You are currently viewing a new version of our website. To view the old version click .
Agronomy
  • Article
  • Open Access

28 June 2021

Productive Characteristics and Fruit Quality Traits of Cherry Tomato Hybrids as Modulated by Grafting on Different Solanum spp. Rootstocks under Ralstonia solanacearum Infested Greenhouse Soil

,
,
,
,
,
,
,
and
1
Department of Vegetable Science, College of Horticulture, Bengaluru 560065, India
2
Department of Vegetable Science, College of Horticulture, Sirsi 581401, India
3
Department of Floriculture and Landscape Architecture, College of Horticulture, Sirsi 581401, India
4
Department of Post-Harvest Technology, College of Horticulture, Sirsi 581401, India
This article belongs to the Collection Scion-Rootstock Interaction in Horticultural Crops: Physiological and Agronomic Implications

Abstract

Grafting is increasingly becoming an indispensable tool that minimizes the risks associated with intensive vegetable production systems, including soil-borne diseases. This study assesses the performance of two cherry tomato hybrids (‘Cheramy’ and ‘Sheeja’) grafted onto three tomato and five eggplant local rootstock genotypes (cultivated/wild) under Ralstonia solanacearum (bacterial wilt)-infested greenhouse soil. The impact of grafting on growth, yield and fruit physical quality was mainly influenced by the response of rootstocks to disease resistance. The non-grafted plants of both the cultivars were severely affected by bacterial wilt, thus presenting high susceptibility to disease. Eggplant rootstocks imparted moderate to high resistance against bacterial wilt in both the scions, while tomato (cultivated or wild) rootstocks did not improve disease resistance, except ‘Anagha’, which provided resistance to scion cv. ‘Cheramy’. In general, scion cv. ‘Cheramy’, grafted or non-grafted, showed superior growth, yield and fruit quality compared to ‘Sheeja’. The most productive graft combinations for both the cultivars involved resistant rootstocks, i.e., ‘Sheeja’ onto eggplant rootstock ‘Surya’, and ‘Cheramy’ onto tomato rootstock ‘Anagha’. Fruit quality attributes such as ascorbic acid and lycopene contents were considerably higher, and the total soluble solids (TSS) content was considerably lower in scion cv. ‘Cheramy’, whether grafted or non-grafted, than those involving scion cv. ‘Sheeja’. The grafting effect on fruit chemical quality attributes was not promising, except grafting ‘Sheeja’ onto ‘Sopim’ for TSS, ‘Sheeja’ onto ‘Sotor’ for lycopene and ‘Cheramy’ onto ‘Ponny’ for total phenols, though no clear connection with disease incidence was in these grafts. Conclusively, eggplant rootstock imparted wilt resistance, while both eggplant and tomato rootstock grafting was beneficial to both scion cultivars in boosting the overall production and economic gains, especially for ‘Cheramy’ grafted onto ‘Anagha’ rootstock under bacterial wilt infested soil of greenhouse.

1. Introduction

Cherry tomato (Solanum lycopersicum var. cerasiforme) is a small garden variety from which cultivated tomato (S. lycopersicum) was believed to be originated [1]. It is a typical day-neutral and highly self-pollinated variety and has an indeterminate growth habit. It is a highly priced and is commonly grown in protected conditions for its impressively nutritious fruits. It is a rich source of vitamin C (13 mg100 g−1), dietary fiber (2 g100 g−1), vitamin A, vitamin K, vitamin E (a-Tocopherol), niacin, thiamin, vitamin B6, folate, phosphorus, and micronutrients such as copper, potassium, and manganese [2].
According to the latest available production statistics [3], India is the second leading tomato-producing country in the world, with an annual production of 19.0 million tonnes from an area of 0.78 million ha and average productivity of 24.3 tonnes ha−1. However, in terms of productivity, India is far behind many countries, and even the world’s average (35.9 tonnes ha−1). Thus, considering the increasing food demand with reducing arable lands, there is need to increase productivity through deploying modern tools and techniques. Though cherry tomato has gained popularity among greenhouse growers due to a surge in demand, especially in urban markets, information on area and production is not available.
The development of high yielding cultivars with desirable fruit quality and broad environmental adaptation is crucial for the successful protective cultivation of cherry tomato [4]. Besides, the development of varieties with high yield potential along with resistance to biotic and abiotic stresses constitutes to be an eco-friendly practice [5]. However, introgressing disease-resistant genes in a new variety or hybrid is a time-consuming procedure, and difficult for complex traits such as abiotic stress tolerance [6]
Vegetable grafting has proved an efficient substitute tool for classical breeding techniques [7]. It has shown greater potential in boosting the production of several fruiting vegetables, originally under intensive controlled production systems, but its application has been subsequently expanded to non-traditional conditions and fragile agro-ecosystems of arid and semi-arid regions [4,6,8].
Grafting has resulted in enhanced fruit quality and yield in many vegetables, such as tomato [9,10,11], watermelon, cucumber, melon, capsicum and eggplant [12,13]. Increased nutrient uptake [14], and enhanced tolerance to abiotic stresses, such as extreme temperatures [4,14,15], salinity [13,16], alkalinity [17], drought [6,18], flooding [19] and heavy metals [9,20] was also seen in grafted plants. In many studies, the major advantage of grafting was ascribed to the vigorous root system of rootstock that helps in the absorption of water and nutrients more efficiently than the non-grafted plants [12,21].
Grafted plants have also exhibited excellent resistance to soil-borne pathogens when grafted onto resistant rootstocks [22,23,24]. Fungi, bacteria and nematodes are major soil-borne pathogens under intensive vegetable cultivation, where these cause considerable yield losses. Under hot and humid regions such as India, bacterial wilt (Ralstonia solanacearum) is more prevalent and causes devastating yield loss in tomato, especially under protected cultivation [5]. It is very difficult to control the disease as the pathogenic spores can remain viable and active in the soil for several years [25]. Complex disease biology and ineffective management may lead to greater crop loss; further, because bacterial wilt is quantitatively and significantly influenced by environmental factors, developing resistant varieties is extremely challenging [26]. As a result, grafting using appropriate rootstock is an inevitable approach to combat bacterial wilt in vegetable production [27,28,29].
Grafting serves at least two different purposes. First, even in the absence of any stress, vigorous rootstocks can provide greater plant vigor and overall crop output. Second, resistant rootstocks use can minimize the danger of soilborne diseases in susceptible scion cultivars [30]. There is less research on grafting in vegetable plants in India, and especially in cherry tomato, to manage bacterial wilt. Hence, barely any commercial resistant rootstock is available for tomato in this country. India is the primary center of eggplant genetic stock, with a large diversity in its landraces and primitive forms, with some wild related species being known to possess resistance to certain abiotic and biotic stresses, including bacterial wilt [5,31]. Due to the cross-incompatibility, this genetic diversity in the form of rootstock can be used to improve the abiotic and biotic stress tolerance of susceptible cultivars of eggplant, as well as tomato [5]. It is, therefore, imperative to harness the potential of locally available diverse genetic stocks of eggplant and also tomato as rootstocks to tackle the issues associated with biotic stress, besides increasing the vigor and yield of commercial cherry tomatoes for its successful cultivation under protected conditions. The present study was conducted to evaluate the performance of two distinct cherry tomato hybrids grafted onto different tomato and eggplant (cultivated or wild) rootstock genotypes under Ralstonia solanacearum (bacterial wilt)-infested soil of a greenhouse, and the scion performance was assessed based on growth, yield and fruit physicochemical quality characteristics.

2. Materials and Methods

2.1. Experimental Conditions and Plant Material

The experiment was conducted in a polythene-covered, naturally ventilated greenhouse (area of 500 m2) at the experimental block of the Department of Vegetable Science, College of Horticulture, Sirsi, from November to April of 2019–2020. The experimental site is located at 14.26° north latitude and 74.5° east longitude, at an altitude of 619 m above mean sea level. During the cropping period, the mean air temperature of the greenhouse ranged between 24 °C to 36 °C and relative humidity ranged from 64 to 75%. The greenhouse soil was naturally infested with Ralstonia solanacearum. There was no pre-planting chemical treatment carried out in order to obtain the actual response of rootstocks under natural incidence of bacterial wilt in soil.
Two distinct fruiting types of cherry tomato hybrids, ‘Sheeja’ (Known–You Seed Co., Ltd., Kaohsiung, Taiwan) and ‘Cheramy’ (Rijk Zwaan India Seeds Pvt. Ltd., Bengaluru, India) were used as scion sources. These were selected due to their high preference in the Indian market: ‘Cheramy’ bears red, round fruits, and ‘Sheeja’ bears orange/yellow grape-type cylindrical fruits. The rootstocks included three genotypes from tomato, among which two were cultivated tomato (Solanum lycopersicum, ‘Abhilash’, ‘Anagha’) and one was a wild species (S. pimpenellifolium, ‘Sopim’), and five genotypes from eggplant, among which four were cultivated eggplants (S. melongena, ‘Ponny’, ‘Surya’, ‘Haritha’, ‘Arka Neelkanth’) and one was from wild eggplant (S. torvum, ‘Sotar’). The brief description of scion and rootstock genotypes, their characteristics and source are presented in Table 1.
Table 1. Description of the scion and rootstock genotypes used in the study.
Based on our previous experience, seeds of the scions, as well as rootstocks, were sown in cocopeat enriched with Trichoderma harzianum (2 g inoculum kg−1 of cocopeat) to obtain healthy seedlings with similar stem girth at the time of grafting. The age (days after sowing) of seedlings at the time of grafting was 30 days for both the scions and 34–36 days (tomato), 40–45 days (eggplant), 52 days (wild tomato) and 65–70 days (wild eggplant) for the rootstocks. The cleft method of grafting was followed. Immediately after grafting, the grafted seedlings were placed in a growth chamber at a temperature of 24 to 27 °C and relative humidity (RH) of 90% for 7–8 days; then, the RH gradually reduced to 80 per cent with a gradual increase in light and finally, and the seedlings were shifted to natural greenhouse conditions (26–30 °C temperature, 67–74% RH with about 11 hours’ day length) for hardening. Transplanting was carried out 18 days after grafting at the 3–4 leaves stage in paired rows at 60 cm × 45 cm spacing on 90 cm wide beds, with a planting density of 2.8 plants m−2. There were 10 plants in each treatment per replication. The side suckers that appeared from rootstocks were removed frequently. The plants were trained to a single stem on the overhead wire, and side suckers produced on the main stem were removed twice a week.
The edaphic characteristics of the planting medium in the greenhouse were lateritic clay with pH 6.5, electrical conductivity 0.9 dsm−1 and organic carbon 1.1%. The available N-P-K content of the soil was 315-20-280 kg ha−1, with 1.25 g cm−3 soil bulk density and 49% water holding capacity. Vermicompost and decomposed farmyard manure at 10 t ha−1 each were mixed with the topsoil 15 days before the transplanting of the seedlings. During the crop cycle, commercial-grade water-soluble fertilizers were applied once a week through fertigation at the following rates (kg week−1 for 500 m2 area): calcium nitrate 0.813 kg, potassium nitrate 0.760 kg, mono-potassium phosphate 0.365 kg, potassium sulphate 0.163 kg, magnesium sulphate 0.450 kg and micronutrients mix 0.032 kg. The integrated pest control strategy was followed, involving use of yellow sticky traps, and the control of sucking insects, especially whitefly was carried out by spraying Afidopyropen 50 g L−1 Dispersible Concentrate at the rate of 1 mL L−1 twice at 20 and 45 DAT at the appearance of insects on yellow sticky traps. In addition, a foliar spray of Abamectin 1.9% Emulsifiable Concentrate at the rate of 1 mL L−1 was carried out at 122 DAT to control red spider mites. However, no chemical was applied against soil borne pathogens that had natural disease incidence.

2.2. Measurement of Vegetative and Generative Growth Parameters

Five plants per treatment were evaluated for plant growth and yield-related attributes. The plant height was measured from the growing tip to the collar using a measuring tape at different growth stages (30, 60, 90 and 120 DAT). The number of days taken for the 1st and 50% flowering was recorded when the first flower anthesis was observed in the 1st truss and when 50% of the plant population had flowered, respectively. The number of nodes per plant was counted from bottom to top at 90 and 120 DAT. The number of days taken for the first fruit harvest was counted from the date of the transplantation to the harvest of the first fruit from the concerned plants. The number of flowers per truss and fruits per truss was counted in the first five clusters. The fruit set (%) was calculated by the formula, (number of fruits per truss/number of flower per truss) × 100.

2.3. Determination of Fruit Yield and Fruit Quality Parameters

The fruit yield and number of fruits per plant were obtained by adding the fruit weight and fruit number from each harvest. The results were expressed as yield per square meter. The observations were recorded on five tagged plants in each treatment, and the results reported are the average of five plants per treatment. There was a total of six fruit harvests, starting from the mean of 73 DAT to the last harvest (142 DAT).
Fruit quality analysis was carried out on ten freshly harvested ripe fruits of second and third clusters (95 DAT) from five tagged plants of each treatment plot. The length and diameter of the fruits and the thickness of the pericarp were measured using digital vernier calipers. The fruit volume was measured by the water displacement method: the measured amount of water displaced from the beaker after placing a fruit in it (1 mL of water displaced is equal to 1 cc). The total soluble solids (TSS) content of fruit juice was determined using a digital handheld refractometer, Atago Pal-1 (Atago Co. Ltd., Tokyo, Japan). The ascorbic acid content in fruit juice was estimated titrimetrically with 2, 6, dichlorophenol indophenol dye [32]. Total phenol content was determined by the method recommended by Singleton and Rossi [33], using the Folin Ciocalteau reagent. The fruit lycopene content was estimated as per the procedure suggested by Nagata and Yamashita [34].

2.4. Bacterial Wilt Incidence

All the plants in each treatment were considered for calculating the bacterial wilt (Ralstonia solanacearum) disease incidence. The first bacterial wilt symptom was observed in the non-grafted plants around 100 DAT, and the whole plant wilted completely within 10–15 days after the first symptom. Bacterial wilt disease was confirmed by the ooze test in the laboratory. The percentage of wilted plants per plot was determined using the formula, disease incidence (%) = (no. of plants wilted/total number of plants per replication) × 100. The percentage of disease reaction was divided into five groups as per the report of AVRDC (Asian vegetable research and development center), Taiwan [35] as 1. 0–5%—resistant, 2. 6–20%—moderately resistant, 3. 21–40%—susceptible, 4. 41–60%—moderately susceptible, 5. 61–100%—highly susceptible.

2.5. Assessment of Cost: Benefit Ratio

The cost incurred in Indian rupees (INR), with the present dollar exchange rate of 0.013 USD/1 INR, on the inputs during grafting and crop production was taken into account to determine the economics of grafted plant production, and the cost:benefit ratio was calculated.

2.6. Experimental Design and Statistical Analyses

The experiment was conducted in a completely randomized block design with three replications per treatment. All the data were statistically analyzed using the SPSS 22.0 software package (SPSS, Inc., Chicago, IL, USA). Duncan’s multiple range test was performed (p = 0.05) to separate the treatment means within each variable measured.

3. Results and Discussion

3.1. Bacterial Wilt Incidence

Bacterial wilt caused by Ralstonia solanacearum is one of the major devastating diseases which causes severe yield reduction in tomatoes and other solanaceous vegetables [36]. In the present study, the impact of grafting on cherry tomatoes performance was primarily due to rootstock responses to the disease. Both the cherry tomato cultivars, ‘Cheramy’ and ‘Sheeja’, were highly susceptible to bacterial wilt, as is evident in the high disease incidence in their non-grafts (80% or more) (Table 2). However, grafting onto some rootstocks was found to be promising, mainly due to reduced bacterial wilt incidence in both the scions. Grafted plants involving either cultivated or wild eggplant rootstocks showed moderate resistance to complete resistance to bacterial wilt for both the cultivars (Table 2). Grafting ‘Sheeja’ onto ‘Haritha’ was considered to be moderately resistant as per the AVRDC scale, though the difference in disease incidence in this graft combination was non-significant with those grafted onto resistant rootstocks. In the case of grafting onto tomato rootstocks, ‘Anagha’ proved resistant, while ‘Abhilash’ provided a highly susceptible response to this disease. The wild tomato rootstock ‘Sopim’ (S. pimpinellifolium) imparted moderate resistance in both the cultivars of cherry tomato. In a previous study, eggplant rootstocks ‘Surya’ and ‘Sotor’ (S. torvum) also showed good resistance against bacterial wilt in grafted eggplant [37]. Further, Peregrine and Ahmad [38] reported that S. torvum was the best donor of bacterial wilt and other soil-borne diseases in tomatoes, with good fruit yield and quality. Tomato breeding lines ‘CRA 66’ and ‘Hawaii 7996’ used as rootstocks for tomato grafting in the southeastern United States showed the complete control of bacterial wilt in tomato under naturally disease-infested soil [30]. Similarly, a tomato cultivar ‘Anagha’ was successfully grown in the bacterial wilt-infested area in Kerala, a southern state in India, and imparted excellent resistance to bacterial wilt disease when used as rootstock for grafting cherry tomato in the present study. The effectiveness of a local wild tomato (S. pimpenellifolium) genotype PCA (pear-shaped Cruz du Almas) was also reported to manage wilt disease incidence [39]. Concerning the mechanisms of bacterial wilt resistance in solanaceous crops, it was found to be associated with the formation of mechanical obstacles in the roots [40]. In other words, this entails the restriction of the diffusion of the bacterial population from roots to stem in S. torvum through the collar region and their ability to disturb their multiplication within the stem [41].
Table 2. Bacterial wilt disease incidence and reaction in different graft combinations of cherry tomato plants.

3.2. Vegetative Growth Parameters

Grafting vegetables onto resistant rootstocks can minimize the impact of soil-borne disease, thus resulting in a better plant growth in grafted plants in comparison with non-grafted plants [42]. In this study, we observed a significant control in bacterial wilt disease in some of the graft combinations, so as to attain better plant growth than their non-grafted control plants (Table 3). However, a significant variation was noticed in plant height across different growth stages (30, 60, 90 and 120 DAT) among different graft combinations. Grafting increased vegetative growth in both the scion cultivars; however, ‘Cheramy’ attained higher plants height than ‘Sheeja’, regardless of grafting treatment or growth stage. Irrespective of the genotype, eggplant rootstocks resulted in better plant height (Table 4), as these were least affected by the disease (Table 2). The non-grafted plants of both the cultivars did not survive until the last plant height observation was made (120 DAT) because of their high susceptibility to bacterial wilt disease. Bacterial wilt symptoms first appeared in these plants around 100 DAT and gradually turned into complete wilting within a couple of weeks. However, at the early growth stage (30 DAT), the non-grafted ‘Cheramy’ and ‘Sheeja’ showed better plant height compared to the grafted plants. As grafted plants require some time to come out of the grafting shock, the grafted plant’s growth remained slow initially, as compared to non-grafted plants. Similar findings were previously reported in eggplant [37], where grafted eggplant’s height at the initial growth stage was lesser than non-grafts. However, at the later stages, the plant growth of grafted cherry tomatoes, especially onto all the eggplant rootstocks or onto tomato rootstock ‘Anagha’, was relatively higher, which was the result of sustained growth on the resistant rootstocks, as compared to the susceptible rootstocks. In a study conducted under Verticillium dahliae-infested soils, grafting eggplant onto wild eggplant rootstocks (S. torvum or S. sisymbriifolium) resulted in more vigorous growth (i.e., plant height) than non-grafted plants; this was associated with the reduced disease incidence in grafted plants [42]. The node number per plant on 90 DAT was higher in grafted plants than non-grafted ones in both the scions, except ‘Cheramy’ grafted onto ‘Sotor’ (Table 3). However, the number of nodes within ‘Sheeja’ graft combinations were statistically non-significant (Table 3). This indicates that the higher plant height in some of the graft combinations was due to the higher internodal length rather than node number per plant, which was likely caused by disease, which induced some hormonal changes. However, this needs further study as this phenomenon was not consistent with ‘Cheramy’ graft combination. ‘Cheramy’ grafted onto ‘Surya’ and ‘Ponny’ had a higher number of nodes per plant, where plant height was also higher in ‘Ponny’ but slightly lesser in ‘Surya’. The increased number of nodes in grafted cherry tomatoes resulted in the production of more flower trusses (clusters) per plant. A previous study by Voutsela et al. [43] supports these results, where tomato cultivar ‘Despina’ grafted onto different rootstocks increased node number. Similarly, capsicum cv. ‘Yatsubusa’ grafted onto the rootstock of another variety (‘Spanish Paprika’) led to a significantly higher number of nodes and branches on the main stem [44]. Overall, the field survival and growth performance of successful graft combinations under disease-infested conditions are the direct effect of rootstock-provided reduced disease incidence [45].
Table 3. Plant height, number of leaves, days to flowering and fruit set in different graft combinations of cherry tomato.
Table 4. Mean values of different plant parameters of different graft combinations of cherry tomatoes.

3.3. Generative Growth Parameter

3.3.1. Flowering and Fruit Set

The generative growth traits, such as flowering and fruit set, which are related to plant growth and vigor, are expected to be similarly influenced by grafting in response to rootstock resistance to bacterial wilt. Early flowering is one of the main traits assessed in terms of days to first and 50% flowering and is favored for commercial cultivation because of the earliness which often contributes to high yield [46]. Irrespective of the differences in plant growth under bacterial wilt disease-infested condition, grafting induced early flowering in both the scions compared to their non-grafts, with some ‘Cheramy’ grafts taking the shortest time (Table 3). Among both the scion grafts, ‘Cheramy’ grafted onto tomato rootstock ‘Anagha’ took significantly fewer number of days to flower (Table 4). Gisbert et al. [47] illustrated that grafted plants grow faster only when there is higher compatibility, resulting in the early flowering. Similarly, several other studies reported that grafting induced early flowering. For example, eggplant scion ‘MCV1’ grafted onto wild eggplant rootstock ‘MWR’ [48] and eggplant cv. ‘Scarlatti’ grafted onto wild brinjal rootstocks (S. torvum and S. melongena x S. aethiopicum) [49] resulted in the earlier flowering of grafts than the non-grafted plants. Increased plant growth and earliness has also been reported in other fruiting vegetables, such as melon and cucumber grafted onto cucurbit rootstocks under biotic or abiotic stress [50,51]. Bletsos et al. [42] have reported that high plant vigor and early production in eggplant (cv. ‘Tsakoniki’) was possible under V. dahliae disease pressure due to grafting onto resistant rootstocks (S. torvum and S. sisymbriifolium). Furthermore, Sabatino et al. [52] stated that plant vigor is found to be related to earliness in solanaceous vegetables. Together, it appears that grafts between different species seems to bring about earliness, regardless of the growing conditions.
A higher number of flowers per truss and fruit per truss results in a higher fruit set (%) that eventually leads to yield increment. Grafting ‘Cheramy’ with eggplant rootstock ‘Haritha’ and tomato rootstocks, especially ‘Sopim’, resulted in a higher fruit set (Table 4). The higher number of flowers per truss, fruits per truss and fruit set (%) in the grafted plants occurred partly due to their responses to disease incidence and the compatibility reaction between the scion and rootstock. The highly successful and compatible scion–rootstock combination may have better hormonal homeostasis in grafted plants, resulting in better reproductive traits [53]. These observations are parallel to the findings of Arefin et al. [54] reported in tomato grafted onto potato rootstock. The increased numbers of flowers and fruits per truss in the grafted plants have been also reported in tomato [55] and eggplant grafted onto bacterial wilt-resistant rootstock [37]. Similarly, Sudesh et al. [56] recorded the highest fruit set (%) in eggplant cv. ‘Mahy-11’ grafted onto S. torvum and S. macrocarpon.

3.3.2. Fruit Yield and Yield Attributing Traits

Breeders are generally aware of quantitative resistance to diseases and pests in wild Solanum spp. but making use of these resistance can be difficult due to undesirable features such as decreased fruit size, being associated to resistance in the case of bacterial wilt [57,58,59]. However, grafting susceptible scions onto resistant rootstock genotypes can minimize the decrease in yield under disease stress. As it is also evident in this study, there is a significant increase in cherry tomato yield in grafted plants as compared to non-grafted plants (Table 5). The response of rootstocks in grafting, however, can vary with the scion cultivar. The increase in yield was more conspicuous in scion cv. ‘Cheramy’ than cv. ‘Sheeja’ as the increase in mean fruit yield due to grafting was 75% and 69% over their respective non-grafted plants (Table 6). The increase in fruit yield in grafted plants of both the cultivars, regardless of rootstocks, was primarily due to the resistance reaction imparted by the rootstocks, thus resulting in higher plant height, vegetative growth, higher reproductive growth and yield. There was an increase in the number of fruits per plant but not the fruit weight, except in the graft combination ‘Cheramy’ onto ‘Anagha’, in which increased yield was due to increased fruit weight (Table 5). In general, the higher fruit yield in grafted as well as non-grafted ‘Cheramy’ plants appeared to be due to the inherent potential of the ‘Cheramy’ cultivar to produce a higher number of fruits with a larger fruit size (weight) than ‘Sheeja’ (Table 6). However, compared to non-grafted plants, the increase in fruit number was higher in grafted ‘Sheeja’ (87%) than grafted ‘Cheramy’ (84%) plants. The higher fruit yield in eggplant under verticillium wilt-infested soil was in plants grafted onto resistant rootstock (S. torvum), primarily due to the higher fruit number, but it was also related to higher fruit weight onto another resistant rootstock [42]. A positive interaction between the successful rootstock and the scion was the enhanced water relations and uptake of macro- and micro-nutrients, which ultimately increased the average fruit weight in the grafted plants [20,60]. This might have also happened in disease pressure, where the resistant rootstocks can maintain water and nutrient supply to shoots, whereas the lower number of fruits in non-grafted plants of both the cultivars in the present study was due to severe infestation by R. solanacearum, especially in the later stage of the crop growth. Therefore, ‘Sheeja’ grafted onto eggplant and tomato rootstocks showed 78% and 47%, and ‘Cheramy’ grafted on eggplant and tomato rootstock showed 70% and 90% higher fruit yield than their respective non-grafted plants, respectively. This positive influence in grafted plants seems to be due to the resistance offered by the rootstocks to soil-borne diseases such as bacterial wilt. Rivard and Louws, [30] reported that in a severely infested bacterial wilt field, tomato rootstocks (‘CRA 66’ and ‘Hawaii 7996’) provided excellent control against bacterial wilt, and grafting onto ‘Hawaii 7996’ rootstock produced 104% higher yield than non-grafted susceptible heirloom tomato (‘German Johnson’) plants. Further, the increased yield in some of the high productive graft combinations seems to be a result of the boosted vigor of the scion [61], likely due to stronger and more expansive root growth of some of the rootstocks [62]. The innate nature of certain rootstocks may help to promote the scion’s growth, which may eventually increase the capacity of foraging, the availability of sufficient photosynthates, as well as increasing the uptake of water and nutrients [14,63]. In spite of showing similar resistance by some of the eggplant rootstocks (‘Ponny’, ‘Surya’ or ‘Haritha’), the yield level of their grafts involving any of the scion cultivar (‘Sheeja’ or ‘Cheramy’) was not statistically similar. Additionally, the response of a particular rootstock in grafting with different scion cultivar could not lead to same yield level, which is evident for almost all the rootstocks which produced higher fruit yield when grafted with ‘Cheramy’ than ‘Sheeja’. Other researchers have also reported similar findings, e.g., ‘Beaufort’ rootstock increased shoot fresh weight and the yield of tomato scion ‘Catalena’, while no effect on fruit yield was observed for the scion ‘Santazian’, despite a significant increase in shoot fresh weight. This was ascribed to a substantially higher root growth in the ‘Catalena’/‘Beaufort’ graft combination compared to the lower root growth in the ‘Santazian’/‘Beaufort’ combination [64].
Table 5. Number of flowers and fruits per truss, number of truss and fruits per plant, average fruit weight, fruit yield pe plant per square meter in different graft combinations of cherry tomato.
Table 6. Fruit length, diameter, shape index, pericarp thickness and volume of cherry tomatoes.
In addition, signaling molecules (e.g., phytohormones) are known to play a crucial role in boosting shoot physiology and growth under different growing conditions. The shoot to root transport of auxins that were synthesized in tomato scion leaves promoted the development of lateral roots of rootstocks [65]. Similarly, faster nutrients absorption and cytokinin synthesis were observed more often in grafted plants than in non-grafted plants, thus producing more vigorous growth with higher yields [66]. These expansive root systems of rootstock were, thus, able to absorb and transport nutrients more efficiently to the scion. Furthermore, auxin and cytokinins synthesized in one place and mobilized to another place can modulate shoot growth and yield [67,68,69]. Information on this aspect is scarcely available on soil-borne disease and especially bacterial wilt-infested soil condition, and hence, needs to be studied.

3.4. Fruit Quality Traits

Cherry tomato is a high-value and highly priced crop grown for its impressive nutritious fruits, which can be consumed either fresh as a salad or after cooking. In the present study, different rootstocks influenced the physical as well as chemical fruit quality traits of both the scions differently under the bacterial wilt-infested condition.

3.4.1. Fruit Physical Characteristics

The scion cultivar ‘Sheeja’ characteristically produced longer fruits with a lower diameter than ‘Cheramy’ (Supplementary Figure S1). The advantage of grafting on fruit length was clearly visible in ‘Sheeja’, as it was significantly higher on all the rootstocks as compared to ‘Sheeja’ non-grafted plants, indicating the influence of bacterial wilt on ‘Sheeja’, as also noticed with respect to the growth and yield parameters (Table 7). For the mean fruit shape index, ‘Sheeja’ and ‘Cheramy’ graft combinations showed a significant difference, with ‘Sheeja’ and ‘Cheramy’ grafted on tomato rootstocks showing a higher fruit shape index than those grafted onto eggplant rootstocks. However, the fruit shape index across the graft combinations was statistically non-significant (Table 6). Fruit shape (length and diameter) is a genetically controlled character. However, grafting has been shown to affect the fruit shape in different studies [47,49,52]. Similar to our findings, Passam et al. [70] posited that grafting may increase the size of eggplant fruits. Further, compared to shelf-grafted plants, longer fruits were harvested from eggplant cv. ‘Black Bell’ grafted onto Solanum torvum [71]. Significantly greater fruit shape index was recorded in cucumber grafts than the non-grafts [13], while watermelon grafting did not have any influence on fruit size and shape, according to certain studies [72,73]. For example, the grafting of tomatoes on vigorous rootstocks (i.e., ‘Maxifort’; ‘Beaufort’) increased the size of the fruit, while grafting on less vigorous rootstocks (i.e., ‘Brigeor’; ‘Energy,’ ‘Firefly,’ ‘Linea9243’ and ‘Nico’) reduced the size of tomato fruits [74,75,76].
Table 7. Fruit length, diameter, shape index, pericarp thickness and volume of cherry tomatoes.
Fruit pericarp thickness was higher in either grafted or non-grafted ‘Sheeja’ than ‘Cheramy’, and among all the graft combinations, it was highest recorded in the fruits of non-grafted ‘Sheeja’. A significant variation was noted in the fruit volume of grafted and non-grafted cherry tomatoes (Table 7). Between the two cultivars, fruit volume was higher in ‘Cheramy’ than ‘Sheeja’. However, the general response of grafting was the reduction in fruit volume in both the scions; this probably is a result of an increase in the size of fruits on grafted plants, but not the density. However, fruits of ‘Cheramy’ plants grafted onto ‘Anagha’ had a higher fruit volume. The compatibility between the scion and the rootstock, with no influence of bacterial wilt due to the resistance reaction, has likely resulted in increased plant growth and its subsequent response on increased fruit size and weight with enhanced fruit volume in this graft combination. Some studies have also reported a negative impact of rootstocks on fruit physical characteristics. For instance, Cucurbita moschata (Duchesne ex. Poir) was recommended by Imazu [77] as a rootstock for Cucumis melo because it offered resistance to Fusarium wilt and also showed potent plant vigor, though he also revealed that this rootstock induced poor texture and flavor in grafted Honey Dew (Cucumis melo var. inodorus) fruits.

3.4.2. Fruit Chemical Characteristics

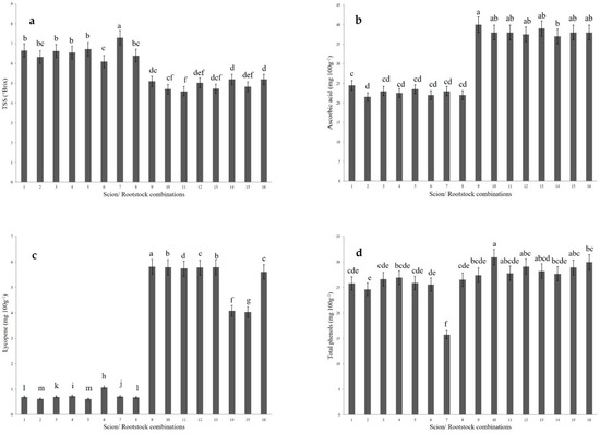
The literature suggests that the response of grafting has been inconsistent from the rootstock’s perspective for fruit chemical characteristics. Like fruit’s physical traits, the two cherry tomato hybrids were also characteristically different in fruit chemical quality attributes (Figure 1). ‘Sheeja’ had higher TSS and lower ascorbic acid and lycopene contents than ‘Cheramy’, whether grafted or not. The increase in TSS content was noticed only in scion cv. ‘Sheeja’ when grafted onto moderately disease-susceptible rootstock ‘Sopim’, while it reduced when grafted onto resistant rootstock ‘Sotor’ as compared to ‘Sheeja’ non-graft. In the case of ‘Cheramy’, the response of grafting was non-significant, with a negative response observed when it was grafted onto resistant rootstock ‘Surya’. The inconsistent responses were also reported in previous grafting studies. When tomato was grafted onto three soil-borne disease-resistant rootstocks, S. torvum, S. sisysmbriifolium and S. toxicarum, the scion fruits had around the same concentration of soluble solids (°Brix) as was in non-grafted plants [78]. However, in several other studies, non-grafted plants showed higher values of fruit TSS content than grafted tomatoes [75,79], watermelon [80] and melons [81] under different growing conditions. The lower TSS content in the fruits of plants grafted onto the resistant rootstocks than non-grafted plants was likely due to the higher water content in the fruits of grafted plants, indicating the dilution effect of the solids in the fruits [82]. The change in ascorbic acid content due to grafting was non-significant on most of the rootstocks, except on ‘Ponny’ for ‘Sheeja’ and ‘Sotor’ for ‘Cheramy’, which showed reduced ascorbic contents as compared to their respective non-grafted plants (Figure 1b). A decrease in the ascorbic acid content in fruits of commercial tomato grafted onto the vigorous rootstocks, ‘Beaufort’ and ‘Maxifort’, as compared to non-grafted plants was reported [83]. Like the TSS content, a negative relationship between fruit size and ascorbic acid content of cherry tomato reported in a recent study suggests a dilution effect of the ascorbic content in the fruits [84]. In addition to genetic factors, environmental factors also influence the lycopene content in tomato varieties [85]. In the present study, the mean lycopene content in ‘Cheramy’ was about four times higher than ‘Sheeja’ due to their distinct fruit quality characteristics. The fruit lycopene content of non-grafted ‘Cheramy’ plants was highest among all grafting treatments. Grafting reduced lycopene contents of ‘Cheramy’ grafted onto all the rootstocks but increased in ‘Sheeja’ grafted onto some rootstocks compared to their respective non-grafts (Figure 1c), regardless of the impact of bacterial wilt disease pressure. In the literature, both reduced and non-significant change in lycopene content has been observed in grafted tomatoes [46,86].
Figure 1. Fruit quality parameters of grafted and non-grafted cherry tomato plants: (a) TSS (°Brix), (b) ascorbic acid (mg 100 g−1 fresh weight), (c) lycopene (mg 100 g−1 fresh weight), (d) total phenol (mg 100 g−1 fresh weight). Scion/rootstock combination: 1: Sheeja (non-grafted), 2: Sheeja/Ponny, 3: Sheeja/Surya, 4: Sheeja/Arka Neelkanth, 5: Sheeja/Abhilash, 6: Sheeja/Sotor, 7: Sheeja/Sopim, 8: Sheeja/Haritha, 9: Cheramy (non-grafted), 10: Cheramy/Ponny, 11: Cheramy/Surya, 12: Cheramy/Arka Neelkanth, 13: Cheramy/Anagha, 14: Cheramy/Sotor, 15: Cheramy/Sopim, 16: Cheramy/Haritha; Different letters in histogram for each parameter reveal significant differences according to Duncan’s test p = 0.05.
Unlike a significant variation in many physical and chemical fruit quality parameters observed between the two hybrids, there was no significant difference in the total phenol content. However, averaging over the grafting treatment, the fruit phenol content was higher in cv. ‘Cheramy’ than cv. ‘Sheeja’. This was probably due to the fact that some of the rootstocks (e.g., ‘Ponny’) produced higher level of phenols in fruits of scion ‘Cheramy’, while other rootstocks (e.g., ‘Sopim’) considerably reduced its content in grafted ‘Sheeja’ as compared to their respective non-grafted plants (Figure 1d). In a study on eggplant, researchers could not find a change in fruit phenolic content due to grafting [87], whereas in the same cop, compared to non-grafted plants, an increase in fruit phenol content was recorded when it was grafted onto some eggplant landraces [49] or grafted onto wild eggplant, S. macrocarpon [47]. The mode of action leading to accumulation in phenolic compounds has generally been associated with plant stress [88,89] as was also expected. Conversely, the overall phenolic content changes significantly between the rootstocks used in the experiment as well as between the different scion–rootstock combinations [90]. However, there was no relation in the disease severity and fruit phenol content in the graft combinations.
It has been established that the simultaneous increase in fruit yield and quality in commercial tomato cultivars is difficult [91], as there is inverse relationship between fruit yield and quality [92,93]. In fact, the inconsistent results on different fruit chemical attributes among different scion–rootstock combinations under different agronomic conditions have been a matter of debate [93].

3.5. Cost: Benefit Ratio

Calculating the cost of grafted seedlings gives an idea about the inputs spent on their production and how the cost can be regulated. The cost of grafted plants is largely determined by the cost of seeds, which varies with the type of seeds (rootstocks: cultivated varieties, wild species and hybrids; scions: hybrids or varieties) used. The wild species of eggplant and tomato seeds were a little more costly due to lower germination (%), thus requiring higher quantity of seeds for sowing, leading to a higher grafted seedling cost (Table 8). However, compared to the higher seed cost of commercial hybrid rootstocks, wild species rootstocks are still cheaper. Moreover, the higher cost of grafted seedlings involving resistant rootstocks could be easily compensated by obtaining extra yields under stressful conditions, such as with bacterial wilt. For instance, the ‘Cheramy’ hybrids grafted onto tomato rootstock ‘Anagha’ will have a higher cost:benefit ratio due to the significantly higher yield of the graft combination (Table 9). In earlier reports, eggplant cv. ‘Arka Kusumakar’ grafted onto bacterial wilt-resistant eggplant rootstock ‘Surya’ had a higher cost:benefit ratio, as observed by Praveen [37]. Therefore, grafting can be used as an efficient tool involving a suitable combination of scion–rootstock to increase income due to the better performance of the grafts in terms of crop productivity, quality and disease resistance. It can be one of the best approaches in boosting vegetable productivity in general and cherry tomato, in particular, under bacterial wilt disease-infested soils of protected environments.
Table 8. Cost of grafted seedlings in different graft combination.
Table 9. Economics of grafted and non-grafted cherry tomato cultivation.

4. Conclusions

It is concluded from the present work that the response of grafting on the growth, yield and physical fruit quality parameters in both the scion cultivars was mainly dependent on the reaction of the rootstock genotypes to the bacterial wilt incidence under naturally infested greenhouse soil. However, the response was inconsistent for fruit chemical quality parameters in the grafted plants of both the cultivars involving rootstocks with different degrees of resistance/susceptibility to disease. Irrespective of the rootstock used, cherry tomato yield in the grafted plants increased in both the scion cultivars. This was, in fact, due to the relatively better control on disease imparted by the rootstock genotypes, though their resistance reaction widely varied. Both the cherry tomato hybrids (‘Sheeja’ and ‘Cheramy’) were highly susceptible to the disease. However, among the two cultivars, the overall performance of ‘Cheramy’ was better than ‘Sheeja’ for growth, yield, and also fruit quality traits, except for the TSS, which was higher in ‘Sheeja’. Concerning the grafted plants, the incidence of bacterial wilt was lower in ‘Cheramy’, especially those grafted onto eggplant rootstocks. Plants grafted onto tomato rootstocks showed a susceptibility to bacterial wilt disease, regardless of scion cultivars; however, tomato rootstock ‘Anagha’ was found to be best for ‘Cheramy’, which showed disease resistance. The major fruit quality attributing trait, lycopene content, was considerably higher in non-grafted ‘Cheramy’. There was non-significant difference in the ascorbic acid content of the grafted and non-grafted tomatoes, with the non-grafted ‘Sheeja’ fruits recording higher pericarp thickness. The cost:benefit ratio indicates that the scion cultivar ‘Cheramy’ (whether grafted or non-grafted) was better than ‘Sheeja’, but grafting was beneficial for both the cultivars to boost the overall economic gains, with the highest being in ‘Cheramy’ with ‘Anagha’ rootstock in the bacterial wilt-infested greenhouse soil. Future research is required to ascertain whether resistant mechanisms in eggplant and tomato rootstocks are the same, and if the scion cultivars also affect the rootstocks’ resistance response.

Supplementary Materials

The following are available online at https://www.mdpi.com/article/10.3390/agronomy11071311/s1, Figure S1: Fruit physical appearance of scion cv. ‘Cheramy’ and cv. ‘Sheeja’.

Author Contributions

S.A.T.S.N., S.H. and P.K. developed the plan; S.A.T.S.N. and S.H. conducted the greenhouse and laboratory experiments, and wrote the initial draft of the research paper; A.J.S.K., K.C., M.H. and A. helped in the laboratory analyses and data interpretation; P.K. improved data presentation in tables, graphs, and texts significantly; P.K., M.C.K., and Y.R. critically revised and improved the manuscript. All authors have read and agreed to the published version of the manuscript.

Funding

This research received external funding by Government of India under RKVY (Rastriya Krishi Vikas Yojana) project on the demonstration of precision farming technologies under open and protected structures for flowers and vegetable crops (KA/RKVY-AGRE/2016/784).

Data Availability Statement

The datasets generated for this study are available on request to the corresponding author.

Conflicts of Interest

The authors declare no conflict of interest.

References

  1. Rick, C.M. Origin of cultivated tomato and status of the problem. Internat. Bot. 1969, 37, 59–68. [Google Scholar]
  2. Prema, G.; Indiresh, K.K.; Santosha, H.M. Evaluation of cherry tomato (Solanum lycopersicum var. cerasiforme) genotypes for growth, yield and quality traits. Asian J. Hortic. 2011, 6, 181–184. [Google Scholar]
  3. FAOSTAT 2021: Food and Agricultural Organization of United Nation. Available online: http://www.fao.org/faostat/en/#data/QC (accessed on 15 April 2021).
  4. Kumar, P.; Khapte, P.; Saxena, A.; Singh, A.; Panwar, N. Intergeneric grafting for enhanced growth, yield and nutrient acquisition in greenhouse cucumber during winter. J. Environ. Biol. 2019, 40, 295–301. [Google Scholar] [CrossRef]
  5. Singh, T.H.; Reddy, D.L.; Reddy, C.A.; Sadashiva, A.T.; Pandyaraj, P.; Manoj, Y.B. Evaluation of Solanum species and egg-plant cultivated varieties for bacterial wilt resistance. Int. J. Hortic. Sci. 2019, 14, 13–19. [Google Scholar] [CrossRef]
  6. Kumar, B.A.; Pandey, A.K.; Raja, P.; Singh, S.; Wangchu, L. Grafting in Brinjal (Solanum melongena L.) for Growth, Yield and Quality Attributes. Int. J. Bio-Res. Stress Manag. 2017, 8, 611–616. [Google Scholar] [CrossRef]
  7. Flores, F.B.; Sanchez-Bel, P.; Estañ, M.T.; Martinez-Rodriguez, M.M.; Moyano, E.; Morales, B.; Campos, J.F.; Garcia-Abellán, J.O.; Egea, M.I.; Garcia, N.F.; et al. The effectiveness of grafting to improve tomato fruit quality. Sci. Hortic. 2010, 125, 211–217. [Google Scholar] [CrossRef]
  8. Al-Harbi, A.R.; Al-Omran, A.M.; Alqardaeai, T.A.; Abdel-Rassak, H.S.; Al-Harbi, K.R.; Obadi, A.; Saad, M.A. Grafting affects tomato growth, productivity, and water use efficiency under different water regimes. J. Agril. Sci. Tech. 2018, 20, 1227–1241. [Google Scholar]
  9. Kumar, P.; Lucini, L.; Rouphael, Y.; Cardarelli, M.; Kalunke, R.M.; Colla, G. Insight into the role of grafting and arbuscular mycorrhiza on cadmium stress tolerance in tomato. Front. Plant Sci. 2015, 6, 477. [Google Scholar] [CrossRef]
  10. Singh, H.; Kumar, P.; Chaudhari, S.; Edelstein, M. Tomato grafting: A Global perspective. HortScience 2017, 52, 1328–1336. [Google Scholar] [CrossRef]
  11. Singh, H.; Kumar, P.; Kumar, A.; Kyriacou, M.C.; Colla, G.; Rouphael, Y. Grafting Tomato as a Tool to Improve Salt Tolerance. Agronomy 2020, 10, 263. [Google Scholar] [CrossRef]
  12. Lee, J.M.; Oda, M. Grafting of herbaceous vegetable and ornamental crops. Hort. Rev. 2003, 28, 61–124. [Google Scholar]
  13. Colla, G.; Rouphael, Y.; Jawad, R.; Kumar, P.; Rea, E.; Cardarelli, M. The effectiveness of grafting to improve NaCl and CaCl2 tolerance in cucumber. Sci. Hortic. 2013, 164, 380–391. [Google Scholar] [CrossRef]
  14. Rivero, R.M.; Ruiz, J.M.; Sanchez, E.; Romero, L. Does grafting provide tomato plants an advantage against H2O2 production under conditions of thermal shock? Physiol. Plant. 2003, 117, 44–50. [Google Scholar] [CrossRef]
  15. Venema, J.H.; Dijk, B.E.; Bax, J.M.; Van Hasselt, P.R.; Elzenga, J.T.M. Grafting tomato (Solanum lycopersicum) onto the rootstock of a high-altitude accession of Solanum habrochaites improves suboptimal-temperature tolerance. Environ. Exp. Bot. 2008, 63, 359–367. [Google Scholar] [CrossRef]
  16. Colla, G.; Suãrez, C.M.C.; Cardarelli, M.; Rouphael, Y. Improving nitrogen use efficiency in melon by grafting. HortScience 2010, 45, 559–565. [Google Scholar] [CrossRef]
  17. Colla, G.; Rouphael, Y.; Cardarelli, M.; Salerno, A.; Rea, E. The effectiveness of grafting to improve alkalinity tolerance in watermelon. Environ. Exp. Bot. 2010, 68, 283–291. [Google Scholar] [CrossRef]
  18. Rouphael, Y.; Cardarelli, M.; Colla, G.; Rea, E. Yield, mineral composition, water relations, and water use efficiency of grafted mini watermelon plants under deficit irrigation. HortScience 2008, 43, 730–736. [Google Scholar] [CrossRef]
  19. Bhatt, R.M.; Upreti, K.K.; Divya, M.H.; Bhat, S.; Pavithra, C.B.; Sadashiva, A.T. Interspecific grafting to enhance physiological resilience to flooding stress in tomato (Solanum lycopersicum L.). Sci. Hortic. 2015, 182, 8–17. [Google Scholar] [CrossRef]
  20. Kumar, P.; Rouphael, Y.; Cardarelli, M.; Colla, G. Effect of nickel and grafting combination on yield, fruit quality, antioxidative enzyme activities, lipid peroxidation, and mineral composition of tomato. J. Plant Nutr. Soil Sci. 2015, 178, 848–860. [Google Scholar] [CrossRef]
  21. Salehi-Mohammadi, R.; Khasi, A.; Lee, S.G.; Huh, Y.C.; Lee, J.M.; Delshad, M. Assessing survival and growth performance of Iranian melon to grafting onto Cucurbita rootstocks. Korean J. Hort. Sci. Technol. 2009, 27, 1–6. [Google Scholar]
  22. Ioannou, N. Integrating soil solarization with grafting on resistant rootstocks for management of soil-borne pathogens of eggplant. J. Hort. Sci. Biotechnol. 2001, 76, 396–401. [Google Scholar] [CrossRef]
  23. Morra, L.; Bilotto, M. Evaluation of new rootstocks for resistance to soil-borne pathogens and productive behaviour of pepper (Capsicum annuum L.). J. Hort. Sci. Biotechnol. 2006, 81, 518–524. [Google Scholar] [CrossRef]
  24. Crino, P.; Bianco, C.L.; Rouphael, Y.; Colla, G.; Saccardo, F.; Paratore, A. Evaluation of rootstock resistance to Fusarium wilt and gummy stem blight and effect on yield and quality of a grafted ‘Inodorus’ melon. HortScience 2007, 42, 521–525. [Google Scholar] [CrossRef]
  25. Gopalakrishnan, C.; Singh, T.H.; Rashmi, B. Artal. Evaluation of eggplant accessions for resistance to bacterial wilt caused by Ralstonia solanacearum (E.F. Smith). J. Hortl. Sci. 2014, 9, 202–205. [Google Scholar]
  26. Scott, J.W.; Wang, J.; Hanson, P. Breeding tomatoes for resistance to bacterial wilt, a global view. Int. Symp. Tomato Dis. Orlando 2005, 10, 161–172. [Google Scholar] [CrossRef]
  27. Lin, C.; Hsu, S.; Tzeng, K.; Wang, J. Application of a preliminary screen to select locally adapted resistant rootstock and soil amendment for integrated management of tomato bacterial wilt in Taiwan. Plant Dis. 2008, 92, 909–916. [Google Scholar] [CrossRef] [PubMed]
  28. Matsuzoe, N.; Okubo, H.; Fujieda., K. Resistance of tomato plants grafted on Solanum rootstocks to bacterial wilt and root-knot nematode. J. Jpn. Soc. Hort. Sci. 1993, 61, 865–872. [Google Scholar] [CrossRef]
  29. Rivard, C.L.; Connell, S.O.; Peet, M.M.; Welker, R.M.; Louws, F.J. Grafting tomato to manage bacterial wilt caused by Ral-stonia solanacearum in the southeastern United States. Plant Dis. 2012, 96, 973–978. [Google Scholar]
  30. Rivard, C.L.; Louws, F.J. Grafting to manage soilborne diseases in heirloom tomato production. HortScience 2008, 43, 2104–2111. [Google Scholar] [CrossRef]
  31. Anushma, P.L.; Rajasekharan, P.E.; Singh, T.H. A review on availability, utilization and future of egg plant genetic resources in India. J. Plant Dev. Sci. 2018, 10, 645–657. [Google Scholar]
  32. Ranganna, S. Handbook of Analysis and Quality Control for Fruit and Vegetable Products; Tata McGraw Hill Publishing Co. Ltd.: New Delhi, India, 1986; pp. 190–210. [Google Scholar]
  33. Singleton, V.L.; Rossi, J.A. Colorimetry of total phenolics with phosphomolybdic-phosphotungstic acid reagents. Am. J. Enol. Vitic. 1965, 16, 144–158. [Google Scholar]
  34. Nagata, M.; Yamashita, I. Simple method for simultaneous determination of chlorophyll and carotenoids in tomato fruit. Nippon Shokuhin Kogyo Gakkaishi. 1992, 39, 925–928. [Google Scholar] [CrossRef]
  35. AVRDC. Annual Progress Report, Screening of Pest and Diseases in Tomato; Asian Vegetable Research and Development Centre (AVRDC): Tainan, Taiwan, 2000; pp. 110–115. [Google Scholar]
  36. Tsitsigiannis, D.I.; Antoniou, P.P.; Tjamos, S.E.; Paplomatas, E.J. Major diseases of tomato, pepper and egg plant in green houses. Eur. J. Plant Sci. Biotechnol. 2008, 2, 106–124. [Google Scholar]
  37. Praveen, N.R. Evaluation of different Brinjal (Solanum Melongena L.) Grafts for Bacterial Wilt Resistance. Master’s Thesis, College of Horticulture, Bengaluru, University of Horticultural Sciences, Bagalkot, India, 2019. [Google Scholar]
  38. Peregrine, W.T.H.; Bin Ahmad, K. Grafting—A simple technique for overcoming bacterial wilt in tomato. Int. J. Pest Manag. 1982, 28, 71–76. [Google Scholar] [CrossRef]
  39. Cardoso, S.C.; Soares, A.C.F.; Dos Santos Brito, A.; Santos, A.P.; Laranjeira, F.F.; De Carvalho, L.A. Evaluation of tomato rootstocks and its use to control bacterial wilt disease. Semin. Ciências Agrar. 2012, 33, 595–603. [Google Scholar] [CrossRef][Green Version]
  40. Clain, C.; Da Silva, D.; Fock, I.; Vaniet, S.; Carmeille, A.; Gousset, C.; Sihachakr, D.; Luisetti, J.; Kodja, H.; Besse, P. RAPD genetic homogeneity and high levels of bacterial wilt tolerance in Solanum torvum Sw.(Solanaceae) accessions from Reunion Island. Plant Sci. 2004, 166, 1533–1540. [Google Scholar] [CrossRef]
  41. Fock, I.; Collonnier, A.; Purwito, J.; Luisetti, V.; Souvannavong, F.; Vedel, A.; Servaes, A.; Ambroise, H.; Kodja, G.; Ducreux, D.; et al. Use of Solanum stenotomum for introduction of resistance to bacterial wilt in somatic hybrids of potato. Plant Sci. 2001, 39, 899–908. [Google Scholar] [CrossRef]
  42. Bletsos, F.; Thanassoulopoulos, C.; Roupakias, D. Effect of grafting on growth, yield, and Verticillium wilt of eggplant. HortScience 2003, 38, 183–186. [Google Scholar] [CrossRef]
  43. Voutsela, S.; Yarsi, G.; Petropoulos, S.A.; Khan, E.M. The effect of grafting of five different rootstocks on plant growth and yield of tomato plants cultivated outdoors and indoors under salinity stress. Afr. J. Agric. Res. 2012, 7, 5553–5557. [Google Scholar]
  44. Taller, J.; Hirata, Y.; Yagishita, N.; Kita, M.; Ogata, S. Graft-induced genetic changes and the inheritance of several charac-teristics in pepper (Capsicum annuum L.). Theor. Appl. Genet. 1998, 97, 705–713. [Google Scholar] [CrossRef]
  45. Manickam, R.; Chen, J.R.; Sotelo-Cardona, P.; Kenyon, L.; Srinivasan, R. Evaluation of Different Bacterial Wilt Resistant Eggplant Rootstocks for Grafting Tomato. Plants 2021, 10, 75. [Google Scholar] [CrossRef]
  46. Dhivya, R. Screening Studies of Wild Rootstocks for Biotic Stresses and its Performance on Grafting in Tomato (Solanum lyco-persicon L.). Ph.D. Thesis, Tamil Nadu Agricultural University, Coimbatore, Tamil Nadu, India, 2013. [Google Scholar]
  47. Gisbert, C.; Prohens, J.; Raigón, M.D.; Stommel, J.R.; Nuez, F. Eggplant relatives as sources of variation for developing new rootstocks: Effects of grafting on eggplant yield and fruit apparent quality and composition. Sci. Hortic. 2011, 128, 14–22. [Google Scholar] [CrossRef]
  48. Musa, I.; Rafii, M.Y.; Ahmad, K.; Ramlee, S.I.; Md Hatta, M.A.; Oladosu, Y.; Muhammad, I.I.; Chukwu, S.C.; Mat Sulaiman, N.N.; Ayanda, A.F.; et al. Effects of Grafting on Morphophysiological and Yield Characteristic of Eggplant (Solanum melongena L.) Grafted onto Wild Relative Rootstocks. Plants 2020, 9, 1583. [Google Scholar] [CrossRef] [PubMed]
  49. Sabatino, L.; Iapichino, G.; Rotino, G.L.; Palazzolo, E.; Mennella, G.; D’Anna, F. Solanum aethiopicum gr. gilo and its interspe-cific hybrid with S. melongena as alternative rootstocks for eggplant: Effects on vigor, yield, and fruit physicochemical properties of cultivar ‘Scarlatti’. Agronomy 2019, 9, 223. [Google Scholar] [CrossRef]
  50. Cohen, R.; Horev, C.; Burger, Y.; Shriber, S.; Hershenhorn, J.; Katanand, J.; Edelstein, M. Horticultural and pathological aspects of Fusarium wilt management using grafted melons. HortScience 2002, 37, 1069–1073. [Google Scholar] [CrossRef]
  51. Fita, A.; Picó, B.; Roig, C.; Nuez, F. Performance of Cucumis melo spp. agrestis as a rootstock for melon. J. Hortic. Sci. Biotechnol. 2004, 82, 184–190. [Google Scholar] [CrossRef]
  52. Sabatino, L.; Iapichino, G.; D’Anna, F.; Palazzolo, E.; Mennella, G.; Rotino, G.L. Hybrids and allied species as potential root-stocks for eggplant: Effect of grafting on vigour, yield and overall fruit quality traits. Sci. Hortic. 2018, 228, 81–90. [Google Scholar] [CrossRef]
  53. Mohammed, S.M.T.; Humidan, M.; Boras, M.; Abdalla, O.A. Effect of grafting tomato on different rootstocks on growth and productivity under glasshouse conditions. Asian J. Agril. Res. 2009, 3, 47–54. [Google Scholar] [CrossRef]
  54. Arefin, S.M.; Zeba, N.; Solaiman, A.H.; Naznin, M.T.; Azad, M.O.K.; Tabassum, M.; Park, C.H. Evaluation of compatibility, growth characteristics and yield of tomato grafted on potato (‘Pomato’). Horticulturae 2019, 5, 37. [Google Scholar] [CrossRef]
  55. Yarsi, G. Effects of grafted seedling use on yield, growth and quality parameters of tomato growing in greenhouse. Hort. Sci. 2011, 45, 76–82. [Google Scholar] [CrossRef]
  56. Sudesh, K.S. Evaluation of Brinjal (Solanum melongena L.) Grafts for Growth, Yield and Yield Attributing Characters. Master’s Thesis, College of Horticulture, Bengaluru, University of Horticultural Sciences, Bagalkot, India, 2019. [Google Scholar]
  57. Opena, R.; Hartman, G.L.; Chen, J.; Yang, C. Breeding for Bacterial Wilt Resistance in Tropical Tomato. In Proceedings of the 3rd International Conference Plant Protection in the Tropics Genting Highlands, Kuala Lumpur, Malaysia, 20–23 March 1990; pp. 44–50. [Google Scholar]
  58. Walter, J.M. Hereditary resistance to disease in tomato. Annu. Rev. Phytopathol. 1967, 5, 131–160. [Google Scholar] [CrossRef]
  59. Wang, J.F.; Hanson, P.; Barnes, J. Worldwide Evaluation of an International Set of Resistance Sources to Bacterial Wilt in Tomato. Bacterial Wilt Disease: Molecular and Ecological Aspects; Prior, P., Allen, C., Elphinstone, J., Eds.; Springer: Berlin, Germany, 1998; pp. 269–275. [Google Scholar]
  60. Ruiz, J.M.; Romero, L. Nitrogen efficiency and metabolism in grafted melon plants. Sci. Hortic. 1999, 81, 113–123. [Google Scholar] [CrossRef]
  61. Leoni, S.; Grudina, R.; Cadinu, M.; Madeddu, B.; Carletti, M.G. The influence of four rootstocks on some melon hybrids and a cultivar in greenhouse. Acta Hortic. 1990, 559, 127–134. [Google Scholar] [CrossRef]
  62. Zijlstra, S.; Groot, S.P.C.; Jansen, J. Genotypic variation of rootstocks for growth and production in cucumber; possibilities for improving the root system by plant breeding. Sci. Hortic. 1994, 56, 185–196. [Google Scholar] [CrossRef]
  63. Pulgar, G.; Villora, G.; Moreno, D.A.; Romero, L. Improving the mineral nutrition in grafted watermelon plants: Nitrogen metabolism. Biol. Plant. 2000, 43, 607–609. [Google Scholar] [CrossRef]
  64. Mohamed, F.M.; Wasfy, M.; Elwan, M.; El-Sayed, K.; El-Hamed, A.; Hussien, M.-A.N. Comparative growth, yield and fruit quality of grafted and non-grafted cherry tomato plants under protected cultivation. Agric. Res. J. 2012, 12, 21–29. [Google Scholar]
  65. Ivanchenko, M.G.; Zhu, J.; Wang, B.; Medvecka, E.; Du, Y.; Azzarello, E. The cyclophilin A DIAGEOTROPICA gene affects auxin transport in both root and shoot to control lateral root formation. Development 2015, 142, 712–721. [Google Scholar] [CrossRef]
  66. Aloni, B.; Cohen, R.; Karni, L.; Aktas, H.; Edelstein, M. Hormonal signaling in rootstock–scion interactions. Sci. Hortic. 2010, 127, 119–126. [Google Scholar] [CrossRef]
  67. Lockard, R.G.; Schneider, G.W. Stock and scion growth relationships and the dwarfing mechanism in apple. Hortic. Rev. 1981, 3, 315–375. [Google Scholar]
  68. Jones, O.P. Endogenous growth regulators and rootstock/scion interactions in apple and cherry trees. Acta Hortic. 1986, 179, 177–184. [Google Scholar] [CrossRef]
  69. Albacete, A.; Ghanem, M.E.; Martínez-Andújar, C.; Acosta, M.; Sánchez-Bravo, J.; Martínez, V.; Lutts, S.; Dodd, I.C.; Pé-rez-Alfocea, F. Hormonal changes in relation to biomass partitioning and shoot growth impairment in salinized tomato. J. Exp. Bot. 2008, 59, 4119–4131. [Google Scholar] [CrossRef] [PubMed]
  70. Passam, H.C.; Stylianou, M.; Kotsiras, A. Performance of eggplant grafted on tomato and eggplant rootstocks. Eur. J. Hort. Sci. 2005, 70, 130–134. [Google Scholar]
  71. Cassaniti, C.; Giuffrida, F.; Scuderi, D.; Leonardi, C. Effect of rootstock and nutrient solution concentration on eggplant grown in a soilless system. J. Food Agric. Environ. 2011, 9, 252–256. [Google Scholar]
  72. Colla, G.; Rouphael, Y.; Cardarelli, M.; Rea, E. Effect of salinity on yield, fruit quality, leaf gas exchange, and mineral com-position of grafted watermelon plants. HortScience 2006, 41, 622–627. [Google Scholar] [CrossRef]
  73. Soteriou, G.A.; Kyriacou, M.C. Rootstock mediated effects on watermelon field performance and fruit quality characteris-tics. Int. J. Veg. Sci. 2014, 21, 344–362. [Google Scholar] [CrossRef]
  74. Schwarz, D.; Oztekin, G.B.; Tuzel, Y.; Bruckner, B.; Krumbein, A. Rootstocks can enhance tomato growth and quality char-acteristics at low potassium supply. Sci. Hortic. 2013, 149, 70–79. [Google Scholar] [CrossRef]
  75. Turhan, A.; Ozmen, N.; Serbeci, M.S.; Seniz, V. Effects of grafting on different rootstocks on tomato fruit yield and quality. HortScience 2011, 38, 142–149. [Google Scholar] [CrossRef]
  76. Romano, D.; Paratore, A.; Vindigni, G. Caratteristiche dei fruttidi pomodoro in rapporto a diversi portinnesti. In Proceedings of the Workshop on ‘Applicazione di Tecnologie Innovative per il Miglioramentodell’ Orticoltura Meridionale’, Consiglio Nazionale delle Ricerche, Rome, Italy, 18 July 2000; pp. 113–114. [Google Scholar]
  77. Imazu, T. On the symbiotic affinity caused by grafting among Cucurbitaceous species. J. Jpn. Soc. Hort. Sci. 1949, 18, 42. [Google Scholar]
  78. Matsuzoe, N.; Aida, H.; Hanada, K.; Ali, M.; Okubo, H.; Fujieda, K. Fruit quality of tomato plants grafted on Solanum rootstocks. J. Jpn. Soc. Hortic. Sci. 1996, 65, 73–80. [Google Scholar] [CrossRef]
  79. Lee, J.M. Cultivation of grafted vegetables. I. Current status, grafting methods, and benefits. Hort. Sci. 1994, 29, 235–239. [Google Scholar] [CrossRef]
  80. Yamasaki, A.; Yamashita, M.; Furuya, S. Mineral concentrations and cytokinin activity in the xylem exudate of grafted watermelons as affected by rootstocks and crop load. J. Jpn. Soc. Hortic. Sci. 1994, 62, 817–826. [Google Scholar] [CrossRef][Green Version]
  81. Bie, Z.; Han, X.; Zhu, J.; Tang, M.; Huang, Y. Effect of nine rootstocks on the plant growth and fruit quality of melon. Acta Hortic. 2010, 856, 77–81. [Google Scholar]
  82. Milenkovi, L.; Mastilovi, J.; Kevrešan, Z.; Jakši, A.; Gledi, A.; Sunic, L.J.; Stanojevic, L.J.; Ilic, S.Z. Tomato Fruit Yield and Quality as Affected by Grafting and Shading. J. Food Sci. Nutr. 2018, 4, 42. [Google Scholar]
  83. Gioia, F.D.; Serio, F.; Buttaro, D.; Ayala, O.; Santamaria, P. Influence of rootstock on vegetative growth, fruit yield and quality in ‘Cuore di Bue’, an heirloom tomato. J. Hort. Sci. Biotecnol. 2010, 85, 477–482. [Google Scholar] [CrossRef]
  84. Mauro, R.P.; Agnello, M.; Onofri, A.; Leonardi, C.; Giurida, F. Scion and Rootstock Differently Influence Growth, Yield and Quality Characteristics of Cherry Tomato. Plants 2020, 9, 1725. [Google Scholar] [CrossRef]
  85. Helyes, L.; Lugasi, A.; Pogonyi, A.; Pek, Z. Effect of variety and grafting on lycopene content of tomato (Solanum lycopersicum L. Karsten) fruit. Acta Aliment. 2009, 38, 27–34. [Google Scholar] [CrossRef]
  86. Pek, Z.; Pogonyi, A.; Helyes, L. Effects of rootstock on yield and fruit quality of indeterminate tomato (Solanum lycopersicum (L.) Karsten). Cer. Res. Comm. 2007, 35, 913–916. [Google Scholar]
  87. Moncada, A.; Miceli, A.; Vetrano, F.; Mineo, V.; Planeta, D.; D’Anna, F. Effect of grafting on yield and quality of eggplant (Solanum melongena L.). Sci. Hortic. 2013, 149, 108–114. [Google Scholar] [CrossRef]
  88. Dixon, R.A.; Paiva, N. Stress-lnduced phenylpropanoid metabolism. Plant Cell 1995, 7, 1085–1097. [Google Scholar] [CrossRef] [PubMed]
  89. Moglia, A.; Lanteri, S.; Comino, C.; Acquadro, A.; De Vos, R.; Beekwilder, J. Stress-induced biosynthesis of dicaffeoylquinic acids in globe artichoke. J. Agric. Food Chem. 2008, 56, 8641–8649. [Google Scholar] [CrossRef]
  90. Vrcek, I.V.; Samobor, V.; Bojic, M.; Saric, M.M.; Vukobratovic, M.; Erhatic, R.; Horvat, D.; Matotan, Z. The effect of grafting on the antioxidant properties of tomato (Solanum lycopersicum L.). Span. J. Agric. Res. 2011, 3, 844–851. [Google Scholar] [CrossRef]
  91. Bai, Y.; Lindhout, P. Domestication and breeding of tomatoes: What have we gained and what can we gain in the future? Ann. Bot. 2007, 100, 1085–1094. [Google Scholar] [CrossRef] [PubMed]
  92. Rouphael, Y.; Schwarz, D.; Krumbein, A.; Colla, G. Impact of grafting on product quality of fruit vegetables. Sci. Hortic. 2010, 127, 172–179. [Google Scholar] [CrossRef]
  93. Lee, J.M.; Kubota, C.; Tsao, S.G.; Bie, Z.; Hoyos Echevarria, P.; Morra, L.; Oda, M. Current status of vegetable grafting: Dif-fusion, grafting techniques, automation. Sci. Hortic. 2010, 127, 93–105. [Google Scholar] [CrossRef]
Publisher’s Note: MDPI stays neutral with regard to jurisdictional claims in published maps and institutional affiliations.

Article Metrics

Citations

Article Access Statistics

Multiple requests from the same IP address are counted as one view.