Deficit Water Irrigation in an Almond Orchard Can Reduce Pest Damage
Abstract
:1. Introduction
2. Materials and Methods
2.1. Experimental Design
2.2. Sampling Procedure
2.3. Data Analysis
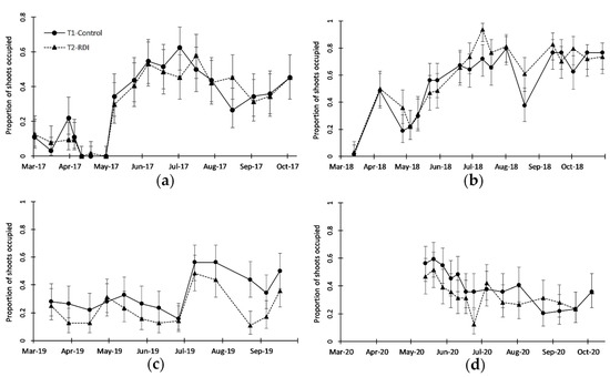
3. Results and Discussion
4. Conclusions
Author Contributions
Funding
Institutional Review Board Statement
Informed Consent Statement
Data Availability Statement
Acknowledgments
Conflicts of Interest
Appendix A
| Date | Product Used | Used against |
|---|---|---|
| 31 January 2017 | Copper oxichloride 52% | Diseases |
| Paraffinic oil 83% | Eggs and immature arthropods | |
| 16–17 February 2017 | Thiophanate-methyl 70% | Diseases |
| 1–2 March 2017 | Boscalid 26.7% + Pyraclostrobin 6.7% | Diseases |
| 18–21 March 2017 | Boscalid 26.7% + Pyraclostrobin 6.7% | Diseases |
| 4–6 April 2017 | Metconazol 9% | Diseases |
| Mancozeb 75% | ||
| Deltamethrin 2.5% | Aphids | |
| 26 April 2017 | Azoxystrobin 25% | Diseases |
| 16–17 May 2017 | Fluopyram 20% + Tebuconazole 20% | Diseases |
| Tau-fluvalinate 24% | Aphids, leafhoppers | |
| 9–11 June 2017 | Copper oxichloride 52% | Diseases |
| Tau-fluvalinate 24% | Two-spotted spider mite | |
| Hexythiazox 10% | ||
| Abamectin 1.8 % | ||
| 19 August 2017 | Thiram 50% | Diseases |
| 9 September 2017 | Imidacloprid 20% | Two-spotted spider mite, Monosteira, Capnodis (beetles) |
| Dimethoate 40% | ||
| 7 March 2018 | Fenbuconazole 2.5 % | Diseases |
| 20 March 2018 | Tebuconazole 50 % + Trifloxystrobin 25 % | Diseases |
| 5 April 2018 | Fluxapyroxad 7.5 % + Pyraclostrobin 15 % | Diseases |
| Deltamethrin 2.5% | Aphids | |
| 12 May 2018 | Fluopyram 20% + Tebuconazole 20% | Diseases |
| Imidacloprid 20% | Aphids, leafhoppers, Monosteira, Capnodis (beetles) | |
| 9 July 2018 | Deltamethrin 2.5% | Lepidoptera, leafhoppers |
| 21 July 2018 | Imidacloprid 20% | Aphids, leafhoppers, Monosteira, Capnodis (beetles) |
| 4 September 2018 | Thiacloprid 48 % | Lepidoptera |
| Deltamethrin 2.5% | Lepidoptera, leafhoppers | |
| Fenpyroximate 5.12 % | Two-spotted spider mite | |
| Mancozeb 75% | Diseases | |
| 5 October 2018 | Acetamiprid 20 % | Leafhoppers |
| 14 February 2019 | Thiophanate-methyl 70% | Diseases |
| Copper oxichloride 52% | ||
| 15–17 March 2019 | Boscalid 26.7% + Pyraclostrobin 6.7% | Diseases |
| 4 April 2019 | Mancozeb 75% | Diseases |
| Trifloxystrobin 50% | ||
| Deltamethrin 2.5% | Aphids | |
| 12–13 April 2019 | Folpet 40 % | Diseases |
| Thiophanate-methyl 70% | ||
| 27 April 2019 | Boscalid 26.7% + Pyraclostrobin 6.7%) | Diseases |
| 20–21 June 2019 | Copper oxichloride 52% | Diseases |
| Tau-fluvalinate 24% | Two-spotted spider mite, Monosteira, leafhoppers | |
| 3–5 March 2020 | Metconazole 9 % | Diseases |
| Boscalid 26.7% + Pyraclostrobin 6.7% | ||
| 17–18 March 2020 | Tebuconazole 25 % | Diseases |
| Trifloxystrobin 50% | ||
| Deltamethrin 2.5% | Aphids | |
| Acetamiprid 20 % | ||
| 7 April 2020 | Thiophanate-methyl 70% | Diseases |
| 22 April 2020 | Difenoconazole 4% + Isopyrazam 10% | Diseases |
| 10 May 2020 | Difenoconazole 25 % | Diseases |
| Azoxystrobin 20 % + Cyproconazole 8 % | ||
| Copper oxichloride 52% | ||
| Mancozeb 75% | ||
| 20 May 2020 | Dodine 40 % | Diseases |
| Mancozeb 75% | ||
| Deltamethrin 2.5% | Aphids, leafhoppers | |
| 1 June 2020 | Captan 47.5 % | Diseases |
| Deltamethrin 2.5% | Leafhoppers | |
| 17 June 2020 | Mancozeb 75% | Diseases |
| Tau-fluvalinate 24% | Mites, leafhoppers, lepidoptera | |
| Fenpyroximate 5.12 % | ||
| 26 August 2020 | Copper oxichloride 52% | Diseases |
| Deltamethrin 2.5% | Leafhoppers, lepidoptera | |
| Acetamiprid 20 % |
Appendix B
| Treatment | Phase | Irrigation 1 | Threshold I |
|---|---|---|---|
| 1. Control | 100% Etc | ||
| 2. RDI | I (full bloom to kernel filling) | 600 m3·ha−1 | ψ = −1.2 Mpa; signal MDS = 1 |
| II (kernel filling to harvest) | 100 m3·ha−1 | ψ = −2.0 Mpa; signal MDS = 2.75 | |
| III (post-harvest hydration) | 300 m3·ha−1 | ψ = −1.2 Mpa; signal MDS = 1 |
| Treatment | Year | Total | Phase I (until Fruit Filling) | Phase II (until Harvest) | Phase III (Post-Harvest Hydration) |
|---|---|---|---|---|---|
| 1. Control | 2017 | 128.6 ± 6.3 | 25.4 ± 1.6 | 54.2 ± 3.5 | 53.3 ± 3.9 |
| 2018 | 99.4 ± 7.4 | 6.1 ±0.8 | 53.4 ± 5.2 | 39.9 ± 2.7 | |
| 2019 | 67.2 ± 6.9 | 7.5 ±1.4 | 30.6 ± 2.8 | 29.1 ± 3.0 | |
| 2020 | 84.1 ± 14.3 | 8.8 ± 2.6 | 40.0 ± 5.9 | 35.2 ± 6.6 | |
| 2. RDI | 2017 | 207.8 ± 12.1 | 31.7 ± 3.0 | 94.9 ± 4.9 | 86.3 ± 5.7 |
| 2018 | 148.7 ± 21.9 | 7.9 ± 1.3 | 83.8 ± 10.3 | 57.0 ± 10.7 | |
| 2019 | 206.1 ± 12.4 | 14.8 ± 1.7 | 110.7 ± 10.4 | 80.6 ± 3.1 | |
| 2020 | 174.5 ± 14.5 | 18.6 ± 2.7 | 90.8 ± 7.1 | 65.1 ± 5.9 |
Appendix C
| 2017 | 2018 | 2019 | 2020 | 2017–2019 | |||||||
|---|---|---|---|---|---|---|---|---|---|---|---|
| Tr | Tr × SD | Tr | Tr × SD | Tr | Tr × SD | Tr | Tr × SD | Tr | Year | Tr × Year | |
| Hyalopterus amygdali | |||||||||||
| Population | 0.219 | 2.224 (3.4, 81.8) | 2.038 | 2.630 (4.0, 94.8) | 1.869 | 0.658 (2.9,70.5) | - 2 | - | 0.187 | 10.20 | 1.713 |
| Damage 1 | Z = −0.061 | - | Z = −1.016 | - | Z = −2.690 | - | - 2 | - | Z = −1.870 | ||
| Tetranychus urticae | |||||||||||
| Population | 2.045 | 2.441 (6, 144) | 0.842 | 1.379 (2.4, 58.2) | 0.049 | 1.333 (2.7, 65.7) | 51.4 | 21.03 (2.7, 65.0) | 1.953 | 6.520 | 2.528 |
| Damage | 2.690 | 2.235 (4.1, 98,5) | 7.370 | 10.710 (3.5, 83.9) | 27.77 | 9.152 (3.5, 83.5) | 170.3 | 41.23 (3.3, 78.7) | 7.147 | 3.249 | 4.642 |
| Asymmetrasca decedens | 7.12 | 0.469 (5.1, 122.2) | 28.58 | 4.105 (1.5, 37.2) | 8.084 | 2.443 (3.4, 81.1) | 26.7 | 4.60 (4.6, 109.4) | 9.880 | 1.133 | 5.606 |
| Phyllonorycter cerasicolella | - 3 | - | 0.138 | 1.298 (5, 120) | 0.056 | 1.988 (9, 216) | 1.07 | 0.738 (6.2, 148) | 0.316 | 0.779 | 0.553 |
| Monosteira unicostata | 0.449 | 0.406 (3.4, 80.7) | - 3 | - | -3 | - | - 3 | - | |||
| Hemiberlesia rapax | - 3 | - | - 3 | - | 2.793 | 0.494 (4.5, 107.1) | - 3 | - | |||
| Chrysopidae sp. | 0.476 | 1.805 (6.7, 161.2) | 0.007 | 1.776 (13, 299) | 0.272 | 0.992 (4.7, 113.5) | 8.01 | 2.25 (7.3, 175.6) | 2.996 | 13.593 | 0.649 |
| Euseius stipulatus | 0.079 | 2.137 (2.5, 60.4) | 1.279 | 2.026 (3.9, 92.6) | 3.548 | 1.053 (3.7, 89.2) | 1.86 | 1.87 (5.5, 132.4) | 1.420 | 39.793 | 1.533 |
| Other arthropods | 2.643 | 1.366 (8, 192) | 0.683 | 0.618 (5.5, 131.2) | 0.725 | 1.226 (4.9, 116.7) | 3.59 | 1.21 (2.8, 66.7) | 1.417 | 8.385 | 1.435 |
| Stigmina carpophila | 0.069 | 1.434 (7.8, 186.7) | 2.996 | 1.886 (9.4, 226.5) | 7.076 | 1.165 (12, 288) | 1.50 | 1.52 (13, 312) | 0.868 | 15.470 | 5.765 |
| Polystigma amygdalinum | - 3 | - | - 3 | - | 2.229 | 1.161 (7, 168) | 21.3 | 1.14 (7.5, 181.1) | 23.958 | 31.041 | 0.965 |
References
- EEA Climate Change, Impacts and Vulnerability in Europe 2016—European Environment Agency. Available online: https://www.eea.europa.eu/publications/climate-change-impacts-and-vulnerability-2016 (accessed on 5 October 2021).
- Goldhamer, D.A.; Viveros, M.; Salinas, M. Regulated deficit irrigation in almonds: Effects of variations in applied water and stress timing on yield and yield components. Irrig. Sci. 2006, 24, 101–114. [Google Scholar] [CrossRef]
- Egea, G.; Nortes, P.A.; Domingo, R.; Baille, A.; Pérez-Pastor, A.; González-Real, M.M. Almond agronomic response to long-term deficit irrigation applied since orchard establishment. Irrig. Sci. 2013, 31, 445–454. [Google Scholar] [CrossRef]
- Gutiérrez-Gordillo, S.; Durán-Zuazo, V.H.; García-Tejero, I.F. Response of three almond cultivars subjected to different irrigation regimes in Guadalquivir river basin. Agric. Water Manag. 2019, 222, 72–81. [Google Scholar] [CrossRef]
- Gutiérrez-Gordillo, S.; Lipan, L.; Zuazo, V.H.D.; Sendra, E.; Hernández, F.; Hernández-Zazueta, M.S.; Carbonell-Barrachina, Á.A.; García-Tejero, I.F. Deficit irrigation as a suitable strategy to enhance the nutritional composition of hydrosos almonds. Water 2020, 12, 3336. [Google Scholar] [CrossRef]
- MAPA Serie Histórica Almendro 2014–2018. Available online: https://www.mapa.gob.es/estadistica/pags/anuario/2019/CAPITULOSPDF/CAPITULO07/pdfc07_10.1.1.pdf (accessed on 21 October 2021).
- MAPA Superficie y Producción de Almendro 2014. Available online: https://www.mapa.gob.es/estadistica/pags/anuario/2015/TABLAS%20PDF/CAPITULO%2013/pdfc13_10.1.2.pdf (accessed on 21 October 2021).
- MAPA Avance de Superficie y Producción de Almendro 2020. Available online: https://www.mapa.gob.es/es/estadistica/temas/estadisticas-agrarias/agricultura/superficies-producciones-anuales-cultivos/ (accessed on 21 October 2021).
- Junta de Andalucia Caracterización del Sector de la Almendra en Andalucía. Available online: https://www.juntadeandalucia.es/export/drupaljda/estudios_informes/16/12/Caracterizaci%C3%B3n%20del%20sector%20de%20la%20almendra_0.pdf (accessed on 21 October 2021).
- Fernández, J.E.; Perez-Martin, A.; Torres-Ruiz, J.M.; Cuevas, M.V.; Rodriguez-Dominguez, C.M.; Elsayed-Farag, S.; Morales-Sillero, A.; García, J.M.; Hernandez-Santana, V.; Diaz-Espejo, A. A regulated deficit irrigation strategy for hedgerow olive orchards with high plant density. Plant Soil 2013, 372, 279–295. [Google Scholar] [CrossRef] [Green Version]
- Gómez del Campo, M.; García, J.M. Summer Deficit-Irrigation Strategies in a Hedgerow Olive cv. Arbequina Orchard: Effect on Oil Quality. J. Agric. Food Chem. 2013, 61, 8899–8905. [Google Scholar] [CrossRef] [PubMed]
- Moriana, A.; Pérez-López, D.; Prieto, M.H.; Ramírez-Santa-Pau, M.; Pérez-Rodriguez, J.M. Midday stem water potential as a useful tool for estimating irrigation requirements in olive trees. Agric. Water Manag. 2012, 112, 43–54. [Google Scholar] [CrossRef]
- Prgomet, I.; Pascual-Seva, N.; Morais, M.C.; Aires, A.; Barreales, D.; Castro Ribeiro, A.; Silva, A.P.; Barros, A.I.; Gonçalves, B. Physiological and biochemical performance of almond trees under deficit irrigation. Sci. Hortic. 2020, 261, 108990. [Google Scholar] [CrossRef] [Green Version]
- Martín-Palomo, M.J.; Corell, M.; Girón, I.; Andreu, L.; Trigo, E.; López-Moreno, Y.E.; Torrecillas, A.; Centeno, A.; Pérez-López, D.; Moriana, A. Limitations of using trunk diameter fluctuations for deficit irrigation scheduling in almond orchards. Agric. Water Manag. 2019, 218, 115–123. [Google Scholar] [CrossRef] [Green Version]
- García-Tejero, I.F.; Lipan, L.; Gutiérrez-Gordillo, S.; Durán Zuazo, V.H.; Jančo, I.; Hernández, F.; Cárceles Rodríguez, B.; Carbonell-Barrachina, Á.A. Deficit Irrigation and Its Implications for HydroSOStainable Almond Production. Agronomy 2020, 10, 1632. [Google Scholar] [CrossRef]
- Lipan, L.; Cano-Lamadrid, M.; Hernández, F.; Sendra, E.; Corell, M.; Vázquez-Araújo, L.; Moriana, A.; Carbonell-Barrachina, Á.A. Long-term correlation between water deficit and quality markers in hydrosostainable almonds. Agronomy 2020, 10, 1470. [Google Scholar] [CrossRef]
- Lipan, L.; Moriana, A.; López-Lluch, D.; Cano-Lamadrid, M.; Sendra, E.; Hernández, F.; Vázquez-Araújo, L.; Corell, M.; Carbonell-Barrachina, A. Nutrition Quality Parameters of Almonds as Affected by Deficit Irrigation Strategies. Molecules 2019, 24, 2646. [Google Scholar] [CrossRef] [Green Version]
- Lipan, L.; Collado-González, J.; Wojdyło, A.; Domínguez-Perles, R.; Gil-Izquierdo, Á.; Corell, M.; Moriana, A.; Cano-Lamadrid, M.; Carbonell-Barrachina, Á. How does water stress affect the low molecular weight phenolics of hydroSOStainable almonds? Food Chem. 2021, 339, 127756. [Google Scholar] [CrossRef] [PubMed]
- Torguet Pomar, L.; Batlle Caravaca, I.; Alegre, S.; Miarnau i Prim, X. Nuevas plagas y enfermedades emergentes, una amenaza para el cultivo del almendro en España. Rev. Frutic. 2016, 49, 152–165. [Google Scholar]
- Durán Alvaro, J.M.; Cabello Yuste, J.; Fernández Gonzalez, M.I.; Flores González, R.; Morera Oliveros, B.; Páez Sánchez, J.I.; Sánchez Megías, A.; Serrano Caballos, A.; Vega Guillén, J.M. Plagas y Enfermedades del Almendro; Junta de Andalucía, Consejeria de Agricultura, Pesca y Desarrollo Sostenible, Eds.; Secretaria General Técnica. Servicio de Publicaciones y Divulgación: Sevilla, España, 2017; Available online: https://www.juntadeandalucia.es/export/cdn-micrositios/documents/71753/17493429/Plagas+y+enfermedades+del+almendro/47775ba0-7ef6-44ab-8478-56a15c82007f (accessed on 5 October 2021).
- Sánchez-Ramos, I.; Pascual, S.; Fernández, C.E.; Marcotegui, A.; González-Núñez, M. Effect of temperature on the survival and development of the immature stages of Monosteira unicostata (Hemiptera: Tingidae). Eur. J. Entomol. 2015, 112, 664–675. [Google Scholar] [CrossRef] [Green Version]
- Ollero-Lara, A.; López-Moral, A.; Lovera Manzanares, M.; Raya Ortega, M.C.; Roca Castillo, L.F.; Arquero Quilez, O.; Trapero, A. Las enfermedades del almendro en Andalucía. Rev. Frutic. 2016, 166–183. [Google Scholar]
- Ollero-Lara, A.; Agustí-Brisach, C.; Lovera, M.; Roca, L.F.; Arquero, O.; Trapero, A. Field susceptibility of almond cultivars to the four most common aerial fungal diseases in southern Spain. Crop Prot. 2019, 121, 18–27. [Google Scholar] [CrossRef]
- Welter, S.C.; Barnes, M.M.; Ting, I.P.; Hayashi, J.T. Impact of Various Levels of Late-Season Spider Mite (Acari: Tetranychidae) Feeding Damage on Almond Growth and Yield. Environ. Entomol. 1984, 13, 52–55. [Google Scholar] [CrossRef]
- Shorey, H.H.; Gerber, R.G. Use of Puffers for Disruption of Sex Pheromone Communication Among Navel Orangeworm Moths (Lepidoptera: Pyralidae) in Ahnonds, Pistachios, and Walnuts. Environ. Entomol. 1996, 25, 1154–1157. [Google Scholar] [CrossRef]
- Cabrera-La Rosa, J.C.; Johnson, M.W.; Civerolo, E.L.; Chen, J.; Groves, R.L. Seasonal population dynamics of Draeculacephala minerva (Hemiptera: Cicadellidae) and transmission of Xylella fastidiosa. J. Econ. Entomol. 2008, 101, 1105–1113. [Google Scholar] [CrossRef] [PubMed]
- English-Loeb, G.M. Plant Drought Stress and Outbreaks of Spider Mites: A Field Test. Ecology 1990, 71, 1401–1411. [Google Scholar] [CrossRef]
- Sconiers, W.B.; Eubanks, M.D. Not all droughts are created equal? The effects of stress severity on insect herbivore abundance. Arthropod. Plant. Interact. 2017, 11, 45–60. [Google Scholar] [CrossRef]
- Frampton, G.K.; Van Den Brink, P.J.; Gould, P.J.L.L. Effects of spring drought and irrigation on farmland arthropods in southern Britain. J. Appl. Ecol. 2000, 37, 865–883. [Google Scholar] [CrossRef]
- Mody, K.; Eichenberger, D.; Dorn, S. Stress magnitude matters: Different intensities of pulsed water stress produce non-monotonic resistance responses of host plants to insect herbivores. Ecol. Entomol. 2009, 34, 133–143. [Google Scholar] [CrossRef]
- Weldegergis, B.T.; Zhu, F.; Poelman, E.H.; Dicke, M. Drought stress affects plant metabolites and herbivore preference but not host location by its parasitoids. Oecologia 2015, 177, 701–713. [Google Scholar] [CrossRef] [PubMed]
- Tariq, M.; Wright, D.J.; Rossiter, J.T.; Staley, J.T. Aphids in a changing world: Testing the plant stress, plant vigour and pulsed stress hypotheses. Agric. For. Entomol. 2012, 14, 177–185. [Google Scholar] [CrossRef]
- Gely, C.; Laurance, S.G.W.; Stork, N.E. How do herbivorous insects respond to drought stress in trees? Biol. Rev. 2020, 95, 434–448. [Google Scholar] [CrossRef]
- González-Zamora, J.E.; Alonso-López, M.T.; Gómez-Regife, Y.; Ruiz-Muñoz, S. Decreased water use in a super-intensive olive orchard mediates arthropod populations and pest damage. Agronomy 2021, 11, 1337. [Google Scholar] [CrossRef]
- Agustí-Brisach, C.; Jiménez-Urbano, J.P.; del Carmen Raya, M.; López-Moral, A.; Trapero, A. Vascular fungi associated with branch dieback of olive in super-high-density systems in Southern Spain. Plant Dis. 2021, 105, 797–818. [Google Scholar] [CrossRef]
- Agustí-Brisach, C.; Moldero, D.; Raya, M.D.C.; Lorite, I.J.; Orgaz, F.; Trapero, A. Water stress enhances the progression of branch dieback and almond decline under field conditions. Plants 2020, 9, 1213. [Google Scholar] [CrossRef]
- Chinery, M. Guía de Campo de los Insectos de España y de Europa; Omega: Barcelona, Spain, 2005; ISBN 84-282-0469-1. [Google Scholar]
- Barrientos, J.A. Bases Para un Curso Práctico de Entomología; Asociación Española de Entomología: Salamanca, Spain, 1988; ISBN 84-404-2417-5. [Google Scholar]
- Ferragut, F.; Pérez-Moreno, I.; Iraola, V.; Escudero, A. Ácaros Depredadores de la Familia Phytoseiidae en las Plantas Cultivadas; Ediciones Agrotécnicas S.L.: Madrid, Spain, 2010; ISBN 9788487480539. [Google Scholar]
- Perry, J.N. Statistical aspects of field experiments. In Methods in Ecological and Agricultural Entomology; Dent, D.R., Walton, M.P., Eds.; CAB International: Oxford, UK, 1997; pp. 171–202. ISBN 0851991327. [Google Scholar]
- Prasifka, J.R.; Hellmich, R.L.; Dively, G.P.; Lewis, L.C. Assessing the Effects of Pest Management on Nontarget Arthropods: The Influence of Plot Size and Isolation. Environ. Entomol. 2005, 34, 1181–1192. [Google Scholar] [CrossRef]
- Whitehouse, M.E.A.; Wilson, L.J.; Fitt, G.P. A comparison of arthropod communities in transgenic Bt and conventional cotton in Australia. Environ. Entomol. 2005, 34, 1224–1241. [Google Scholar] [CrossRef]
- Naranjo, S.E. Long-term assesment of the effects of transgenic Bt cotton on the abundance of nontarget arthopod natural enemies. Environ. Entomol. 2005, 34, 1193–1210. [Google Scholar] [CrossRef] [Green Version]
- Van Den Brink, P.J.; Ter Braak, C.J.F. Principal response curves: Analysis of time-dependent multivariate responses of biological community to stress. Environ. Toxicol. Chem. 1999, 18, 138–148. [Google Scholar] [CrossRef]
- Auber, A.; Travers-Trolet, M.; Villanueva, M.C.; Ernande, B. A new application of principal response curves for summarizing abrupt and cyclic shifts of communities over space. Ecosphere 2017, 8, e02023. [Google Scholar] [CrossRef] [Green Version]
- Gil Martin, A.; Arrivas Carrasco, G.; Barrios Sanroma, G. Guía de Gestión Integrada de Plagas: Almendro; Ministerio de Agricultura Alimentación y Medio Ambiente, Ed.; Secretaría General Técnica. Centro de Publicaciones: Madrid, Spain, 2015; ISBN 9788449114434. [Google Scholar]
- Hodson, A.K.; Lampinen, B.D. Effects of cultivar and leaf traits on the abundance of Pacific spider mites in almond orchards. Arthropod. Plant. Interact. 2018, 13, 453–463. [Google Scholar] [CrossRef]
- Youngman, R.R.; Barnes, M.M. Interaction of Spider Mites (Acari: Tetranychidae) and Water Stress on Gas-exchange Rates and Water Potential of Almond Leaves. Environ. Entomol. 1986, 15, 594–600. [Google Scholar] [CrossRef]
- English-Loeb, G.M. Nonlinear responses of spider mites to drought-stressed host plants. Ecol. Entomol. 1989, 14, 45–55. [Google Scholar] [CrossRef]
- Haile, F.J.; Higley, L.G. Changes in Soybean Gas-Exchange After Moisture Stress and Spider Mite Injury. Environ. Entomol. 2003, 32, 433–440. [Google Scholar] [CrossRef] [Green Version]
- Goldhamer, D.A.; Viveros, M. Effects of preharvest irrigation cutoff durations and postharvest water deprivation on almond tree performance. Irrig. Sci. 2000, 19, 125–131. [Google Scholar] [CrossRef]
- Daane, K.M.; Wistrom, C.M.; Shapland, E.B.; Sisterson, M.S. Seasonal Abundance of Draeculacephala minerva and Other Xylella fastidiosa Vectors in California Almond Orchards and Vineyards. J. Econ. Entomol. 2011, 104, 367–374. [Google Scholar] [CrossRef] [PubMed]
- Szentkirályi, F. Lacewings in fruit and nut crops. In Lacewings in the Crop Environment; McEwen, P., New, T., Whittington, A., Eds.; Cambridge University Press: Cambridge, UK, 2001; pp. 172–238. [Google Scholar]
- Marimon, N.; Luque, J.; Vargas, F.J.; Alegre, S.; Miarnau, X. Susceptibilidad varietal a la ‘mancha ocre’ (Polystigma ochraceum (Whalenb.) Sacc.) en el cultivo del almendro. (Poster) Generalitat de Catalunya, IRTA-Investigación y Tecnología Agroalimentaria: Barcelona, Spain. 2011. Available online: https://www.researchgate.net/profile/Jordi-Luque/publication/234297104_Susceptibilidad_varietal_a_la_’mancha_ocre’_Polystigma_ochraceum_Whalenb_Sacc_en_el_cultivo_del_almendro/links/5704e75608ae13eb88b812d8/Susceptibilidad-varietal-a-la-mancha-ocre-Polyst (accessed on 5 October 2021).
- Smith, E.E.; Brown, P.H.; Andrews, E.M.; Shackel, K.A.; Holtz, B.A.; Rivers, D.J.; Haviland, D.R.; Khalsa, S.D.S. Early almond harvest as a strategy for sustainable irrigation, pest and disease management. Sci. Hortic. 2022, 293, 110651. [Google Scholar] [CrossRef]







| 2017 | 2018 to 2020 | |||
|---|---|---|---|---|
| Type of Measure | Transformation | Type of Measure | Transformation | |
| Hyalopterus amygdali | ||||
| Population | Scale (0–4), then continous value | Log (x + 1) | Scale (0–4), then continous value | Log (x + 1) |
| Damage | Scale (0–3) | Scale (0–3) | ||
| Tetranychus urticae | ||||
| Population | Proportion of organs occupied | Arcsin √p | Population count | Log (x + 1) |
| Damage | Scale (0–3), then proportion of leaf area with damage | Arcsin √p | Scale (0–3), then proportion of leaf area with damage | Arcsin √p |
| Asymmetrasca decedens | ||||
| Population | Proportion of organs occupied | Arcsin √p | Population count | Log (x + 1) |
| Damage | Proportion of organs with symptoms | Arcsin √p | Proportion of organs with symptoms | Arcsin √p |
| Phyllonorycter cerasicolella | Population count | √x | Population count | √x |
| Monosteira unicostata | ||||
| Population | Proportion of organs occupied | Arcsin √p | Population count | Log (x + 1) |
| Damage | Scale (0–3), then proportion of leaf surface with damage | Arcsin √p | Scale (0–3), then proportion of leaf surface with damage | Arcsin √p |
| Hemiberlesia rapax | Proportion of organs occupied | Arcsin √p | Proportion of organs occupied | Arcsin √p |
| Chrysopidae sp. | Population count | √x | Population count | √x |
| Euseius stipulatus | Population count | √x | Population count | √x |
| Other arthropods | Population count | √x | Population count | √x |
| Stigmina carpophila | Proportion of organs occupied | Arcsin √p | Proportion of organs occupied | Arcsin √p |
| Polystigma amygdalinum | Proportion of organs occupied | Arcsin √p | Proportion of organs occupied | Arcsin √p |
| 2017 | 2018 | 2019 | 2020 | 2017–2020 | |||||||
|---|---|---|---|---|---|---|---|---|---|---|---|
| Tr | Tr × SD | Tr | Tr × SD | Tr | Tr × SD | Tr | Tr × SD | Tr | Year | Tr × Year | |
| Hyalopterus amygdali | |||||||||||
| Population | 0.644 | 0.084 | 0.166 | 0.039 * | 0.184 | 0.577 | -2 | - | 0.707 | 0.089 | 0.181 |
| Damage 1 | 0.952 | - | 0.309 | - | <0.01 ** | - | -2 | - | 0.062 | - | - |
| Tetranychus urticae | |||||||||||
| Population | 0.166 | 0.028 * | 0.368 | 0.260 | 0.826 | 0.272 | <0.01 ** | <0.01 ** | 0.297 | 0.133 | 0.080 |
| Damage | 0.114 | 0.069 | 0.012 * | <0.01 ** | <0.01 ** | <0.01 ** | <0.01 ** | <0.01 ** | 0.075 | 0.180 | <0.01 ** |
| Asymmetrasca decedens | 0.013 * | 0.802 | <0.01 ** | 0.034 * | <0.01 ** | 0.063 | <0.01 ** | <0.01 ** | 0.082 | 0.469 | <0.01 ** |
| Phyllonorycter cerasicolella | - 3 | - | 0.714 | 0.269 | 0.814 | 0.042 * | 0.312 | 0.624 | 0.621 | 0.562 | 0.575 |
| Monosteira unicostata | 0.509 | 0.771 | - 3 | - | - 3 | - | - 3 | - | |||
| Hemiberlesia rapax | - 3 | - | - 3 | - | 0.108 | 0.760 | - 3 | - | |||
| Chrysopidae sp. | 0.497 | 0.093 | 0.932 | 0.046 * | 0.606 | 0.423 | <0.01 ** | 0.030 * | 0.175 | 0.030 * | 0.584 |
| Euseius stipulatus | 0.781 | 0.115 | 0.269 | 0.100 | 0.072 | 0.382 | 0.186 | 0.097 | 0.316 | <0.01 ** | 0.205 |
| Other arthropods | 0.117 | 0.214 | 0.417 | 0.700 | 0.403 | 0.302 | 0.070 | 0.313 | 0.319 | 0.057 | 0.231 |
| Stigmina carpophila | 0.795 | 0.187 | 0.096 | 0.052 | 0.014 * | 0.308 | 0.232 | 0.107 | 0.420 | 0.025 * | <0.01 ** |
| Polystigma amygdalinum | - 3 | - | - 3 | - | 0.146 | 0.328 | <0.01 ** | 0.341 | 0.128 | 0.113 | 0.326 |
Publisher’s Note: MDPI stays neutral with regard to jurisdictional claims in published maps and institutional affiliations. |
© 2021 by the authors. Licensee MDPI, Basel, Switzerland. This article is an open access article distributed under the terms and conditions of the Creative Commons Attribution (CC BY) license (https://creativecommons.org/licenses/by/4.0/).
Share and Cite
González-Zamora, J.E.; Ruiz-Aranda, C.; Rebollo-Valera, M.; Rodríguez-Morales, J.M.; Gutiérrez-Jiménez, S. Deficit Water Irrigation in an Almond Orchard Can Reduce Pest Damage. Agronomy 2021, 11, 2486. https://doi.org/10.3390/agronomy11122486
González-Zamora JE, Ruiz-Aranda C, Rebollo-Valera M, Rodríguez-Morales JM, Gutiérrez-Jiménez S. Deficit Water Irrigation in an Almond Orchard Can Reduce Pest Damage. Agronomy. 2021; 11(12):2486. https://doi.org/10.3390/agronomy11122486
Chicago/Turabian StyleGonzález-Zamora, José Enrique, Cristina Ruiz-Aranda, María Rebollo-Valera, Juan M. Rodríguez-Morales, and Salvador Gutiérrez-Jiménez. 2021. "Deficit Water Irrigation in an Almond Orchard Can Reduce Pest Damage" Agronomy 11, no. 12: 2486. https://doi.org/10.3390/agronomy11122486
APA StyleGonzález-Zamora, J. E., Ruiz-Aranda, C., Rebollo-Valera, M., Rodríguez-Morales, J. M., & Gutiérrez-Jiménez, S. (2021). Deficit Water Irrigation in an Almond Orchard Can Reduce Pest Damage. Agronomy, 11(12), 2486. https://doi.org/10.3390/agronomy11122486

