Lead-Tolerant Bacillus Strains Promote Growth and Antioxidant Activities of Spinach (Spinacia oleracea) Treated with Sewage Water
Abstract
1. Introduction
2. Material and Methods
2.1. Inoculum Preparation
2.2. Soil and Water Analysis
2.3. Pot Trial
2.4. Determination of Antioxidant Enzymes Activities and Crude Protein
2.5. Heavy Metal Analysis
2.6. Statistical Analysis
3. Results
3.1. Effect of Pb-Tolerant Bacillus Strains on Plant Growth Parameters under Different Water Treatments
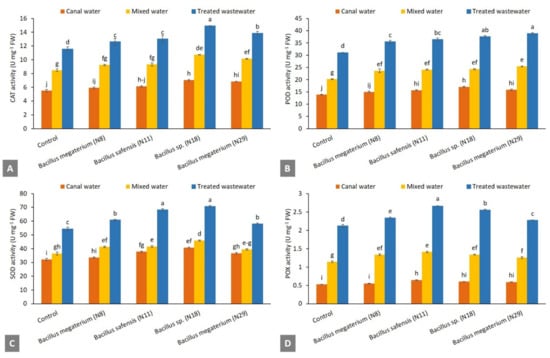
3.2. Effect of Pb-Tolerant Bacillus Strains on Antioxidant Enzymes Activities under Different Water Treatments
3.3. Effect of Pb-Tolerant Bacillus Strains on Heavy Metal Uptake under Different Water Treatments
3.3.1. Nickel Contents in Spinach
3.3.2. Chromium Contents in Spinach
3.3.3. Cadmium Contents in Spinach
3.3.4. Lead Contents in Spinach
4. Discussion
5. Conclusions
Author Contributions
Funding
Institutional Review Board Statement
Informed Consent Statement
Data Availability Statement
Acknowledgments
Conflicts of Interest
References
- Valipour, M.; Singh, V.P. Global experiences on wastewater irrigation: Challenges and prospects. In Balanced Urban Development: Options and Strategies for Liveable Cities; Springer International Publishing: Cham, Switzerland, 2016; pp. 289–327. [Google Scholar]
- Bixio, D.; Thoeye, C.; De Koning, J.; Joksimovic, D.; Savic, D.; Wintgens, T.; Melin, T. Wastewater reuse in Europe. Desalination 2006, 187, 89–101. [Google Scholar] [CrossRef]
- Friedel, J.K.; Langer, T.; Siebe, C.; Stahr, K. Effects of long-term waste water irrigation on soil organic matter, soil microbial biomass and its activities in central Mexico. Biol. Fertil. Soils 2000, 31, 414–421. [Google Scholar] [CrossRef]
- Khan, N.; Bano, A. Modulation of phytoremediation and plant growth by the treatment with PGPR, Ag nanoparticle and untreated municipal wastewater. Int. J. Phytoremediation 2016, 18, 1258–1269. [Google Scholar] [CrossRef]
- Rong, W.; Shiyu, L.; Linhao, C.; Jiangkai, L. The effect of sewage sludge application on the growth and absorption rates of Pb and As in water spinach. Open Life Sci. 2016, 11, 506–512. [Google Scholar] [CrossRef][Green Version]
- Tytła, M. Assessment of Heavy Metal Pollution and Potential Ecological Risk in Sewage Sludge from Municipal Wastewater Treatment Plant Located in the Most Industrialized Region in Poland—Case Study. Int. J. Environ. Res. Public Heal. 2019, 16, 2430. [Google Scholar] [CrossRef] [PubMed]
- Rehman, K.; Fatima, F.; Waheed, I.; Akash, M.S. Prevalence of exposure of heavy metals and their impact on health conse-quences. J. Cell. Biochem. 2018, 119, 157–184. [Google Scholar] [CrossRef] [PubMed]
- Sigel, R.K.O.; Pyle, A.M. Alternative Roles for Metal Ions in Enzyme Catalysis and the Implications for Ribozyme Chemistry. ChemInform 2007, 38. [Google Scholar] [CrossRef]
- Jan, A.T.; Azam, M.; Siddiqui, K.; Ali, A.; Choi, I.; Haq, Q.M. Heavy metals and human health: Mechanistic insight into tox-icity and counter defense system of antioxidants. Int. J. Mol. Sci. 2015, 16, 29592–29630. [Google Scholar] [CrossRef] [PubMed]
- Brooks, P.R.; Crowe, T.P. Combined Effects of Multiple Stressors: New Insights Into the Influence of Timing and Sequence. Front. Ecol. Evol. 2019, 7. [Google Scholar] [CrossRef]
- Balali-Mood, M.; Naseri, K.; Tahergorabi, Z.; Khazdair, M.R.; Sadeghi, M. Toxic Mechanisms of Five Heavy Metals: Mercury, Lead, Chromium, Cadmium, and Arsenic. Front. Pharmacol. 2021, 12. [Google Scholar] [CrossRef]
- Barrios, M.E.; Fernández, M.D.B.; Cammarata, R.V.; Torres, C.; Mbayed, V.A. Viral tools for detection of fecal contamination and microbial source tracking in wastewater from food industries and domestic sewage. J. Virol. Methods 2018, 262, 79–88. [Google Scholar] [CrossRef]
- Paździor, K.; Bilińska, L.; Ledakowicz, S. A review of the existing and emerging technologies in the combination of AOPs and biological processes in industrial textile wastewater treatment. Chem. Eng. J. 2018, 376, 120597. [Google Scholar] [CrossRef]
- ATSDR. Agency for Toxic Substances and Disease Registry. 2003. Available online: http://www.atsdr.cdc.gov/ (accessed on 8 August 2021).
- Jayasri, M.A.; Suthindhiran, K. Effect of zinc and lead on the physiological and biochemical properties of aquatic plant Lemna minor: Its potential role in phytoremediation. Appl. Water Sci. 2016, 7, 1247–1253. [Google Scholar] [CrossRef]
- Fatemi, H.; Pour, B.E.; Rizwan, M. Isolation and characterization of lead (Pb) resistant microbes and their combined use with silicon nanoparticles improved the growth, photosynthesis and antioxidant capacity of coriander (Coriandrum sativum L.) under Pb stress. Environ. Pollut. 2020, 266. [Google Scholar] [CrossRef] [PubMed]
- Alam, M.; Khan, M.; Khan, A.; Zeb, S.; Khan, M.A.; Amin, N.U.; Sajid, M.; Khattak, A.M. Concentrations, dietary exposure, and human health risk assessment of heavy metals in market vegetables of Peshawar, Pakistan. Environ. Monit. Assess. 2018, 190, 505. [Google Scholar] [CrossRef]
- Abdullahi, S.; Haris, H.; Zarkasi, K.Z.; Amir, H.G. Beneficial bacteria associated with Mimosa pudica and potential to sustain plant growth-promoting traits under heavy metals stress. Bioremediation J. 2020, 25, 1–21. [Google Scholar] [CrossRef]
- Saleem, M.; Asghar, H.N.; Zahir, Z.A.; Shahid, M. Impact of lead tolerant plant growth promoting rhizobacteria on growth, physiology, antioxidant activities, yield and lead content in sunflower in lead contaminated soil. Chemosphere 2018, 195, 606–614. [Google Scholar] [CrossRef] [PubMed]
- Rodríguez-Sánchez, V.; Guzmán-Moreno, J.; Rodríguez-González, V.; la Torre, J.A.F.-D.; Ramírez-Santoyo, R.M.; Vidales-Rodríguez, L.E. Biosorption of lead phosphates by lead-tolerant bacteria as a mechanism for lead immobilization. World J. Microbiol. Biotechnol. 2017, 33, 1–11. [Google Scholar] [CrossRef] [PubMed]
- Tiquia-Arashiro, S.M. Lead absorption mechanisms in bacteria as strategies for lead bioremediation. Appl. Microbiol. Biotechnol. 2018, 102, 5437–5444. [Google Scholar] [CrossRef]
- Beni, A.A.; Esmaeili, A. Biosorption, an efficient method for removing heavy metals from industrial effluents: A Review. Environ. Technol. Innov. 2019, 17, 100503. [Google Scholar] [CrossRef]
- Zeng, W.; Zhang, S.; Xia, M.; Wu, X.; Qiu, G.; Shen, L. Insights into the production of extracellular polymeric substances of Cupriavidus pauculus 1490 under the stimulation of heavy metal ions. RSC Adv. 2020, 10, 20385–20394. [Google Scholar] [CrossRef]
- Seher, N.; Ahmad, M.; Hussain, A.; Jamil, M. Potential of exopolysaccharides producing-lead tolerant Bacillus strains for im-proving spinach growth under lead stress. Int. J. Agric. Biol. 2020, 24, 1845–1854. [Google Scholar]
- Nazli, F.; Mustafa, A.; Ahmad, M.; Hussain, A.; Jamil, M.; Wang, X.; Shakeel, Q.; Imtiaz, M.; El-Esawi, M. A Review on Practical Application and Potentials of Phytohormone-Producing Plant Growth-Promoting Rhizobacteria for Inducing Heavy Metal Tolerance in Crops. Sustainability 2020, 12, 9056. [Google Scholar] [CrossRef]
- Nazli, F.; Jamil, M.; Hussain, A.; Hussain, T. Exopolysaccharides and indole-3-acetic acid producing Bacillus safensis strain FN13 potential candidate for phytostabilization of heavy metals. Environ. Monit. Assess. 2020, 192, 1–16. [Google Scholar] [CrossRef] [PubMed]
- Nazli, F.; Wang, X.; Ahmad, M.; Hussain, A.; Bushra; Dar, A.; Nasim, M.; Jamil, M.; Panpluem, N.; Mustafa, A. Efficacy of indole acetic acid and exopolysaccharides—producing Bacillus safensis strain FN13 for inducing Cd-stress tolerance and plant growth promotion in Brassica juncea (L.). Appl. Sci. 2021, 11, 4160. [Google Scholar] [CrossRef]
- Olanrewaju, O.; Bernard, G.; Olubukola, B. Mechanisms of action of plant growth promoting bacteria. World J. Microbiol. Biotechnol. 2017, 33, 197. [Google Scholar] [CrossRef] [PubMed]
- Mumtaz, M.Z.; Ahmad, M.; Jamil, M.; Hussain, T. Zinc solubilizing Bacillus spp. potential candidates for biofortification in maize. Microbiol. Res. 2017, 202, 51–60. [Google Scholar] [CrossRef] [PubMed]
- Ryan, J.; Estefan, G.; Rashid, A. Soil and plant analysis laboratory manual, 2nd ed.; International Center for Agriculture in Dry Areas (ICARDA): Aleppo, Syria, 2001; p. 172. [Google Scholar]
- Donkin, M.J. Loss-on-ignition as an estimator of soil organic carbon in a-horizon forestry soils. Commun. Soil Sci. Plant Anal. 1991, 22, 233–241. [Google Scholar] [CrossRef]
- Kjeldahl, J. Neue Methode zur Bestimmung des Stickstoffs in organischen Körpern. Z. Für Anal. Chem. 1883, 22, 366–382. [Google Scholar] [CrossRef]
- Watanabe, F.S.; Olsen, S.R. Test of an Ascorbic Acid Method for Determining Phosphorus in Water and NaHCO3 Extracts from Soil. Soil Sci. Soc. Am. J. 1965, 29, 677–678. [Google Scholar] [CrossRef]
- Ayers, R.S.; Westcot, D.W. Water Quality for Agriculture; Food and Agriculture Organization of the United Nations: Rome, Italy, 1994. [Google Scholar]
- Dhindsa, R.S.; Plumb-Dhindsa, P.; Thorpe, T.A. Leaf Senescence: Correlated with Increased Levels of Membrane Permeability and Lipid Peroxidation, and Decreased Levels of Superoxide Dismutase and Catalase. J. Exp. Bot. 1981, 32, 93–101. [Google Scholar] [CrossRef]
- Gorin, N.; Heidema, F.T. Peroxidase activity in Golden Delicious apples as a possible parameter of ripening and senescence. J. Agric. Food Chem. 1976, 24, 200–201. [Google Scholar] [CrossRef]
- Beauchamp, C.; Fridovich, I. Superoxide dismutase: Improved assays and an assay applicable to acrylamide gels. Anal. Biochem. 1971, 44, 276–287. [Google Scholar] [CrossRef]
- Thimmaiah, S.R. Standard methods of biochemical analysis; Kalyani Publishers: New Delhi, India, 2004; p. 80. [Google Scholar]
- Miller, R.O. Nitric-perchloric acid wet digestion in an open vessel. In Handbook of Reference Methods for Plant Analysis; Karla, Y.P., Ed.; CRC Press: Boca Raton, FL, USA, 1998; pp. 57–61. [Google Scholar]
- Steel, R.G.D.; Torrie, J.H.; Dickey, D.A. Principles and Procedures of Statistics. A Biometrical Approach, 3rd ed.; McGraw Hill Book Co.: New York, NY, USA, 2007. [Google Scholar]
- Arora, M.; Kiran, B.; Rani, S.; Rani, A.; Kaur, B.; Mittal, N. Heavy metal accumulation in vegetables irrigated with water from different sources. Food Chem. 2008, 111, 811–815. [Google Scholar] [CrossRef]
- Huang, S.; Liao, Q.; Hua, M.; Wu, X.; Bi, K.; Yan, C.; Chen, B.; Zhang, X. Survey of heavy metal pollution and assessment of agricultural soil in Yangzhong district, Jiangsu Province, China. Chemosphere 2007, 67, 2148–2155. [Google Scholar] [CrossRef] [PubMed]
- Chabukdhara, M.; Munjal, A.; Nema, A.K.; Gupta, S.K.; Kaushal, R.K. Heavy metal contamination in vegetables grown around peri-urban and urban-industrial clusters in Ghaziabad, India. Hum. Ecol. Risk Assess. Int. J. 2015, 22, 1–17. [Google Scholar] [CrossRef]
- Abou-Shanab, R.; Angle, J.; Delorme, T.; Chaney, R.; Van Berkum, P.; Moawad, H.; Ghanem, K.; Ghozlan, H. Rhizobacterial effects on nickel extraction from soil and uptake by Alyssum murale. New Phytol. 2003, 158, 219–224. [Google Scholar] [CrossRef]
- Saranya, K.; Sundaramanickam, A.; Shekhar, S.; Meena, M.; Sathishkumar, R.S.; Balasubramanian, T. Biosorption of mul-ti-heavy metals by coral associated phosphate solubilising bacteria Cronobacter muytjensii KSCAS2. J. Environ. Manag. 2018, 222, 396–401. [Google Scholar] [CrossRef]
- Bilal, S.; Shahzad, R.; Khan, A.L.; Al-Harrasi, A.; Kil Kim, C.; Lee, I.-J. Phytohormones enabled endophytic Penicillium funiculosum LHL06 protects Glycine max L. from synergistic toxicity of heavy metals by hormonal and stress-responsive proteins modulation. J. Hazard. Mater. 2019, 379, 120824. [Google Scholar] [CrossRef]
- Rajkumar, M.; Ae, N.; Prasad, M.N.; Freitas, H. Potential of siderophore-producing bacteria for improving heavy metal phy-toextraction. Trends Biotechnol. 2010, 28, 142–149. [Google Scholar] [CrossRef]
- Gamalero, E.; Glick, B.R. Bacterial Modulation of Plant Ethylene Levels. Plant Physiol. 2015, 169, 13–22. [Google Scholar] [CrossRef]
- Nanda, M.; Kumar, V.; Sharma, D.K. Multimetal tolerance mechanisms in bacteria: The resistance strategies acquired by bac-teria that can be exploited to ‘clean-up’ heavy metal contaminants from water. Aquat. Toxicol. 2019, 212, 1–10. [Google Scholar] [CrossRef]
- Mitra, A.; Chatterjee, S.; Kataki, S.; Rastogi, R.P.; Gupta, D.K. Bacterial tolerance strategies against lead toxicity and their rel-evance in bioremediation application. Environ. Sci. Pollut. Res. 2021, 2, 1–4. [Google Scholar]
- Asghar, H.N.; Ishaq, M.; Zahir, Z.A.; Khalid, M.; Arshad, M. Response of radish to integrated use of nitrogen fertilizer and recycled organic waste. Pak. J. Botany 2006, 38, 691–700. [Google Scholar]
- Aafi, N.E.; Brhada, F.; Dary, M.; Maltouf, A.F.; Pajuelo, E. Rhizostabilization of metals in soils using Lupinus luteus inoculated with the metal resistant rhizobacterium Serratia sp. MSMC541. Int. J. Phytoremediation 2012, 14, 261–274. [Google Scholar] [CrossRef]
- Chookhampaeng, S. The effect of salt stress on growth, chlorophyll content proline content and antioxidative enzymes of pepper (Capsicum annuum L.) seedling. Eur. J. Sci. Res. 2011, 49, 103–109. [Google Scholar]
- Zhai, Q.; Wang, G.; Zhao, J.; Liu, X.; Narbad, A.; Chen, Y.Q.; Zhang, H.; Tian, F.; Chen, W. Protective Effects of Lactobacillus plantarum CCFM8610 against Chronic Cadmium Toxicity in Mice Indicate Routes of Protection besides Intestinal Sequestration. Appl. Environ. Microbiol. 2014, 80, 4063–4071. [Google Scholar] [CrossRef]
- Flora, S.J.S.; Mittal, M.; Mehta, A. Heavy metal induced oxidative stress & its possible reversal by chelation therapy. Indian J. Med. Res. 2008, 128, 501. [Google Scholar] [PubMed]
- Janmohammadi, M.; Bihamta, M.; Ghasemzadeh, F. Influence of rhizobacteria inoculation and lead stress on the physiological and biochemical attributes of wheat genotypes. Cercet. Agron. Moldova 2013, 46, 49–67. [Google Scholar] [CrossRef]
- Mesa-Marín, J.; Del-Saz, N.F.; Rodríguez-Llorente, I.D.; Redondo-Gómez, S.; Pajuelo, E.; Ribas-Carbó, M.; Mateos-Naranjo, E. PGPR reduce root respiration and oxidative stress enhancing spartina maritima root growth and heavy metal rhizoaccumula-tion. Front. Plant Sci. A 2018, 17, 1500. [Google Scholar] [CrossRef]
- Khanna, K.; Jamwal, V.L.; Gandhi, S.G.; Ohri, P.; Bhardwaj, R. Metal resistant PGPR lowered Cd uptake and expression of metal transporter genes with improved growth and photosynthetic pigments in Lycopersicon esculentum under metal toxicity. Sci. Rep. 2019, 9, 1–4. [Google Scholar] [CrossRef] [PubMed]
- Food Additives and Contaminants, Joint Codex Alimentarius Commission; FAO/WHO Food Standards Programme: Rome, Italy, 2001; ALINORM 01/12A.




| Characteristics | Units | Value/Class |
|---|---|---|
| Sand | % | 44 |
| Silt | % | 42 |
| Clay | % | 14 |
| Soil texture | - | Loam |
| Saturation percentage | - | 38.0 |
| pHs | - | 7.82 |
| ECe | dS m−1 | 1.73 |
| Available phosphorus | mg kg−1 | 3.75 |
| Extractable potassium | mg kg−1 | 149 |
| Organic matter | % | 0.47 |
| Total nitrogen | % | 0.05 |
| Total Pb | mg kg−1 | 0.47 |
| Characteristics | Sewage Water | Mixed Water | Canal Water | Safe Limit |
|---|---|---|---|---|
| EC (µS cm−1) | 2610 | 1670 | 410 | 1500 |
| pH | 6.30 | 7.20 | 7.5 | 6.5–8.4 |
| Ca2+ + Mg2+ (meq L−1) | 13.80 | 9.30 | 3.94 | - |
| CO3 (meq L−1) | 0.0 | 0.0 | 0.0 | - |
| HCO3 (meq L−1) | 7.24 | 6.48 | 5.42 | <610 |
| SAR | 10.08 | 9.95 | 5.25 | <7.5 |
| BOD (mg L−1) | 1.17 | 0.78 | 0.13 | - |
| COD (mg L−1) | 138.8 | 118.8 | 94.5 | - |
| Fe (mg L−1) | 2.28 | 1.90 | 1.57 | 5.0 |
| Cu (mg L−1) | 1.01 | 0.23 | 0.15 | 0.2 |
| Mn (mg L−1) | 0.017 | 0.016 | 0.006 | 0.2 |
| Zn (mg L−1) | 0.231 | 0.220 | 0.049 | 2.0 |
| Pb (mg L−1) | 0.33 | 0.22 | 0.07 | 0.1 |
| Cr (mg L−1) | 0.009 | 0.008 | 0.002 | 1.0 |
| Ni (mg L−1) | 0.31 | 0.20 | 0.09 | 1.0 |
| Cd (mg L−1) | 0.90 | 0.50 | 0.003 | 0.8 |
| Inoculation | Leaf Area (cm2) | Shoot Length (cm) | Shoot Fresh Weight (kg) | Shoot Dry Weight (kg) |
|---|---|---|---|---|
| Canal water | ||||
| Uninoculated control | 104 ± 1.33 j | 12.2 ± 0.15 d | 1.45 ± 0.01 h | 0.59 ± 0.01 h |
| B. megaterium (N8) | 125 ± 0.87 gh | 15.1 ± 0.68 d–g | 1.73 ± 0.03 fg | 0.68 ± 0.04 gh |
| B. safensis (N11) | 130 ± 1.03 fg | 15.5 ± 0.29 c–g | 1.67 ± 0.03 g | 0.71 ± 0.03 g |
| Bacillus sp. (N18) | 129 ± 1.44 fg | 14.2 ± 0.91 e–g | 1.82 ± 0.02 f | 0.76 ± 0.01 g |
| B. megaterium (N29) | 130 ± 1.56 fg | 13.5 ± 0.48 fg | 1.75 ± 0.03 fg | 0.75 ± 0.02 g |
| Mixed water | ||||
| Uninoculated control | 112 ± 1.41 i | 14.5 ± 0.55 e-g | 2.62 ±0.02 e | 1.04 ± 0.04 f |
| B. megaterium (N8) | 133 ± 1.23 ef | 17.5 ± 1.16 c-e | 2.76 ± 0.03 d | 1.23 ± 0.05 de |
| B. safensis (N11) | 148 ± 1.72 ab | 18.2 ± 0.60 b-d | 3.23 ± 0.02 c | 1.30 ± 0.01 b-d |
| Bacillus sp. (N18) | 140 ± 1.35 cd | 17.1 ± 0.64 c-e | 3.38 ± 0.01 b | 1.30 ± 0.01 b-d |
| B. megaterium (N29) | 137 ± 1.81 de | 16.6 ± 0.68 c-f | 3.34 ± 0.03 b | 1.27 ± 0.01 cd |
| Treated wastewater | ||||
| Uninoculated control | 118 ± 2.01 hi | 18.7 ± 0.79 bc | 2.86 ± 0.02 d | 1.13 ± 0.01 ef |
| B. megaterium (N8) | 133 ± 1.31 ef | 21.4 ± 0.36 ab | 3.18 ± 0.01 c | 1.30 ± 0.02 b-d |
| B. safensis (N11) | 154 ± 1.55 a | 22.4 ± 1.16 a | 3.56 ± 0.02 a | 1.44 ± 0.01 a |
| Bacillus sp. (N18) | 153 ± 1.24 a | 22.3 ± 0.61 a | 3.62 ± 0.01 a | 1.39 ± 0.01 ab |
| B. megaterium (N29) | 146 ± 1.06 bc | 21.3 ± 0.39 ab | 3.59 ± 0.03 a | 1.35 ± 0.02 a-c |
| Water treatments | ||||
| Canal water | 124 c | 14.11 c | 1.68 c | 0.69 c |
| Mixed water | 134 b | 16.78 b | 3.07 b | 1.23 b |
| Treated wastewater | 141 a | 21.18 a | 3.36 a | 1.32 a |
| Inoculation | Root Length (cm) | Root Fresh Weight (kg) | Root Dry Weight (kg) |
|---|---|---|---|
| Canal water | |||
| Uninoculated control | 16.9 ± 0.61 e-g | 0.69 ± 0.01 g | 0.44 ± 0.01 j |
| B. megaterium (N8) | 19.9 ± 0.78 a-c | 0.76 ± 0.00 fg | 0.49 ± 0.00 i |
| B. safensis (N11) | 20.5 ± 0.85 b-e | 0.80 ± 0.01 fg | 0.53 ± 0.01 hi |
| Bacillus sp. (N18) | 19.1 ± 0.62 fg | 0.87 ± 0.012 f | 0.55 ± 0.01 h |
| B. megaterium (N29) | 18.8 ± 0.54 fg | 0.82 ± 0.00 fg | 0.50 ± 0.00 hi |
| Mixed water | |||
| Uninoculated control | 19.8 ± 0.47 g | 1.31 ± 0.03 e | 0.93 ± 0.01 g |
| B. megaterium (N8) | 24.0 ± 1.18 e-g | 1.47 ± 0.01 de | 1.10 ± 0.00 f |
| B. safensis (N11) | 23.0 ± 0.76 d-f | 1.61 ± 0.01 cd | 1.20 ± 0.01 e |
| Bacillus sp. (N18) | 24.8 ± 0.35 ab | 1.65 ± 0.13 cd | 1.17 ± 0.01 e |
| B. megaterium (N29) | 21.2 ± 0.36 c-f | 1.59 ± 0.01 cd | 1.16 ± 0.01 e |
| Treated wastewater | |||
| Uninoculated control | 21.3 ± 1.20 c-f | 1.64 ± 0.01 cd | 1.31 ± 0.01 d |
| B. megaterium (N8) | 25.6 ± 0.71 ab | 1.86 ± 0.02 b | 1.50 ± 0.02 c |
| B. safensis (N11) | 25.6 ± 0.44 ab | 1.90 ± 0.01 b | 1.61 ± 0.01 b |
| Bacillus sp. (N18) | 27.3 ± 0.23 a | 2.11 ± 0.01 a | 1.70 ± 0.01 a |
| B. megaterium (N29) | 23.8 ± 0.54 a-d | 1.93 ± 0.01 b | 1.60 ± 0.01 b |
| Water treatments | |||
| Canal water | 19.01 c | 0.79 c | 0.50 c |
| Mixed water | 22.53 b | 1.53 b | 1.11 b |
| Treated wastewater | 24.71 a | 1.91 a | 1.55 a |
| Inoculation | Ni (mg kg−1) | Cr (mg kg−1) | Cd (mg kg−1) | Pb (mg kg−1) |
|---|---|---|---|---|
| Canal water | ||||
| Uninoculated control | 0.37 ± 0.001 h | 0.19 ± 0.009 g | 0.017 ± 0.003 d | 0.78 ± 0.006 h |
| B. megaterium (N8) | 0.34 ± 0.001 h | 0.18 ± 0.007 g | 0.017 ± 0.000 d | 0.71 ± 0.006 h |
| B. safensis (N11) | 0.35 ± 0.001 h | 0.17 ± 0.006 g | 0.017 ± 0.000 d | 0.73 ± 0.005 h |
| Bacillus sp. (N18) | 0.35 ± 0.001 h | 0.18 ± 0.004 g | 0.017 ± 0.000 d | 0.71 ± 0.002 h |
| B. megaterium (N29) | 0.36 ± 0.000 h | 0.18 ± 0.008 g | 0.017 ± 0.000 d | 0.78 ± 0.004 h |
| Mixed water | ||||
| Uninoculated control | 3.00 ± 0.001 e | 0.74 ± 0.030 cd | 0.38 ± 0.011 ab | 1.86 ± 0.002 cd |
| B. megaterium (N8) | 2.75 ± 0.001 g | 0.72 ± 0.006 c–e | 0.35 ± 0.008 bc | 1.81 ± 0.003 de |
| B. safensis (N11) | 2.82 ± 0.001 fg | 0.68 ± 0.010 ef | 0.33 ± 0.007 c | 1.68 ± 0.006 fg |
| Bacillus sp. (N18) | 2.76 ± 0.001 g | 0.67 ± 0.009 f | 0.36 ± 0.009 bc | 1.65 ± 0.004 g |
| B. megaterium (N29) | 2.90 ± 0.001 f | 0.70 ± 0.005 d-f | 0.36 ± 0.006 bc | 1.75 ± 0.001 ef |
| Treated wastewater | ||||
| Uninoculated control | 4.97 ± 0.001 a | 0.85 ± 0.009 a | 0.40 ± 0.012 a | 2.02 ± 0.006 a |
| B. megaterium (N8) | 4.67 ± 0.001 c | 0.81 ± 0.006 ab | 0.37 ± 0.006 ab | 1.89 ± 0.008 bc |
| B. safensis (N11) | 4.58 ± 0.001 d | 0.77 ± 0.010 bc | 0.36 ± 0.006 bc | 1.78 ± 0.005 e |
| Bacillus sp. (N18) | 4.69 ± 0.001 c | 0.80 ± 0.005 ab | 0.37 ± 0.008 ab | 1.86 ± 0.004 cd |
| B. megaterium (N29) | 4.83 ± 0.000 b | 0.84 ± 0.004 a | 0.38 ± 0.003 ab | 1.95 ± 0.002 ab |
| Water treatments | ||||
| Canal water | 0.35 c | 0.18 c | 0.02 c | 0.74 c |
| Mixed water | 2.85 b | 0.70 b | 0.36 b | 1.75 b |
| Treated wastewater | 4.75 a | 0.81 a | 0.37 a | 1.90 a |
| Inoculation | Ni (mg kg−1) | Cr (mg kg−1) | Cd (mg kg−1) | Pb (mg kg−1) |
|---|---|---|---|---|
| Canal water | ||||
| Uninoculated control | 0.57 ± 0.001 j | 0.40 ± 0.019 f | 0.07 ± 0.004 g | 0.87 ± 0.007 g |
| B. megaterium (N8) | 0.53 ± 0.001 j | 0.40 ± 0.015 f | 0.06 ± 0.001 g | 0.85 ± 0.004 gh |
| B. safensis (N11) | 0.52 ± 0.001 j | 0.39 ± 0.015 f | 0.06 ± 0.001 g | 0.83 ± 0.006 gh |
| Bacillus sp. (N18) | 0.55 ± 0.000 j | 0.37 ± 0.018 f | 0.06 ± 0.000 g | 0.76 ± 0.005 h |
| B. megaterium (N29) | 0.53 ± 0.000 j | 0.40 ± 0.008 f | 0.07 ± 0.001 g | 0.81 ± 0.003 gh |
| Mixed water | ||||
| Uninoculated control | 3.93 ± 0.001 e | 0.98 ± 0.019 cd | 0.60 ± 0.018 de | 3.99 ± 0.006 b |
| B. megaterium (N8) | 3.77 ± 0.000 g | 0.95 ± 0.009 c-e | 0.58 ± 0.006 ef | 3.72 ± 0.002 ef |
| B. safensis (N11) | 3.69 ± 0.001 h | 0.90 ± 0.014 e | 0.54 ± 0.011 f | 3.65 ± 0.006 f |
| Bacillus sp. (N18) | 3.62 ± 0.001 i | 0.93 ± 0.014 de | 0.55 ± 0.009 f | 3.64 ± 0.003 f |
| B. megaterium (N29) | 3.86 ± 0.001 f | 0.96 ± 0.006 c-e | 0.59 ± 0.004 e | 3.78 ± 0.004 de |
| Treated wastewater | ||||
| Uninoculated control | 4.94 ± 0.000 a | 1.12 ± 0.010 a | 0.72 ± 0.011 a | 4.22 ± 0.006 a |
| B. megaterium (N8) | 4.68 ± 0.001 c | 1.13 ± 0.016 a | 0.69 ± 0.015 ab | 3.83 ± 0.006 cd |
| B. safensis (N11) | 4.59 ± 0.001 d | 1.01 ± 0.018 bc | 0.64 ± 0.010 cd | 3.73 ± 0.005 d-f |
| Bacillus sp. (N18) | 4.54 ± 0.001 d | 0.97 ± 0.009 cd | 0.67 ± 0.006 bc | 3.66 ± 0.006 f |
| B. megaterium (N29) | 4.76 ± 0.001 b | 1.06 ± 0.012 ab | 0.70 ± 0.007 ab | 3.90 ± 0.010 bc |
| Water treatments | ||||
| Canal water | 0.54 c | 0.39 c | 0.06 c | 0.83 c |
| Mixed water | 3.77 b | 0.94 b | 0.57 b | 3.76 b |
| Treated wastewater | 4.71 a | 1.06 a | 0.68 a | 3.87 a |
Publisher’s Note: MDPI stays neutral with regard to jurisdictional claims in published maps and institutional affiliations. |
© 2021 by the authors. Licensee MDPI, Basel, Switzerland. This article is an open access article distributed under the terms and conditions of the Creative Commons Attribution (CC BY) license (https://creativecommons.org/licenses/by/4.0/).
Share and Cite
Najm-ul-Seher; Ahmad, M.; Ahmad, I.; Nazli, F.; Mumtaz, M.Z.; Latif, M.; Al-Mosallam, M.S.; Alotaibi, F.S.; Dewidar, A.Z.; Mattar, M.A.; et al. Lead-Tolerant Bacillus Strains Promote Growth and Antioxidant Activities of Spinach (Spinacia oleracea) Treated with Sewage Water. Agronomy 2021, 11, 2482. https://doi.org/10.3390/agronomy11122482
Najm-ul-Seher, Ahmad M, Ahmad I, Nazli F, Mumtaz MZ, Latif M, Al-Mosallam MS, Alotaibi FS, Dewidar AZ, Mattar MA, et al. Lead-Tolerant Bacillus Strains Promote Growth and Antioxidant Activities of Spinach (Spinacia oleracea) Treated with Sewage Water. Agronomy. 2021; 11(12):2482. https://doi.org/10.3390/agronomy11122482
Chicago/Turabian StyleNajm-ul-Seher, Maqshoof Ahmad, Iqra Ahmad, Farheen Nazli, Muhammad Zahid Mumtaz, Muhammad Latif, Mobarak S. Al-Mosallam, Fahad S. Alotaibi, Ahmed Z. Dewidar, Mohamed A. Mattar, and et al. 2021. "Lead-Tolerant Bacillus Strains Promote Growth and Antioxidant Activities of Spinach (Spinacia oleracea) Treated with Sewage Water" Agronomy 11, no. 12: 2482. https://doi.org/10.3390/agronomy11122482
APA StyleNajm-ul-Seher, Ahmad, M., Ahmad, I., Nazli, F., Mumtaz, M. Z., Latif, M., Al-Mosallam, M. S., Alotaibi, F. S., Dewidar, A. Z., Mattar, M. A., & El-Shafei, A. A. (2021). Lead-Tolerant Bacillus Strains Promote Growth and Antioxidant Activities of Spinach (Spinacia oleracea) Treated with Sewage Water. Agronomy, 11(12), 2482. https://doi.org/10.3390/agronomy11122482

