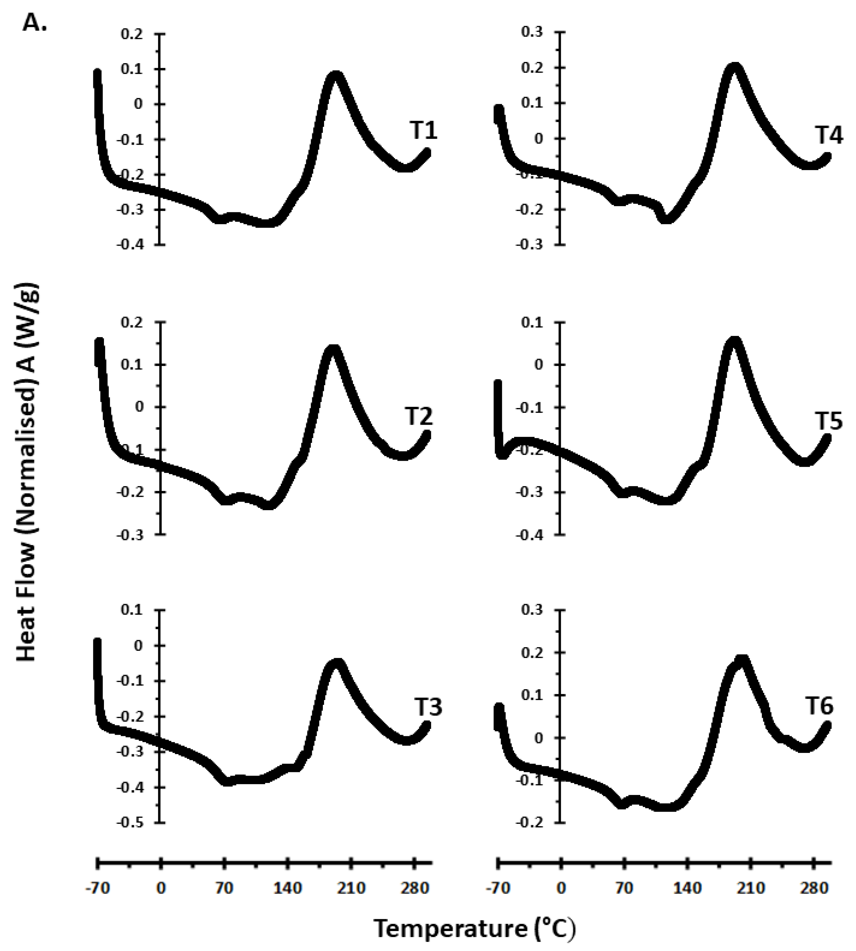
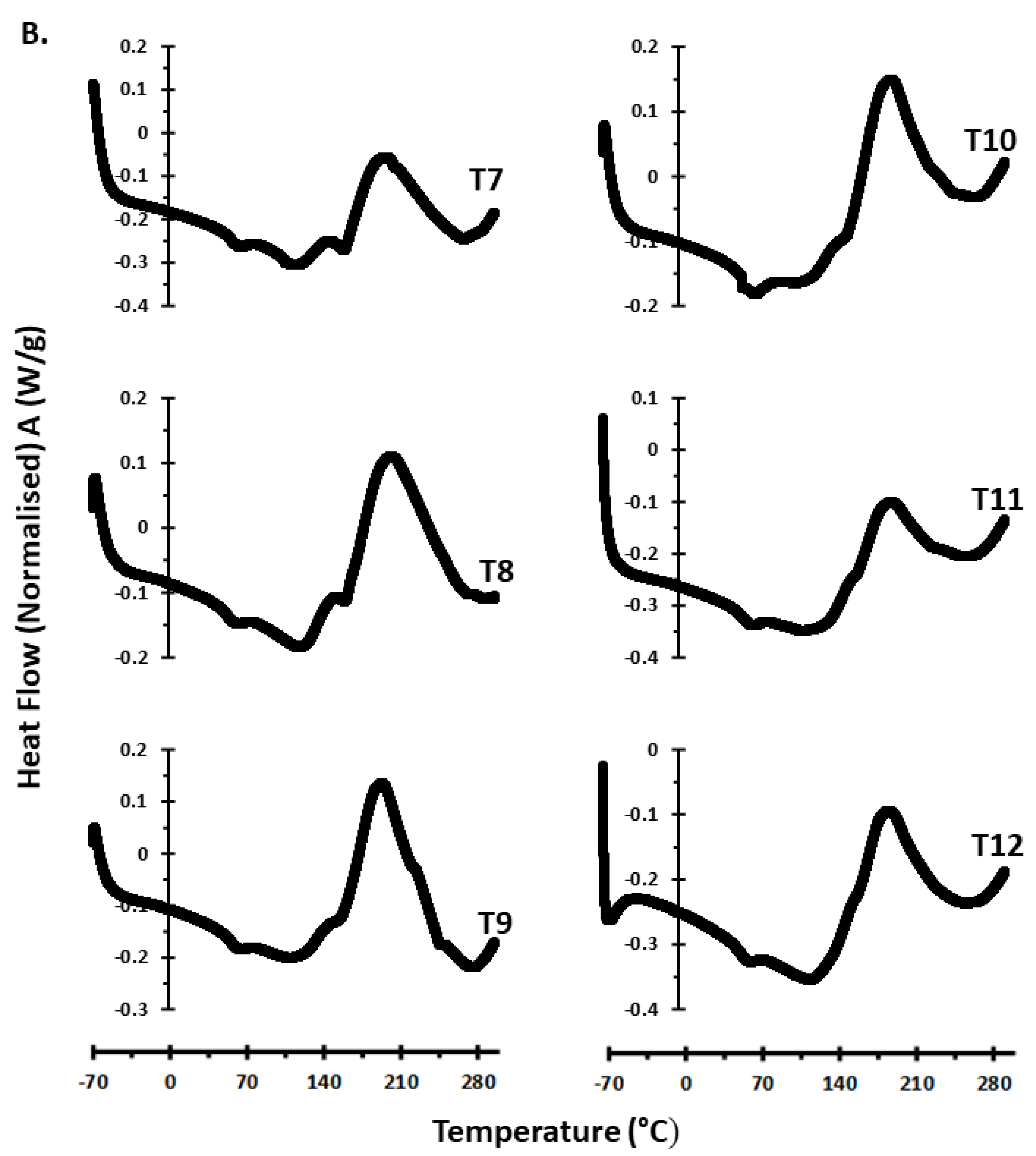
Considering the above, we thus carried out DSC in the temperature range of −70 to 300 °C, within which at least 75% of the initial HA weight remained intact. The DSC curves (Figure 2) in all samples showed three distinct regions, consisting of a broad non-uniform endothermic peak, a sharp exothermic peak, and the beginning of another exothermic peak, as shown by TGA. Considering the widths of these peaks, we established the transition regions R1: 50–150 °C, R2: 150–240 °C, and R3: 240–300 °C. While the endotherm in R1 corresponds to evaporation of water and R2, the decomposition of aliphatic and other thermolabile compounds, R3, is most likely the early phase of the decomposition of aromatic compounds [46,48]. The non-uniformity observed in R1 may reflect the loss of a heterogenous mixture of volatile compounds in addition to water. Despite the marked similarities in the thermograms, differences in chemical structure among samples were identified. The exotherm in R2 begins at relatively higher temperatures for samples T3, T7, and T8 than others, suggesting the presence of considerable levels of thermostable aliphatic compounds in the three samples.

Figure 2.
(A) Differential scanning calorimetry (DSC) thermograms of humic acid samples from soils under different organic amendments. Tn—treatment number: T1—farmyard manure (FYM, with field age of 0.5 years); T2—brown coal waste (BCW, 0.5 years); T3—biochar (BIO, 0.5 years); T4—FYM (1.5 years); T5—BCW (1.5 years); T6—BIO (1.5 years). (B) Differential scanning calorimetry (DSC) thermograms of humic acid samples from soils under different organic amendments. Tn—treatment number: T7—no amendment (with field age of 8 years); T8—BIO (8 years); T9—no amendment (94 years); T10—FYM + Ca (94 years); T11—no amendment (116 years); T12—FYM (116 years).
The shape, height (intensity), and area of peaks determine the rate of transformation and the enthalpies involved. For comparable peak sizes, sharper and more intense peaks represent combustion of high molecular weight compounds, with fast transformations and high enthalpies. This can be observed in samples T1–T2, T4–T6, and T8–T10, and may indicate higher energies involved in the decomposition of aliphatic compounds, e.g., for breaking C–H or O–H bonds. While this may suggest a greater proportion of aliphatic compounds in the above samples compared with the others (T3, T7, and T11-T12), reference to greater aromatic characteristics in the latter group is only implied. The DSC thermograms did not provide evidence of the effect of the quantity of aromatic compounds in the amending material and frequency of organic amendment, but did indicate some site and field age effects, which tended to favour greater aliphatic characteristics in samples from S1–3 and less in those from the long-term trial at S4.
3.3. Structural Composition and Functional Groups
Absorption bands in ATR-FTIR spectra (Figure 3) and their corresponding functional groups were interpreted according to Table S1. Apart from samples T7–T8, there were some similarities in the spectra obtained from the other HA samples. The main bands identified and their peaks were (i) a broad (3700–3300 cm−1) absorption band split into two non-uniform peaks at 3565 cm−1 and 3405 cm−1, which correspond to hygroscopic water and phenolic (and other hydroxyl) groups, respectively; (ii) a small peak at 2920 cm−1, followed by a smaller one at 2850 cm−1, attributed to aliphatic CH stretching; (iii) a strong absorption band (1880–1510 cm−1), which splits at the summit into two peaks, one at 1720 cm−1 corresponding to C=O stretching of COOH, aldehydes, and ketones, and the other at 1630 cm−1 attributed to aromatic C=C vibrations; (iv) a strong peak at 1240–1200 cm−1 representing C=O stretching and OH deformation of COOH groups; (v) a shoulder at 1080–1040 cm−1, which indicates C–O stretching of polysaccharides or aromatic ethers; and (vi) a small peak at 840 cm−1 due to aromatic CH [41,46,47]. Crystal interferences from the ATR accessory occur as absorption bands in the region 2400–2250 cm−1. There were no defined aromatic H bands in the region around 3040 cm−1, indicating that the aromatic compounds present in the HAs were generally highly substituted [41,45,46].
Figure 3.
Attenuated total reflectance–Fourier transform infrared (ATR-FTIR) spectra of humic acids from soils under different organic treatments. Tn—treatment number: T1—farmyard manure (FYM, with field age of 0.5 years), T2—brown coal waste (BCW, 0.5 years), T3—biochar (BIO, 0.5 years), T4—FYM (1.5 years), T5—BCW (1.5 years), T6—BIO (1.5 years), T7—no amendment (8 years), T8—BIO (8 years), T9—no amendment (94 years), T10—FYM + Ca (94 years), T11—no amendment (116 years), and T12—FYM (116 years).
Regardless of the spectral similarities, several variations can be identified at close inspection, especially in the 1900–800 cm−1 region, which is also considered a ‘fingerprint region’ for HAs by others [49,50]. The aforementioned differences in spectra for T7 and T8 were also mostly found in this region and presented as three strong peaks with a shoulder, instead of two strong peaks with a shoulder, as in the other samples. In T7 and T8, there was a slight shift in the peak maxima of the aromatic C=C vibrations from 1630 cm−1 to 1660 cm−1, with a shoulder immediately following at 1540–1520 cm−1 (N–H vibrations of secondary amides) [24], while the C=O stretching at 1720 cm−1 was absent. Moreover, the peak at 1240–1200 cm−1 was less intense, and the shoulder at 1080–1040 cm−1 developed into a stronger peak relative to the other samples. Collectively, these changes indicated reduced condensation and a lower degree of humification in samples T7-T8 [7,10], which can also be inferred from their significantly low C/N ratios (Table 3). The structure of functional groups in both samples were generally similar, another indication that the effects of BIO amendment may have diminished eight years after it was added once to soil, unlike soils from the other sites that had been amended every 2–5 years prior to sampling.
The shoulder at 1540–1520 cm−1 found in T7–T8 also occurred in all samples from the short-term trial (S1), but this was more visible in the 0.5-year-old samples (T1–T3) than the 1.5-year-old samples (T4–T6). In the long-term samples (T9–T10 and T11–T12), the shoulder almost completely disappeared to merge with the peak at 1630 cm−1. Taking T7 and T8 aside, these observations could be attributed to a linear condensation (with age) of secondary amides into more humified aromatic C compounds such as phenols [5,51]. Humified aromatic OM, due to its high content of diverse functional groups, is critical for stabilising soil structure and facilitating the sorption of contaminants and the retention of plant nutrients in soil [13,52,53]. This suggests higher soil quality and better soil functionality in the amended soil from the long-term trials compared with those from the short- and medium-term trials.
A peak in the vicinity of 1365–1385 cm−1 attributed to symmetric deformation of the C–H bond of methyl groups in aliphatic compounds [21] was intense in all short-term samples (T1-T6) but appeared faintly in the medium- and long-term samples. This perhaps is an indication that the decomposition of the aliphatic compounds and aliphatic side chains is a continuous process that increases with field age of SOM. While clear variations among samples of different field age exist, within-site variations, especially among the short-term samples, were limited. However, the unamended sample in S3 (T9) showed a weak aromatic peak at 1630 cm−1 paired with C=O stretching at 1720 cm−1, which transformed into a strong, single aromatic peak in the FYM-amended sample (T10) from the same site. This was corroborated by the presence of a more pronounced aromatic CH peak at 840 cm−1 in T10 than in T9. It is an indication that although FYM is high in labile SOM, it can facilitate a high degree of structural complexity in HAs when applied regularly to soil over a long period of time [9].
The absorption intensities of the major peaks in the FTIR spectra at the following wavelengths: 2920, 2850, 1720, and 1620 cm−1 are presented in Table S2. According to the FTIR spectra, field age and site, followed by frequency of organic amendment, had the strongest influence on differentiation of HA structure, while the quantity of aromatic compounds in the amendment had a limited effect on treatments.
The integrated spectra of HAs determined by solid-state CP-MAS 13C NMR are shown in Figure S1, and results from the integration of the main chemical shift regions (carbonyl C, aromatic C, O–alkyl C, and alkyl C) are presented in Table 4. These revealed the content of aromatic C compounds in all samples to be 21–33%. On the other hand, the fractions of aliphatic compounds were in the range of 43–57%, which correlated well with the 45% content estimated by TGA. Samples with higher relative contents of aromatic C compounds had lower aliphatic C compounds and vice versa. There were clear trends in the calculated values of aromaticity, which indicated higher aromatic contents in samples from the long-term trial in S4, followed by samples from S3 and then S1, while those from S2 were consistently low. The organic amendments mostly increased aromaticity in samples from sites S1, S3, and S4, while there was no apparent treatment effect in samples from site S2. This is evidence that in the samples from S2, organic amendment only slightly modified the original long alkyl chains of HAs after eight years, even if the high aromatic functional groups in BIO may have induced some initial structural changes [23].
Table 4.
Relative intensity of C functional groups in HAs measured by SS-13CPMAS-NMR.
In the samples from S1, aromaticity in HAs from BIO-amended soils were particularly higher than their corresponding FYM and BCW treatments and seemed to increase with field age (i.e., 1.5 > 0.5 year). In addition to being highly processed, the recalcitrance of BIO is in part due to its high content of humified OM, which makes the observed high aromaticity of the BIO treatments to be expected and consistent with findings from other studies [41]. Conversely, due to the high level of labile SOM in FYM, the aromaticity of HAs from the relatively fresh (0.5-year-old) sample, T1, was as low as in the unamended treatment, T9. However, when FYM is decomposed over a long period of time, as in T10 and T12, it can be an important source of complex aromatic compounds, which is in agreement with other studies [5]. The NMR spectra revealed that the structural characteristics of HAs were strongly influenced by site, field age, the quantity of aromatic compounds in the amending material and frequency of organic amendment.
The correlation between the C/N ratio and fraction of aromatic C (determined by NMR) of the HA samples was moderately positive (R = 0.6) (Figure 4). This suggests that the degradation and condensation of SOM are somewhat intrinsically linked with the formation of aromatic compounds in HAs [7,10]. However, the concentration of aromatic compounds determined by FTIR was poorly correlated with the C/N ratio (R = −0.004), and thus there was a weak relationship between the NMR and FTIR (R = 0.018) aromatic fractions. This could have been due to band shifts in the FTIR spectra resulting from interaction of OM with polyvalent cations, which is suggested to shift the wavenumber region of functional groups [54,55].
Figure 4.
Relationship between the fraction of aromatic compounds estimated in CP/MAS 13C-NMR and C/N ratio. Correlation coefficients were determined by Pearson’s correlation (p < 0.05).
4. Conclusions
Transformation of SOM involves complex structural transformations that make single analytical techniques unreliable for measuring the evolution of HA structures. This study therefore used multiple analytical approaches—EA, ATR-FTIR, CP/MAS 13C-NMR, and DSC—to compare across techniques. The EA, ATR-FTIR, and CP/MAS 13C-NMR showed that samples from the long-term trials, especially S4, had the greatest fraction of humified aromatic functional groups, which is supported by evidence of a low content of aliphatic compounds from the DSC thermograms. Long-term organic amendments (in T10 and T12) clearly enhanced the aromatic structure of HAs over their respective unamended controls (T9 and T11). Samples from the medium-term trial (S2) had predominantly aliphatic characteristics, which were similar in both the unamended (T7) and BIO-amended (T8) soils, an indication of a diminished treatment effect due to low amendment frequency. Compared with S2, samples from the short-term trial (S1) had a more pronounced aromatic structure, but differentiation among treatments was limited, except for the BIO treatments, which had greater aromatic characteristics than the corresponding FYM and BCW treatments.
Overall, the results showed that HA structure varied considerably with (i) site, due to differences in pedoclimatic conditions; (ii) field age of SOM, as a function of increasing degree of condensation and humification; and (iii) frequency of amendment, an indicator of the rate at which mineralised organic material is replenished to accumulate humified OM. An effect of the quantity of aromatic compounds in the organic amendment was observed solely in the short term, and only for BIO, which has a high content of aromatic compounds. Increasing the aromatic characteristics of soil HAs improves soil functionality (e.g., soil structure, nutrient retention, and contaminant immobilisation), which is relevant in both agricultural and environmental contexts. This can be achieved by regular, long-term soil amendment with these organic materials. Only when the amendment material already contains considerable humified aromatic OM (e.g., biochar) can some limited structural transformations be expected in the short term. It was shown that assessing structural changes of HAs is a useful proxy for studying the transformation of SOM and potential functionality of soils amended with different organic materials.
Supplementary Materials
The following supporting information can be downloaded at https://www.mdpi.com/article/10.3390/agronomy12020283/s1, Table S1. Assignment of bands and/or peaks of the main vibration modes and functional groups of FTIR spectra according to Zhang et al. [7], Das et al. [39], and De Souza and Braganca [41], Table S2. Effects of amendments on the relative intensities of the main absorption peaks of FTIR spectra of HAs, Figure S1. Solid-state cross polarisation magic angle spinning nuclear magnetic resonance (CP/MAS 13C-NMR) spectra of humic acids from soils under different organic treatments.
Author Contributions
Conceptualization, J.K.-M., G.M. and S.F.T.; methodology, C.A.-A.; software, C.A.-A.; validation, C.A.-A. and O.F.; formal analysis, C.A.-A.; investigation, C.A.-A.; resources, C.A.-A., J.K.-M. and S.F.T.; data curation, C.A.-A.; writing—original draft preparation, C.A.-A.; writing—review and editing, C.A.-A., O.F., J.K.-M., G.M., S.F.T. and E.S.; visualization, C.A.-A.; supervision, J.K.-M., E.S., S.F.T., O.F. and G.M.; project administration, J.K.-M.; funding acquisition, S.F.T. and J.K.-M. All authors have read and agreed to the published version of the manuscript.
Funding
This research is part of a project that has received funding from the European Union’s Horizon 2020 research and innovation programme under the Marie Skłodowska-Curie grant agreement no 675120.
Acknowledgments
The authors wish to thank Andrea Watzinger (University of Natural Resources and Life Sciences, Vienna) and Ines Merbach (Helmholtz-Centre for Environmental Research) for their assistance in obtaining soil samples from the experimental trial in Traismauer, Austria, and the Static Fertilisation Experiment in Bad-Lauchstadt, Germany, respectively.
Conflicts of Interest
The authors declare no conflict of interest.
References
- Amoah-Antwi, C.; Kwiatkowska-Malina, J.; Szara, E.; Thornton, S.F.; Fenton, O.; Malina, G. Efficacy of woodchip biochar and brown coal waste as stable sorbents for abatement of bioavailable cadmium, lead and zinc in soil. Water Air Soil Pollut. 2020, 231, 515. [Google Scholar] [CrossRef]
- Bondi, G.; Fenton, O.; Sawdekar, P.; Keane, H.; Wall, D.P. Potential of Lacto-Gypsum as an Amendment to Build Soil Quality. Front. Sustain. 2021, 1, 17. [Google Scholar] [CrossRef]
- Babla, M.; Katwal, U.; Yong, M.T.; Jahandari, S.; Rahme, M.; Chen, Z.H.; Tao, Z. Value-added products as soil conditioners for sustainable agriculture. Resour. Conserv. Recycl. 2022, 178, 106079. [Google Scholar] [CrossRef]
- Liaudanskienė, I.; Šlepetienė, A.; Velykis, A. Changes in soil humified carbon content as influenced by tillage and crop rotation. Zemdirb.-Agric. 2011, 98, 227–234. [Google Scholar]
- Mbarek, H.B.; Mahmoud, I.B.; Chaker, R.; Rigane, H.; Maktouf, S.; Arous, A.; Soua, N.; Khlifi, M.; Gargouri, K. Change of soil quality based on humic acid with date palm compost incorporation. Int. J. Recycl. Org. Waste Agric. 2019, 8, 317–324. [Google Scholar] [CrossRef]
- Kwiatkowska-Malina, J. Structure and properties of humic substances from brown coal 11 years after addition into soil. Pol. J. Soil Sci. 2009, 2, 167–174. [Google Scholar]
- Zhang, J.; Wang, J.; An, T.; Wei, D.; Chi, F.; Zhou, B. Effects of long-term fertilization on soil humic acid composition and structure in Black Soil. PLoS ONE 2017, 12, e0186918. [Google Scholar] [CrossRef]
- Song, G.; Novotny, E.H.; Mao, J.D.; Hayes, M.H. Characterization of transformations of maize residues into soil organic matter. Sci. Total Environ. 2017, 579, 1843–1854. [Google Scholar] [CrossRef]
- Kwiatkowska-Malina, J. Properties of soil and elemental composition of humic acids after treatment with brown coal and cow manure. Pol. J. Soil Sci. 2011, 1, 43–50. [Google Scholar]
- Akimbekov, N.S.; Digel, I.; Tastambek, K.T.; Sherelkhan, D.K.; Jussupova, D.B.; Altynbay, N.P. Low-Rank Coal as a Source of Humic Substances for Soil Amendment and Fertility Management. Agriculture 2021, 11, 1261. [Google Scholar] [CrossRef]
- Ali, M.; Mindari, W. Effect of humic acid on soil chemical and physical characteristics of embankment. MATEC Web Conf. EDP Sci. 2016, 58, 1028. [Google Scholar] [CrossRef]
- García, A.C.; de Souza, L.G.A.; Pereira, M.G.; Castro, R.N.; García-Mina, J.M.; Zonta, E.; Lisboa, F.J.G.; Berbara, R.L.L. Structure-property-function relationship in humic substances to explain the biological activity in plants. Sci. Rep. 2016, 6, 1–10. [Google Scholar] [CrossRef] [PubMed]
- Kwiatkowska-Malina, J. Functions of organic matter in polluted soils: The effect of organic amendments on phytoavailability of heavy metals. Appl. Soil Ecol. 2018, 123, 542–545. [Google Scholar] [CrossRef]
- Ciarkowska, K.; Sołek-Podwika, K.; Filipek-Mazur, B.; Tabak, M. Comparative effects of lignite-derived humic acids and FYM on soil properties and vegetable yield. Geoderma 2017, 303, 85–92. [Google Scholar] [CrossRef]
- Pukalchik, M.; Kydralieva, K.; Yakimenko, O.; Fedoseeva, E.; Terekhova, V. Outlining the potential role of humic products in modifying biological properties of the soil—a review. Front. Environ. Sci. 2019, 7, 80. [Google Scholar] [CrossRef]
- Giannis, A.; Gidarakos, E.; Skouta, A. Application of sodium dodecyl sulfate and humic acid as surfactants on electrokinetic remediation of cadmium-contaminated soil. Desalination 2007, 211, 249–260. [Google Scholar] [CrossRef]
- Jindo, K.; Sánchez-Monedero, M.A.; Matsumoto, K.; Sonoki, T. The efficiency of a low dose of biochar in enhancing the aromaticity of humic-like substance extracted from poultry manure compost. Agronomy 2019, 9, 248. [Google Scholar] [CrossRef]
- Mikos-Szymańska, M.; Schab, S.; Rusek, P.; Borowik, K.; Bogusz, P.; Wyzińska, M. Preliminary study of a method for obtaining Brown coal and biochar based granular compound fertilizer. Waste Biomass Valorization 2019, 10, 3673–3685. [Google Scholar] [CrossRef]
- Amoah-Antwi, C.; Kwiatkowska-Malina, J.; Thornton, S.F.; Fenton, O.; Malina, G.; Szara, E. Restoration of soil quality using biochar and brown coal waste: A review. Sci. Total Environ. 2020, 722, 137852. [Google Scholar] [CrossRef]
- Antilén, M.; Silva, K.; Acevedo, S.; Amiama, F.; Faúndez, M.; Knicker, H.; Pizarro, C. Characterization of humic acids extracted from biosolid amended soils. J. Soil Sci. Plant Nutr. 2014, 14, 1005–1020. [Google Scholar] [CrossRef]
- Asing, J.; Wong, N.C.; Lau, S. Optimization of extraction method and characterization of humic acid derived from coals and composts. J. Trop. Agric. Food Sci. 2009, 37, 211–223. [Google Scholar]
- Fujisaki, K.; Chevallier, T.; Chapuis-Lardy, L.; Albrecht, A.; Razafimbelo, T.; Masse, D.; Ndour, Y.B.; Chotte, J.L. Soil carbon stock changes in tropical croplands are mainly driven by carbon inputs: A synthesis. Agric. Ecosyst. Environ. 2018, 259, 147–158. [Google Scholar] [CrossRef]
- Cybulak, M.; Sokołowska, Z.; Boguta, P. Impact of biochar on physicochemical properties of Haplic Luvisol soil under different land use: A plot experiment. Agronomy 2019, 9, 531. [Google Scholar] [CrossRef]
- Amir, S.; Hafidi, M.; Merlina, G.; Hamdi, H.; Revel, J.C. Elemental analysis, FTIR and 13C-NMR of humic acids from sewage sludge composting. Agron. EDP Sci. 2004, 24, 13–18. [Google Scholar] [CrossRef]
- Lucas, E.G.; Izquierdo, C.G.; Fernández, M.T.H. Changes in humic fraction characteristics and humus-enzyme complexes formation in semiarid degraded soils restored with fresh and composted urban wastes. A 5-year field experiment. J. Soils Sediments 2018, 18, 1376–1388. [Google Scholar] [CrossRef]
- Moraes, G.M.D.; Xavier, F.A.D.S.; Mendonça, E.D.S.; Araújo Filho, J.A.D.; Oliveira, T.S.D. Chemical and structural characterization of soil humic substances under agroforestry and conventional systems. Rev. Bras. De Ciência Do Solo 2011, 35, 1597–1608. [Google Scholar] [CrossRef]
- Amoah-Antwi, C.; Kwiatkowska-Malina, J.; Fenton, O.; Szara, E.; Thornton, S.F.; Malina, G. Holistic Assessment of Biochar and Brown Coal Waste as Organic Amendments in Sustainable Environmental and Agricultural Applications. Water Air Soil Pollut. 2021, 232, 1–25. [Google Scholar] [CrossRef]
- Karer, J.; Wimmer, B.; Zehetner, F.; Kloss, S.; Soja, G. Biochar application to temperate soils: Effects on nutrient uptake and crop yield under field conditions. Agric. Food Sci. 2013, 22, 390–403. [Google Scholar] [CrossRef]
- Mercik, S.; Stepien, W.; Łabetowicz, J. The fate of nitrogen, phosphorus and potassium in long-term experiments in Skierniewice. J. Plant. Soil Sci. 2000, 163, 273–278. [Google Scholar] [CrossRef]
- Altermann, M.; Rinklebe, J.; Merbach, I.; Körschens, M.; Langer, U.; Hofmann, B. Chernozem—soil of the year 2005. J. Plant Nutr. Soil Sci. 2005, 168, 725–740. [Google Scholar] [CrossRef]
- Merbach, I.; Schulz, E. Long-term fertilization effects on crop yields, soil fertility and sustainability in the Static Fertilization Experiment Bad Lauchstädt under climatic conditions 2001–2010. Arch. Agron. Soil Sci. 2013, 59, 1041–1057. [Google Scholar] [CrossRef]
- Kuwatsuka, S.; Watanabe, A.; Itoh, K.; Arai, S. Comparison of two methods of preparation of humic and fulvic acids, IHSS method and NAGOYA method. Soil Sci. Plant Nutr. 1992, 38, 23–30. [Google Scholar] [CrossRef]
- De Mastro, F.; Cocozza, C.; Traversa, A.; Savy, D.; Abdelrahman, H.M.; Brunetti, G. Influence of crop rotation, tillage and fertilization on chemical and spectroscopic characteristics of humic acids. PLoS ONE 2019, 14, e0219099. [Google Scholar] [CrossRef] [PubMed]
- Kholodov, V.A.; Yaroslavtseva, N.V.; Konstantinov, A.I.; Perminova, I.V. Preparative yield and properties of humic acids obtained by sequential alkaline extractions. Eurasian Soil Sci. 2015, 48, 1101–1109. [Google Scholar] [CrossRef]
- Ghabbour, E.A.; Davies, G.; Daggett Jr, J.L.; Worgul, C.A.; Wyant, G.A.; Sayedbagheri, M.M. Measuring the humic acids content of commercial lignites and agricultural top soils in the national soil project. Ann. Environ. Sci. 2012, 6, 1–12. [Google Scholar]
- Dong, X.; Li, G.; Lin, Q.; Zhao, X. Quantity and quality changes of biochar aged for 5 years in soil under field conditions. Catena 2017, 159, 136–143. [Google Scholar] [CrossRef]
- Bonanomi, G.; De Filippis, F.; Zotti, M.; Idbella, M.; Cesarano, G.; Al-Rowaily, S.; Abd-ElGawad, A. Repeated applications of organic amendments promote beneficial microbiota, improve soil fertility and increase crop yield. Appl. Soil Ecol. 2020, 156, 103714. [Google Scholar] [CrossRef]
- Zavarzina, A.G.; Kravchenko, E.G.; Konstantinov, A.I.; Perminova, I.V.; Chukov, S.N.; Demin, V.V. Comparison of the properties of humic acids extracted from soils by alkali in the presence and absence of oxygen. Eurasian Soil Sci. 2019, 52, 880–891. [Google Scholar] [CrossRef]
- Fernández, J.M.; Hockaday, W.C.; Plaza, C.; Polo, A.; Hatcher, P.G. Effects of long-term soil amendment with sewage sludges on soil humic acid thermal and molecular properties. Chemosphere. 2008, 73, 1838–1844. [Google Scholar] [CrossRef]
- Gerzabek, M.H.; Pichlmayer, F.; Kirchmann, H.; Haberhauer, G. The response of soil organic matter to manure amendments in a long-term experiment at Ultuna, Sweden. Eur. J. Soil Sci. 1997, 48, 273–282. [Google Scholar] [CrossRef]
- Zhang, X.; Dou, S.; Ndzelu, B.S.; Guan, X.W.; Zhang, B.Y.; Bai, Y. Effects of different corn straw amendments on humus composition and structural characteristics of humic acid in black soil. Commun. Soil Sci. Plant Anal. 2020, 51, 107–117. [Google Scholar] [CrossRef]
- Heymann, K.; Mashayekhi, H.; Xing, B. Spectroscopic analysis of sequentially extracted humic acid from compost. Spectrosc. Lett. 2005, 38, 293–302. [Google Scholar] [CrossRef]
- Sarlaki, E.; Paghaleh, A.S.; Kianmehr, M.H.; Vakilian, K.A. Chemical, spectral and morphological characterization of humic acids extracted and membrane purified from lignite. Chem. Chem. Technol. 2020, 14, 353–361. [Google Scholar] [CrossRef]
- Li, Y.; Zhang, Y.; Chang, L.; Zi, C.; Liang, G.; Zhang, D.; Xie, W. Analyses on thermal stability of lignites and its derived humic acids. Energy Sources Part A Recovery Util. Environ. Eff. 2020, 1–12. [Google Scholar] [CrossRef]
- De Souza, F.; Bragança, S.R. Extraction and characterization of humic acid from coal for the application as dispersant of ceramic powders. J. Mater. Res. Technol. 2018, 7, 254–260. [Google Scholar] [CrossRef]
- Das, T.; Saikia, B.K.; Baruah, B.P.; Das, D. Characterizations of humic acid isolated from coals of two Nagaland Coalfields of India in relation to their origin. J. Geol. Soc. India 2015, 86, 468–474. [Google Scholar] [CrossRef]
- Boguta, P.; Sokołowska, Z.; Skic, K. Use of thermal analysis coupled with differential scanning calorimetry, quadrupole mass spectrometry and infrared spectroscopy (TG-DSC-QMS-FTIR) to monitor chemical properties and thermal stability of fulvic and humic acids. PLoS ONE 2017, 12, e0189653. [Google Scholar] [CrossRef]
- Laplante, M.; Mehrotra, A.K. An investigation of the interactions between organic contaminants and soil humic acids using DSC. Adv. Environ. Res. 1999, 2, 467–484. [Google Scholar]
- Gondar, D.; Lopez, R.; Fiol, S.; Antelo, J.M.; Arce, F. Characterization and acid–base properties of fulvic and humic acids isolated from two horizons of an ombrotrophic peat bog. Geoderma 2005, 126, 367–374. [Google Scholar] [CrossRef]
- Naithani, V.; Singh, A.P.; Nautiyal, M.K. Spectroscopic Characterization of Humic Acids Extracted from Different Type of Soils of Punjab. J. Indian Soc. Soil Sci. 2017, 65, 24–31. [Google Scholar] [CrossRef]
- El Hassani, F.Z.; Fadile, A.; Faouzi, M.; Zinedine, A.; Merzouki, M.; Benlemlih, M. The long term effect of Olive Mill Wastewater (OMW) on organic matter humification in a semi-arid soil. Heliyon 2020, 6, e03181. [Google Scholar] [CrossRef] [PubMed]
- Senesi, N.; Plaza, C. Role of humification processes in recycling organic wastes of various nature and sources as soil amendments. Clean-Soil Air Water 2007, 35, 26–41. [Google Scholar] [CrossRef]
- Polyakov, V.; Abakumov, E. Assessments of Organic Carbon Stabilization Using the Spectroscopic Characteristics of Humic Acids Separated from Soils of the Lena River Delta. Separations 2021, 8, 87. [Google Scholar] [CrossRef]
- El Fels, L.; Zamama, M.; Hafidi, M. Advantages and limitations of using FTIR spectroscopy for assessing the maturity of sewage sludge and olive oil waste co-composts. In Biodegradation and Bioremediation of Polluted Systems: New Advances and Technologies; InTech: London, UK, 2015; pp. 127–144. [Google Scholar]
- Ellerbrock, R.H.; Gerke, H.H. FTIR spectral band shifts explained by OM–cation interactions. J. Plant Nutr. Soil Sci. 2021, 184, 388–397. [Google Scholar] [CrossRef]
Publisher’s Note: MDPI stays neutral with regard to jurisdictional claims in published maps and institutional affiliations. |
© 2022 by the authors. Licensee MDPI, Basel, Switzerland. This article is an open access article distributed under the terms and conditions of the Creative Commons Attribution (CC BY) license (https://creativecommons.org/licenses/by/4.0/).




