Abstract
Field research was conducted in 2017–2019 on “Princess 77” bermudagrass (Cynodon dactylon (L.) Pers.) to determine whether an amino acid based biostimulant program applied in the late season (October-November) and early season (March-April) could extend fall color retention (FCR) or hasten the spring green-up (SGU), respectively. Bermudagrass was treated with the biostimulant under five different managements: non-treated; 6 times at 5 L ha−1 weekly; 3 times at 5 L ha−1 in a 14-day interval; 6 times at 10 L ha−1 weekly; and 3 times at 10 L ha−1 in a 14-day interval. Normalized difference vegetation index (NDVI) and visual ratings (turf green color and percentage of green coverage in the subplot) were determined weekly, and turf clipping dry weight for the SGU studies. At the end of the FCR studies (2017 and 2018), there was no effect of the biostimulant; although, some isolated positive effects were detected during the experiment in 2017 on bermudagrass treated weekly at 10 L ha−1 for NDVI. However, there was a slight positive effect on SGU when this physiological process occurred slowly (year 2018) and the biostimulant was applied weekly at 10 L ha−1 (4.4 kg N ha−1), compared to another performed management and warmer years (2017 and 2019).
1. Introduction
Bermudagrass (Cynodon dactylon (L.) Pers.) is probably the most common warm season turfgrass used in tropical, subtropical, and even in the transition zone to temperate climates [1,2,3,4,5]. This turfgrass species offers excellent wear, heat, and drought tolerance [6,7]. However, in most temperate areas, when temperatures approach 10 °C (50 °F), bermudagrass becomes dormant and turns brown [8]. It resumes growth and turns green again when temperature rises at the end of winter or early spring. A common practice to maintain a year-round green color is overseeding with a cool season species [9] such as Lolium perenne L. or Poa trivialis L., but this practice can be costly so painting turfgrass has become the most popular alternative to overseeding greens for winter color in the USA [10,11]. As an alternative to fall overseeding and painting, the effects of several substances applied on bermudagrass in late summer and fall for green color retention have been reported by several authors [12,13,14,15,16,17,18,19] including living organisms, plant growth regulators, or mostly mineral fertilizers.
Some studies did not find any advantage applying substances to bermudagrass for green color retention, reporting a turf quality decrease when applying trinexapac-ethyl in fall [20], or that seaweed extract applications did not have any effect on bermudagrass fall color retention [16]. Nevertheless, a single nitrogen (N) application (98 kg ha−1) at the end of September in Mississippi (USA) is reasonable for turf situations where extended bermudagrass color and growth are desired [12], or foliar applied iron (Fe) extended bermudagrass quality late in the growing season and its effect was enhanced when combined with a cover [13]. The same effect was found when applying N every 3 weeks at 49 kg ha−1 during fall that may encourage additional late season bermudagrass use in golf courses and athletic fields [16]. Other authors reported extended fall color retention of bermudagrass cultivars after applying 50 kg N ha−1 on 15 October [18]; for example, “Midiron” bermudagrass fertilized with 48 kg N ha−1 during the fall remained longer with a darker green color than turf that only received N during the summer [19]. However, N could be an environmental problem as it leachates easily, ranging N leaching values between 0 and 161 kg ha−1 when using appropriate measurement techniques for at least 12 months [21]. Foliar amino acid based biostimulants, a rapid source of N for the plant, could be the most respectful option for the environment as less mineral fertilizer is required when biostimulants are used [22].
Biostimulants are substances promoting plant growth without being nutrients, soil improvers, or pesticides [23]. There are a lot of substances covered by this definition and they can be classified in the following main categories [23]: (i) humic and fulvic acids; (ii) protein hydrolysates and other N-containing compounds; (iii) seaweed extracts and botanicals; (iv) chitosan and other biopolymers; (v) inorganic compounds; (vi) beneficial fungi; and (vii) beneficial bacteria. The aim of modern agriculture is to reduce inputs without reducing the yield and quality [24] and these goals can be achieved by the use of biostimulants, being N one of the most important inputs to be reduced. Leaching of N is a loss of nutrient and a source of water pollution, and should therefore be minimized [25]. Nitrogen fertilization could be partially replaced by amino acid based biostimulant application, resulting in less risk of N lixiviation. Limited research has been conducted on the effect of amino acid based biostimulants on turfgrass species and the reported information is heterogeneous as experiments were performed on different species, under different stresses and under different experimental scenarios (growing chamber, greenhouse, golf putting green, and lawn). For example, for perennial ryegrass (L. perenne L.) cultivated on a growing chamber, an amino acid based biostimulant applied on heat-stressed turfgrass showed superior photosynthetic efficiency and maintained higher levels of chlorophylls and carotenoids [26]. Another amino acid (ɣ-aminobutyric acid) was foliar applied on drought-stressed perennial ryegrass, demonstrating that it was effective in mitigating the physiological response of drought stress damage in a greenhouse experiment [27]. Glycine betaine treatments were useful for salt tolerance stress enhancement also on perennial ryegrass cultivated in plastic cups mowed at 6 cm [28]. In field plots, a faster grow-in on creeping bentgrass (Agrostis stolonifera L.) was observed when receiving amino acid based biostimulants than on plots receiving mineral fertilizers [29]. In a C3 mixed lawn, a low rate of an amino acid product enhanced turfgrass aesthetics, as a positive effect reducing disease incidence was observed [30]. Nevertheless, only a slight improvement in foliar N uptake was reported when three pure amino acids were foliar applied on creeping bentgrass [31], and only a slight positive role for foliar amino acids on N summer fertilization programs was found in creeping bentgrass golf green [32]. However, no research has been conducted on the effect of amino acid based biostimulants on bermudagrass.
An early spring green-up (SGU) is as important as bermudagrass fall color retention (FCR). Choosing a bermudagrass cultivar with earlier green-up could extend the turf functionality period up to 3 weeks [33]. Some authors demonstrated that the application of spring scalping enhances green-up of bermudagrass by increasing the soil temperature during the day [34]; that fall-applied N enhanced the SGU of bermudagrass [18], and that late season N applications promoted early SGU [17]. However, an environmental risk appears, as N applications in the fall may not be assimilated by the grass until it resumes growth.
We hypothesize that foliar applications of an amino acid based biostimulant without N mineral fertilization would delay bermudagrass dormancy and hasten SGU. Thus, the objective of this study was to determine the effect of such a type of biostimulant on “Princess 77” bermudagrass, applied in fall for color retention and in late winter for green-up.
2. Materials and Methods
A FCR experiment on “Princess 77” bermudagrass, the most used cultivar in the Spanish Mediterranean coast, was conducted in 2017 and repeated in 2018 at the Manises Royal Golf Course in Valencia, Spain. In addition, a SGU experiment was also conducted on “Princess 77” bermudagrass in 2017 and repeated in 2018 and 2019, at the same experimental area in a turfgrass nursery. The experiments were always composed of twenty 1 m2 plots cultivated on a silica sand mix (80% 0.1 mm and 20% 0.6 mm particle size).
2.1. Biostimulant
The tested biostimulant was Terra-Sorb Complex (Bioiberica SAU, Barcelona, Spain) based on 20% free amino acids from enzymatic hydrolysis (5.48% glycine, 4.36% glutamic acid, 2.99% lysine, 1.13% aspartic acid, 1.09% threonine, 0.67% arginine, 0.63% valine, 0.60% alanine, 0.52% phenylalanine, 0.49% serine, 0.40% leucine, 0.36% isoleucine, 0.35% proline, 0.33% histidine, 0.24% tyrosine, 0.17% tryptophan, 0.12% cysteine, and 0.12% methionine); 5.5% N (5% organic N); 1.5% B; 1% Fe; 0.48% Mg; 0.1% Zn; 0.1% Mn; 0.0001% Mo; and 25% organic matter content (ρ = 1.34 g cm−3). The biostimulant was diluted in 1000 L ha−1 of water. In both types of experiments (FCR and SGU) the biostimulant was applied under five different managements: no application (non-treated); 6 times in a 7-day interval at 5 or 10 L ha−1; and 3 times in a 14-day interval at 5 or 10 L ha−1. The first treatment for both FCR studies was carried out on the 4th and 11th of October before bermudagrass dormancy, and between 27th of February and 6th of March for SGU studies, when bermudagrass was resuming growth. All treatments were applied using a calibrated CO2 backpack sprayer (Bellspary Inc., Opelousas, LA, USA) at 2 bar with one flat nozzle (9504EVS Teejet, Springfield, IL, USA).
2.2. Data Collection
Turfgrass color (TC) was determined on a 1–9 visual rating scale with 1 equaling straw brown or no color retention, and 9 equaling dark green [35], being 6 an acceptable green color. The percentage of green color (% GC) was visually assessed as a total green color covered area. Normalized difference vegetation index (NDVI) was determined with a GreenSeeker handheld optical sensor unit Model 505 (Trimble Corp., Sunnyville, CA, USA) held 70 cm above the canopy. Bermudagrass clippings were collected only at the end of the SGU experiments and oven dried at 75 °C during 24 h to obtain the dry clipping weight. Turf color and NDVI data were collected every week from October to December for the FCR studies, and from March to May for the SGU studies. Green color covered area was determined for the 2018 FCR study and for the SGU studies. In the 2017 SGU study, only the green color covered area and dry clipping weight were determined. Air temperature data was measured by a weather station [36] located in close proximity to the research plots (Table 1).
Table 1.
Monthly average temperatures from 2017 to 2019 and long-term (1981–2010) monthly temperature averages for the research location. Source: Spanish State Meteorological Agency, AEMET, Station: Valencia-Airport.
2.3. Turfgrass Management
In both types of experiments (FCR and SGU), grass was mowed with a rotary mower at 4 cm 1 week before starting treatments and no mowing was then performed until clipping collection. Clippings of each individual plot were collected emptying the mower bag into individual plastic bags. Turfgrass was only irrigated once at the beginning of the FCR studies and every 2 weeks for the SGU studies. A 16-3.5-13.3 (N-P-K) fertilizer was applied in May, June, and July, at a monthly rate of 30 kg N ha−1, in 2017 and 2018.
2.4. Experimental Design and Statistical Analysis
The experimental design was a randomized complete block with five biostimulant management levels and four replications. Turfgrass color, NDVI, percentage of green color, and dry weight were subjected to a one-way ANOVA using Fisher’s protected least significant difference test at the 0.05 probability level to identify significant differences among each biostimulant management. All the statistical analyses were conducted with Statgraphics Centurion XVII (version 17.2.00; Statpoint Technologies, Warrenton, VA, USA).
3. Results and Discussion
3.1. Fall Color Retention
The tested biostimulant did not provide any benefit on “Princess 77” bermudagrass color retention regardless of the management in 2017 nor in 2018. Table 2 shows that, although the one-way ANOVA revealed some isolated significant differences among managements, the biostimulant did not promote any green color extension at 9 weeks after initial treatment (WAIT) in both years. In 2017, the only dates when a bermudagrass NDVI improvement was detected, were at 3 and 8 WAIT when the biostimulant applied weekly at 10 L ha−1 was better than applied weekly at 5 L ha−1 and biweekly at 10 L ha−1, respectively. However, this slight improvement did not occur in 2018, when the only detected differences among biostimulant managements in terms of color and NDVI were erratic, maybe due to a lack of cold stress as temperatures during the 2018 fall were unusually high.
Table 2.
Bermudagrass color and normalized difference vegetation index (NDVI) for the 2017 and 2018 fall color retention (FCR) studies, and percentage of green color for the 2018 FCR study, in each evaluation date. Values represent an average of 4 readings.
The observed lack of color retention in both years cannot be attributed to a drop in fall temperatures, as it was different in both years. In 2017, the average maximum/minimum temperature in the last period of the experiment was 15.8/2.2 °C whereas, in 2018 it was 20.8/6.3 °C [36]. It was attributed to a low total N application dose despite the intensive biostimulant application management: 10 L ha−1 applied 6 times in a 7-day interval. This equaled to 4.4 kg N ha−1, which is a small amount of N to be applied at the end of each experiment, and far below the rates of 45 [37] or 50 kg N ha−1 [18] to promote cold persistence and SGU, or color retention in “Princess 77” and “Riviera” bermudagrass cultivars.
3.2. Early Spring Green-Up
For the SGU study, it should be pointed out that the end of winter in 2018 was cooler than in 2017 and 2019. In fact, the average maximum/minimum temperature during the previous week of the first biostimulant application was 13.4/2.2 °C for 2018, 17.5/4.9 °C for 2017, and 24.2/7.0 °C for 2019 [36]. Results of the SGU studies are shown in Figure 1 and Figure 2. In 2018 (Figure 1A,C) the curve representing the biostimulant treated turf with 10 L ha−1 in a 7-day interval was always above the other management’s curves in terms of color and NDVI. This trend did not take place in 2019 (warm early spring), as the five management curves (Figure 1B,D) were almost coincident, which is consistent with previous work, reporting that biostimulants are more useful under turfgrass stress situations [38,39,40,41,42].
Figure 1.
Turf color and normalized difference vegetation index (NDVI) of “Princess 77” bermudagrass treated with the biostimulant under different management procedures in 2018 and 2019 during the green-up period (from March to April). Vertical bars indicate least significant difference (p < 0.05) for management means comparison at a given evaluation date. Least significant difference (LSD) bars are not represented in graphics (B) and (D) because there were no significant differences. Graphics (A) and (C) correspond to the year 2018, and graphics (B) and (D) correspond to the year 2019.
Figure 2.
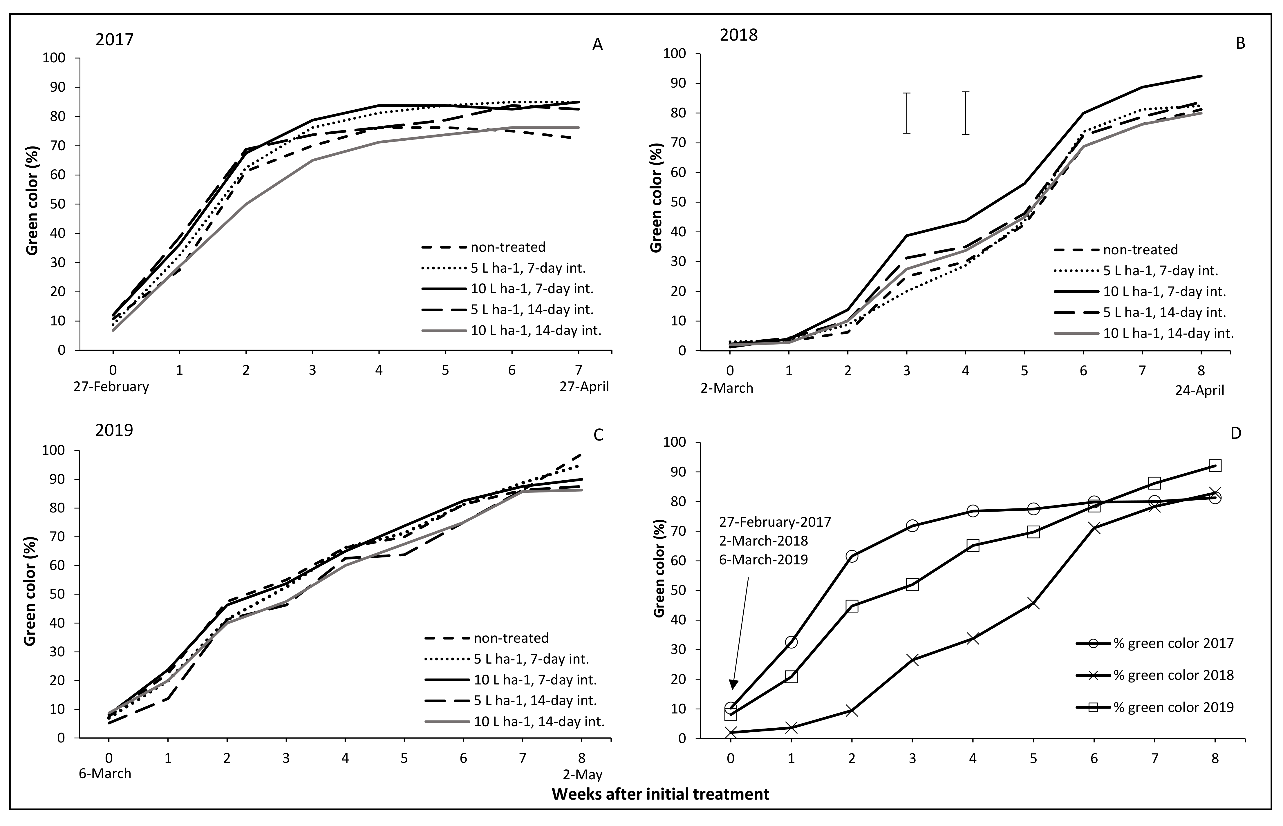
Bermudagrass visual green color (%) subjected to different biostimulant management application in the green-up period in 2017 (A), 2018 (B), 2019 (C), and green color management average (%) of the three years of study (D). Vertical bars indicate least significant difference (p < 0.05) for management means comparison at a given evaluation date.
More precisely, it is interesting to emphasize that Figure 1A shows three dates when bermudagrass treated weekly at 10 L ha−1 obtained a darker green color than other managements. The first date was 2 WAIT compared to non-treated and treated with 5 L ha−1. The second date was at 3 WAIT when turf green color was darker with 10 L ha−1 than 5 L ha−1 applied weekly. Finally, at 5 WAIT, when turfgrass treated weekly with 10 L ha−1 was darker than non-treated turf. In the same way, Figure 1C shows the NDVI trend, which is an indication of plant health [43]. This index was significantly correlated with visual turf quality in numerous studies [44,45,46,47,48] with NDVI values being higher with an increase on turf quality. From 3 to 6 WAIT there were differences between treatments, the most significant being the differences between bermudagrass treated weekly with 10 L ha−1 compared to weekly 5 L ha−1 and non-treated turf. At 5 WAIT, the NDVI was higher with 10 L ha−1 applied weekly than that applied every 2 weeks. In summary, there was a slight effect of the tested biostimulant on bermudagrass for hastening SGU in 2018, while in 2019 it was not observed although, in the Figure 1 graphics the curve for the weekly 10 L ha−1 treatment was always above the other management curves. These findings were significant, with just a small amount of N-organic fertilization (4.4 kg ha−1), we have been able to accelerate in the cold years SGU of “Princess 77”, a cultivar characterized as low cold-tolerant [49]. That positive effect was probably due to amino acids more than micronutrients because they can be rapidly and efficiently absorbed by plants as demonstrated in creeping bentgrass [31,50]. Moreover, micronutrients in the present study were applied in low quantities (1.2 kg B ha−1, 0.8 kg Fe ha−1, and 0.3 kg Mg ha−1 for the largest applied rate) compared to Guertal [51] that needed 4.4 kg B ha−1 to find a shoot increment in creeping bentgrass but no differences were observed in terms of dry weight, thatch depth, shoot density, and turf color; or White and Schmidt [19], which needed 3.6 kg Fe ha−1 to obtain a retention in greenness and better bermudagrass turf quality in fall and a superior turf color in spring; or even an only isolated result obtained by Shaddox [52] in terms of dark green color after eight applications of Mg at 22.4 kg ha−1 in St. Augustinegrass (Stenotaprhrum secundatum (Walt.) Kuntze).
Plot green color percentage (Figure 2) and final clipping dry weight (data not shown) were the only characteristics determined in all three years of the study. In the warmer years of 2017 and 2019 (Figure 2A,C), there were no differences among managements. While not significant, the above position of weekly applications at 10 L ha−1 curve suggests that in the case of high stress there could be an effect. However, in the coldest year (2018), bermudagrass receiving weekly 10 L ha−1 showed a higher green coverage than plots treated with 5 L ha−1 at 3 and 4 WAIT and non-treated turf at 3 WAIT (Figure 2B). The positive effect was likely due to the 2018 SGU period that was colder than in 2017 and 2019, as a consequence the bermudagrass was more stressed. In 2018, it took almost 6 weeks to achieve the 50% green color coverage (Figure 2D) while in 2017 and 2019 it took 1.8 and 3.4 weeks, respectively for the same coverage level, which is a short period of time for the biostimulant to become absorbed and incorporated into metabolic pathways.
Dry clipping weight (data not shown) did not reveal differences among treatments in any SGU study. While not statistically significant, in 2018 the weekly treated plots with the biostimulant at 10 L ha−1 weighed more than other managements, which was consistent with the results obtained with the color and NDVI assessments.
In conclusion, this study reports that there was no effect of the amino acid based biostimulant on “Princess 77” bermudagrass for the FCR under any of the studied managements. However, there was a slight effect on SGU when this physiological process slowly occurred and the biostimulant was applied weekly at 10 L ha−1. Increasing biostimulant rates, or a combination of the biostimulant with a low mineral N rate, may promote FCR or make significant differences among treatments on SGU.
Author Contributions
Conceptualization, D.G.d.B.; Data curation, V.D.L.; Formal analysis, V.D.L. and D.G.d.B.; Investigation, D.G.d.B.; Methodology, V.D.L. and D.G.d.B.; Validation, D.G.d.B.; Visualization, V.D.L. and D.G.d.B.; Writing—original draft, V.D.L. and D.G.d.B.; Writing—review and editing, V.D.L. All authors have read and agreed to the published version of the manuscript.
Funding
This research received no external funding.
Institutional Review Board Statement
Not applicable.
Informed Consent Statement
Not applicable.
Data Availability Statement
Data sharing not applicable.
Acknowledgments
The authors would like to acknowledge José Manuel Iserte, greenkeeper of Real Club de Golf Manises (Spain) and the companies Semillas Dalmau SL and Bioibérica SAU for providing seeds and biostimulant, respectively.
Conflicts of Interest
The authors declare no conflict of interest.
References
- Anderson, J.A.; Taliaferro, C.M.; Martin, D.L. Evaluating Freeze Tolerance of Bermudagrass in a Controlled Environment. HortScience 1993, 28, 955. [Google Scholar] [CrossRef]
- Gatschet, M.J.; Taliaferro, C.M.; Anderson, J.A.; Porter, D.R.; Anderson, M.P. Cold Acclimation and Alterations in Protein Synthesis in Bermudagrass Crowns. J. Am. Soc. Hortic. Sci. 1994, 119, 477–480. [Google Scholar] [CrossRef]
- Harlan, J.R.; De Wet, J.M.J. Sources of Variation in Cynodon dactylon (L). Pers. 1. Crop. Sci. 1969, 9, 774–778. [Google Scholar] [CrossRef]
- Magni, S.; Gaetani, M.; Grossi, N.; Caturegli, L.; La Bella, S.; Leto, C.; Virga, G.; Tuttolomondo, T.; Lulli, F.; Volterrani, M. Bermudagrass adaptation in the mediterranean climate: Phenotypic traits of 44 accessions. Adv. Hortic. Sci. 2014, 28, 29–34. Available online: http://www.jstor.org/stable/24586852 (accessed on 4 January 2021).
- Volterrani, M.; Grossi, N.; Pardini, G.; Miele, S.; Gaetani, M.; Magni, S. Warm season turfgrass adaptation in Italy. Int. Turfgrass Soc. Res. J. 1997, 8, 1344–1354. [Google Scholar]
- Beard, J.B. Turfgrass: Science and Culture; Prentice-Hall: Englewood Cliffs, NJ, USA, 1973; pp. 54–131. [Google Scholar]
- Taliaferro, C.M.; Martin, D.M.; Anderson, J.A.; Anderson, M.P.; Guenzi, A.C. Broadening the horizons of turf bermu-dagrass. USGA Turfgrass Environ. Res. 2004, 3, 1–9. [Google Scholar]
- McCarty, L.B.; Miller, G. Managing Bermudagrass Turf; Ann Arbor Press: Chelsea, MI, USA, 2002; p. 221. [Google Scholar]
- Long, S.H. Thatch control, winter painting, and plant regulator management on golf course putting greens. Master’s Thesis, Clemson University, Clemson, SC, USA, 2006. [Google Scholar]
- Liu, H.; McCarthy, L.B.; Baldwin, C.M.; Sarvis, W.G.; Long, S.H. Painting dormant bermudagrass putting greens. Golf Course Manag. 2007, 11, 86–91. [Google Scholar]
- Pinnix, G.D.; Miller, G.L.; Bowman, D.C.; Grabow, G.L. Color, Transfer, and Application Parameters of Turfgrass Colorants. Agron. J. 2018, 110, 66–76. [Google Scholar] [CrossRef]
- Goatley, J.; Maddox, V.; Hensler, K. Late-season Applications of Various Nitrogen Sources Affect Color and Carbohydrate Content of ‘Tiflawn’ and Arizona Common Bermudagrass. HortScience 1998, 33, 692–695. [Google Scholar] [CrossRef]
- Goatley, J.; Maddox, V.; Lang, D.; Elmore, R.; Stewart, B. Temporary Covers Maintain Fall Bermudagras Quality, Enhance Spring Greenup, and Increase Stem Carbohydrate Levels. HortScience 2005, 40, 227–231. [Google Scholar] [CrossRef]
- Gómez de Barreda, D.; De Luca, V.; Mouimi, M.A. Bermudagrass dormancy avoindance using a commercial microbial concentrate. In Proceedings of the Book of Abstracts of the 5th European Turfgrass Research Conference, Albufeira, Portugal, 5th–8th June 2016; pp. 163–164. [Google Scholar]
- Kuti, J.; Gans, S.; Hayes, J.; Tucker, W. The Response of Bermudagrass (Cynodon spp.) to Microorganisms and Humate Soil Inoculations. HortScience 1998, 33, 449. [Google Scholar] [CrossRef]
- Munshaw, G.C.; Ervin, E.H.; Shang, C.; Askew, S.D.; Zhang, X.; Lemus, R.W. Influence of Late-Season Iron, Nitrogen, and Seaweed Extract on Fall Color Retention and Cold Tolerance of Four Bermudagrass Cultivars. Crop. Sci. 2006, 46, 273–283. [Google Scholar] [CrossRef]
- Richardson, M.D. Turf Quality and Freezing Tolerance of ‘Tifway’ Bermudagrass as Affected by Late-Season Nitrogen and Trinexapac-Ethyl. Crop. Sci. 2002, 42, 1621–1626. [Google Scholar] [CrossRef]
- Rimi, F.; Macolino, S.; Richardson, M.D.; Karcher, D.E.; Leinauer, B. Influence of Three Nitrogen Fertilization Schedules on Bermudagrass and Seashore Paspalum: I. Spring Green-up and Fall Color Retention. Crop. Sci. 2013, 53, 1161–1167. [Google Scholar] [CrossRef]
- White, R.H.; Schmidt, R.E. Fall Performance and Post-dormancy Growth of ‘Midiron’ Bermudagrass in Response to Nitrogen, Iron, and Benzyladenine. J. Am. Soc. Hortic. Sci. 1990, 115, 57–61. [Google Scholar] [CrossRef]
- Severmutlu, S.; Mutlu, N.; Gurbuz, E.; Shearman, R.C.; Riordan, T.P. Effects of seasonal trinexapac-ethyl application on warm-season turfgrass colour, quality and spring green-up under mediterranean environment. Eur. J. Hortic. Sci. 2012, 77, 226–236. [Google Scholar]
- Barton, L.; Colmer, T.D. Irrigation and fertiliser strategies for minimising nitrogen leaching from turfgrass. Agric. Water Manag. 2006, 80, 160–175. [Google Scholar] [CrossRef]
- Frankenberger, W.T., Jr.; Arshad, M. Microbial Synthesis of auxins. Phytohormones in Soils; Marcel Dekker: New York, NY, USA, 1995; pp. 35–71. [Google Scholar]
- du Jardin, P. Plant biostimulants: Definition, concept, main categories and regulation. Sci. Hortic. 2015, 196, 3–14. [Google Scholar] [CrossRef]
- Bulgari, R.; Cocetta, G.; Trivellini, A.; Vernieri, P.; Ferrante, A. Biostimulants and crop responses: A review. Biol. Agric. Hortic. 2014, 31, 1–17. [Google Scholar] [CrossRef]
- Radersma, S.; Smit, A. Assessing denitrification and N leaching in a field with organic amendments. NJAS Wagening J. Life Sci. 2011, 58, 21–29. [Google Scholar] [CrossRef]
- Botta, A. Enhancing plant tolerance to temperature stress with amino acids: An approach to their mode of action. Acta Hortic. 2013, 1009, 29–35. [Google Scholar] [CrossRef]
- Krishnan, S.; Laskowski, K.; Shukla, V.; Merewitz, E.B. Mitigation of Drought Stress Damage by Exogenous Application of a Non-Protein Amino Acid γ– Aminobutyric Acid on Perennial Ryegrass. J. Am. Soc. Hortic. Sci. 2013, 138, 358–366. [Google Scholar] [CrossRef]
- Hu, L.; Hu, T.; Zhang, X.; Pang, H.; Fu, J. Exogenous Glycine Betaine Ameliorates the Adverse Effect of Salt Stress on Perennial Ryegrass. J. Am. Soc. Hortic. Sci. 2012, 137, 38–46. [Google Scholar] [CrossRef]
- Aamlid, T.S.; Kvalbein, A.; Pettersen, T. Evaluation of an Amino-Acid-Based Fertilizer for Grow-In of Creeping Bentgrass Putting Greens. Crop. Sci. 2017, 57, S-357–S-360. [Google Scholar] [CrossRef]
- Radkowski, A.; Radkowska, I.; Bocianowski, J.; Sladkovska, T.; Wolski, K. The Effect of Foliar Application of an Amino Acid-Based Biostimulant on Lawn Functional Value. Agronomy 2020, 10, 1656. [Google Scholar] [CrossRef]
- Stiegler, J.C.; Richardson, M.D.; Karcher, D.E.; Roberts, T.L.; Norman, R.J. Foliar Absorption of Various Inorganic and Organic Nitrogen Sources by Creeping Bentgrass. Crop. Sci. 2013, 53, 1148–1152. [Google Scholar] [CrossRef]
- Zhang, X.; Summer, P.; Ervin, E.H. Foliar amino acid-based fertilizer impact on creeping bentgrass drought resistance. Int. Turfgrass Soc. Res. J. 2013, 12, 1–7. [Google Scholar]
- Schiavon, M.; Macolino, S.; Leinauer, B.; Ziliotto, U. Seasonal Changes in Carbohydrate and Protein Content of Seeded Bermudagrasses and Their Effect on Spring Green-Up. J. Agron. Crop. Sci. 2015, 202, 151–160. [Google Scholar] [CrossRef]
- Rimi, F.; Macolino, S.; Leinauer, B.; Ziliotto, U. Green-up of Seeded Bermudagrass Cultivars as Influenced by Spring Scalping. HortTechnology 2011, 21, 230–235. [Google Scholar] [CrossRef]
- Morris, K.N.; Shearman, R.C. NTEP Turfgrass Evaluation Guidelines. Natl. Turfgrass Evaluation Progr. Beltsville, MD. 2017. Available online: http://www.ntep.org/reports/bg13/bg13_18-14f/bg13_18-14f.htm (accessed on 5 February 2020).
- Spanish State Meteorological Agency. AEMET. Available online: http://www.aemet.es/es/portada (accessed on 5 February 2020).
- Zhang, X.; Wang, K.; Ervin, E.; Waltz, C.; Murphy, T. Metabolic Changes During Cold Acclimation and Deacclimation in Five Bermudagrass Varieties. I. Proline, Total Amino Acid, Protein, and Dehydrin Expression. Crop. Sci. 2011, 51, 838–846. [Google Scholar] [CrossRef]
- Colla, G.; Hoagland, L.; Ruzzi, M.; Cardarelli, M.; Bonini, P.; Canaguier, R.; Rouphael, Y. Biostimulant Action of Protein Hydrolysates: Unraveling Their Effects on Plant Physiology and Microbiome. Front. Plant Sci. 2017, 8, 2202. [Google Scholar] [CrossRef]
- Hamza, B.; Suggars, A. Biostimulants: Myths and realities. TurfGrass Trends. 2001, 8, 6–10. [Google Scholar]
- Karnok, K.J. Promises, promises: Can biostimulants deliver. Golf Course Manag. 2000, 68, 67–71. [Google Scholar]
- Xu, Y.; Huang, B. Responses of Creeping Bentgrass to Trinexapac-ethyl and Biostimulants under Summer Stress. HortScience 2010, 45, 125–131. [Google Scholar] [CrossRef]
- Yakhin, O.I.; Lubyanov, A.A.; Yakhin, I.A.; Brown, P.H. Biostimulants in Plant Science: A Global Perspective. Front. Plant Sci. 2017, 7, 2049. [Google Scholar] [CrossRef]
- Poulter, R. Comparison of compost and a sandy loam as turf underlay materials on salt-affected parkland. Acta Hortic. 2014, 1018, 125–131. [Google Scholar] [CrossRef]
- Bell, G.E.; Martin, D.L.; Wiese, S.G.; Dobson, D.D.; Smith, M.W.; Stone, M.L.; Solie, J.B. Vehicle-Mounted Optical Sensing. Crop. Sci. 2002, 42, 197–201. [Google Scholar] [CrossRef]
- Fitz–Rodríguez, E.; Choi, C.Y. Monitoring turfgrass quality using multispectral radiometry. Trans. ASAE 2002, 45, 865. [Google Scholar] [CrossRef]
- Jiang, Y.; Carrow, R.N. Assessment of Narrow-band Canopy Spectral Reflectance and Turfgrass Performance under Drought Stress. HortScience 2005, 40, 242–245. [Google Scholar] [CrossRef]
- Lee, H.; Bremer, D.J.; Su, K.; Keeley, S.J. Relationships between Normalized Difference Vegetation Index and Visual Quality in Turfgrasses: Effects of Mowing Height. Crop. Sci. 2011, 51, 323–332. [Google Scholar] [CrossRef]
- Trenholm, L.E.; Carrow, R.N.; Duncan, R.R. Relationship of Multispectral Radiometry Data to Qualitative Data in Turfgrass Research. Crop. Sci. 1999, 39, 763–769. [Google Scholar] [CrossRef]
- National Turfgrass Evaluation Program. Percent Winterkill Ratings of Bermudagrass Cultivars, 2013–2017. Natl. Turfgrass Evaluation Progr. Beltsville, MD. Available online: http://www.ntep.org/data/bg13/bg13_18-12/bg1318t16b.txt (accessed on 5 February 2020).
- McCoy, R.M.; Meyer, G.W.; Rhodes, D.; Murray, G.C.; Sors, T.G.; Widhalm, J.R. Exploratory Study on the Foliar Incorporation and Stability of Isotopically Labeled Amino Acids Applied to Turfgrass. Agronomy 2020, 10, 358. [Google Scholar] [CrossRef]
- Guertal, E.A. Boron fertilization of bentgrass. Crop Sci. 2004, 44, 204–208. [Google Scholar] [CrossRef]
- Shaddox, T. Magnesium for Florida Turfgrasses. EDIS. 2018. Available online: http://edis.ifas.ufl.edu. (accessed on 28 February 2021).
Publisher’s Note: MDPI stays neutral with regard to jurisdictional claims in published maps and institutional affiliations. |
© 2021 by the authors. Licensee MDPI, Basel, Switzerland. This article is an open access article distributed under the terms and conditions of the Creative Commons Attribution (CC BY) license (http://creativecommons.org/licenses/by/4.0/).

