Identification of QTLs and Candidate Genes Related to Flower Traits and Bolting Time in Radish (Raphanus sativus L.)
Abstract
1. Introduction
2. Materials and Methods
2.1. Plant Materials
2.2. Anthocyanidin Extraction and Analysis
2.3. Evaluation of Flower-Related Traits
2.4. Genetic Map and QTL Analysis
2.5. Candidate Gene Prediction and Gene Sequence Variation Analysis
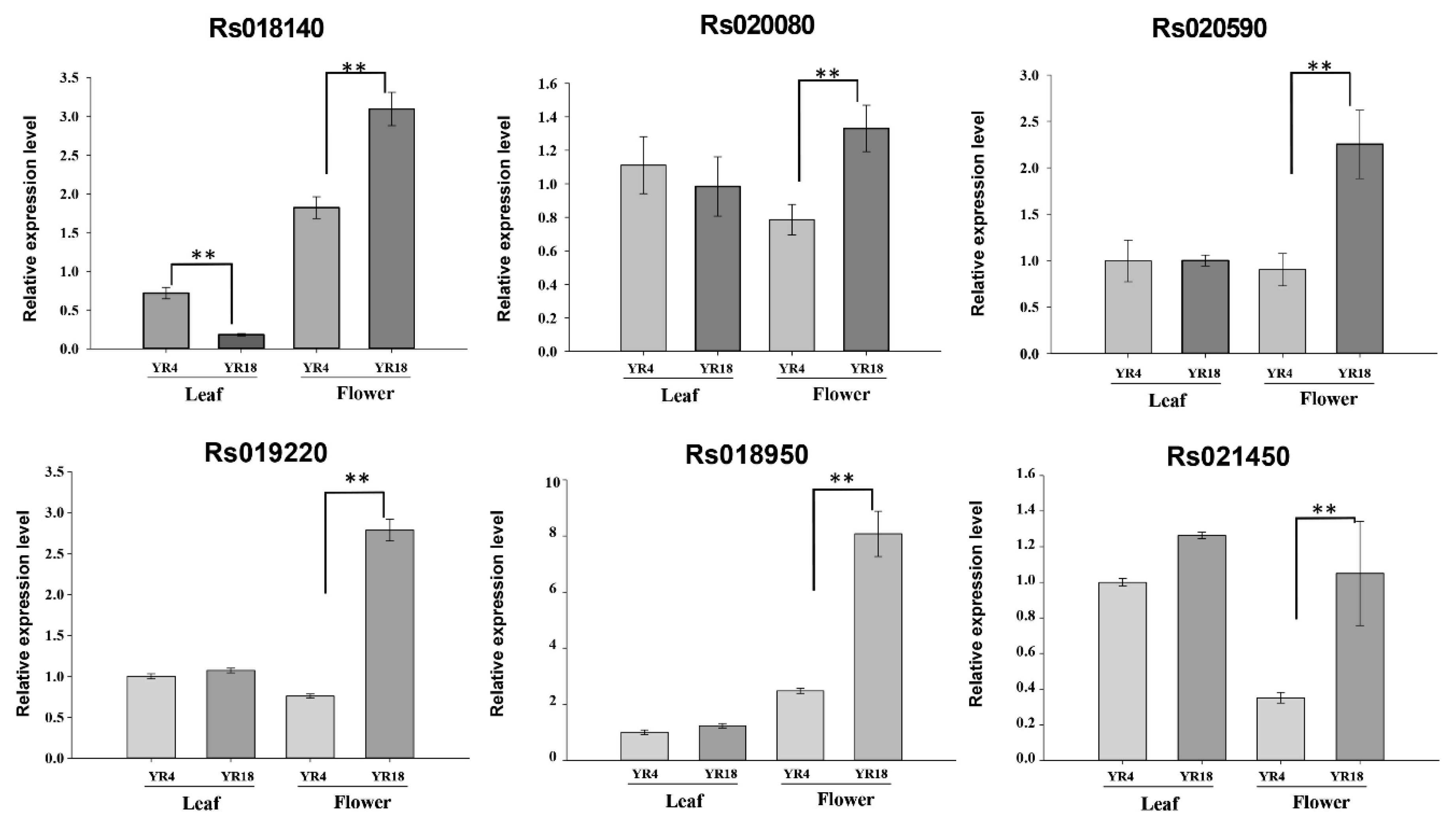
2.6. Quantitative Real-Time PCR Analysis
3. Results
3.1. Investigation of Flower Color and Anthocyanidin Accumulation in Purple and White Petals
3.2. Differences in the Bolting and Flowering Times between the Parental Lines
3.3. Genetic Linkage Map and QTL Analysis
3.4. Flower Color Trait
3.5. Bolting and Flowering Time Traits
3.6. Identification of Potential Candidate Genes in the Major QTL Regions
4. Discussion
4.1. Trait Variations in the Parental Lines and Generated Populations
4.2. Functional Genes Were Detected in the Major QTL Block of the Radish Genome
5. Conclusions
Supplementary Materials
Author Contributions
Funding
Institutional Review Board Statement
Informed Consent Statement
Data Availability Statement
Conflicts of Interest
Abbreviations
| QTL | Quantitative trait locus |
| LG | Linkage group |
| SNP | Single nucleotide polymorphism |
| InDel | Insertion and deletion |
| HPLC | High performance liquid chromatography |
| MYB | Myeloblastosis |
| bHLH | Basic helix-loop-helix |
| LOD | Logarithm of odds |
| CIM | Composite interval mapping |
| ICIM | Inclusive composite interval mapping |
| qRT-PCR | Quantitative real-time polymerase chain reaction |
References
- Proctor, M.; Yeo, P. The Pollination of Flowers; HarperCollins: Britain, UK, 1973. [Google Scholar]
- Conner, J.K. The Natural History of Pollination. Ecology 1997, 78, 327–329. [Google Scholar] [CrossRef]
- Irwin, R.E.; Strauss, S.Y.; Storz, S.; Emerson, A.; Guibert, G. The role of herbivores in the maintenance of a flower color polymorphism in wild radish. Ecology 2003, 84, 1733–1743. [Google Scholar] [CrossRef]
- Caruso, C.M.; Scott, S.L.; Wray, J.C.; Walsh, C.A. Pollinators, herbivores, and the maintenance of flower color variation: A case study with Lobelia siphilitica. Int. J. Plant Sci. 2010, 171, 1020–1028. [Google Scholar] [CrossRef]
- Srikanth, A.; Schmid, M. Regulation of flowering time: All roads lead to Rome. Cell. Mol. Life Sci. 2011, 68, 2013–2037. [Google Scholar] [CrossRef] [PubMed]
- Kay, Q. Preferential pollination of yellow-flowered morphs of Raphanus raphanistrum by Pieris and Eristalis spp. Nature 1976, 261, 230. [Google Scholar] [CrossRef]
- Stanton, M.L. Reproductive biology of petal color variants in wild populations of Raphanus sativus: I. Pollinator response to color morphs. Am. J. Bot. 1987, 74, 178–187. [Google Scholar] [CrossRef]
- Irwin, R.E.; Strauss, S.Y. Flower color microevolution in wild radish: Evolutionary response to pollinator-mediated selection. Am. Nat. 2004, 165, 225–237. [Google Scholar] [CrossRef]
- Lee, S.; Lee, S.-C.; Byun, D.H.; Lee, D.Y.; Park, J.Y.; Lee, J.H.; Lee, H.O.; Sung, S.H.; Yang, T.-J. Association of molecular markers derived from the BrCRISTO1 gene with prolycopene-enriched orange-colored leaves in Brassica rapa. Theor. Appl. Genet. 2014, 127, 179–191. [Google Scholar] [CrossRef]
- Rahman, M. Inheritance of petal colour and its independent segregation from seed colour in Brassica rapa. Plant Breed. 2001, 120, 197–200. [Google Scholar] [CrossRef]
- Zhang, N.; Chen, L.; Ma, S.; Wang, R.; He, Q.; Tian, M.; Zhang, L. Fine mapping and candidate gene analysis of the white flower gene Brwf in Chinese cabbage (Brassica rapa L.). Sci. Rep. 2020, 10, 6080. [Google Scholar] [CrossRef]
- Jambhulkar, S.; Raut, R. Inheritance of flower colour and leaf waxiness in Brassica carinata A. Br. Crucif. Newsl 1995, 17, 66–67. [Google Scholar]
- Liu, X.-P.; Tu, J.-X.; Chen, B.-Y.; Fu, T.-D. Identification of the linkage relationship between the flower colour and the content of erucic acid in the resynthesized Brassica napus L. Acta Genet. Sin. 2004, 31, 357–362. [Google Scholar]
- Huang, T.; Böhlenius, H.; Eriksson, S.; Parcy, F.; Nilsson, O. The mRNA of the Arabidopsis gene FT moves from leaf to shoot apex and induces flowering. Science 2005, 309, 1694–1696. [Google Scholar] [CrossRef] [PubMed]
- Zhang, B.; Liu, C.; Wang, Y.; Yao, X.; Wang, F.; Wu, J.; King, G.J.; Liu, K. Disruption of a CAROTENOID CLEAVAGE DIOXYGENASE 4 gene converts flower colour from white to yellow in Brassica species. New Phytol. 2015, 206, 1513–1526. [Google Scholar] [CrossRef] [PubMed]
- Zhang, X.; Li, R.; Chen, L.; Niu, S.; Li, Q.; Xu, K.; Wen, J.; Yi, B.; Ma, C.; Tu, J. Inheritance and gene mapping of the white flower trait in Brassica juncea. Mol. Breed. 2018, 38, 20. [Google Scholar] [CrossRef]
- Singh, K.; Chauhan, J. Genetics of flower colour in Indian mustard (Brassica juncea L. Czern & Coss). Indian J. Genet. Plant Breed. 2011, 71, 377–378. [Google Scholar]
- Han, F.-q.; Yang, C.; Fang, Z.-y.; Yang, L.-m.; Zhuang, M.; Lv, H.-h.; Liu, Y.-m.; Li, Z.-s.; Liu, B.; Yu, H.-l. Inheritance and InDel markers closely linked to petal color gene (cpc-1) in Brassica oleracea. Mol. Breed. 2015, 35, 1–8. [Google Scholar] [CrossRef]
- Han, F.; Cui, H.; Zhang, B.; Liu, X.; Yang, L.; Zhuang, M.; Lv, H.; Li, Z.; Wang, Y.; Fang, Z. Map-based cloning and characterization of BoCCD4, a gene responsible for white/yellow petal color in B. oleracea. BMC Genom. 2019, 20, 1–11. [Google Scholar] [CrossRef] [PubMed]
- Xu, X.; Luo, W.; Guo, J.; Chen, H.; Akram, W.; Xie, D.; Li, G. Fine mapping and candidate gene analysis of the yellow petal gene c kpc in Chinese kale (Brassica oleracea L. var. alboglabra Bailey) by whole-genome resequencing. Mol. Breed. 2019, 39, 1–11. [Google Scholar] [CrossRef]
- Yan, C.; Huang, Y.; Liu, Z.; Guo, F.; Jiao, Z.; Yang, W.; Zhu, F.; Qiu, Z. Rapid identification of yellow-flowered gene Bofc in cauliflower (Brassica oleracea var. botrytis) by bulked segregant analysis and whole-genome resequencing. Euphytica 2020, 216. [Google Scholar] [CrossRef]
- Fornara, F.; de Montaigu, A.; Coupland, G. SnapShot: Control of flowering in Arabidopsis. Cell 2010, 141, 550–550. e522. [Google Scholar] [CrossRef] [PubMed]
- Bouché, F.; Lobet, G.; Tocquin, P.; Périlleux, C. FLOR-ID: An interactive database of flowering-time gene networks in Arab. Thaliana. Nucleic Acids Res. 2016, 44, D1167–D1171. [Google Scholar] [CrossRef] [PubMed]
- Schranz, M.E.; Quijada, P.; Sung, S.-B.; Lukens, L.; Amasino, R.; Osborn, T.C. Characterization and effects of the replicated flowering time gene FLC in Brassica rapa. Genetics 2002, 162, 1457–1468. [Google Scholar] [CrossRef]
- Tadege, M.; Sheldon, C.C.; Helliwell, C.A.; Stoutjesdijk, P.; Dennis, E.S.; Peacock, W.J. Control of flowering time by FLC orthologues in Brassica napus. Plant J. 2001, 28, 545–553. [Google Scholar] [CrossRef]
- Zou, X.; Suppanz, I.; Raman, H.; Hou, J.; Wang, J.; Long, Y.; Jung, C.; Meng, J. Comparative analysis of FLC homologues in Brassicaceae provides insight into their role in the evolution of oilseed rape. PLoS ONE 2012, 7, e45751. [Google Scholar] [CrossRef]
- Okazaki, K.; Sakamoto, K.; Kikuchi, R.; Saito, A.; Togashi, E.; Kuginuki, Y.; Matsumoto, S.; Hirai, M. Mapping and characterization of FLC homologs and QTL analysis of flowering time in Brassica oleracea. Theor. Appl. Genet. 2007, 114, 595–608. [Google Scholar] [CrossRef]
- Yi, G.; Park, H.; Kim, J.-S.; Chae, W.B.; Park, S.; Huh, J.H. Identification of three FLOWERING LOCUS C genes responsible for vernalization response in radish (Raphanus sativus L.). Hortic. Environ. Biotechnol. 2014, 55, 548–556. [Google Scholar] [CrossRef]
- Li, G.; Zhang, G.; Zhang, Y.; Liu, K.; Li, T.; Chen, H. Identification of quantitative trait loci for bolting and flowering times in Chinese kale (Brassica oleracea var. alboglabra) based on SSR and SRAP markers. J. Hortic. Sci. Biotechnol. 2015, 90, 728–737. [Google Scholar] [CrossRef]
- Li, B.; Zhao, W.; Li, D.; Chao, H.; Zhao, X.; Ta, N.; Li, Y.; Guan, Z.; Guo, L.; Zhang, L. Genetic dissection of the mechanism of flowering time based on an environmentally stable and specific QTL in Brassica napus. Plant Sci. 2018, 277, 296–310. [Google Scholar] [CrossRef]
- Jian, H.; Zhang, A.; Ma, J.; Wang, T.; Yang, B.; Shuang, L.S.; Liu, M.; Li, J.; Xu, X.; Paterson, A.H. Joint QTL mapping and transcriptome sequencing analysis reveal candidate flowering time genes in Brassica napus L. Bmc Genom. 2019, 20, 21. [Google Scholar] [CrossRef]
- Xu, Y.; Zhang, B.; Ma, N.; Liu, X.; Qin, M.; Zhang, Y.; Wang, K.; Guo, N.; Zuo, K.; Liu, X.; et al. Quantitative Trait Locus Mapping and Identification of Candidate Genes Controlling Flowering Time in Brassica napus L. Front Plant Sci 2020, 11, 626205. [Google Scholar] [CrossRef] [PubMed]
- Nishio, T.; Kitashiba, H. The Radish Genome; Springer: Cham, Switzerland, 2017. [Google Scholar]
- Wang, Q.; Zhang, Y.; Zhang, L. A naturally occurring insertion in the RsFLC2 gene associated with late-bolting trait in radish (Raphanus sativus L.). Mol. Breed. 2018, 38, 137. [Google Scholar] [CrossRef]
- Nie, S.; Xu, L.; Wang, Y.; Huang, D.; Muleke, E.M.; Sun, X.; Wang, R.; Xie, Y.; Gong, Y.; Liu, L. Identification of bolting-related microRNAs and their targets reveals complex miRNA-mediated flowering-time regulatory networks in radish (Raphanus sativus L.). Sci. Rep. 2015, 5, 14034. [Google Scholar] [CrossRef]
- Li, C.; Wang, Y.; Xu, L.; Nie, S.; Chen, Y.; Liang, D.; Sun, X.; Karanja, B.K.; Luo, X.; Liu, L. Genome-wide characterization of the MADS-box gene family in radish (Raphanus sativus L.) and assessment of its roles in flowering and floral organogenesis. Front. Plant Sci. 2016, 7, 1390. [Google Scholar] [CrossRef] [PubMed]
- Nie, S.; Li, C.; Xu, L.; Wang, Y.; Huang, D.; Muleke, E.M.; Sun, X.; Xie, Y.; Liu, L. De novo transcriptome analysis in radish (Raphanus sativus L.) and identification of critical genes involved in bolting and flowering. BMC Genom. 2016, 17, 389. [Google Scholar] [CrossRef] [PubMed]
- Liu, C.; Wang, S.; Xu, W.; Liu, X. Genome-wide transcriptome profiling of radish (Raphanus sativus L.) in response to vernalization. PLoS ONE 2017, 12, e0177594. [Google Scholar] [CrossRef] [PubMed]
- Park, C.H.; Yeo, H.J.; Kim, N.S.; Eun, P.Y.; Kim, S.-J.; Arasu, M.V.; Al-Dhabi, N.A.; Park, S.-Y.; Kim, J.K.; Park, S.U. Metabolic profiling of pale green and purple kohlrabi (Brassica oleracea var. gongylodes). Appl. Biol. Chem. 2017, 60, 249–257. [Google Scholar] [CrossRef]
- Rameneni, J.J.; Choi, S.R.; Chhapekar, S.S.; Kim, M.-S.; Singh, S.; Yi, S.Y.; Oh, S.H.; Kim, H.; Lee, C.Y.; Oh, M.-H. Red Chinese cabbage transcriptome analysis reveals structural genes and multiple transcription factors regulating reddish purple color. Int. J. Mol. Sci. 2020, 21, 2901. [Google Scholar] [CrossRef]
- Churchill, G.A.; Doerge, R.W. Empirical threshold values for quantitative trait mapping. Genetics 1994, 138, 963–971. [Google Scholar] [CrossRef] [PubMed]
- Wang, S.; Basten, C.; Zeng, Z. Windows QTL Cartographer 2.5; Department of Statistics, North Carolina State University: Raleigh, NC, USA, 2012. [Google Scholar]
- Ma, Y.; Chhapekar, S.S.; Lu, L.; Yu, X.; Kim, S.; Choi, G.J.; Lim, Y.P.; Choi, S.R. QTL mapping for Fusarium wilt resistance based on the whole-genome resequencing and their association with functional genes in Raphanus sativus. Theor. Appl. Genet. 2021, 1–16. [Google Scholar] [CrossRef]
- Yu, J.; Zhao, M.; Wang, X.; Tong, C.; Huang, S.; Tehrim, S.; Liu, Y.; Hua, W.; Liu, S. Bolbase: A comprehensive genomics database for Brassica oleracea. BMC Genom. 2013, 14, 664. [Google Scholar] [CrossRef] [PubMed]
- Brown, B.A.; Clegg, M.T. Influence of flower color polymorphism on genetic transmission in a natural population of the common morning glory, Ipomoea purpurea. Evolution 1984, 38, 796–803. [Google Scholar] [CrossRef] [PubMed]
- Noda, N.; Aida, R.; Kishimoto, S.; Ishiguro, K.; Fukuchi-Mizutani, M.; Tanaka, Y.; Ohmiya, A. Genetic engineering of novel bluer-colored chrysanthemums produced by accumulation of delphinidin-based anthocyanins. Plant Cell Physiol. 2013, 54, 1684–1695. [Google Scholar] [CrossRef]
- Hill, W.G. Understanding and using quantitative genetic variation. Philos. Trans. R. Soc. B Biol. Sci. 2010, 365, 73–85. [Google Scholar] [CrossRef] [PubMed]
- Hill, W.G.; Bunger, L. Inferences on the genetics of quantitative traits from long-term selection in laboratory and domestic animals. Plant Breed. Rev. 2004, 24, 169–210. [Google Scholar]
- Nozaki, K.; Takamura, T.; Fukai, S. Effects of high temperature on flower colour and anthocyanin content in pink flower genotypes of greenhouse chrysanthemum (Chrysanthemum morifolium Ramat.). J. Hortic. Sci. Biotechnol. 2006, 81, 728–734. [Google Scholar] [CrossRef]
- Huang, Z.; Ban, Y.; Bao, R.; Zhang, X.; Xu, A.; Ding, J. Inheritance and gene mapping of the white flower in Brassica napus L. New Zealand J. Crop Hortic. Sci. 2014, 42, 111–117. [Google Scholar] [CrossRef]
- Jia, L.; Wang, J.; Wang, R.; Duan, M.; Qiao, C.; Chen, X.; Ma, G.; Zhou, X.; Zhu, M.; Jing, F.; et al. Comparative transcriptomic and metabolomic analyses of carotenoid biosynthesis reveal the basis of white petal color in Brassica napus. Planta 2021, 253, 8. [Google Scholar] [CrossRef]
- SAGWANSUPYAKORN, C.; SHINOHARA, Y.; SuzuKI, Y. Effects of light intensity and temperature on devernalization of Japanese radish. J. Jpn. Soc. Hortic. Sci. 1986, 55, 56–61. [Google Scholar] [CrossRef][Green Version]
- KAYMAK, H.Ç.; GÜVENÇ, İ. The influence of vernalization time and day length on flower induction of radish (Raphanus sativus L.) under controlled and field conditions. Turk. J. Agric. For. 2010, 34, 401–413. [Google Scholar]
- Shao, D.; Li, Y.; Zhu, Q.; Zhang, X.; Liu, F.; Xue, F.; Sun, J. GhGSTF12, a glutathione S-transferase gene, is essential for anthocyanin accumulation in cotton (Gossypium hirsutum L.). Plant Sci. 2021, 305, 110827. [Google Scholar] [CrossRef] [PubMed]
- Liu, Y.; Hou, H.; Jiang, X.; Wang, P.; Dai, X.; Chen, W.; Gao, L.; Xia, T. A WD40 repeat protein from Camellia sinensis regulates anthocyanin and Proanthocyanidin accumulation through the formation of MYB–bHLH–WD40 ternary complexes. Int. J. Mol. Sci. 2018, 19, 1686. [Google Scholar] [CrossRef] [PubMed]
- Sasaki, N.; Nishizaki, Y.; Ozeki, Y.; Miyahara, T. The role of acyl-glucose in anthocyanin modifications. Molecules 2014, 19, 18747–18766. [Google Scholar] [CrossRef] [PubMed]
- Weingartner, M.; Subert, C.; Sauer, N. LATE, a C2H2 zinc-finger protein that acts as floral repressor. Plant J. 2011, 68, 681–692. [Google Scholar] [CrossRef] [PubMed]
- Chandler, J.W.; Melzer, S. An α-crystallin gene, ACD31. 2 from Arabidopsis is negatively regulated by FPF1 overexpression, floral induction, gibberellins, and long days. J. Exp. Bot. 2004, 55, 1433–1435. [Google Scholar] [CrossRef]
- Gao, R.; Wang, Y.; Gruber, M.Y.; Hannoufa, A. miR156/SPL10 modulates lateral root development, branching and leaf morphology in Arabidopsis by silencing AGAMOUS-LIKE 79. Front. Plant Sci. 2018, 8, 2226. [Google Scholar] [CrossRef]
- Li, Z.; Ou, Y.; Zhang, Z.; Li, J.; He, Y. Brassinosteroid signaling recruits histone 3 lysine-27 demethylation activity to FLOWERING LOCUS C chromatin to inhibit the floral transition in Arabidopsis. Mol. Plant 2018, 11, 1135–1146. [Google Scholar] [CrossRef] [PubMed]
- Johansson, M.; Staiger, D. SRR1 is essential to repress flowering in non-inductive conditions in Arabidopsis thaliana. J. Exp. Bot. 2014, 65, 5811–5822. [Google Scholar] [CrossRef][Green Version]
- Niu, L.; Zhang, Y.; Pei, Y.; Liu, C.; Cao, X. Redundant requirement for a pair of PROTEIN ARGININE METHYLTRANSFERASE4 homologs for the proper regulation of Arabidopsis flowering time. Plant Physiol. 2008, 148, 490–503. [Google Scholar] [CrossRef]
- Liu, Y.; Li, X.; Li, K.; Liu, H.; Lin, C. Multiple bHLH proteins form heterodimers to mediate CRY2-dependent regulation of flowering-time in Arabidopsis. PLoS Genet. 2013, 9, e1003861. [Google Scholar] [CrossRef]
- Zhang, W.; Tang, Y.; Hu, Y.; Yang, Y.; Cai, J.; Liu, H.; Zhang, C.; Liu, X.; Hou, X. Arabidopsis NF-YCs play dual roles in repressing brassinosteroid biosynthesis and signaling during light-regulated hypocotyl elongation. Plant Cell 2021, koab112. [Google Scholar]
- Liu, L.; Zhang, J.; Adrian, J.; Gissot, L.; Coupland, G.; Yu, D.; Turck, F. Elevated levels of MYB30 in the phloem accelerate flowering in Arabidopsis through the regulation of FLOWERING LOCUS T. PLoS ONE 2014, 9, e89799. [Google Scholar] [CrossRef] [PubMed]
- Lolas, I.B.; Himanen, K.; Grønlund, J.T.; Lynggaard, C.; Houben, A.; Melzer, M.; Van Lijsebettens, M.; Grasser, K.D. The transcript elongation factor FACT affects Arabidopsis vegetative and reproductive development and genetically interacts with HUB1/2. Plant J. 2010, 61, 686–697. [Google Scholar] [CrossRef]
- Lee, J.H.; Jung, J.H.; Park, C.M. INDUCER OF CBF EXPRESSION 1 integrates cold signals into FLOWERING LOCUS C-mediated flowering pathways in Arabidopsis. Plant J. 2015, 84, 29–40. [Google Scholar] [CrossRef] [PubMed]





| Investigation Environments | Plants Materials | No. of Plants | Traits | |
|---|---|---|---|---|
| Bolting Time (Days) | Flowering Time (Days) | |||
| 2017 (spring) | YR4 | 10 | 77.30 ± 1.49 | 89.10 ± 2.02 |
| YR18 | 10 | 60.60 ± 2.07 | 73.60 ± 1.96 | |
| F1 (YR4 × YR18) | 20 | 63.40 ± 1.60 | 76.40 ± 1.60 | |
| Range in the F2 population | 180 | 53.00–82.00 | 66.00–94.00 | |
| 2018 (spring) | YR4 | 10 | 76.50 ± 1.51 | 94.20 ± 1.93 |
| YR18 | 10 | 58.40 ± 1.71 | 72.50 ± 1.27 | |
| F1 (YR4 × YR18) | 20 | 64.60 ± 1.85 | 75.30 ± 1.45 | |
| Range in the F2:3 population | 180 | 46.00–104.00 | 58.00–110.00 | |
| 2018 (autumn) | YR4 | 10 | 89.70 ± 1.25 | 104.70 ± 1.7 |
| YR18 | 10 | 82.50 ± 1.58 | 93.40 ± 0.97 | |
| F1 (YR4 × YR18) | 20 | 84.40 ± 1.23 | 96.20 ± 1.36 | |
| Range in the F2:3 population | 180 | 79.00–101.00 | 91.00–116.00 | |
| Traits | QTL | Linkage Group | Confidence Interval (cM) | Marker Interval | Spring, 2017 in Greenhouse | Spring, 2018 in Glasshouse | Autumn, 2018 in Glasshouse | |||||||||||
|---|---|---|---|---|---|---|---|---|---|---|---|---|---|---|---|---|---|---|
| LOD | Dom | Add | R2 | LOD | Dom | Add | R2 (%) | LOD | Dom | Add | R2 | |||||||
| Flower color | qRFC1 | R01 | 44.52–50.36 | R1_Rs020080 - R1_RS021280 | 8.83 | −0.72 | 0.18 | 18.85 | 17.23 | −0.75 | 0.03 | 32.45 | 17.72 | −0.84 | 0.12 | 34.57 | ||
| qRFC2 | R06 | 43.63–48.03 | R6_Rs314500 - R6_Rs316870 | −0.37 | −0.09 | 8.23 | ||||||||||||
| qRFC3 | R09 | 31.69–39.73 | R9_Rs456030 - R9_Rs458690 | 4.78 | −0.39 | 0.06 | 6.78 | |||||||||||
| qRFC4 | R09 | 65.73–68.85 | R9_Rs462030 - R9_Rs480860 | 4.86 | −0.38 | 0.22 | 7.28 | |||||||||||
| qRFC5 | R09 | 111.01–117.28 | R9_RSS3287 - R9_Rs498850 | 4.87 | 0.41 | 0.09 | 7.82 | |||||||||||
| Bolting time | qRBT1 | R06 | 40.08–47.07 | R6_Rs332940 - R6_Rs318570 | 7.08 | 3.34 | 1.07 | 12.82 | 7.73 | 5.82 | −1.47 | 14.40 | 4.80 | 2.02 | −1.17 | 14.69 | ||
| qRBT2 | R06 | 108.44–120.10 | R4_RS192560 - BRPGM1519 | 8.52 | 6.66 | −2.51 | 19.13 | |||||||||||
| Flowering time | qRFT1 | R06 | 40.08–47.07 | R6_Rs332940 - R6_Rs318570 | 12.13 | 3.67 | 2.01 | 21.00 | 8.76 | 5.79 | −0.04 | 18.82 | 6.57 | 2.50 | −0.66 | 10.30 | ||
| qRFT2 | R06 | 96.35–103.33 | R4_RS192560 - BRPGM1519 | 5.05 | 4.18 | −0.42 | 10.59 | |||||||||||
Publisher’s Note: MDPI stays neutral with regard to jurisdictional claims in published maps and institutional affiliations. |
© 2021 by the authors. Licensee MDPI, Basel, Switzerland. This article is an open access article distributed under the terms and conditions of the Creative Commons Attribution (CC BY) license (https://creativecommons.org/licenses/by/4.0/).
Share and Cite
Ma, Y.; Chhapekar, S.S.; Rameneni, J.J.; Kim, S.; Gan, T.H.; Choi, S.R.; Lim, Y.P. Identification of QTLs and Candidate Genes Related to Flower Traits and Bolting Time in Radish (Raphanus sativus L.). Agronomy 2021, 11, 1623. https://doi.org/10.3390/agronomy11081623
Ma Y, Chhapekar SS, Rameneni JJ, Kim S, Gan TH, Choi SR, Lim YP. Identification of QTLs and Candidate Genes Related to Flower Traits and Bolting Time in Radish (Raphanus sativus L.). Agronomy. 2021; 11(8):1623. https://doi.org/10.3390/agronomy11081623
Chicago/Turabian StyleMa, Yinbo, Sushil Satish Chhapekar, Jana Jeevan Rameneni, Seungho Kim, Tae Hyoung Gan, Su Ryun Choi, and Yong Pyo Lim. 2021. "Identification of QTLs and Candidate Genes Related to Flower Traits and Bolting Time in Radish (Raphanus sativus L.)" Agronomy 11, no. 8: 1623. https://doi.org/10.3390/agronomy11081623
APA StyleMa, Y., Chhapekar, S. S., Rameneni, J. J., Kim, S., Gan, T. H., Choi, S. R., & Lim, Y. P. (2021). Identification of QTLs and Candidate Genes Related to Flower Traits and Bolting Time in Radish (Raphanus sativus L.). Agronomy, 11(8), 1623. https://doi.org/10.3390/agronomy11081623

