Beneficial Soil Microbes Negatively Affect Spider Mites and Aphids in Pepper
Abstract
:1. Introduction
2. Materials and Methods
2.1. Plants
2.2. Herbivores
2.3. Plant Inoculation with Microbes
2.4. Herbivore Performance
2.5. Plant Growth Parameters
2.6. Statistical Analysis
3. Results
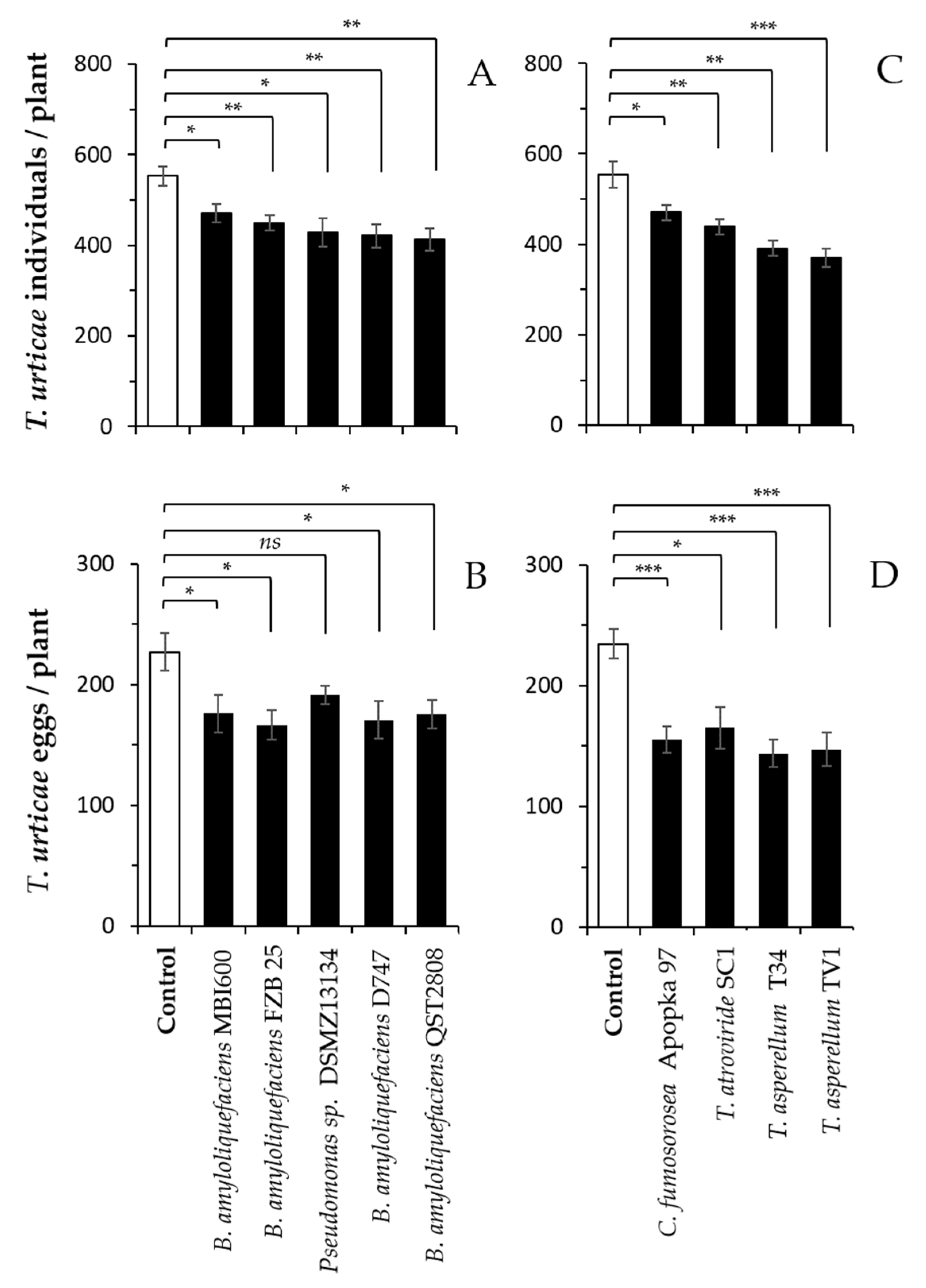
3.1. Spider Mite Performance
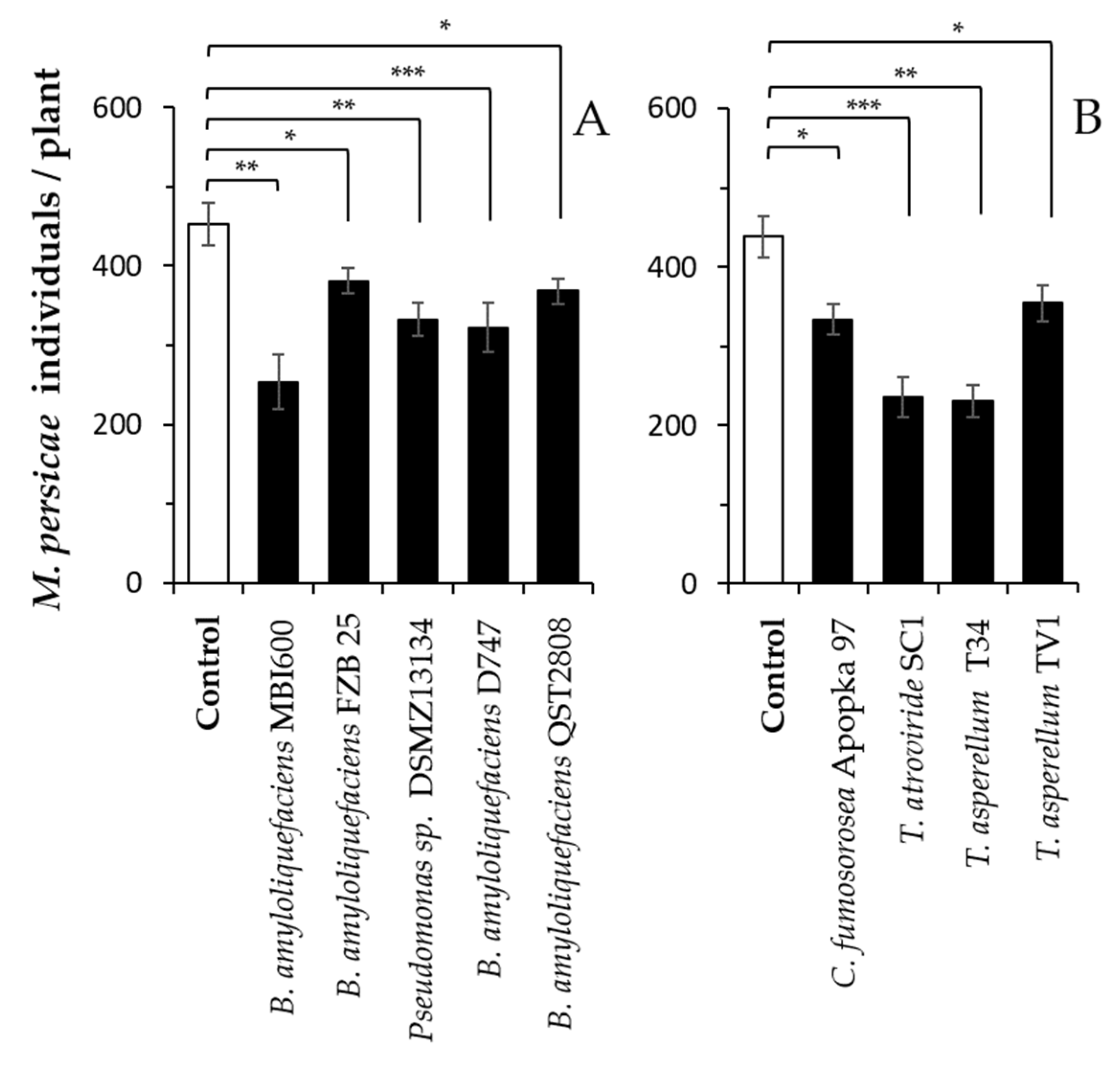
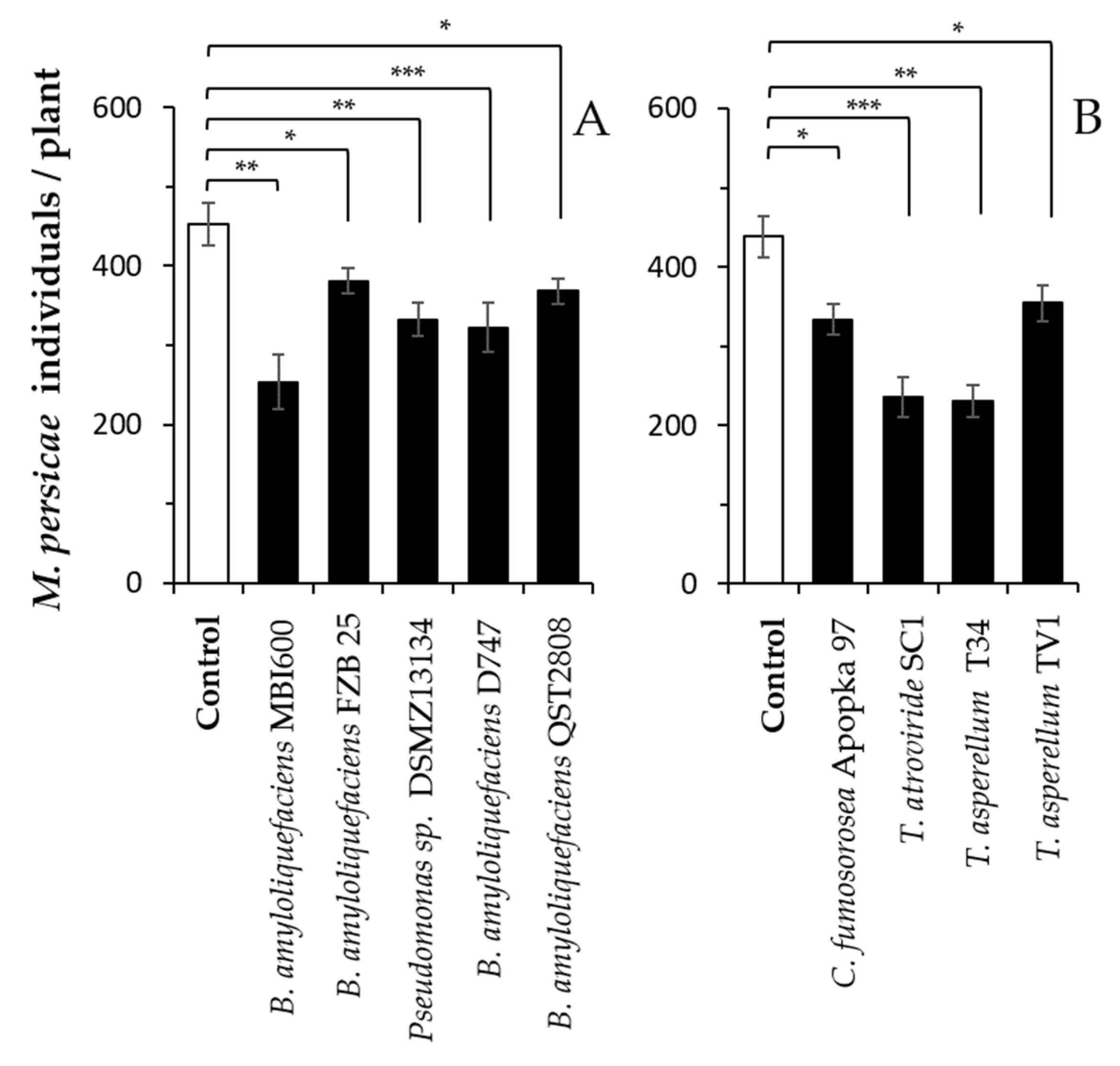
3.2. Aphid Performance
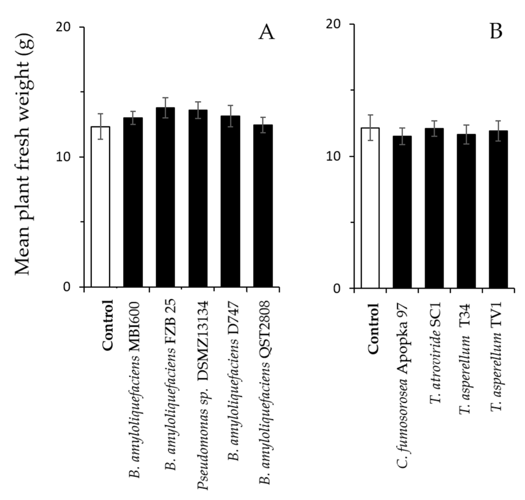
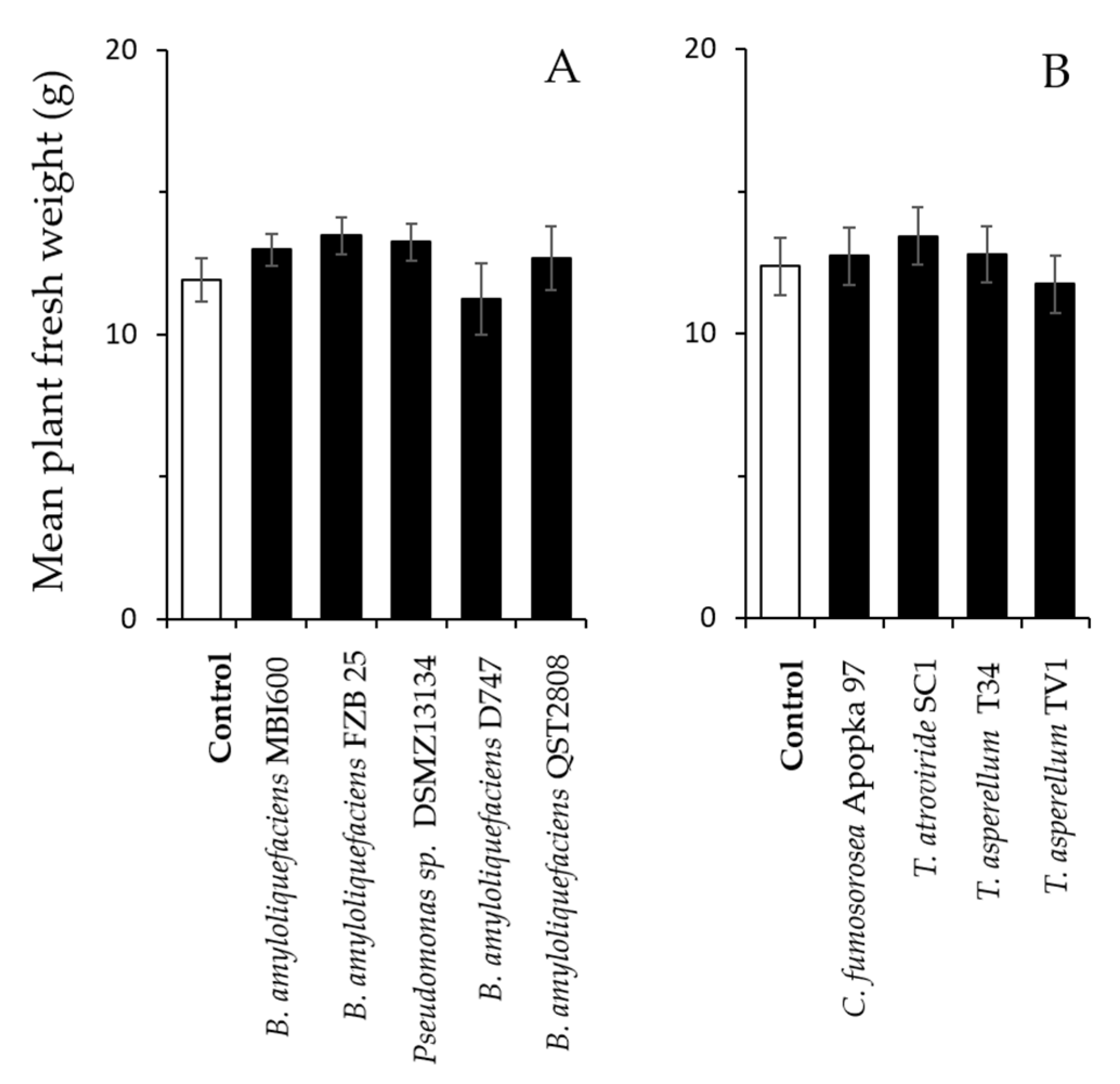
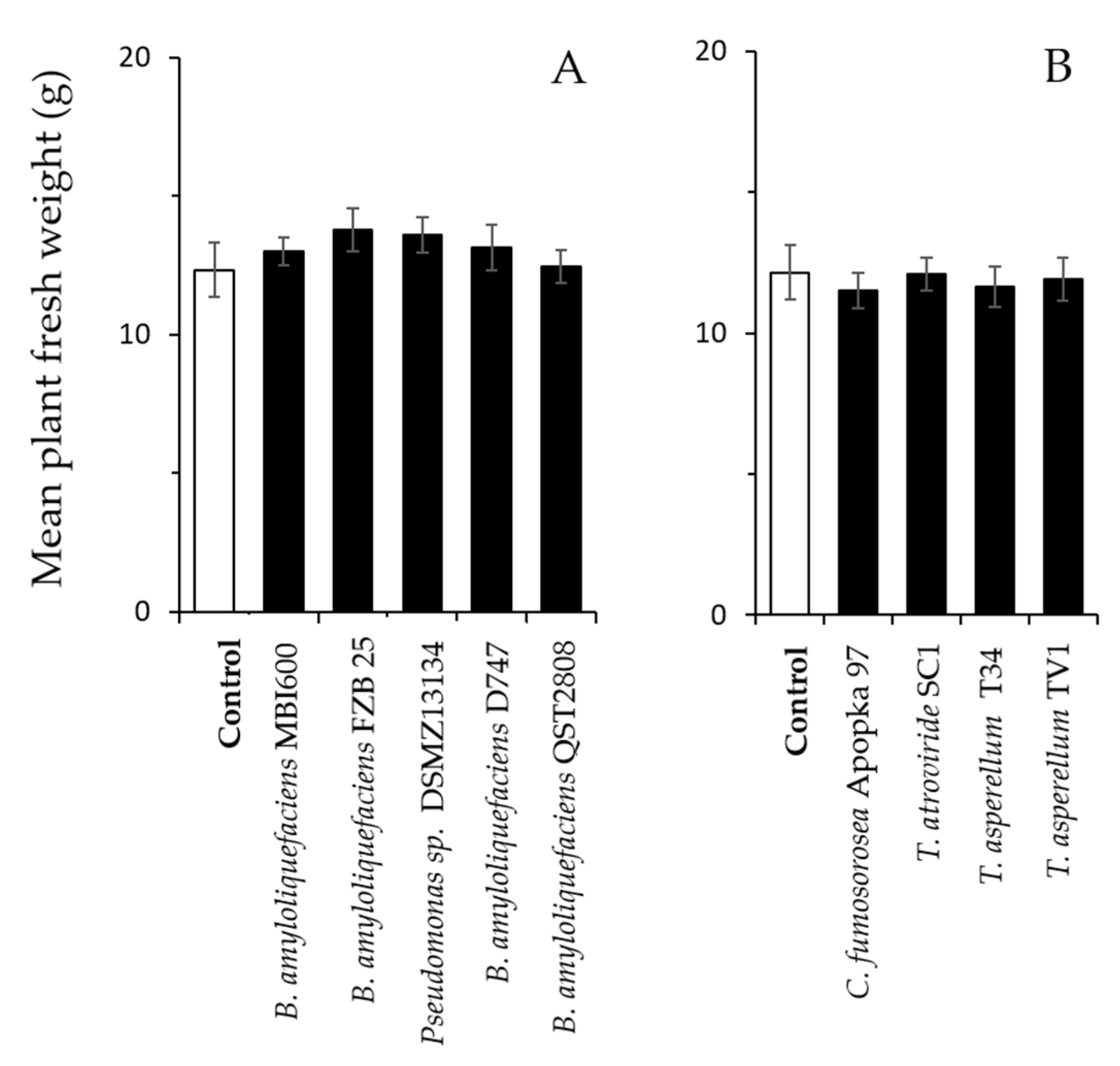
3.3. Plant Growth
4. Discussion
5. Conclusions
Author Contributions
Funding
Institutional Review Board Statement
Informed Consent Statement
Data Availability Statement
Conflicts of Interest
References
- Oerke, E.C. Crop losses to pests. J. Agric. Sci. 2006, 144, 31–43. [Google Scholar] [CrossRef]
- Savary, S.; Willocquet, L.; Pethybridge, S.J.; Esker, P.; McRoberts, N.; Nelson, A. The global burden of pathogens and pests on major food crops. Nat. Ecol. Evol. 2019, 3, 430–439. [Google Scholar] [CrossRef]
- Pappas, M.L.; Baptista, P.; Broufas, G.D.; Dalakouras, A.; Djobbi, W.; Flors, V.; Guerfali, M.M.; Khayi, S.; Mentag, R.; Pastor, V.; et al. Biological and Molecular Control Tools in Plant Defense. In Plant Defence: Biological Control; Mérillon, J.-M., Ramawat, K.G., Eds.; Springer International Publishing: Cham, Switzerland, 2020; pp. 3–43. [Google Scholar]
- Gruden, K.; Lidoy, J.; Petek, M.; Podpečan, V.; Flors, V.; Papadopoulou, K.K.; Pappas, M.L.; Martinez-Medina, A.; Bejarano, E.; Biere, A.; et al. Ménage à Trois: Unraveling the Mechanisms Regulating Plant–Microbe–Arthropod Interactions. Trends Plant Sci. 2020, 25, 1215–1226. [Google Scholar] [CrossRef] [PubMed]
- Hartley, S.E.; Gange, A.C. Impacts of plant symbiotic fungi on insect herbivores: Mutualism in a multitrophic context. Annu. Rev. Entomol. 2009, 54, 323–342. [Google Scholar] [CrossRef]
- Pineda, A.; Zheng, S.J.; van Loon, J.J.A.; Pieterse, C.M.J.; Dicke, M. Helping plants to deal with insects: The role of beneficial soil-borne microbes. Trends Plant Sci. 2010, 15, 507–514. [Google Scholar] [CrossRef] [PubMed]
- Poveda, J. Trichoderma as biocontrol agent against pests: New uses for a mycoparasite. Biol. Control. 2021, 159, 104634. [Google Scholar] [CrossRef]
- Rasmann, S.; Bennett, A.; Biere, A.; Karley, A.; Guerrieri, E. Root symbionts: Powerful drivers of plant above- and belowground indirect defenses. Insect Sci. 2017, 24, 947–960. [Google Scholar] [CrossRef]
- Vega, F.E. Insect pathology and fungal endophytes. J. Invertebr. Pathol. 2008, 98, 277–279. [Google Scholar] [CrossRef]
- Vega, F.E. The use of fungal entomopathogens as endophytes in biological control: A review. Mycologia 2018, 110, 4–30. [Google Scholar] [CrossRef]
- Sindhu, S.S.; Sehrawat, A.; Sharma, R.; Khandelwal, A. Biological Control of Insect Pests for Sustainable Agriculture. In Advances in Soil Microbiology: Recent Trends and Future Prospects: Volume 2: Soil-Microbe-Plant Interaction; Adhya, T.K., Mishra, B.B., Annapurna, K., Verma, D.K., Kumar, U., Eds.; Springer: Singapore, 2017; pp. 189–218. [Google Scholar]
- Singh, A.; Bhardwaj, R.; Singh, I.K. Biocontrol Agents: Potential of Biopesticides for Integrated Pest Management. In Biofertilizers for Sustainable Agriculture and Environment; Giri, B., Prasad, R., Wu, Q.-S., Varma, A., Eds.; Springer International Publishing: Cham, Switzerland, 2019; pp. 413–433. [Google Scholar]
- Finkel, O.M.; Castrillo, G.; Herrera Paredes, S.; Salas González, I.; Dangl, J.L. Understanding and exploiting plant beneficial microbes. Curr. Opin. Plant Biol. 2017, 38, 155–163. [Google Scholar] [CrossRef] [PubMed]
- Pineda, A.; Soler, R.; Weldegergis, B.T.; Shimwela, M.M.; Van Loon, J.J.A.; Dicke, M. Non-pathogenic rhizobacteria interfere with the attraction of parasitoids to aphid-induced plant volatiles via jasmonic acid signalling. Plant Cell Environ. 2013, 36, 393–404. [Google Scholar] [CrossRef]
- Smith, S.E.; Smith, F.A. Roles of arbuscular mycorrhizas in plant nutrition and growth: New paradigms from cellular to ecosystem scales. Annu. Rev. Plant Biol. 2011, 62, 227–250. [Google Scholar] [CrossRef] [Green Version]
- Shikano, I.; Rosa, C.; Tan, C.W.; Felton, G.W. Tritrophic Interactions: Microbe-Mediated Plant Effects on Insect Herbivores. Annu. Rev. Phytopathol. 2017, 55, 313–331. [Google Scholar] [CrossRef]
- Pozo, M.J.; Zabalgogeazcoa, I.; Vazquez de Aldana, B.R.; Martinez-Medina, A. Untapping the potential of plant mycobiomes for applications in agriculture. Curr. Opin. Plant Biol. 2021, 60, 102034. [Google Scholar] [CrossRef]
- Food and Agriculture Organization (FAO). FAOSTAT Statistical Database of the United Nation Food and Agriculture Organization (FAO) Statistical Division. Crops and Livestock Products. 2019. Available online: http://www.fao.org/faostat/en/#data/QCL (accessed on 13 August 2021).
- Helle, W.; Sabelis, M.W. Spider Mites Their Biology, Natural Enemies and Control; Elsevier Science Publishers: Amsterdam, The Netherlands, 1985. [Google Scholar]
- Blackman, R.L.; Eastop, V.F. Aphids on the World’s Crops: An Identification and Information Guide; John Wiley: Chichester, UK, 1984. [Google Scholar]
- IBM Corp. Released 2020. IBM SPSS Statistics for Windows, SPSS Version 27.0; IBM Corp: Armonk, NY, USA, 2020. [Google Scholar]
- Canassa, F.; D’Alessandro, C.P.; Sousa, S.B.; Demétrio, C.G.B.; Meyling, N.V.; Klingen, I.; Delalibera, I., Jr. Fungal isolate and crop cultivar influence the beneficial effects of root inoculation with entomopathogenic fungi in strawberry. Pest Manag. Sci. 2020, 76, 1472–1482. [Google Scholar] [CrossRef] [PubMed]
- Canassa, F.; Esteca, F.C.N.; Moral, R.A.; Meyling, N.V.; Klingen, I.; Delalibera, I. Root inoculation of strawberry with the entomopathogenic fungi Metarhizium robertsii and Beauveria bassiana reduces incidence of the twospotted spider mite and selected insect pests and plant diseases in the field. J. Pest Sci. 2020, 93, 261–274. [Google Scholar] [CrossRef]
- Castro, T.; Eilenberg, J.; Delalibera, I. Exploring virulence of new and less studied species of Metarhizium spp. from Brazil for two-spotted spider mite control. Exp. Appl. Acarol. 2018, 74, 139–146. [Google Scholar] [CrossRef]
- Elhakim, E.; Mohamed, O.; Elazouni, I. Virulence and proteolytic activity of entomopathogenic fungi against the two-spotted spider mite, Tetranychus urticae Koch (Acari: Tetranychidae). Egypt. J. Biol. Pest Control. 2020, 30, 30. [Google Scholar] [CrossRef] [Green Version]
- Dash, C.K.; Bamisile, B.S.; Keppanan, R.; Qasim, M.; Lin, Y.; Islam, S.U.; Hussain, M.; Wang, L. Endophytic entomopathogenic fungi enhance the growth of Phaseolus vulgaris L. (Fabaceae) and negatively affect the development and reproduction of Tetranychus urticae Koch (Acari: Tetranychidae). Microb. Pathog. 2018, 125, 385–392. [Google Scholar] [CrossRef]
- Aksoy, H.M.; Ozman-Sullivan, S.K.; Ocal, H.; Celik, N.; Sullivan, G.T. The effects of Pseudomonas putida biotype B on Tetranychus urticae (Acari: Tetranychidae). Exp. Appl. Acarol. 2008, 46, 223. [Google Scholar] [CrossRef]
- Qessaoui, R.; Bouharroud, R.; Amarraque, A.; Ajerrar, A.; El Hassan, M.; Chebli, B.; Dadi, M.; Elaini, R.; El Filali, F.; Walters, A.S. Ecological applications of Pseudomonas as a biopesticide to control two-spotted mite Tetranychus urticae: Chitinase and HCN production. J. Plant Prot. Res. 2017, 57, 409–416. [Google Scholar] [CrossRef] [Green Version]
- Rasool, S.; Cárdenas, P.D.; Pattison, D.I.; Jensen, B.; Meyling, N.V. Isolate-specific effect of entomopathogenic endophytic fungi on population growth of two-spotted spider mite (Tetranychus urticae Koch) and levels of steroidal glycoalkaloids in tomato. J. Chem. Ecol. 2021, 47, 476–488. [Google Scholar] [CrossRef]
- Canassa, F.; Tall, S.; Moral, R.A.; Lara, I.A.R.D.; Delalibera, I.; Meyling, N.V. Effects of bean seed treatment by the entomopathogenic fungi Metarhizium robertsii and Beauveria bassiana on plant growth, spider mite populations and behavior of predatory mites. Biol. Control. 2019, 132, 199–208. [Google Scholar] [CrossRef]
- Pappas, M.L.; Liapoura, M.; Papantoniou, D.; Avramidou, M.; Kavroulakis, N.; Weinhold, A.; Broufas, G.D.; Papadopoulou, K.K. The beneficial endophytic fungus Fusarium solani strain K alters tomato responses against spider mites to the benefit of the plant. Front. Plant Sci. 2018, 9, 1603. [Google Scholar] [CrossRef] [Green Version]
- Herman, M.A.B.; Nault, B.A.; Smart, C.D. Effects of plant growth-promoting rhizobacteria on bell pepper production and green peach aphid infestations in New York. Crop. Prot. 2008, 27, 996–1002. [Google Scholar] [CrossRef]
- Jaber, L.R.; Araj, S.-E. Interactions among endophytic fungal entomopathogens (Ascomycota: Hypocreales), the green peach aphid Myzus persicae Sulzer (Homoptera: Aphididae), and the aphid endoparasitoid Aphidius colemani Viereck (Hymenoptera: Braconidae). Biol. Control. 2018, 116, 53–61. [Google Scholar] [CrossRef]
- Naeem, M.; Aslam, Z.; Khaliq, A.; Ahmed, J.N.; Nawaz, A.; Hussain, M. Plant growth promoting rhizobacteria reduce aphid population and enhance the productivity of bread wheat. Braz. J. Microbiol. 2018, 49, 9–14. [Google Scholar] [CrossRef] [PubMed]
- Qin, X.; Zhao, X.; Huang, S.; Deng, J.; Li, X.; Luo, Z.; Zhang, Y. Pest management via endophytic colonization of tobacco seedlings by the insect fungal pathogen Beauveria bassiana. Pest Manag. Sci. 2021, 77, 2007–2018. [Google Scholar] [CrossRef]
- Boutard-Hunt, C.; Smart, C.D.; Thaler, J.; Nault, B.A. Impact of plant growth-promoting rhizobacteria and natural enemies on Myzus persicae (Hemiptera: Aphididae) infestations in pepper. J. Econ. Entomol. 2009, 102, 2183–2191. [Google Scholar] [CrossRef]
- Brock, A.K.; Berger, B.; Schreiner, M.; Ruppel, S.; Mewis, I. Plant growth-promoting bacteria Kosakonia radicincitans mediate anti-herbivore defense in Arabidopsis thaliana. Planta 2018, 248, 1383–1392. [Google Scholar] [CrossRef] [PubMed]
- Zimmermann, G. The entomopathogenic fungi Isaria farinosa (formerly Paecilomyces farinosus) and the Isaria fumosorosea species complex (formerly Paecilomyces fumosoroseus): Biology, ecology and use in biological control. Biocontrol Sci. Technol. 2008, 18, 865–901. [Google Scholar] [CrossRef]
- Kempel, A.; Schmidt, A.K.; Brandl, R.; Schädler, M. Support from the underground: Induced plant resistance depends on arbuscular mycorrhizal fungi. Funct. Ecol. 2010, 24, 293–300. [Google Scholar] [CrossRef]
- Gehring, C.; Bennett, A. Mycorrhizal fungal-plant-insect interactions: The importance of a community approach. Environ. Entomol. 2009, 38, 93–102. [Google Scholar] [CrossRef] [Green Version]
- Pozo, M.J.; Azcón-Aguilar, C. Unraveling mycorrhiza-induced resistance. Curr. Opin. Plant Biol. 2007, 10, 393–398. [Google Scholar] [CrossRef] [PubMed]
- Blubaugh, C.K.; Carpenter-Boggs, L.; Reganold, J.P.; Schaeffer, R.N.; Snyder, W.E. Bacteria and competing herbivores weaken top–down and bottom–up aphid suppression. Front. Plant Sci. 2018, 9, 1239. [Google Scholar] [CrossRef] [PubMed]




| Strains | Product | Dose (mg/pot) | Commercial Use (Pest/Application Method) |
|---|---|---|---|
| Fungi | |||
| Trichoderma asperellum T34 | Asperello® T34 BiocontrolTM, Biobest Group NV 1 × 1012 cfu/g 1 | 3.50 | Fusarium sp., Pythium sp., Rhizoctonia sp., Phytophthora sp. (soil application) |
| Trichoderma atroviride SC1 | Vintec®, Bi-PA NV/SA 1 × 1013 cfu/g | 0.09 | Botrytis cinerea (foliar application) |
| Trichoderma asperellum TV-1 | Xedavir, Intrachem Hellas 1 × 1010 cfu/g | 0.32 | Pythium spp., Rhizoctonia solani, Verticillium spp. (soil irrigation) |
| Cordyceps (Isaria) fumosorosea Apopka 97 | PreFeRal®, Biobest Group NV 2 × 109 cfu/g | 0.64 | Trialeurodes vaporariorum, Bemisia tabaci (foliar application) |
| Bacteria | |||
| Bacillus amyloliquefaciens subsp. plantarum D747 | Amylo-X®, K&N Efthymiadis 2 × 1011 cfu/g | 1.60 | Leveillula taurica, Botrytis cinerea, Sclerotinia sp. (foliar application) |
| B. amyloliquefaciens MBI600 | Serifel®, BASF Hellas >5.5 × 1010 cfu/g | 0.32 | Botrytis cinerea (foliar application) |
| B. amyloliquefaciens FZB24 | Taegro®, Syngenta Hellas 1 × 1010 cfu/g | 0.24 | Oidium neolycopersici, Leveillula taurica, Alternaria solani (foliar application) |
| B. amyloliquefaciens QST 2808 | Sonata®, Bayer Hellas >1 × 109 cfu/g | 6.40 | Leveillula taurica, Oidium neolycopersici (foliar application) |
| Pseudomonas sp. DSMZ 13134 | Proradix®, Anthesis 6.6 × 1010 cfu/g | 0.08 | Rhizoctonia solani, Fusarium oxysporum (soil irrigation) |
Publisher’s Note: MDPI stays neutral with regard to jurisdictional claims in published maps and institutional affiliations. |
© 2021 by the authors. Licensee MDPI, Basel, Switzerland. This article is an open access article distributed under the terms and conditions of the Creative Commons Attribution (CC BY) license (https://creativecommons.org/licenses/by/4.0/).
Share and Cite
Pappas, M.L.; Samaras, K.; Koufakis, I.; Broufas, G.D. Beneficial Soil Microbes Negatively Affect Spider Mites and Aphids in Pepper. Agronomy 2021, 11, 1831. https://doi.org/10.3390/agronomy11091831
Pappas ML, Samaras K, Koufakis I, Broufas GD. Beneficial Soil Microbes Negatively Affect Spider Mites and Aphids in Pepper. Agronomy. 2021; 11(9):1831. https://doi.org/10.3390/agronomy11091831
Chicago/Turabian StylePappas, Maria L., Konstantinos Samaras, Ioannis Koufakis, and George D. Broufas. 2021. "Beneficial Soil Microbes Negatively Affect Spider Mites and Aphids in Pepper" Agronomy 11, no. 9: 1831. https://doi.org/10.3390/agronomy11091831
APA StylePappas, M. L., Samaras, K., Koufakis, I., & Broufas, G. D. (2021). Beneficial Soil Microbes Negatively Affect Spider Mites and Aphids in Pepper. Agronomy, 11(9), 1831. https://doi.org/10.3390/agronomy11091831

