You are currently viewing a new version of our website. To view the old version click .
Agronomy
  • Article
  • Open Access

30 June 2021

Decreasing Defoliation Frequency Enhances Bromus valdivianus Phil. Growth under Low Soil Water Levels and Interspecific Competition

,
,
,
,
and
1
School of Agriculture and Environment, Massey University, Private Bag 11-2221, 4440 Palmerston North, New Zealand
2
Gansu Provincial Key Laboratory of Aridland Crop Science, Gansu Agricultural University, Lanzhou 730070, China
*
Author to whom correspondence should be addressed.
This article belongs to the Section Grassland and Pasture Science

Abstract

Bromus valdivianus Phil. (Bv) is a water stress-tolerant species, but its competitiveness in a diverse pasture may depend on defoliation management and soil moisture levels. This glasshouse study examined the effect of three defoliation frequencies, based on accumulated growing degree days (AGDD) (250, 500, and 1000 AGDD), and two soil water levels (80–85% of field capacity (FC) and 20–25% FC) on Bv growth as monoculture and as a mixture with Lolium perenne L. (Lp). The treatments were applied in a completely randomised block design with four blocks. The above-ground biomass of Bv was lower in the mixture than in the monoculture (p ≤ 0.001). The Bv plants in the mixture defoliated more infrequently (1000 AGDD) showed an increase in root biomass under 20–25% FC compared to 80–85% FC, with no differences measured between soil water levels in the monoculture. Total root length was highest in the mixture with the combination of infrequent defoliation and 20–25% FC. Conversely, frequent defoliation treatments resulted in reduced water-soluble carbohydrate reserves in the tiller bases of plants (p ≤ 0.001), as they allocated assimilates mainly to foliage growth. These results provide evidence that B. valdivianus can increase its competitiveness relative to Lp through the enhancement of the root growth and the energy reserve in the tiller base under drought conditions and infrequent defoliation in a mixture.

1. Introduction

Natural grasslands and anthropogenic pastures cover 31–43% of Earth’s terrestrial habitats []. Grasslands are composed of different functional types of species (e.g., woody, graminoid, forb), where the species diversity is closely linked to climate and herbivory history in the ecosystem []. In New Zealand, the pastoral systems rely mainly on Lolium perenne L. (Lp) and Trifolium repens L. mixed pastures. Although management practices (i.e., defoliation frequency, nutrient applications) for this simple mixture are well understood by farmers in New Zealand, Hooper et al. [] have reported that enhancing pasture diversity improves herbage mass production. A greater herbage mass production of mixed pastures is based on the plant functional diversity of the ecosystem [,], that is, how the ecosystem functionality and stability are modified by species richness and thus species traits [].
Morphological plant traits, such as root depth and specific leaf area (SLA) indicate how a plant behaves and, thus, how it interacts in the ecosystem (i.e., competes) with neighbours []. These traits build up plant growth strategies and can be classified as fast traits and slow traits []. Fast traits are found in plants that are well adapted to rich environments, and consist of fast above and below ground growth rates that provide strong competition for resources []. They are associated with a dehydration avoidance strategy [] and a low survival under extreme droughts []. On the other hand, plants with slow traits invest more resources to acquire a deep and coarse root system to maintain a minimum of water uptake, even during extreme droughts [], which confers a dehydration tolerance strategy to the species [].
Lolium perenne is classified as a species with fast traits and a highly competitive strategy []. As a result, in New Zealand, under favourable environmental conditions, the accumulated herbage mass of Lp can reach 16.5 to 18 t (dry matter) DM year−1 under grazing []. In more stressful environments, such as New Zealand’s hill country, which can have steep slopes and shallow soils with a limited soil water holding capacity [], Lp growth rate is reduced [], and Lp is outperformed by species with lesser foraging potential (i.e., low forage quality, such as Agrostis capillaris L.), but that are better suited to those conditions [].
The increasing frequency and severity of summer droughts as a consequence of climate change [] have shifted the growth and conditions of pastures from high growth rate and high-quality herbage to low growth rates and quality within the same year. The consequence of this in rainfed systems is a high tiller death of Lp during summer droughts, which reduces the annual production and persistence of Lp []. Therefore, under these conditions, the ecological niche left empty by species such as Lp could be suitable for other pasture species belonging to a different functional group, such as more water stress-tolerant species [].
Previous studies have shown how Lp competes for resources and how it performs in a mixture and as a monoculture under contrasting environments [,]. In these studies, the growth of Festuca arundinacea L. (the accompanying species) was suppressed by Lp under different environmental constraints (i.e., short drought, high temperatures). However, due to the effects of climate change and the increasing reduction in Lp plant survival under severe drought, the study of other desirable species is necessary. Bromus valdivianus Phil. (Bv) is a grass species native to the south of Chile (temperate humid climate, similar to New Zealand), with similar agricultural characteristics and soil physical and fertility requirements to Lp []. Although it is commercially available to farmers, and it produces a similar herbage mass quantity and quality as Lp [,], it is not widely used in New Zealand. Unlike Lp, Bv has a slow trait strategy (i.e., deep root system), that allows it to maintain growth and compete better for resources during the warm season, when low soil water conditions negatively affect the herbage mass production [,]. In addition, Ordoñez et al. [] reported that Bv can maintain up to six leaves per tiller, while López et al. [] stated that Bv has a bigger tiller size compared to Lp, but with a lower tiller number per unit area. It was also reported that these species can coexist in permanent grasslands in the south of Chile [], and further research described the competition processes between Bv and Lp [].
Pasture defoliation frequency is a species-specific criterion and determines pasture production and persistence []. This criterion is based on the replenishment of water-soluble carbohydrates (WSC) in the base of tillers prior to a pasture defoliation event []. Leaf regrowth stage (number of leaves per tiller) is a morphological parameter closely related to WSC levels in the tiller base, as well as to forage quality and DM yield [,]. Very little is known about how defoliation frequency affects species production and persistence in a mixture of two grasses differing in their functional strategy (Bv and Lp in this case). In addition, little is known regarding how changes in defoliation frequency (i.e., a higher defoliation frequency) may benefit the growth of slow trait strategy species under contrasting soil water conditions (high or low soil water levels).
The abundance and persistence of species in a mixed pasture depends on the interaction between the habitat, the strategies and competition process between species []. A clear understanding of these processes, which are related to changes in morphological traits in the species, along with optimal defoliation practices to secure species persistence, are essential to successfully incorporating new species into a farming system [,]. It is important to determine: (a) how interspecific and intraspecific competition shift under contrasting soil water conditions, (b) how Bv morpho-physiology grown in a mixture with Lp is modified, and (c) how defoliation frequency impacts species persistence and promotes species functional traits. Therefore, it was hypothesised that a mixed pasture of a slow trait strategy (Bv) and a fast trait strategy (Lp) species presents a greater growth of the former compared with its monoculture under low available soil water levels. However, under well-watered conditions, Lp will compete strongly for resources (nutrients, light) and potentially out-compete Bv. Thus, the main objective of the current study was to identify and analyse the main morphological and physiological changes in Bv mixed with Lp, compared to a Bv monoculture, under contrasting soil water conditions and defoliation frequencies.

2. Materials and Methods

2.1. Location and Experimental Design

The study was carried out in a glasshouse at Massey University’s Plant Growth Unit, (40.37° latitude south and 175.61° longitude west), from 9 October 2018 to 12 March 2019. A total of 204 pots, each of 8 L capacity (24 cm upper diameter, 17 cm lower diameter and 24 cm height) were filled with a mixture of 30% Manawatu silt loam soil and 70% fine sand to achieve a sandy loam texture. On 9 October, in each pot, 2 seeds of either Bromus valdivianus Phil. cv. Bareno (Bv) or Lolium perenne L. cv. Trojan (Lp) were planted in 24 equidistance positions (i.e., totalling 24 plants per pot), with 40 mm between them.
At the early seedling establishment stage, the number of plants per pot was thinned to one plant (of either Bv or Lp) per position. A combination of two types of pastures, three defoliation frequencies and two soil water restriction levels (2 × 3 × 2 factorial arrangement; 12 treatments) were applied in a complete randomised block design with four blocks (four pots per treatment). Two pasture types were sown: (1) a monoculture of Bv; and (2) a mixture of 50% Bv and 50% Lp. In the mixture, both species competed for space and resources. The monoculture pasture was the control to capture any physiological and morphological growth adjustments in Bv due to the presence of Lp.
In order to produce the six live leaves that each tiller maintains, Bv required 1000 accumulated growing degree days (AGDD), based on the results of Ordoñez et al. []. The temperature inside the glasshouse was recorded daily at 10 min intervals and AGDD was calculated following the method of McMaster and Wilhelm [], using 0 °C as base temperature. For the whole experimental period, the average temperature was 22.5 °C, while the maximum and minimum temperature were 27.8 °C and 17.2 °C, respectively. Thus, three defoliation frequencies were applied: 250, 500 and 1000 AGDD. The 250 AGDD treatment evaluated pasture growth under a highly-intensive defoliation regimen (defoliated four times during each 1000 AGGD period), while the 500 AGDD treatment was an intermediate defoliation frequency (defoliated two times).
In addition, two soil water levels were applied as follows: 80–85% of field capacity (FC) and 20–25% FC. The 80–85% FC was the control for the soil water restriction treatment. The volumetric water contents were continuously monitored by ECH2 O EC-5 soil moisture sensors (METER Group, Inc., Pullman, WA, USA) located in the soil at the centre of 12 randomly-selected pots (one pot per treatment combination), which recorded data every 15 min. The soil moisture levels in each treatment were readjusted daily by irrigation according to the following formula:
I = ([IC − WC]/100) × BD × SD × PA
where I: irrigation (L m−2); IC: irrigation criteria (vol. %); WC: substrate water content (vol. %); BD: bulk density (mg m−3); SD: substrate depth (m); PA: pot area (0.045 m2).
In order to obtain the water release curve of the substrate, samples were taken from six supernumerary pots using one cylinder (volume: 147 cm3) per pot and applying them to a pressure plate apparatus at different pressures. Field capacity was reached at a pressure of 60 hPa and 16% of the volume of the substrate, and permanent wilting point (PWP) at a pressure of 15,000 hPa and 2% of the volume of the substrate.
In addition, 13 extra repetitions were managed under the same conditions as the corresponding pots to each treatment. These “spare” pots were utilised at the final harvest to increase the sample amount in physiological and morphological determinations (explained below).
The results of the chemical analysis of the substrate were as follows: pH 6.3 (1:2 (soil:water)), 35 mg L−1 Olsen phosphorus, 0.34 me 100 g−1 potassium, 2.4 me 100 g−1 calcium, 0.6 me 100 g−1 magnesium, 3 me 100 g−1 cation exchange capacity and 83 mg kg−1 sulfate sulfur. Based on this analysis, the following fertiliser was added to each 60 L of substrate: 120 g of slow-release formula (14% nitrogen (N), 5% phosphorus, 10% soluble potash, 0.5% magnesium, 3.2% sulfur, 1.6% iron and 0.3% manganese), 60 g short term formula (14% total N, 6% phosphorus, 11.6% potassium, 1% magnesium, 4% sulphur, 1% iron and 0.5% manganese), and 90 g of dolomite (calcium-carbonate).

2.2. Experimental Stages

The length of the plant establishment period was 9 weeks, which allowed plants to produce roots and at least three tillers per plant before the beginning of the experimental stages. At the end of the establishment phase (when the 6th Bv leaf appeared in the older tillers), all plants were defoliated, and two plants located in the centre of each pot were marked at their base with a paper clip. This indicated the start of the defoliation frequency treatments. All defoliations were performed to a 50 mm height. The plants were managed without any water restriction for 1000 AGDD (when the most infrequent defoliation treatment was reached); at this stage, the 500 AGGD defoliation treatment had been defoliated twice and the 250 AGGD had been defoliated four times. This period was utilised as a pre-treatment stage to allow the plants to adapt their architecture to the defoliation treatment received. After this, the soil water treatments were imposed and plants completed a further 1000 AGDD, including their associated defoliation frequency treatments (all the measurements occurred at this stage).

2.3. Measurements

Two tillers per pot were marked with paper clips at their base, and tiller leaf length and number of leaves per tiller were recorded every three days throughout the stage. For the 250 and 500 AGDD treatments, the average leaf length of four and two growth cycles, respectively, was used. The leaf length of an elongating leaf included the distance from the ligule of the previous fully expanded leaf to the lamina tip, and for a fully expanded leaf considered the distance from the ligule to its tip. Tiller density was monitored once a week by counting the number of tillers in the two central plants per pot. At the final harvest, the two marked tillers were cut to ground level and the following measurements were made: leaf regrowth stage (LS) as the number of fully expanded leaves per tiller, leaf area tiller−1 (mm2 °Cd−1) using a leaf area meter (LI-COR 3100, area meter), SLA (mm2 mg °Cd−1) as the quotient between leaf area (mm2 °Cd−1) and leaf weight (mg °Cd−1) by drying the leaves at 70 °C for 48 h in an air forced oven. Each variable was then divided by the time elapsed in each defoliation frequency, to calculate their rate. The remaining plants in each pot were cut to 50 mm. The stubble (tiller base below the 50 mm defoliation height) was cut at ground level and frozen with liquid nitrogen before freeze-drying. Then, the samples were weighed and analysed for WSC and starch content by the Nutritional Laboratory, Massey University (Palmerston North, New Zealand). The WSC was determined using the colorimetric assays developed by Somogyi-Nelson []. Starch content was quantified using a modified Megazyme protocol (Megazyme Total Starch Assay Procedure, AOAC method 996.11, Megazyme International, Ireland). All harvests were undertaken between 9 and 11 am to avoid diurnal changes in WSC [].
In three “spare” pots per treatment, one centre plant was selected and harvested and separated into above ground from below ground biomass. Above ground biomass was weighed after being dried at 70 °C for 48 h. The roots were washed using a 1 mm sieve, scanned with an EPSON scanner (400 dpi) to enable total root length, root surface area, root volume and root diameter to be analysed using Winrhizo software (ver. 2012b, Regent Instruments Inc., Quebec, QC, Canada). After that, root biomass per plant was obtained following the same procedure as above ground biomass, and root mass fraction was calculated as the ratio of root mass to total mass. The rest of the pots were used to measure malondialdehyde (MDA) concentration. The MDA concentration in the last full expanded leaf in a tiller was determined by the thiobarbituric acid reaction as follows []: 0.5 g of green leaf material was collected and frozen immediately using liquid nitrogen. In a laboratory, each sample had 5 mL of 5% trichloroacetic acid added to it. The mixture was ground and centrifuged at 3000 rpm for 10 min. After that, 2 mL of the supernatant obtained was added to 2 mL of 0.67% thiobarbituric acid and incubated in a boiling water bath for 30 min, and then centrifuged. The supernatant was displaced in a spectrometer and used the following formula to obtain the concentration:
MDA (µmol L−1) = 6.45(A532 − A600) − 0.56A440
where A is the absorbance value at different wavelengths (532, 600 and 440 nm).

2.4. Statistical Analysis

The statistical model for the analyses performed at the tiller and plant level evaluated two classes of competition treatments (individual tillers and plants of Bv grown in a monoculture or Bv tillers and plants grown in a mixture (50% Bv–50% Lp)). Both treatments were subjected to three defoliation frequencies (250 AGDD, 500 AGDD and 1000 AGDD) and two soil water restriction levels (80–85% FC and 20–25% FC). Thus, the model performed the individual interactions between treatments and the triple interaction (competition level–defoliation frequency–soil water restriction level). R statistical software was used to perform a one-way analysis of variance (ANOVA), least significant difference (LSD) and canonical variate analysis (CVA), to analyse statistical differences and relationships between treatments and measured variables, with a level of significance of 5% (p = 0.05) []. The CVA analysis was performed with Candisc package and the biplot was performed with Heplot package only for the morphological traits. More details about CVA analysis can be found in López et al. [].

3. Results

3.1. Tiller Components

In the mixture, the leaf area and the tiller weight of Bv diminished by 20% (p ≤ 0.05). The 20–25% FC treatments diminished leaf area (30%) (p ≤ 0.001), SLA (33%) (p ≤ 0.01), lamina length rate (52%) (p ≤ 0.01) and accumulated leaf length (51%) (p ≤ 0.01) of Bv. Conversely, leaf weight per plant was not affected by soil water levels (p ≥ 0.05) (Table 1).
Table 1. Tiller components of Bromus valdivianus (Bv) grown under two pasture types (monoculture and in a 50/50% mixture with Lolium perenne), and subjected to three levels of defoliation frequency (250, 500 and 1000 accumulated growing degree days (AGDD)), and two levels of soil water content (80–85% and 20–25% of field capacity (FC)). Values are presented as mean ± SEM.
Leaf area, leaf weight and SLA per tiller of Bv increased under the most frequent defoliation (p ≤ 0.01), while accumulated leaf length per tiller showed the lowest value at this defoliation frequency (Table 1). Lamina length rate increased under the 1000 AGDD compared to the 250 AGDD treatment (p ≤ 0.001), but there was no significant difference (p ≥ 0.05) between the 1000 and 500 AGDD treatments. The interaction between defoliation frequency and soil water level was only significant for LS (p ≤ 0.01). The number of leaves increased with decreasing defoliation frequency and under well-watered conditions (p ≤ 0.001). Conversely, tillers per plant did not show any modification by any of the factors (p ≥ 0.05) (Table 1). The defoliation frequency and pasture type interaction, pasture type and water level interaction, and three-way interaction between main factors were not significant (p > 0.05).

3.2. Plant Morphological Traits at Final Harvest

At the final harvest, the interaction between pasture type and soil water level was significant for all of the evaluated variables at plant level, except for root diameter (Table 2). The 80–85% FC treatments provided the highest values for Bv above ground biomass, root biomass, and root volume in the monoculture. In contrast, under 20–25% FC, there was no significant difference (p ≥ 0.05) in the total root length and root area of Bv plants grown in monoculture or mixture. Root diameter was only affected by pasture type, with an increase in Bv plants growing in the monoculture (p ≤ 0.01).
Table 2. Above and below ground components of Bromus valdivianus (Bv) plants grown under two pasture types (monoculture and in a 50/50% mixture with Lolium perenne), and subjected to three levels of defoliation frequency (250, 500 and 1000 accumulated growing degree days (AGDD)), and two levels of soil water content (80–85% and 20–25% of field capacity (FC)). Values are presented as mean ± SEM.
A reduction in the defoliation frequency increased above ground biomass, root biomass, root area, and root volume (p ≤ 0.001). Total root length showed an interaction (p ≤ 0.05) between defoliation frequency and soil water level, where Bv under the most infrequent defoliation and 20–25% FC had the longest root system (Table 2). The defoliation frequency and pasture type interaction, and three-way interaction between main factors were not significant (p > 0.05).

3.3. Effects on Plant Growth Morphology under Different Defoliation Frequencies

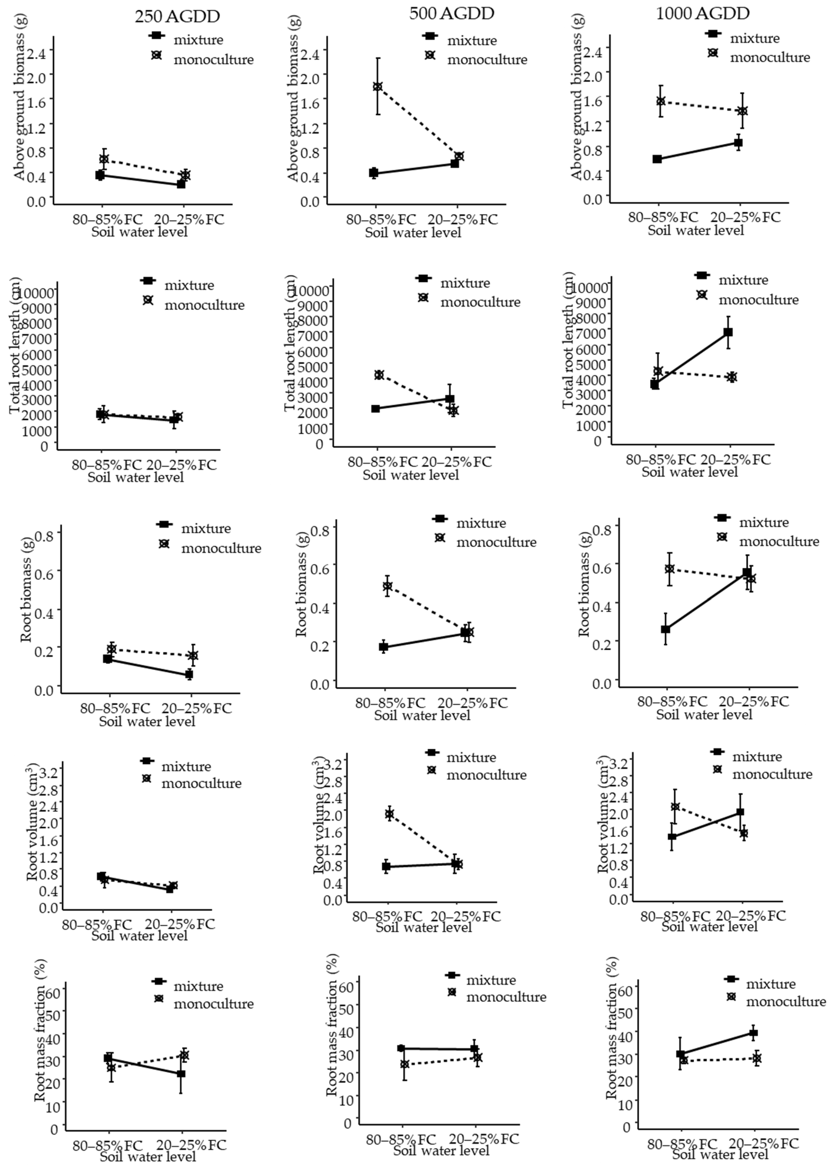
Overall, Bv plants in the mixture and defoliated at 1000 AGDD increased root biomass, total root length and root mass fraction when the soil water level changed from to 80–85% FC to 20–25% FC (Figure 1). As a result, under 20–25% FC, total root length and root biomass fraction of Bv in the mixture was greater than Bv plants in monoculture when defoliated at 1000 AGDD. Conversely, these variables of Bv in the monoculture did not change when the soil water level declined, except for root volume which decreased. Furthermore, above ground biomass showed, for both water levels, a higher value in the monoculture than in the mixture; and in the mixture it increased under 20–25% FC. Root volume did not change between pasture types (Figure 1).
Figure 1. Effect of variation in soil water content, from 80–85% of field capacity (FC) to 20–25% FC on Bromus valdivianus morphology grown under two pasture types (monoculture and in a 50/50% mixture with Lolium perenne), and subjected to three levels of defoliation frequency (250, 500 and 1000 accumulated growing degree days (AGDD)). The first column shows 250 AGDD defoliation treatment, the second 500 AGDD ad the third 1000 AGDD treatment.
With the 500 AGDD defoliation treatment, Bv plants in the monoculture under 80–85% FC had higher values in above ground biomass, total root length, root biomass and root volume (Figure 1). However, these variables decreased in Bv in the monoculture and under soil water restrictions, with no differences between pasture types under 20–25% FC. The Bv in the mixture did not vary in any of the measured variables when soil water level was modified. Root mass fraction did not show differences under any of the treatments.
Under the most frequent defoliation (250 AGDD), the root biomass of Bv in the mixture decreased under 20–25% FC. Further, plants in the monoculture under 20–25% FC had greater root biomass than plants in the mixture (Figure 1). Above ground biomass was higher in the monoculture under well-watered conditions, but decreased with soil water restriction, to a similar amount as the above ground biomass in the mixture. Total root length, root volume and root mass fraction did not show any differences between pasture types and soil water levels.
The CVA explained 93.8% of the total differences between the treatments with a significant Wilks’ lambda (p ≤ 0.001); the first two canonical variates explained 93.8% of the differences between groups (CAN 1 = 79.9%, p ≤ 0.001; CAN 2 = 13.9%, p ≤ 0.001) (Figure 2). Along CAN 1 the treatments were separated by defoliation frequency, in a positive direction, such that treatments under 250 AGDD defoliation were related with high SLA values. In the other extreme of CAN 1, the treatments under the most infrequent defoliation were located and the variables associated with them were related to the increase in root size. Along CAN 2, treatments were separated by soil water level, such that increasing leaf size under 80–85% FC conditions was located in the positive direction, while increasing root length was strongly associated with 20–25% FC in the opposite direction.
Figure 2. Changes in morphological variables and their relationships for Bromus valdivianus grown under two pasture types (monoculture (MC) and in a 50/50% mixture with Lolium perenne (MX)), and subjected to three levels of defoliation frequency (250, 500 and 1000 accumulated growing degree days (AGDD)), and two levels of soil water content (80–85% and 20–25% of field capacity (FC)). The size of the null hypothesis (H) ellipsis relative to the error ellipsis (within-group variance) is an indication of the magnitude of the multivariate effect of the group mean.

3.4. Changes in Stubble WSC, Starch and Leaf MDA Concentration

The amount of WSC per kg of DM increased (p ≤ 0.001) with a decrease in soil water level (Table 3). The WSC concentration (g kg−1 DM) in the stubble under 25–20% FC was 52% and 41% higher for 250 AGD and 500 AGDD treatments, compared with the same defoliation treatments under 80–85% FC, respectively. In the 1000 AGDD defoliation treatment, WSC concentration was at its highest, with higher values for Bv in a monoculture than in a mixture. The WSC content per tiller (mg tiller−1) increased 30% under 25–20% FC (p ≤ 0.001). Furthermore, there was an interaction between defoliation frequency and pasture type (p ≤ 0.01), where Bv tillers showed higher content of WSC in the monoculture defoliated at 1000 AGDD, followed by Bv growing in the mixture at the same defoliation frequency. Defoliations at 500 AGDD showed greater WSC amount per tiller than 250 AGDD, with no difference between pastures types (Table 3).
Table 3. Stubble water-soluble carbohydrate (WSC) content (mg plant−1) and concentration (g kg−1 of dry matter, DM), stubble starch content (mg plant−1) and concentration (g kg−1 DM) and leaf malondialdehyde (MDA) concentration (µmol L−1) of Bromus valdivianus plants grown under two pasture types (monoculture and in a 50/50% mixture with Lolium perenne), and subjected to three levels of defoliation frequency (250, 500 and 1000 accumulated growing degree days), and two levels of soil water content (80–85% and 20–25% of field capacity (FC)). Values are presented as mean ± SEM.
There was a significant interaction for starch concentration in the stubble between defoliation frequency and soil water level (p ≤ 0.05), where the starch concentration increased when Bv was defoliated at 1000 AGDD under well-watered conditions. In addition, there was an interaction between pasture type and defoliation frequency for starch concentration (p ≤ 0.05) and mg of starch per tiller (p ≤ 0.001), with the highest value for Bv in the monoculture defoliated at 1000 AGDD (Table 3). Defoliation frequency and soil water level interaction was also significant (p ≤ 0.001), resulting in a decrease in the amount of starch under increased defoliation frequency, while the highest value was reached under 1000 AGDD defoliation and 80–85% FC (Table 3).
In addition, MDA concentration in the youngest fully-expanded leaf altered significantly with soil water level (p ≤ 0.001), with an increase in MDA concentration in plants growing under 20–25% FC. There were also significant differences with defoliation frequency (p ≤ 0.001), with an increase in MDA concentration in plants defoliated at 250 AGDD compared to less frequent defoliations (Table 3). The water and pasture type interaction was not significant (p > 0.05)

4. Discussion

The current glasshouse study highlighted that the decline in soil water level significantly changed the assimilate allocation pattern to promote soil exploration by Bv roots growing in a mixture. These results support the complementary nature of Bv and Lp sown in a mixture, especially under conditions of soil water restriction, as the species utilise a different ecological niche (i.e., water uptake from different soil layers) and therefore are not regarded as strongly competing for the same resources []. These results also support the functionality of Bv in the mixture as a water stress-tolerant species.
The increase in Bv total root length under the mixture and 20–25% FC could be the outcome of reduced competition below ground between Bv and Lp. The phenotypic plasticity (i.e., root elongation under 20–25% FC) of Bv plants in the mixture to maximise water uptake was most likely part of the Bv plant strategy to overcome the low soil water availabilities []. However, this root elongation was only achieved under the most infrequent defoliation, confirming the significant role of defoliation frequency in root development []. This finding agrees with the optimal leaf regrowth stage defoliation frequency for Bv, which Ordoñez et al. [] defined as being between 3.5–4.0 LS, to enhance herbage mass production and pasture persistence.

4.1. Tiller Components

At the tiller level, a lower above ground competitiveness of Bv relative to Lp in the mixture was reflected in a diminishment in Bv leaf area, leaf weight and leaf regrowth stage, which evidenced the difficulty of Bv to capture light when it is competing with a fast trait strategy species, such as Lp. Teughels et al. [] reported similar above ground competition between Lp and Festuca arundinacea Schreb., with a diminishment in above ground growth of F. arundinacea. The leaf area per plant, which is dependent on leaf size and number of leaves per tiller, is the most important component affecting the DM yield of forage species as it plays a key role in capturing light []. Therefore, interspecific competition affected Bv foliage mass in the mixture.
The decrease in Bv leaf weight per tiller in the mixture could be related to a decrease in the lamina width, because the accumulated leaf length was not modified by pasture type (Table 1). In addition, a lower leaf regrowth stage (number of fully expanded leaves per tiller) in the mixture may have decreased Bv ability to compete for resources with Lp. The leaf regrowth stage is closely related with leaf lifespan in C3 grass species [], and could be used as a defoliation frequency criterion in Bv [,].
The reduction in soil water levels (from 80–85% FC to 20–25% FC) affected Bv tiller development more severely than competition between species, as the leaf regrowth stage was more affected under low soil water conditions (Table 1). Soil water constraint triggers different physiological responses in the plant, reducing the length of the division zone and also cell division on the basal part of growing leaves, which decreases leaf appearance and leaf elongation rate [,]. These changes affect the phyllochron of grass species and therefore growth under environmental constraint [].
The 20–25% FC treatment negatively modified five of the nine measured variables at the tiller level (Table 1). As soil water became more limiting, the resource allocation in the plant changed to a more conservative form, by investing less in new leaf appearance and expansion []. Lastly, the number of tillers per plant was also unaffected by either defoliation frequency or soil water stress, similar to previous studies on Bv [,]. This low plant plasticity, keeping all the tillers alive under soil water shortage, has been reported as a plant survival mechanism in some other forage species [].

4.2. Plant Morphological Traits at Final Harvest and Effects on the Plant Growth Morphology under Different Defoliation Frequencies

At the final harvest, the above ground biomass results at the plant level were associated with the tiller growth during the study. Intraspecific competition, usually, is higher than interspecific competition due to a lack of niche complementation in the former []. However, in the present study, above ground biomass in the monoculture was greater than in the mixture under well-watered conditions (Table 2). This is similar to results reported by López et al. [], who found that Bv above ground biomass was affected by Lp competition under 80–85% FC, 45–50% FC and 20–25% FC. In the present study, root biomass was highest in the mixture and at the most infrequent defoliation under 20–25% FC. Conversely, López et al. [] reported the lowest root biomass value under 20–25% FC compared with 80–85% FC and 45–50% FC. The resource use complementarity described by Zhao et al. [] under no environmental constraints in a mixture between Lp and F. arundinacea also differed from the presents results, as F. arundinacea root biomass was greater under well-watered conditions. The differences in root mass between the present study and results reported by López et al. [] and Zhao et al. [] are mainly explained by the defoliation frequency treatments used in the present study. Under 1000 AGDD defoliation treatment, Bv plants in the mixtures showed an increase in above and below ground biomass when soil water content changed from high to low, with below ground biomass reaching similar values to those of plants in the monoculture (Figure 1).
The Bv strategy to maintain a minimum level of water uptake in the mixture and under soil water restriction was confirmed by the increase in total root length and root mass fraction, instead of root volume []. The root length growth of Bv under soil water restriction could have been promoted by hydrotropism catalysed by abscisic acid, probably due to less photosynthetic activity as a consequence of stomatal closure and less shoot biomass available to photosynthesise []. In addition, a lower Bv root diameter in the mixture could be associated with the absolute total root length value of the mixture under 20–25% FC compared to the monoculture, because thinner roots allow a better soil exploration with less investment in root biomass [].
The CVA showed that the effect of pasture type was not as strong as defoliation frequency and soil water level effects on the morphology traits of Bv plants. Defoliation frequency was the main driver of change in plant morphology traits, while soil water restriction affected leaf growth and enhanced root elongation on Bv plants subjected to 1000 AGDD defoliation treatment.
In the mixture, only under the combination of the most infrequent defoliation (1000 AGDD) and low soil water levels (20–25% FC) was Bv growth unaffected, while the growth of Bv plants subjected to fast and medium defoliation frequencies was decreased by neighbouring Lp plants. Similarly, López et al. [] reported that Lp growth was not affected in a 50/50% mixture of Lp and Bv, compared to Lp in a monoculture. Thus, under field conditions, a decrease in Lp growth should not be expected due to competition from Bv in a mixture.

4.3. Changes in Stubble Water Soluble Carbohydrate, Starch and Leaf MDA Concentration

The MDA concentration is a result of lipid peroxidation in cell walls due to the attack of active oxygen species that are accumulated in the cells under oxidative stress caused by, for example, high temperatures and prolonged droughts. Thus, higher concentrations of MDA indicate damage on the cell membrane []. The present results of an increase in MDA concentration in the leaf lamina under the 250 AGDD defoliation treatments showed that plants had greater cell damage than plants under less frequent defoliations.
An increase in MDA concentration (i.e., increase in membrane peroxidation) might indicate a reduction in the photosynthesis capacity of the plant [,], and then a decrease in above and below ground growth. It was reported that soil water restriction increases lipid peroxidation in leaf cells []; however, to our knowledge, no study has previously reported an increase in oxidative stress in plants due to frequent defoliation (Table 3).
Following defoliation of temperate grasses, WSC are remobilised primary from the stubble to re-establish leaf growth []. After a defoliation event, the highest priority for allocation of assimilates is the re-establishment of a photosynthetic apparatus (i.e., leaf regrowth []). Similarly, in the present study, under the most infrequent defoliation, Bv plants replenished their WSC reserves and allocated more assimilates towards root growth.
Both the WSC concentration and content of the stubble of Bv plants were higher under low soil water levels, probably as part of a strategy to enhance survival during a shortage of water and to recover production following the water shortage []. Part of the higher WSC accumulation would also be a result of lower growth during the soil water restriction. However, Volaire et al. [] reported that under a drought, growth ceased within 10 days in Lp and Dactylis glomerata L., but the amount of WSC accumulation in the stubble during the drought was different between the species and even between cultivars of D. glomerata.
Starch is another polysaccharide that functions as an energy reserve substrate, mostly in tropical C4 grasses, legumes and some temperate C3 grasses such as rice []. Starch content can increase in temperate grasses during stem elongation and seed-head development [,]. The amount of starch found in the Bv plants was low, which suggests the main storage compounds for Bv are WSC. However, as with WSC, starch accumulation depended on the defoliation frequency, indicating that it could also play a role in the regrowth immediately after defoliation as a reserve compound in the stubble.

5. Conclusions

The results from the present study indicated that the increase in the soil water restriction, from 80–85% FC to 20–25% FC, generated an opportunity for Bv to increase its competitiveness relative to Lp by increasing root growth. The expression of this attribute was enhanced under the low defoliation frequency (1000 AGDD treatment), which demonstrated the importance of the defoliation frequency for Bv growth and its competitiveness in a mixture. This water stress-tolerant grass can improve the amount of forage in New Zealand pastures during summer droughts, which are increasing in severity and occurrence due to climate change. However, it is relevant to test under field conditions, where the plants are able to explore the soil horizon.

Author Contributions

Conceptualization, J.G.-F. and I.F.L.; methodology, J.G.-F., I.F.L., Y.Z., D.J.D., L.M.C. and P.D.K.; formal analysis, J.G.-F.; investigation, J.G.-F.; writing—original draft preparation, J.G.-F.; writing—review and editing, I.F.L., Y.Z., D.J.D., L.M.C. and P.D.K. All authors have read and agreed to the published version of the manuscript.

Funding

This research received no external funding.

Institutional Review Board Statement

Not applicable.

Data Availability Statement

The data presented in this study are available on request from the corresponding author.

Acknowledgments

The authors are grateful to staff members of the Plant Growth Unit, Massey University for their help during the measurements. We thank Massey University Research Fund (MURF) for financial support.

Conflicts of Interest

The authors declare no conflict of interest.

References

  1. Gibson, D.J.; Newman, J.A. Grasslands and climate change: An overview. In Grasslands and Climate Change; Gibson, D.J., Newman, J.A., Eds.; Cambridge University Press: Cambridge, UK, 2019; pp. 3–18. [Google Scholar]
  2. Diaz, S.; Lavorel, S.; McIntyre, S.; Falczuk, V.; Casanoves, F.; Milchunas, D.G.; Skarpe, C.; Rusch, G.; Sternberg, M.; Noy-Meir, I. Plant trait responses to grazing–A global synthesis. Glob. Chang. Biol. 2007, 13, 313–341. [Google Scholar] [CrossRef]
  3. Hooper, D.U.; Chapin, F.S.; Ewel, J.J.; Hector, A.; Inchausti, P.; Lavorel, S.; Lawton, J.H.; Lodge, D.M.; Loreau, M.; Naeem, S.; et al. Effects of biodiversity on ecosystem functioning: A consensus of current knowledge. Ecol. Monogr. 2005, 75, 3–35. [Google Scholar] [CrossRef]
  4. Tilman, D. Functional diversity. In Encyclopaedia of Biodiversity; Levin, S.A., Ed.; Academic Press: San Diego, CA, USA, 2001; Volume 3, pp. 109–120. [Google Scholar]
  5. Sanderson, M.A. Stability of production and plant species diversity in managed grasslands: A retrospective study. Basic Appl. Ecol. 2010, 11, 216–224. [Google Scholar] [CrossRef]
  6. Proulx, R.; Wirth, C.; Voigt, W.; Weigelt, A.; Roscher, C.; Attinger, S.; Baade, J.; Barnard, R.L.; Buchmann, N.; Buscot, F.; et al. Diversity promotes temporal stability across levels of ecosystem organization in experimental grasslands. PLoS ONE 2010, 5, e13382. [Google Scholar] [CrossRef]
  7. Grime, J.P. Evidence for the existence of three primary strategies in plants and its relevance to ecological and evolutionary theory. Am. Nat. 1977, 111, 1169–1194. [Google Scholar] [CrossRef]
  8. Reich, P.B. The world-wide ‘fast–slow’ plant economics spectrum: A traits manifesto. J. Ecol. 2014, 102, 275–301. [Google Scholar] [CrossRef]
  9. Fort, F.; Jouany, C.; Cruz, P. Root and leaf functional trait relations in Poaceae species: Implications of differing resource-acquisition strategies. J. Plant Ecol. 2013, 6, 211–219. [Google Scholar] [CrossRef]
  10. Turner, N. Adaptation to Water Deficits: A Changing Perspective. Funct. Plant Biol. 1986, 13, 175–190. [Google Scholar] [CrossRef]
  11. Grime, J.P.; Hodgson, J.G.; Hunt, R. Comparative Plant Ecology: A Functional Approach to Common British Species; Springer: New York, NY, USA, 2014. [Google Scholar]
  12. Clement, A.; Dalley, D.; Chapman, D.; Edwards, G.; Bryant, R. Effect of grazing system on nitrogen partitioning in lactating dairy cows grazing irrigated pastures in Canterbury, New Zealand. Proc. N. Z. Soc. Anim. Prod. 2016, 76, 94–99. [Google Scholar]
  13. Kemp, P.D.; López, I.F. Hill country pastures in the southern North Island of New Zealand: An overview. NZGA Res. Pract. Ser. 2016, 16, 289–297. [Google Scholar] [CrossRef]
  14. Hofer, D.; Suter, M.; Haughey, E.; Finn, J.A.; Hoekstra, N.J.; Buchmann, N.; Lüscher, A. Yield of temperate forage grassland species is either largely resistant or resilient to experimental summer drought. J. Appl. Ecol. 2016, 53, 1023–1034. [Google Scholar] [CrossRef]
  15. Henessy, K.; Fitzharris, B.; Bates, N.; Harvey, S.; Howden, M.; Hughes, L.; Salinger, J.; Warrick, R. Australia and New Zealand. In Climate Change 2007: Impacts, Adaptation and Vulnerability. Contributions of Working Group II to the Fourth Assessment Report of the Intergovernmental Panel on Climate Change; Parry, M.L., Canziani, O.F., Palutikof, J.P., van der Linden, P.J., Hanson, C.E., Eds.; Cambridge University Press: Cambrige, UK, 2007; pp. 507–540. [Google Scholar]
  16. Woodward, S.J.R.; Van Oijen, M.; Griffiths, W.M.; Beukes, P.C.; Chapman, D.F. Identifying causes of low persistence of perennial ryegrass (Lolium perenne) dairy pasture using the Basic Grassland model (BASGRA). Grass Forage Sci. 2020, 75, 45–63. [Google Scholar] [CrossRef]
  17. Teughels, H.; Nijs, I.; Van Hecke, P.; Impens, I. Competition in a global change environment: The importance of different plant traits for competitive success. J. Biogeogr. 1995, 22, 297–305. [Google Scholar] [CrossRef]
  18. Zhao, Y.; Li, Z.; Zhang, J.; Song, H.; Liang, Q.; Tao, J.; Cornelissen, J.H.C.; Liu, J. Do shallow soil, low water availability, or their combination increase the competition between grasses with different root systems in karst soil? Environ. Sci. Pollut. Res. 2017, 24, 10640–10651. [Google Scholar] [CrossRef]
  19. Lopez, I.; Balocchi, O.; Lailhacar, P.; Oyarzun, C. Characterization of the growing sites of six native and naturalized pasture species in the Dominio Humedo of Chile. Agro Sur 1997, 25, 62–80. [Google Scholar] [CrossRef]
  20. Ramírez, M.; Keim, J.P.; López, I.F.; Balocchi, O. Vegetational dynamics of sown pastures with native and naturalized species with and without fertilizer application. Agro. Sur. 2014, 42, 3–14. [Google Scholar] [CrossRef]
  21. Calvache, I.; Balocchi, O.; Alonso, M.; Keim, J.P.F.; López, I.F. Thermal Time as a Parameter to Determine Optimal Defoliation Frequency of Perennial Ryegrass (Lolium perenne L.) and Pasture Brome (Bromus valdivianus Phil.). Agronomy 2020, 10, 620. [Google Scholar] [CrossRef]
  22. López, I.F.; Kemp, P.D.; Dörner, J.; Descalzi, C.A.; Balocchi, O.A.; García, S. Competitive Strategies and Growth of Neighbouring Bromus valdivianus Phil. and Lolium perenne L. Plants Under Water Restriction. J. Agron. Crop Sci. 2013, 199, 449–459. [Google Scholar] [CrossRef]
  23. Keim, J.P.; López, I.F.; Balocchi, O.A. Sward herbage accumulation and nutritive value as affected by pasture renovation strategy. Grass Forage Sci. 2015, 70, 283–295. [Google Scholar] [CrossRef]
  24. Ordoñez, I.P.; López, I.F.; Kemp, P.D.; Donaghy, D.J.; Herrmann, P.; Hernández, F.; Bhatia, S. Pasture brome (Bromus valdivianus) leaf growth physiology: A six-leaf grass species. Agron. N. Z. 2017, 47, 13–22. [Google Scholar]
  25. Turner, L.R.; Donaghy, D.J.; Lane, P.A.; Rawnsley, R.P. Effect of defoliation management, based on leaf stage, on perennial ryegrass (Lolium perenne L.), prairie grass (Bromus willdenowii Kunth.) and cocksfoot (Dactylis glomerata L.) under dryland conditions. 1. Regrowth, tillering and water-soluble carbohydrate concentration. Grass Forage Sci. 2006, 61, 164–174. [Google Scholar]
  26. Fulkerson, W.J.; Donaghy, D.J. Plant-soluble carbohydrate reserves and senescence—Key criteria for developing an effective grazing management system for ryegrass-based pastures: A review. Aust. J. Exp. Agric. 2001, 41, 261–275. [Google Scholar] [CrossRef]
  27. Turner, L.R.; Donaghy, D.J.; Lane, P.A.; Rawnsley, R.P. Effect of defoliation management, based on leaf stage, on perennial ryegrass (Lolium perenne L.), prairie grass (Bromus willdenowii Kunth.) and cocksfoot (Dactylis glomerata L.) under dryland conditions. 2. Nutritive value. Grass Forage Sci. 2006, 61, 175–181. [Google Scholar] [CrossRef]
  28. Harris, W.; Forde, B.; Hardacre, A. Temperature and cutting effects on the growth and competitive interaction of ryegrass and paspalum: 1. Dry matter production, tiller numbers, and light interception. N. Z. J. Agric. Res. 1981, 24, 299–307. [Google Scholar] [CrossRef]
  29. Tow, P.; Lazenby, A. Competition and Succession in Pastures; CABI: Wallingford, UK, 2000. [Google Scholar]
  30. Sanderson, M.A.; Skinner, R.H.; Barker, D.J.; Edwards, G.R.; Tracy, B.F.; Wedin, D.A. Plant Species Diversity and Management of Temperate Forage and Grazing Land Ecosystem. Crop Sci. 2004, 44, 1132–1144. [Google Scholar] [CrossRef]
  31. McMaster, G.S.; Wilhelm, W.W. Growing degree-days: One equation, two interpretations. Agric. For. Meteorol. 1997, 87, 291–300. [Google Scholar] [CrossRef]
  32. Nelson, N. A photometric adaptation of the Somogyi method for the determination of glucose. J. Biol. Chem 1944, 153, 375–380. [Google Scholar] [CrossRef]
  33. Fulkerson, W.; Slack, K. Leaf number as a criterion for determining defoliation time for Lolium perenne: 2. Effect of defoliation frequency and height. Grass Forage Sci. 1995, 50, 16–20. [Google Scholar] [CrossRef]
  34. Hodges, D.M.; DeLong, J.M.; Forney, C.F.; Prange, R.K. Improving the thiobarbituric acid-reactive-substances assay for estimating lipid peroxidation in plant tissues containing anthocyanin and other interfering compounds. Planta 1999, 207, 604–611. [Google Scholar] [CrossRef]
  35. R Core Team. R: A Language and Environment for Statistical Computing. 2013. Available online: https://www.r-project.org/ (accessed on 3 June 2019).
  36. López, I.F.; Lambert, M.G.; Mackay, A.D.; Valentine, I. The influence of topography and pasture management on soil characteristics and herbage accumulation in hill pasture in the North Island of New Zealand. Plant Soil 2003, 255, 421–434. [Google Scholar] [CrossRef]
  37. Mommer, L.; Van Ruijven, J.; De Caluwe, H.; Smit-Tiekstra, A.E.; Wagemaker, C.A.M.; Joop Ouborg, N.; Bögemann, G.M.; Van Der Weerden, G.M.; Berendse, F.; De Kroon, H. Unveiling below-ground species abundance in a biodiversity experiment: A test of vertical niche differentiation among grassland species. J. Ecol. 2010, 98, 1117–1127. [Google Scholar] [CrossRef]
  38. Chaves, M.M.; Maroco, J.P.; Pereira, J.S. Understanding plant responses to drought—From genes to the whole plant. Funct. Plant Biol. 2003, 30, 239–264. [Google Scholar] [CrossRef]
  39. Turner, L.R.; Donaghy, D.J.; Lane, P.A.; Rawnsley, R.P. Patterns of leaf and root regrowth, and allocation of water-soluble carbohydrate reserves following defoliation of plants of prairie grass (Bromus willdenowii Kunth.). Grass Forage Sci. 2007, 62, 497–506. [Google Scholar] [CrossRef]
  40. Chapman, D.; Lemaire, G. Morphogenetic and structural determinants of plant regrowth after defoliation. In Proceedings of the XVII International Grassland Congress; Baker, M.J., Ed.; Keeling and Mundy Ltd.: Palmerston North, New Zealand, 1993; pp. 94–104. [Google Scholar]
  41. Gastal, F.; Lemaire, G. Defoliation, Shoot Plasticity, Sward Structure and Herbage Utilization in Pasture: Review of the Underlying Ecophysiological Processes. Agriculture 2015, 5, 1146–1171. [Google Scholar] [CrossRef]
  42. Durand, J.-L.; Onillon, B.; Schnyder, H.; Rademacher, I. Drought effects on cellular and spatial parameters of leaf growth in tall fescue. J. Exp. Bot. 1995, 46, 1147–1155. [Google Scholar] [CrossRef]
  43. Durand, J.-L.; Schäufele, R.; Gastal, F. Grass leaf elongation rate as a function of developmental stage and temperature: Morphological analysis and modelling. Ann. Bot. 1999, 83, 577–588. [Google Scholar] [CrossRef]
  44. Bartholomew, P.W.; Williams, R.D. Effects of exposure to below-freezing temperatures, soil moisture content and nitrogen application on phyllochron in cool-season grasses. Grass Forage Sci. 2006, 61, 146–153. [Google Scholar] [CrossRef]
  45. Descalzi, C.; Balocchi, O.; López, I.; Kemp, P.; Dörner, J. Different soil structure and water conditions affect the growing response of Lolium perenne L. and Bromus valdivianus Phil. growing alone or in mixture. J. Soil Sci. Plant Nutr. 2018, 18, 617–635. [Google Scholar] [CrossRef]
  46. Kemp, D.R.; Culvenor, R.A. Improving the grazing and drought tolerance of temperate perennial grasses. N. Z. J. Agric. Res. 2010, 37, 365–378. [Google Scholar] [CrossRef]
  47. Hall, R. The analysis and significance of competitive and non-competitive interference between species. In Plant Relations in Pastures; Wilson, J.R., Ed.; CSIRO: Melbourne, Australia, 1978; pp. 163–174. [Google Scholar]
  48. Motte, H.; Vanneste, S.; Beeckman, T. Molecular and environmental regulation of root development. Annu. Rev. Plant Biol. 2019, 70, 465–488. [Google Scholar] [CrossRef] [PubMed]
  49. Xu, Z.; Zhou, G. Responses of leaf stomatal density to water status and its relationship with photosynthesis in a grass. J. Exp. Bot. 2008, 59, 3317–3325. [Google Scholar] [CrossRef] [PubMed]
  50. Bristiel, P.; Roumet, C.; Violle, C.; Volaire, F. Coping with drought: Root trait variability within the perennial grass Dactylis glomerata captures a trade-off between dehydration avoidance and dehydration tolerance. Plant Soil 2018, 434, 327–342. [Google Scholar] [CrossRef]
  51. Fu, J.; Huang, B. Involvement of antioxidants and lipid peroxidation in the adaptation of two cool-season grasses to localized drought stress. Environ. Exp. Bot. 2001, 45, 105–114. [Google Scholar] [CrossRef]
  52. Xu, Z.Z.; Zhou, G.S. Combined effects of water stress and high temperature on photosynthesis, nitrogen metabolism and lipid peroxidation of a perennial grass Leymus chinensis. Planta 2006, 224, 1080–1090. [Google Scholar] [CrossRef]
  53. Ogweno, J.O.; Hu, W.H.; Song, X.S.; Shi, K.; Mao, W.H.; Zhou, Y.H.; Yu, J.Q. Photoinhibition-induced reduction in photosynthesis is alleviated by abscisic acid, cytokinin and brassinosteroid in detached tomato leaves. Plant Growth Regul. 2010, 60, 175–182. [Google Scholar] [CrossRef]
  54. Donaghy, D.J.; Fulkerson, W.J. Priority for allocation of water-soluble carbohydrate reserves during regrowth of Lolium perenne. Grass Forage Sci. 1998, 53, 211–218. [Google Scholar] [CrossRef]
  55. Volaire, F.; Norton, M.R.; Norton, G.M.; Lelievre, F. Seasonal patterns of growth, dehydrins and water-soluble carbohydrates in genotypes of Dactylis glomerata varying in summer dormancy. Ann. Bot. 2005, 95, 981–990. [Google Scholar] [CrossRef][Green Version]
  56. Volaire, F.; Thomas, H.; Lelièvre, F. Survival and recovery of perennial forage grasses under prolonged Mediterranean drought: I. Growth, death, water relations and solute content in herbage and stubble. New Phytol. 1998, 140, 439–449. [Google Scholar] [CrossRef]
  57. Smith, D. The nonstructural carbohydrates. In Chemistry and Biochemistry of Herbage; Butler, G., Bailey, R., Eds.; Academic Press: London, UK, 1973; pp. 105–155. [Google Scholar]
  58. Miyake, H. Starch accumulation in the bundle sheaths of C3 plants: A possible pre-condition for C4 photosynthesis. Plant Cell Physiol. 2016, 57, 890–896. [Google Scholar] [CrossRef] [PubMed]
Publisher’s Note: MDPI stays neutral with regard to jurisdictional claims in published maps and institutional affiliations.

Article Metrics

Citations

Article Access Statistics

Multiple requests from the same IP address are counted as one view.