Soil Water Retention and Soil Compaction Assessment in a Regional-Scale Strategy to Improve Climate Change Adaptation of Agriculture in Navarre, Spain
Abstract
1. Introduction
2. Materials and Methods
2.1. Study Area
2.2. Selection of Soil Management Strategies
2.3. Homogeneous Areas and Network of Agricultural Plots
2.4. Soil Sampling Design and Analysis
2.5. Bulk Density and Soil Water Retention Assessment and Statistics
3. Results
3.1. Baseline by Agricultural Zones and Soil Type: Bulk Density
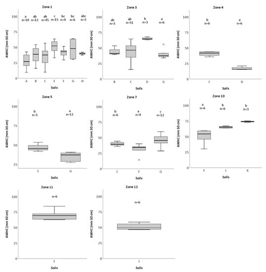
3.2. Baseline by Agricultural Zones and Soil Type: AWHC
3.3. Effect of Management on Bulk Density
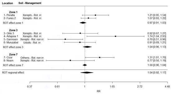
3.4. Effect of Management on the Soil Water-Holding Capacity
4. Discussion
4.1. Regional Characteristics
4.2. Adaptive Management and Bulk Density
4.3. Adaptive Management and Available Water-Holding Capacity
4.4. Regional Assessment
5. Conclusions
Supplementary Materials
Author Contributions
Funding
Institutional Review Board Statement
Informed Consent Statement
Data Availability Statement
Acknowledgments
Conflicts of Interest
References
- Jia, G.; Shevliakova, E.; Artaxo, P.; De Noblet-Decoudré, N.; Houghton, R.; House, J.; Kitajima, K.; Lennard, C.; Popp, A.; Sirin, A.; et al. Climate change and land. Chapter 2: Land-Climate Interactions. IPCC Spec. Rep. Glob. Warm. 1.5 °C 2019, 1–186. [Google Scholar]
- IPCC. IPCC, 2014: Summary for policymakers. In Climate Change 2014: Impacts, Adaptation, and Vulnerability. Part A: Global and Sectoral Aspects. Contribution of Working Group II to the Fifth Assessment Report of the Intergovernmental Panel on Climate Change; Field, C.B., Barros, D.J., Dokken, K.J., Mach, M.D., Mastrandrea, T.E., Bilir, M., Chatterjee, K.L., Ebi, Y.O., Estrada, R.C., Genova, B., et al., Eds.; Ambridge University Press: Cambridge, UK; New York, NY, USA, 2014; p. 32. [Google Scholar]
- Rounsevell, M.D.A.; Evans, S.P.; Bullock, P. Climate change and agricultural soils: Impacts and adaptation. Clim. Chang. 1999, 43, 683–709. [Google Scholar] [CrossRef]
- Adhikari, K.; Hartemink, A.E. Linking soils to ecosystem services—A global review. Geoderma 2016, 262, 101–111. [Google Scholar] [CrossRef]
- Blum, W.E.H. Functions of soil for society and the environment. Rev. Environ. Sci. Biotechnol. 2005, 4, 75–79. [Google Scholar] [CrossRef]
- CEC. Communication From the Commission to the Council, the European Parliament, the European Economic and Social Committee, and the Committee of the Regions: A Mid-Term Assessment of Implementing the EC Biodiversity Action Plan. J. Int. Wildl. Law Policy 2009, 12, 108–120. [Google Scholar] [CrossRef]
- Bouma, J. Soil science contributions towards Sustainable Development Goals and their implementation: Linking soil functions with ecosystem services. J. Plant Nutr. Soil Sci. 2014, 177, 111–120. [Google Scholar] [CrossRef]
- Allen, D.E.; Singh, B.P.; Dalal, R.C. Soil Health Indicators Under Climate Change: A Review of Current Knowledge. In Soil Health and Climate Change; Singh, B.P., Cowie, A., Chan, K., Eds.; Springer: Berlin/Heidelberg, Germany, 2011; pp. 260–261. ISBN 9783642202568. [Google Scholar]
- French, S.; Levy-Booth, D.; Samarajeewa, A.; Shannon, K.E.; Smith, J.; Trevors, J.T. Elevated temperatures and carbon dioxide concentrations: Effects on selected microbial activities in temperate agricultural soils. World J. Microbiol. Biotechnol. 2009, 25, 1887–1900. [Google Scholar] [CrossRef]
- Handmer, J.Y.; Honda, Z.W.; Kundzewicz, N.; Arnell, G.; Benito, J.; Hatfield, I.F.; Mohamed, P.; Peduzzi, S.; Wu, B. Changes in Impacts of Climate Extremes: Human Systems and Ecosystems. In Managing the Risks of Extreme Events and Disasters to Advance Climate Change Adaptation; Field, C.B., Barros, T.F., Stocker, D., Qin, D.J., Dokken, K.L., Ebi, M.D., Mastrandrea, K.J., Mach, G.-K., Plattner, S.K., Allen, M., et al., Eds.; Cambridge University Press: Cambridge, UK, 2012; pp. 231–290. [Google Scholar]
- Hatfield, J.L.; Boote, K.J.; Kimball, B.A.; Ziska, L.H.; Izaurralde, R.C.; Ort, D.; Thomson, A.M.; Wolfe, D. Climate impacts on agriculture: Implications for crop production. Agron. J. 2011, 103, 351–370. [Google Scholar] [CrossRef]
- Porter, J.R.; Xie, L.; Challinor, A.J.; Cochrane, K.; Howden, S.M.; Iqbal, M.M.; Lobell, D.B.; Travasso, M.I.; Aggarwal, P.; Hakala, K.; et al. Food security and food production systems. Manag. Risks Extrem. Events Disasters Adv. Clim. Chang. Adapt. A Spec. Rep. Work. Groups I II Intergov. Panel Clim. Chang. 2015, 485–534. [Google Scholar] [CrossRef]
- Horel, Á.; Tóth, E.; Gelybó, G.; Kása, I.; Bakacsi, Z.; Farkas, C. Effects of Land Use and Management on Soil Hydraulic Properties. Open Geosci. 2015, 7, 1442–1454. [Google Scholar] [CrossRef]
- Kuzyakov, Y.; Zamanian, K. Reviews and syntheses: Agropedogenesis-Humankind as the sixth soil-forming factor and attractors of agricultural soil degradation. Biogeosciences 2019, 16, 4783–4803. [Google Scholar] [CrossRef]
- Li, H.; Yao, Y.; Zhang, X.; Zhu, H.; Wei, X. Changes in soil physical and hydraulic properties following the conversion of forest to cropland in the black soil region of Northeast China. Catena 2021, 198, 104986. [Google Scholar] [CrossRef]
- Panagos, P.; Borrelli, P.; Meusburger, K.; Alewell, C.; Lugato, E.; Montanarella, L. Estimating the soil erosion cover-management factor at the European scale. Land Use Policy 2015, 48, 38–50. [Google Scholar] [CrossRef]
- Virto, I.; Imaz, M.J.; Fernández-Ugalde, O.; Gartzia-Bengoetxea, N.; Enrique, A.; Bescansa, P. Soil degradation and soil quality in Western Europe: Current situation and future perspectives. Sustainability 2015, 7, 313–365. [Google Scholar] [CrossRef]
- Chenu, C.; Angers, D.A.; Barré, P.; Derrien, D.; Arrouays, D.; Balesdent, J. Increasing organic stocks in agricultural soils: Knowledge gaps and potential innovations. Soil Tillage Res. 2019, 188, 41–52. [Google Scholar] [CrossRef]
- del Pozo, A.; Brunel-Saldias, N.; Engler, A.; Ortega-Farias, S.; Acevedo-Opazo, C.; Lobos, G.A.; Jara-Rojas, R.; Molina-Montenegro, M.A. Climate change impacts and adaptation strategies of agriculture in Mediterranean-climate regions (MCRs). Sustainability 2019, 11, 2769. [Google Scholar] [CrossRef]
- Costantini, E.A.C.; Antichi, D.; Almagro, M.; Hedlund, K.; Sarno, G.; Virto, I. Local adaptation strategies to increase or maintain soil organic carbon content under arable farming in Europe: Inspirational ideas for setting operational groups within the European innovation partnership. J. Rural Stud. 2020, 79, 102–115. [Google Scholar] [CrossRef]
- IPCC. Summary for Policymaker. In Climate Change and Land: An IPCC Special Report on Climate Change, Desertification, Land Degradation, Sustainable Land Management, Food Security, and Greenhouse gas Fluxes in Terrestrial Ecosystems; Shukla, P.R., Skea, J., Buendia, E.C., Masson-Delmotte, V., Pörtner, H.-O., Roberts, D.C., Zhai, P., Slade, R., Connors, S., van Diemen, R., et al., Eds.; In press; 2019; pp. 423–449. ISBN 9781784710644. [Google Scholar]
- European Commission. How the Future Cap Will Contribute to the eu Green Deal (2020); European Commission: Brussels, Belgium, 2020. [Google Scholar]
- European Commission. Staff Commissions Staff Working Document: Analysis of Links between Cap Reform and Green Deal SWD(2020) 93 Final; European Commission: Brussels, Belgium, 2020. [Google Scholar]
- Panagos, P.; Ballabio, C.; Poesen, J.; Lugato, E.; Scarpa, S.; Montanarella, L.; Borrelli, P. A soil erosion indicator for supporting agricultural, environmental and climate policies in the European union. Remote Sens. 2020, 12, 1365. [Google Scholar] [CrossRef]
- Alliance Environnement. Evaluation Support Study on the Impact of the CAP on Sustainable Management of the Soil. Final Report; European Commission: Brussels, Belgium, 2020; ISBN 9789276214113. [Google Scholar]
- Andrews, S.S.; Karlen, D.L.; Cambardella, C.A. The soil management assessment framework: A quantitative soil quality evaluation method. Soil Sci. Soc. Am. J. 2004, 68, 1945–1962. [Google Scholar] [CrossRef]
- Doran, J.; Parkin, T. Quantitative indicators of soil Quality: A minimum data set. In Methods forassessing Soil Quality; Wiley Online Library: Hoboken, NJ, USA, 1996; pp. 25–37. [Google Scholar]
- Drobnik, T.; Greiner, L.; Keller, A.; Grêt-Regamey, A. Soil quality indicators—From soil functions to ecosystem services. Ecol. Indic. 2018, 94, 151–169. [Google Scholar] [CrossRef]
- Rinot, O.; Levy, G.J.; Steinberger, Y.; Svoray, T.; Eshel, G. Soil health assessment: A critical review of current methodologies and a proposed new approach. Sci. Total Environ. 2019, 648, 1484–1491. [Google Scholar] [CrossRef] [PubMed]
- Paustian, K.; Collier, S.; Baldock, J.; Burgess, R.; Creque, J.; DeLonge, M.; Dungait, J.; Ellert, B.; Frank, S.; Goddard, T.; et al. Quantifying carbon for agricultural soil management: From the current status toward a global soil information system. Carbon Manag. 2019, 10, 567–587. [Google Scholar] [CrossRef]
- Dignac, M.F.; Derrien, D.; Barré, P.; Barot, S.; Cécillon, L.; Chenu, C.; Chevallier, T.; Freschet, G.T.; Garnier, P.; Guenet, B.; et al. Increasing soil carbon storage: Mechanisms, effects of agricultural practices and proxies. A review. Agron. Sustain. Dev. 2017, 37. [Google Scholar] [CrossRef]
- Soussana, J.F.; Lutfalla, S.; Ehrhardt, F.; Rosenstock, T.; Lamanna, C.; Havlík, P.; Richards, M.; Wollenberg, E.; Chotte, J.L.; Torquebiau, E.; et al. Matching policy and science: Rationale for the ‘4 per 1000—Soils for food security and climate’ initiative. Soil Tillage Res. 2019, 188, 3–15. [Google Scholar] [CrossRef]
- Rumpel, C.; Amiraslani, F.; Chenu, C.; Garcia Cardenas, M.; Kaonga, M.; Koutika, L.-S.; Ladha, J.; Madari, B.; Shirato, Y.; Smith, P.; et al. The 4p1000 initiative: Opportunities, limitations and challenges for implementing soil organic carbon sequestration as a sustainable development strategy. Ambio 2020, 49, 350–360. [Google Scholar] [CrossRef] [PubMed]
- Bünemann, E.K.; Bongiorno, G.; Bai, Z.; Creamer, R.E.; De Deyn, G.; de Goede, R.; Fleskens, L.; Geissen, V.; Kuyper, T.W.; Mäder, P.; et al. Soil quality—A critical review. Soil Biol. Biochem. 2018, 120, 105–125. [Google Scholar] [CrossRef]
- Blanco-Canqui, H.; Hergert, G.W.; Nielsen, R.A. Cattle Manure Application Reduces Soil Compactibility and Increases Water Retention after 71 Years. Soil Sci. Soc. Am. J. 2015, 79, 212–223. [Google Scholar] [CrossRef]
- Williams, A.; Hedlund, K. Indicators of soil ecosystem services in conventional and organic arable fields along a gradient of landscape heterogeneity in southern Sweden. Appl. Soil Ecol. 2013, 65, 1–7. [Google Scholar] [CrossRef]
- Yu, G.H.; Chen, C.M.; He, X.H.; Zhang, X.Z.; Li, L.N. Unexpected bulk density and microstructures response to long-term pig manure application in a Ferralic Cambisol Soil: Implications for rebuilding a healthy soil. Soil Tillage Res. 2020, 203. [Google Scholar] [CrossRef]
- Bescansa, P.; Imaz, M.J.; Virto, I.; Enrique, A.; Hoogmoed, W.B. Soil water retention as affected by tillage and residue management in semiarid Spain. Soil Tillage Res. 2006, 87, 19–27. [Google Scholar] [CrossRef]
- Mondal, S.; Chakraborty, D.; Das, T.K.; Shrivastava, M.; Mishra, A.K.; Bandyopadhyay, K.K.; Aggarwal, P.; Chaudhari, S.K. Conservation agriculture had a strong impact on the sub-surface soil strength and root growth in wheat after a 7-year transition period. Soil Tillage Res. 2019, 195. [Google Scholar] [CrossRef]
- Skaalsveen, K.; Ingram, J.; Clarke, L.E. The effect of no-till farming on the soil functions of water purification and retention in north-western Europe: A literature review. Soil Tillage Res. 2019, 189, 98–109. [Google Scholar] [CrossRef]
- Li, Y.; Li, Z.; Cui, S.; Jagadamma, S.; Zhang, Q. Residue retention and minimum tillage improve physical environment of the soil in croplands: A global meta-analysis. Soil Tillage Res. 2019, 194. [Google Scholar] [CrossRef]
- Alhameid, A.; Singh, J.; Sekaran, U.; Ozlu, E.; Kumar, S.; Singh, S. Crop rotational diversity impacts soil physical and hydrological properties under long-term no- and conventional-till soils. Soil Res. 2019, 58, 84–94. [Google Scholar] [CrossRef]
- Kazula, M.J.; Lauer, J.G.; Arriaga, F.J. Crop rotation effect on selected physical and chemical properties of Wisconsin soils. J. Soil Water Conserv. 2017, 72, 553–563. [Google Scholar] [CrossRef]
- Zuber, S.M.; Behnke, G.D.; Nafziger, E.D.; Villamil, M.B. Crop rotation and tillage effects on soil physical and chemical properties in Illinois. Agron. J. 2015, 107, 971–978. [Google Scholar] [CrossRef]
- Teague, W.R.; Dowhower, S.L.; Baker, S.A.; Haile, N.; DeLaune, P.B.; Conover, D.M. Grazing management impacts on vegetation, soil biota and soil chemical, physical and hydrological properties in tall grass prairie. Agric. Ecosyst. Environ. 2011, 141, 310–322. [Google Scholar] [CrossRef]
- Al-Rumikhani, Y.A. Effect of crop sequence, soil sample location and depth on soil water holding capacity under center pivot irrigation. Agric. Water Manag. 2002, 55, 93–104. [Google Scholar] [CrossRef]
- Reynolds, W.D.; Bowman, B.T.; Drury, C.F.; Tan, C.S.; Lu, X. Indicators of good soil physical quality: Density and storage parameters. Geoderma 2002, 110, 131–146. [Google Scholar] [CrossRef]
- Antón, R.; Virto, I.; Gonzalez, J.; Hernandez, I.; Enrique, A.; Bescansa, P.; Arias, N.; Orcaray, L.; Campillo, R. Extension of irrigation in semi-arid regions: What challenges for soil security? Perspectives from a regional-scale project in Navarre (Spain). In Global Soil Security. Towards More Science-Society Interfaces; de Forges, A.R., Carré, F., McBratney, A.B., Johan Bouma, D.A., Eds.; Taylor & Francis Group: London, UK, 2019; pp. 79–87. ISBN 978-1-315-10707-3. [Google Scholar]
- Gobierno de Navarra. Hoja de Ruta Cambio Climático de Navarra (HCCN) 2017-2030-2050; Gobierno de Navarra: Pamplona, Spain, 2017. [Google Scholar]
- European Commission. An EU Strategy on Adaptation to Climate Change. COM(2013) 216 Final; European Commission: Brussels, Belgium, 2013. [Google Scholar]
- Paustian, K.; Lehmann, J.; Ogle, S.; Reay, D.; Robertson, G.P.; Smith, P. Climate-smart soils. Nature 2016, 532, 49–57. [Google Scholar] [CrossRef]
- FAO. Cllimate-Smart Agriculture. Sourcebook; FAO: Rome, Italy, 2013; ISBN 9789251077207. [Google Scholar]
- Pejenaute Goñi, J.M. Navarra. Geografía; Nafarroako, G., de Navarra, G., Eds.; Horizonte: Pamplona, Spain, 2017. [Google Scholar]
- Gobierno de Navarra. Meteorología y climatología de Navarra (Metherology and Climatology of Navarre). Available online: http://meteo.navarra.es/estaciones/mapadeestaciones.cfm (accessed on 11 November 2020).
- Peralta, J.; Biurrum, I.; García-Mijangos, I.; Remón, J.L.; Olano, J.M.; López, M.L.; Loidi, J.; Campos, J.A. Manual de Hábitats de Navarra; Gobierno de Navarra: Pamplona, Spain, 2013; ISBN 9788423533503. [Google Scholar]
- Rivas-Martinez, S. Notions on dynamic-catenal phytosociology as a basis of landscape science. Plant Biosyst. 2005, 139, 135–144. [Google Scholar] [CrossRef]
- Papadakis, J. Agricultural Geography of the World [Climate, Growth Rate and Rhythm, Vegetation, Soils, Crops, Agricultural Regions]; CAB Direct: Buenos Aires, Argentina, 1952. [Google Scholar]
- Soil Survey Staff. Keys to Soil Taxonomy; USDA: Madison, WI, USA, 2014; Volume 12, ISBN 016085427X. [Google Scholar]
- Tugel, A.J.; Wills, S.A.; Herrick, J.E. Soil Change Guide: Procedures for Soil Survey and Resource Inventory, Version 1.1.; USDA, Natural Resources Conservation Service, National Soil Survey Center: Lincoln, NE, USA, 2008.
- Wiesmeier, M.; Hübner, R.; Barthold, F.; Spörlein, P.; Geuß, U.; Hangen, E.; Reischl, A.; Schilling, B.; von Lützow, M.; Kögel-Knabner, I. Amount, distribution and driving factors of soil organic carbon and nitrogen in cropland and grassland soils of southeast Germany (Bavaria). Agric. Ecosyst. Environ. 2013, 176, 39–52. [Google Scholar] [CrossRef]
- IDENA (Infraestructura de Datos Espaciales de Navarra). Available online: https://idena.navarra.es/Portal/Descargar (accessed on 13 May 2020).
- Stolbovoy, V.; Montanarella, L.; Jones, A.; Gallego, J. Soil Sampling Protocol to Certify the Changes of Organic carbon Stock in Mineral soil of the European Union. Version 2; Office for Official Publications of the European Communities: Luxembourg, 2007. [Google Scholar]
- Franzluebbers, A.J.; Hons, F.M.; Zuberer, D.A. Tillage-induced seasonal changes in soil physical properties affecting soil CO2 evolution under intensive cropping. Soil Tillage Res. 1995, 34, 41–60. [Google Scholar] [CrossRef]
- Logsdon, S.D.; Karlen, D.L. Bulk density as a soil quality indicator during conversion to no-tillage. Soil Tillage Res. 2004, 78, 143–149. [Google Scholar] [CrossRef]
- Richards, L.; Weaver, L. Moisture retention by some irrigated soils as related to soil moisture tension. J. Agric. Res. 1944, 69, 215–234. [Google Scholar]
- Dirksen, C. Soil Physics Measurements; Catena Verlag: Reiskirchen, Germany, 1999. [Google Scholar]
- Targulian, V.O.; Krasilnikov, P.V. Soil system and pedogenic processes: Self-organization, time scales, and environmental significance. Catena 2007, 71, 373–381. [Google Scholar] [CrossRef]
- Hedges, L.V.; Gurevitch, J.; Curtis, P.S. The meta-analysis of response-ratios in experimental ecology. Ecology 1999, 80, 1150–1156. [Google Scholar] [CrossRef]
- Viechtbauer, W. Conducting meta-analyses in R with the metafor. J. Stat. Softw. 2010, 36, 1–48. [Google Scholar] [CrossRef]
- Batey, T. Soil compaction and soil management—A review. Soil Use Manag. 2009, 25, 335–345. [Google Scholar] [CrossRef]
- Girona-García, A.; Badía-Villas, D.; Martí-Dalmau, C.; Ortiz-Perpiñá, O.; Mora, J.L.; Armas-Herrera, C.M. Effects of prescribed fire for pasture management on soil organic matter and biological properties: A 1-year study case in the Central Pyrenees. Sci. Total Environ. 2018, 618, 1079–1087. [Google Scholar] [CrossRef]
- Ammann, C.; Spirig, C.; Leifeld, J.; Neftel, A. Assessment of the nitrogen and carbon budget of two managed temperate grassland fields. Agric. Ecosyst. Environ. 2009, 133, 150–162. [Google Scholar] [CrossRef]
- Lasanta, T.; Sánchez-Navarrete, P.; Medrano-Moreno, L.M.; Khorchani, M.; Nadal-Romero, E. Soil quality and soil organic carbon storage in abandoned agricultural lands: Effects of revegetation processes in a Mediterranean mid-mountain area. Land Degrad. Dev. 2020, 1–16. [Google Scholar] [CrossRef]
- Peco, B.; Navarro, E.; Carmona, C.P.; Medina, N.G.; Marques, M.J. Effects of grazing abandonment on soil multifunctionality: The role of plant functional traits. Agric. Ecosyst. Environ. 2017, 249, 215–225. [Google Scholar] [CrossRef]
- Rodríguez Martín, J.A.; Álvaro-Fuentes, J.; Gonzalo, J.; Gil, C.; Ramos-Miras, J.J.; Grau Corbí, J.M.; Boluda, R. Assessment of the soil organic carbon stock in Spain. Geoderma 2016, 264, 117–125. [Google Scholar] [CrossRef]
- Tang, S.; Guo, J.; Li, S.; Li, J.; Xie, S.; Zhai, X.; Wang, C.; Zhang, Y.; Wang, K. Synthesis of soil carbon losses in response to conversion of grassland to agriculture land. Soil Tillage Res. 2019, 185, 29–35. [Google Scholar] [CrossRef]
- Johannes, A.; Matter, A.; Schulin, R.; Weisskopf, P.; Baveye, P.C.; Boivin, P. Optimal organic carbon values for soil structure quality of arable soils. Does clay content matter? Geoderma 2017, 302, 14–21. [Google Scholar] [CrossRef]
- Schäffer, B.; Schulin, R.; Boivin, P. Changes in shrinkage of restored soil caused by compaction beneath heavy agricultural machinery. Eur. J. Soil Sci. 2008, 59, 771–783. [Google Scholar] [CrossRef]
- Imaz, M.J.; Virto, I.; Bescansa, P.; Enrique, A.; Fernandez-Ugalde, O.; Karlen, D.L. Soil quality indicator response to tillage and residue management on semi-arid Mediterranean cropland. Soil Tillage Res. 2010, 107, 17–25. [Google Scholar] [CrossRef]
- Fernández-Ugalde, O.; Virto, I.; Bescansa, P.; Imaz, M.J.; Enrique, A.; Karlen, D.L. No-tillage improvement of soil physical quality in calcareous, degradation-prone, semiarid soils. Soil Tillage Res. 2009, 106, 29–35. [Google Scholar] [CrossRef]
- Powlson, D.S.; Bhogal, A.; Chambers, B.J.; Coleman, K.; Macdonald, A.J.; Goulding, K.W.T.; Whitmore, A.P. The potential to increase soil carbon stocks through reduced tillage or organic material additions in England and Wales: A case study. Agric. Ecosyst. Environ. 2012, 146, 23–33. [Google Scholar] [CrossRef]
- Blanco-Canqui, H.; Ruis, S.J. No-tillage and soil physical environment. Geoderma 2018, 326, 164–200. [Google Scholar] [CrossRef]
- Nunes, M.R.; Karlen, D.L.; Moorman, T.B. Tillage intensity effects on soil structure indicators-A US meta-analysis. Sustainability 2020, 12, 2071. [Google Scholar] [CrossRef]
- Virto, I.; Imaz, M.J.; Enrique, A.; Hoogmoed, W.; Bescansa, P. Burning crop residues under no-till in semi-arid land, Northern Spain—Effects on soil organic matter, aggregation, and earthworm populations. Aust. J. Soil Res. 2007, 45, 414–421. [Google Scholar] [CrossRef]
- González-Sánchez, E.J.; Ordóñez-Fernández, R.; Carbonell-Bojollo, R.; Veroz-González, O.; Gil-Ribes, J.A. Meta-analysis on atmospheric carbon capture in Spain through the use of conservation agriculture. Soil Tillage Res. 2012, 122, 52–60. [Google Scholar] [CrossRef]
- Mary, B.; Clivot, H.; Blaszczyk, N.; Labreuche, J.; Ferchaud, F.; Joint, B.; De Liège, U.; De Lille, U.; De Picardie, U.; Verne, J. Soil carbon storage and mineralization rates are affected by carbon inputs rather than physical disturbance: Evidence from a 47-year tillage experiment. Agric. Ecosyst. Environ. 2020, 299, 106972. [Google Scholar] [CrossRef]
- Powlson, D.S.; Stirling, C.M.; Jat, M.L.; Gerard, B.G.; Palm, C.A.; Sanchez, P.A.; Cassman, K.G. Limited potential of no-till agriculture for climate change mitigation. Nat. Clim. Chang. 2014, 4, 678–683. [Google Scholar] [CrossRef]
- Gómez, J.A.; Llewellyn, C.; Basch, G.; Sutton, P.B.; Dyson, J.S.; Jones, C.A. The effects of cover crops and conventional tillage on soil and runoff loss in vineyards and olive groves in several Mediterranean countries. Soil Use Manag. 2011, 27, 502–514. [Google Scholar] [CrossRef]
- Priori, S.; Pellegrini, S.; Vignozzi, N.; Costantini, E.A.C. Soil Physical-Hydrological Degradation in the Root-Zone of Tree Crops: Problems and Solutions. Agronomy 2020, 11, 68. [Google Scholar] [CrossRef]
- Schmidt, E.S.; Villamil, M.B.; Amiotti, N.M. Soil quality under conservation practices on farm operations of the southern semiarid pampas region of Argentina. Soil Tillage Res. 2018, 176, 85–94. [Google Scholar] [CrossRef]
- Anderson, S.H.; Gantzer, C.J.; Brown, J.R. Soil physical properties after 100 years of continuous cultivation. J. Soil Water Conserv. 1990, 45, 117–121. [Google Scholar]
- Bottinelli, N.; Menasseri-Aubry, S.; Cluzeau, D.; Hallaire, V. Response of soil structure and hydraulic conductivity to reduced tillage and animal manure in a temperate loamy soil. Soil Use Manag. 2013, 29, 401–409. [Google Scholar] [CrossRef]
- Byrnes, R.C.; Eastburn, D.J.; Tate, K.W.; Roche, L.M. A Global Meta-Analysis of Grazing Impacts on Soil Health Indicators. J. Environ. Qual. 2018, 47, 758–765. [Google Scholar] [CrossRef] [PubMed]
- Evans, C.R.W.; Krzic, M.; Broersma, K.; Thompson, D.J. Long-term grazing effects on grassland soil properties in southern British Columbia. Can. J. Soil Sci. 2012, 92, 685–693. [Google Scholar] [CrossRef]
- Lal, R. Soil organic matter and water retention. Agron. J. 2020, 112, 3265–3277. [Google Scholar] [CrossRef]
- Minasny, B.; McBratney, A.B. Limited effect of organic matter on soil available water capacity. Eur. J. Soil Sci. 2018, 69, 39–47. [Google Scholar] [CrossRef]
- Wall, A.; Heiskanen, J. Water-retention characteristics and related physical properties of soil on afforested agricultural land in Finland. For. Ecol. Manag. 2003, 186, 21–32. [Google Scholar] [CrossRef]
- Yost, J.L.; Hartemink, A.E. Effects of carbon on moisture storage in soils of the Wisconsin Central Sands, USA. Eur. J. Soil Sci. 2019, 70, 565–577. [Google Scholar] [CrossRef]
- Li, L.; Huang, G.; Zhang, R.; Bill, B.; Guangdi, L.; Kwong, Y.C. Benefits of Conservation Agriculture on Soil and Water Conservation and Its Progress in China. Agric. Sci. China 2011, 10, 850–859. [Google Scholar] [CrossRef]
- Ali, A.B.; Elshaikh, N.A.; Hong, L.; Adam, A.B.; Haofang, Y. Conservation tillage as an approach to enhance crops water use efficiency. Acta Agric. Scand. Sect. B Soil Plant Sci. 2017, 67, 252–262. [Google Scholar] [CrossRef]
- Fonteyne, S.; Gamiño, M.M.; Tejeda, A.S.; Verhulst, N. Conservation Agriculture Improves Long-term Yield and Soil Quality in Irrigated Maize-oats Rotation. Agronomy 2019, 9, 845. [Google Scholar] [CrossRef]
- Virto, I.; Imaz, M.J.; Fernandez-Ugalde, O.; Urrutia, I.; Enrique, A.; Bescansa, P. Soil quality evaluation following the implementation of permanent cover crops in semi-arid vineyards. Organic matter, physical and biological soil properties. Span. J. Agric. Res. 2012, 10, 1121–1132. [Google Scholar] [CrossRef]
- Indoria, A.K.; Srinivasa Rao, C.; Sharma, K.L.; Sammi Reddy, K. Conservation agriculture—A panacea to improve soil physical health. Curr. Sci. 2017, 112, 52–61. [Google Scholar] [CrossRef]
- Mtyobile, M.; Muzangwa, L.; Mnkeni, P.N.S. Tillage and crop rotation effects on soil carbon and selected soil physical properties in a Haplic Cambisol in Eastern Cape, South Africa. Soil Water Res. 2020, 15, 47–54. [Google Scholar] [CrossRef]
- Hao, Y.; He, Z. Effects of grazing patterns on grassland biomass and soil environments in China: A meta-analysis. PLoS ONE 2019, 14, 1–15. [Google Scholar] [CrossRef] [PubMed]
- Milchunas, D.; Lauenroth, W. Quantitative effects of grazing on vegetation and soils over a global range of environments: Ecological Archives M063-001. Ecol. Monogr. 1993, 63, 327–366. [Google Scholar] [CrossRef]
- Pulido, M.; Schnabel, S.; Lavado Contador, J.F.; Lozano-Parra, J.; González, F. The Impact of Heavy Grazing on Soil Quality and Pasture Production in Rangelands of SW Spain. Land Degrad. Dev. 2018, 29, 219–230. [Google Scholar] [CrossRef]
- Dong, W.; Yu, L.; Gao-Lin, W.; Lu-Ming, D.; Zheng, Y.; Hong-Min, H. Effect of rest-grazing management on soil water and carbon storage in an arid grassland (China). J. Hydrol. 2015, 527, 754–760. [Google Scholar] [CrossRef]
- Mcsherry, M.E.; Ritchie, M.E. Effects of grazing on grassland soil carbon: A global review. Glob. Chang. Biol. 2013, 19, 1347–1357. [Google Scholar] [CrossRef]
- Chan, K.Y.; Heenan, O.P. The influence of crop rotation on soil structure and soil physical properties under conventional tillage. Soil Tillage Res. 1996, 37, 113–125. [Google Scholar] [CrossRef]
- Trost, B.; Prochnow, A.; Drastig, K.; Meyer-Aurich, A.; Ellmer, F.; Baumecker, M. Irrigation, soil organic carbon and N2O emissions. A review. Agron. Sustain. Dev. 2013, 33, 733–749. [Google Scholar] [CrossRef]
- Pittelkow, C.M.; Liang, X.; Linquist, B.A.; Jan van Groenigen, K.; Lee, J.; Lundy, M.E.; van Gestel, N.; Six, J.; Venterea, R.T.; van Kessel, C. Productivity limits and potentials of the principles of conservation agriculture. Nature 2014, 517. [Google Scholar] [CrossRef] [PubMed]
- European Commission. The European Green Deal. In Summary for Policymakers; Cambridge University Press: Cambridge, UK, 2019; Volume 53, p. 24. [Google Scholar] [CrossRef]















| Climate | SOC Stock | Management Strategies and Plots | ||||
|---|---|---|---|---|---|---|
| Zone | Papadakis [57] | 0–20 cm (Mg ha−1 ) | Strategies | Groups | Plots | Soil groups [58] |
| 1. Ribera | Mild Steppe (AvM–Ost) and Dry Temperate Mediterranean (AvMMe) | 38.2 ± 9.7 | CA | 5 | 12 | Fluventic Inceptisols and Entisols, Orthents, Xerepts, Xerolls, Ustolls, Calcids, Gypsids |
| ExO | 8 | 26 | ||||
| ROT | 3 | 13 | ||||
| IRR | 4 | 16 | ||||
| GSS | 2 | 6 | ||||
| 3. South Midlands | Dry Temperate Mediterranean (AvMMe) | 34.7 ± 7.4 | CA | 3 | 9 | Fluventic inceptisols and entisols, Other Xerepts, Xerepts with depth limitations, Ustolls |
| ExO | 4 | 13 | ||||
| ROT | 4 | 12 | ||||
| 4. North Midlands | Moist Temperate Mediterranean (AvMMe) | 49.0 ± 20.1 | ExO | 1 | 4 | Xerepts with depth limitations, Other Xerepts |
| IRR | 2 | 4 | ||||
| 5. East Midlands | Moist Temperate Mediterranean (AvMMe) | 38.2 ± 7.8 | ExO | 1 | 4 | Orthents, Xerepts with depth limitations |
| GSS | 1 | 5 | ||||
| 7. Pamplona Basin | Moist Temperate Mediterranean (AvMMe) | 38.9 ± 6.0 | CA | 2 | 6 | Xerepts, Orthents, Fluventic inceptisols and entisols |
| ExO | 2 | 7 | ||||
| ROT | 2 | 6 | ||||
| 10. Valleys N of Pamplona | Cool Maritime Mediterranean (AvTrME) | 92.4 ± 9.8 | GSS | 3 | 8 | Orthents, Udepts |
| 11. East Pyrenees | Cool Maritime (AvTrHU) | 55.0 ± 2.1 | GSS | 1 | 5 | Orthent, Fluventic Udepts |
| 12. Northwest area | Cool Maritime (AvTrHU) and Warm Maritime (AvMHU–Hu) | 142 ± 17.1 | GSS | 1 | 3 | Alfisols, Ultisols |
| Strategy | SOC Overall RR Effect (%) | 95% Confidence Interval |
|---|---|---|
| ROT | 0.9 | 0.84–0.96 |
| GSS | 1.27 | 1.13–1.42 |
| IRR | 1.25 | 1.17–1.34 |
| ExO | 1.31 | 1.25–1.37 |
| CA | 1.24 | 1.16–1.31 |
Publisher’s Note: MDPI stays neutral with regard to jurisdictional claims in published maps and institutional affiliations. |
© 2021 by the authors. Licensee MDPI, Basel, Switzerland. This article is an open access article distributed under the terms and conditions of the Creative Commons Attribution (CC BY) license (http://creativecommons.org/licenses/by/4.0/).
Share and Cite
Antón, R.; Ruiz-Sagaseta, A.; Orcaray, L.; Arricibita, F.J.; Enrique, A.; Soto, I.d.; Virto, I. Soil Water Retention and Soil Compaction Assessment in a Regional-Scale Strategy to Improve Climate Change Adaptation of Agriculture in Navarre, Spain. Agronomy 2021, 11, 607. https://doi.org/10.3390/agronomy11030607
Antón R, Ruiz-Sagaseta A, Orcaray L, Arricibita FJ, Enrique A, Soto Id, Virto I. Soil Water Retention and Soil Compaction Assessment in a Regional-Scale Strategy to Improve Climate Change Adaptation of Agriculture in Navarre, Spain. Agronomy. 2021; 11(3):607. https://doi.org/10.3390/agronomy11030607
Chicago/Turabian StyleAntón, Rodrigo, Alberto Ruiz-Sagaseta, Luis Orcaray, Francisco Javier Arricibita, Alberto Enrique, Isabel de Soto, and Iñigo Virto. 2021. "Soil Water Retention and Soil Compaction Assessment in a Regional-Scale Strategy to Improve Climate Change Adaptation of Agriculture in Navarre, Spain" Agronomy 11, no. 3: 607. https://doi.org/10.3390/agronomy11030607
APA StyleAntón, R., Ruiz-Sagaseta, A., Orcaray, L., Arricibita, F. J., Enrique, A., Soto, I. d., & Virto, I. (2021). Soil Water Retention and Soil Compaction Assessment in a Regional-Scale Strategy to Improve Climate Change Adaptation of Agriculture in Navarre, Spain. Agronomy, 11(3), 607. https://doi.org/10.3390/agronomy11030607

