Effect of N Fertilization on the Content of Phenolic Compounds in Jerusalem Artichoke (Helianthus tuberosus L.) Tubers and Their Antioxidant Capacity
Abstract
1. Introduction
2. Materials and Methods
2.1. Chemicals
2.2. Plant Material, Preparation of Samples
2.3. Extraction
2.4. Determination of Total Phenolic Content
2.5. HPLC Analysis
2.6. ABTS Assay
2.7. Ferric-Reducing Antioxidant Power
2.8. Scavenging of the DPPH Radical
2.9. Statistical Analysis
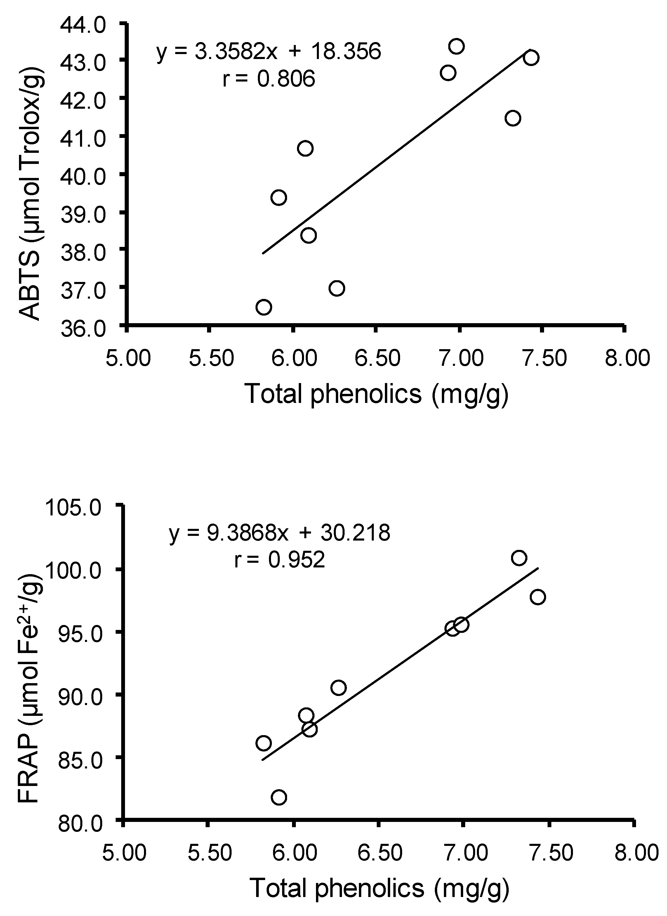
3. Results
4. Discussion
5. Conclusions
Author Contributions
Funding
Acknowledgments
Conflicts of Interest
References
- Swanton, C.J.; Cavers, P.B.; Clements, D.R.; Moore, M.J. The biology of Canadian weeds, 101. Helianthus tuberosus L. Can. J. Plant Sci. 1992, 72, 367–382. [Google Scholar] [CrossRef]
- Bach, V.; Clausen, M.R.; Edelenbos, M. Production of Jerusalem artichoke (Helianthus tuberosus L.) and impact on inulin and phenolic Compounds. In Processing and Impact on Active Components in Food; Preedy, V., Ed.; Academic Press: Amsterdam, The Netherlands; Boston, MA, USA; Heidelberg, Germany; London, UK; New York, NY, USA; Oxford, UK; Paris, France; San Diego, CA, USA; San Francisco, CA, USA; Singapore; Sydney, Australia; Tokyo, Japan, 2015; pp. 97–102. [Google Scholar]
- Niness, K.R. Inulin and oligofructose: What are they? J. Nutr. 1999, 129, 1402S–1406S. [Google Scholar] [CrossRef]
- Nair, K.K.; Kharb, S.; Thompkinson, D.K. Inulin dietary fiber with functional and health attributes—A review. Food Rev. Int. 2010, 26, 189–203. [Google Scholar] [CrossRef]
- Guglielmetti, A.; Fernandez-Gomez, B.; Zeppa1, G.; Del Castillo, M.D. Nutritional quality, potential health promoting properties and sensory perception of an improved gluten-free bread formulation containing inulin, rice protein and bioactive compounds extracted from coffee byproducts. Pol. J. Food Nutr. Sci. 2019, 69, 157–166. [Google Scholar] [CrossRef]
- Fotschki, B.; Jurgoński, A.; Fotschki, J.; Majewski, M.; Ognik, K.; Juśkiewicz, J. Dietary chicory inulin-rich meal exerts greater healing effects than fructooligosaccharide preparation in rats with trinitrobenzenesulfonic acid-induced necrotic colitis. Pol. J. Food Nutr. Sci. 2019, 69, 147–155. [Google Scholar] [CrossRef]
- Tchoné, M.; Bärwald, G.; Annemüller, G.; Fleischer, L.G. Separation and identification of phenolic compounds in Jerusalem artichoke (Helianthus tuberosus L.). Sci. Aliments 2006, 26, 394–408. [Google Scholar] [CrossRef]
- Kim, D.; Fan, J.P.; Chung, H.C.; Han, G.D. Changes in extractability and antioxidant activity of Jerusalem artichoke (Helianthus tuberosus L.) tubers by various high hydrostatic pressure treatments. Food Sci. Biotechnol. 2010, 19, 1365–1371. [Google Scholar] [CrossRef]
- Mattila, P.; Hellström, J. Phenolic acids in potatoes, vegetables, and some of their products. J. Food Comp. Anal. 2007, 20, 152–160. [Google Scholar] [CrossRef]
- Bach, V.; Jensen, S.; Clausen, M.R.; Bertram, H.C.; Edelenbos, M. Enzymatic browning and after-cooking darkening of Jeru¬salem artichoke tubers (Helianthus tuberosus L.). Food Chem. 2013, 141, 1445–1450. [Google Scholar] [CrossRef]
- Seljåsen, R.; Slimestad, R. Fructooligosaccharides and phenolics in flesh and peel of spring harvested Helianthus tuberosus. In Proceedings of the 1st International Symposium on Human Health Effects of Fruits and Vegetables, Québec, QC, Canada, 17–20 August 2005; Desjardins, Y., Patil, B., Eds.; International Society for Horticultural Science: Leuven, Belgium, 2007; pp. 447–450. [Google Scholar]
- Kapusta, I.; Szpunar-Krok, E.; Dorota Bobrecka-Jamro, D.; Tomasz Cebulak, T.; Kaszuba, J.; Tobiasz-Salach, R. Identification and quantification of phenolic compounds from Jerusalem artichoke (Helianthus tuberosus L.) tubers. J. Food Agric. Environ. 2013, 11, 601–606. [Google Scholar] [CrossRef]
- Chen, F.; Long, X.; Liu, Z.; Shao, H.; Liu, L. Analysis of phenolic acids of Jerusalem artichoke (Helianthus tuberosus L.) responding to salt-stress by liquid chromatography/tandem mass spectrometry. Sci. World J. 2014. [Google Scholar] [CrossRef]
- Breinholt, V. Desirable versus harmful levels of intake flavonoids and phenolic acids. In Natural Antioxidants and Anticarcinogens in Nutrition, Health and Disease; Kumpulainen, J., Salonen, J.E., Eds.; The Royal Society of Chemistry: Cambrige, UK, 1999; pp. 93–105. [Google Scholar]
- Shahidi, F.; Naczk, M. Food Phenolics: Sources, Chemistry, Effects, Applications; Technomic Publishing Company Inc.: Lancaster, UK, 1995; pp. 231–245. [Google Scholar]
- Duthie, G.G.; Duthie, S.J.; Kyle, J.A.M. Plant polyphenols in cancer and heart disease: Implications as nutritional antioxidants. Nutr. Res. Rev. 2000, 13, 79–106. [Google Scholar] [CrossRef]
- Koroleva, O.; Torkova, A.; Nikolaev, I.; Khrameeva, E.; Fedorova, T.; Tsentalovich, M.; Amarowicz, R. Evaluation of the antiradical properties of phenolic acids. Int. J. Mol. Sci. 2014, 15, 16351–16380. [Google Scholar] [CrossRef] [PubMed]
- Lee, Y.-J.; Lee, M.; Yu, S.-Y.; Yoon, W.-B.; Lee, O.-H. Changes in physicochemical characteristics and antioxidant activities of Jerusalem artichoke tea infusions resulting from different production processes. Food Sci. Biotechnol. 2014, 23, 1885–1892. [Google Scholar] [CrossRef]
- Dias, N.S.; Ferreira, J.F.S.; Liu, X.; Suarez, D.L. US Jerusalem artichoke (Helianthus tuberosus L.) maintains high inulin, tuber yield, and antioxidant capacity under moderately-saline irrigation waters. Ind. Crops Prod. 2016, 94, 1009–1024. [Google Scholar] [CrossRef]
- Takeuchi, J.; Nagashima, T. Preparation of dried chips from Jerusalem artichoke (Helianthus tuberosus) tubers and analysis of their functional properties. Food Chem. 2011, 126, 922–926. [Google Scholar] [CrossRef]
- Biesiada, A.; Nawirska-Olszańska, A.; Kucharska, A.; Sokół-Łętowska, A.; Kadra, K. The effect of nitrogen fertilization on nutritive value and antioxidative activity of red cabbage. Acta Sci. Pol. Hortorum Cultus 2010, 9, 13–21. [Google Scholar]
- Fortier, E.; Desjardins, Y.; Tremblay, N.; Bčlec, C.; Côtč, M. Influence of irrigation and nitrogen fertilization on broccoli polyphenolics concentration. Acta Hortic. 2010, 856, 55–62. [Google Scholar] [CrossRef]
- Jones, R.B.; Imsic, M.; Franz, P.; Tomkins, B.T. High nitrogen during growth reduced glucoraphanin and flavonol content in broccoli (Brassica oleracea var. italica) heads. Aust. J. Exp. Agric. 2007, 47, 1498–1505. [Google Scholar] [CrossRef]
- Zhao, X.; Carey, E.E.; Young, J.E.; Wang, W.; Iwamoto, T. Influences of organic fertilization, high tunnel environment, and postharvest storage on phenolic compounds in lettuce. HortScience 2007, 42, 71–76. [Google Scholar] [CrossRef]
- Zhao, X.; Nechols, J.R.; Williams, K.; Wangc, W.; Carey, E.E. Comparison of phenolic acids in organically and conventionally grown pac choi (Brassica rapa L. chinensis). J. Sci. Food Agric. 2009, 89, 940–946. [Google Scholar] [CrossRef]
- Arena, M.E.; Postemsky, P.D.; Curvetto, N.R. Changes in the phenolic compounds and antioxidant capacity of Berberis microphylla G. Forst. berries in relation to light intensity and fertilization. Sci. Hortic. 2017, 218, 63–71. [Google Scholar] [CrossRef]
- Barroso, M.R.; Martins, N.; Barros, L.; Antonio, A.L.; Rodrigues, A.Â.; Sousa, M.K.; Santos-Buelga, C.; Ferreira, I.C.F.R. 2018. Assessment of the nitrogen fertilization effect on bioactive compounds of frozen fresh and dried samples of Stevia rebaudiana Bertoni. Food Chem. 2018, 243, 208–213. [Google Scholar] [CrossRef] [PubMed]
- Łata, B. Variability in enzymatic and non-enzymatic antioxidants in red and green-leafy kale in relation to soil type and N-level. Sci. Hortic. 2014, 168, 38–45. [Google Scholar] [CrossRef]
- Peñas, E.; Zielińska, D.; Gulewicz, P.; Zieliński, Frias, J.; Vitamin, C. phenolic compounds and antioxidant capacity of broccoli florets grown under different nitrogen treatments combined with selenium. Pol. J. Food Nutr. Sci. 2018, 68, 179–186. [Google Scholar] [CrossRef]
- World Reference Base for Soil Resources: International Soil Classification System for Naming Soils and Creating Legends for Soil; WorldSoil Resources Reports 2014, No. 106; Field experiment; FAO: Rome, Italy; Available online: http://www.fao.org/3/i3794en/I3794EN.pdf (accessed on 10 July 2020).
- Amarowicz, R.; Wanasundara, U.N.; Karamać, M.; Shahidi, F. Antioxidant activity of ethanolic extract of mustard seed. Nahrung–Food 1996, 40, 261–263. [Google Scholar] [CrossRef]
- Amarowicz, R.; Raab, B. Antioxidative activity of leguminous seed extracts evaluated by chemiluminescence methods. Zeit. Naturforsch. C 1997, 52, 709–712. [Google Scholar] [CrossRef]
- Crozier, A.; Jensen, E.; Lean, M.E.I.; McDonald, M.S. Quantitative analysis of flavonoids by reverse-phase high performance liquid chromatography. J. Chromatogr. A 1997, 761, 315–321. [Google Scholar] [CrossRef]
- Peiretti, P.G.; Karamać, M.; Janiak, M.; Longato, E.; Meineri, G.; Amarowicz, R.; Gai, F. Phenolic composition and antioxidant activities of soybean (Glycine max (L.) Merr.) plant during growth cycle. Agronomy 2019, 9, 153. [Google Scholar] [CrossRef]
- Re, R.; Pellegrini, N.; Proteggente, A.; Pannala, A.; Yang, M.; Rice-Evans, C. Antioxidant activity applying an improved ABTS radical cation decolorization assay. Free Radic. Biol. Med. 1999, 26, 1231–1237. [Google Scholar] [CrossRef]
- Benzie, I.E.F.; Strain, J.J. Ferric reducing/antioxidant power assay: Direct measure of total antioxidant activity of biological fluids and modified version for simultaneous measurement of total antioxidant power and ascorbic acid concentration. Methods Enzymol. 1990, 299, 15–27. [Google Scholar] [CrossRef]
- Zia-Ul-Haq, M.; Iqbal, S.; Ahmad, S.; Bhanger, M.I.; Wiczkowski, W.; Amarowicz, R. Antioxidant potential of Desi chickpea varieties commonly consumed in Pakistan. J. Food Lipids 2008, 15, 326–342. [Google Scholar] [CrossRef]
- Amarowicz, R.; Pegg, R.B. Protection of natural antioxidants against low-density lipoprotein oxidation. Adv. Food Nutr. Res. 2020, 93, 251–296. [Google Scholar] [CrossRef] [PubMed]
- Mert-Türk, F.; Kemal, Ü.L.; Egesel, Ö. Nitrogen and fungicide applications against Erysiphe cruciferarum affect quality components of oilseed rape. Mycopathologia 2008, 165, 27–35. [Google Scholar] [CrossRef] [PubMed]
- Li, J.; Zhu, Z.; Gerendas, J. Effects of nitrogen and sulfur on total phenolics and antioxidant activity in two genotypes of leaf mustard. J. Plant Nutr. 2008, 31, 1642–1655. [Google Scholar] [CrossRef]
- Wendy, A.; Johnson, W.J.; Raymond, A.; Cloyd, R.A.; Nechols, J.R.; Williams, K.A.; Nathan, O.; Nelson, N.O.; Rotenberg, D.; Kennelly, M.M. Effect of nitrogen source on pac choi (Brassica rapa L.) chemistry and interactions with the diamondback moth (Plutella xylostella L.). HortScience 2012, 47, 1457–1465. [Google Scholar] [CrossRef]
- Lo Scalzo, R.; Picchi, V.; Migliori, C.A.; Campanelli, G.; Leteo, F.; Ferrari, V.; Di Cesare, L.F.. Variations in the phytochemical contents and antioxidant capacity of organically and conventionally grown Italian cauliflower (Brassica oleracea L. subsp. botrytis): Results from a three-year field study. J. Agric. Food Chem. 2013, 61, 10335–10344. [Google Scholar] [CrossRef]
- Conversa, G.; Bonasia, A.; Lazzizera, C.; Elia, A. Bio-physical, physiological, and nutritional aspects of ready-to-use cima di rapa (Brassica rapa L. subsp. sylvestris L. Janch. var. esculenta Hort.) as affected by conventional and organic growing systems and storage time. Sci. Hortic. 2016, 213, 76–86. [Google Scholar] [CrossRef]
- Vinha, A.F.; Barreira, S.V.P.; Costa, A.S.G.; Alves, R.C.; Oliveira, M.B.P.P. Organic versus conventional tomatoes: Influence on physicochemical parameters, bioactive compounds and sensorial attributes. Food Chem. Toxicol. 2014, 2014. 67, 139–144. [Google Scholar] [CrossRef]
- Picchi, V.; Migliori, C.; Lo Scalzo, R.; Campanelli, G.; Ferrari, V.; Di Cesare, L.F. Phytochemical content in organic and conventionally grown Italian cauliflower. Food Chem. 2012, 501–509. [Google Scholar] [CrossRef]
- Valverde, J.; Reilly, K.; Villacreces, S.; Gaffney, M.; Granta, J.; Brunton, N. Variation in bioactive content in broccoli (Brassica oleracea var. italica) grown under conventional and organic production systems. J. Sci. Food Agric. 2015, 95, 1163–1171. [Google Scholar] [CrossRef] [PubMed]
- Williams, D.J.; Edwards, D.; Hamernig, I.; Jian, L.; James, A.P.; Johnson, S.K.; Tapsell, L.C. Vegetables containing phytochemicals with potential anti-obesity properties: A review. Food Res. Int. 2013, 52, 323–333. [Google Scholar] [CrossRef]
- Salama, Z.A.; El Baz, F.K.; Gaafar, A.A.; Zaki, M.F. Antioxidant activities of phenolics, flavonoids and vitamin C in two cultivars of fennel (Foeniculum vulgare Mill.) in responses to organic and bio-organic fertilizers. J. Saudi Soc. Agric. Sci. 2015, 14, 91–99. [Google Scholar] [CrossRef]
- Treutter, D. Managing phenol contents in crop plants by phytochemical farming and breeding – visions and constraints. Int. J. Mol. Sci. 2010, 11, 807–857. [Google Scholar] [CrossRef]
- Heimler, D.; Isolani, L.; Vignolini, P.; Romani, A. Polyphenol content and antiradical activity of Cichorium intybus L. from biodynamic and conventional farming. Food Chem. 2009, 114, 765–770. [Google Scholar] [CrossRef]
- Sinkovič, L.; Demšar, L.; Žnidarčič, D.; Vidrih, R.; Hribar, J.; Treutter, D. Phenolic profiles in leaves of chicory cultivars (Cichorium intybus L.) as influenced by organic and mineral fertilizers. Food Chem. 2015, 166, 507–513. [Google Scholar] [CrossRef]
- Ibrahim, M.H.; Hawa, Z.E.; Jaafar, H.Z.; Karimi, E.; Ghasemzadeh, A. Impact of organic and inorganic fertilizers application on the phytochemical and antioxidant activity of Kacip Fatimah (Labisia pumila Benth). Molecules 2013, 18, 10973–10988. [Google Scholar] [CrossRef]
- Tavarini, S.; Sgherri, C.; Ranieri, A.M.; Angelini, L.G. Effect of nitrogen fertilization and harvest time on steviol glycosides, flavonoid composition, and antioxidant properties in Stevia rebaudiana Bertoni. J. Agric. Food Chem. 2015, 63, 7041–7050. [Google Scholar] [CrossRef]
- Alizadeh, A.; Khoshkhui, M.; Javidnia, K.; Firuzi, O.; Tafazoli, E.; Khalighi, A. Effects of fertilizer on yield, essential oil composition, total phenolic content and antioxidant activity in Satureja hortensis L. (Lamiaceae) cultivated in Iran. J. Medic. Plants Res. 2010, 4, 33–40. [Google Scholar] [CrossRef]
- Ferreira, V.B.; Da Silva, T.T.C.; Couto, S.R.M.; Srur, A.U.O.S. Total phenolic compounds and antioxidant activity of organic vegetables consumed in Brazil. Food Nutr. Sci. 2015, 6, 798–804. [Google Scholar] [CrossRef]
- Ancillotti, C.; Ciofi, L.; Pucci, D.; Sagona, E.; Giordani, E.; Biricolti, S.; Gori, M.; Petrucci, W.A.; Giardi, F.; Bartoletti, R.; et al. Polyphenolic profiles and antioxidant and antiradical activity of Italian berries from Vaccinium myrtillus L. and Vaccinium uliginosum L. subsp. gaultherioides (Bigelow) S.B. Young. Food Chem. 2016, 204, 176–184. [Google Scholar] [CrossRef] [PubMed]
- Terpinc, P.; Čeh, B.; Poklar Ulrih, N.; Abramovič, H. Studies of the correlation between antioxidant properties and the total phenolic content of different oil cake extracts. Ind. Crops Prod. 2012, 39, 210–217. [Google Scholar] [CrossRef]




| Cultivar | Fertilization (N·ha−1) | Total Phenolics | ABTS Assay | FRAP Assay | DPPH Assay |
|---|---|---|---|---|---|
| (mg·g−1) | (μmol Trolox·g−1) | (μmol Fe2+.g−1) | (μmol Trolox·g−1) | ||
| Albik | 0 | 7.81 ± 0.18 a | 36.5 ± 1.1 b | 86.2 ± 1.6 a | 40.9 ± 1.1 c |
| 80 | 8.14 ± 0.16 a | 40.7 ± 1.2 a | 88.4 ± 0.9 a | 48.3 ± 0.8 a | |
| 120 | 8.16 ± 0.36 a | 38.4 ± 0.8 a | 87.3 ± 1.3 a | 46.7 ± 0.5 b | |
| Rubik | 0 | 8.38 ± 0.19 b | 37.0 ± 1.1 b | 90.6 ± 0.5 b | 41.9 ± 0.3 c |
| 80 | 9.25 ± 0.45 a | 42.7 ± 0.5 a | 95.3 ± 0.4 a | 49.9 ± 0.6 a | |
| 120 | 9.41 ± 0.37 a | 43.4 ± 0.6 a | 95.6 ± 0.4 a | 48.0 ± 0.6 b | |
| Gute Gelbe | 0 | 9.76 ± 0.20 b | 41.5 ± 0.7 b | 110.9 ± 1.2a | 46.2 ± 0.8 a |
| 80 | 7.93 ± 0.09 c | 39.4 ± 0.8 c | 81.9 ± 0.9 c | 44.3 ± 1.0 a | |
| 120 | 9.89 ± 0.20 a | 43.1 ± 0.4 a | 97.8 ± 0.2 b | 44.3 ± 0.9 a |
| Cultivar | Fertilization (N·ha−1) | Compound 1 | Compound 2 | Compound 3 |
|---|---|---|---|---|
| (Chlorogenic Acid) | (mg·g−1) | (mg·g−1) | ||
| (mg·g−1) | ||||
| Albik | 0 | 4.95 ± 0.25 a | 0.75 ± 0.04 a | 0.94 ± 0.05 a |
| 80 | 5.18 ± 0.26 a | 0.73 ± 0.04 a | 0.82 ± 0.05 b | |
| 120 | 5.21 ± 0.27 a | 0.69 ± 0.03 a | 0.82 ± 0.04 b | |
| Rubik | 0 | 5.46 ± 0.27 a | 0.54 ± 0.03 b | 0.97 ± 0.05 a |
| 80 | 5.54 ± 0.28 a | 0.72 ± 0.04 a | 1.03 ± 0.05 a | |
| 120 | 5.72 ± 0.29 a | 0.67 ± 0.03 a | 1.07 ± 0.05 a | |
| Gute Gelbe | 0 | 6.30 ± 0.31 a | 0.76 ± 0.04 a | 1.19 ± 0.06 a |
| 80 | 4.62 ± 0.23 c | 0.71 ± 0.04 a | 0.95 ± 0.04 b | |
| 120 | 5.20 ± 0.26 b | 0.79 ± 0.04 a | 0.95 ± 0.04 b |
© 2020 by the authors. Licensee MDPI, Basel, Switzerland. This article is an open access article distributed under the terms and conditions of the Creative Commons Attribution (CC BY) license (http://creativecommons.org/licenses/by/4.0/).
Share and Cite
Amarowicz, R.; Cwalina-Ambroziak, B.; Janiak, M.A.; Bogucka, B. Effect of N Fertilization on the Content of Phenolic Compounds in Jerusalem Artichoke (Helianthus tuberosus L.) Tubers and Their Antioxidant Capacity. Agronomy 2020, 10, 1215. https://doi.org/10.3390/agronomy10081215
Amarowicz R, Cwalina-Ambroziak B, Janiak MA, Bogucka B. Effect of N Fertilization on the Content of Phenolic Compounds in Jerusalem Artichoke (Helianthus tuberosus L.) Tubers and Their Antioxidant Capacity. Agronomy. 2020; 10(8):1215. https://doi.org/10.3390/agronomy10081215
Chicago/Turabian StyleAmarowicz, Ryszard, Bożena Cwalina-Ambroziak, Michał A. Janiak, and Bożena Bogucka. 2020. "Effect of N Fertilization on the Content of Phenolic Compounds in Jerusalem Artichoke (Helianthus tuberosus L.) Tubers and Their Antioxidant Capacity" Agronomy 10, no. 8: 1215. https://doi.org/10.3390/agronomy10081215
APA StyleAmarowicz, R., Cwalina-Ambroziak, B., Janiak, M. A., & Bogucka, B. (2020). Effect of N Fertilization on the Content of Phenolic Compounds in Jerusalem Artichoke (Helianthus tuberosus L.) Tubers and Their Antioxidant Capacity. Agronomy, 10(8), 1215. https://doi.org/10.3390/agronomy10081215

