Abstract
The drought tolerance and capacity to recover after drought are important for plant growth and yield. In this study, two maize lines with different drought resistance were used to investigate the effects of different drought durations and subsequent re-watering on photosynthetic capacity, electron transfer and energy distribution, and antioxidative defense mechanisms of maize. Under short drought, maize plants decreased stomatal conductance and photosynthetic electron transport rate, and increased NPQ (Non-photochemical quenching) to dissipate excess excitation energy in time and protect the photosynthetic apparatus. With the increased drought duration, NPQ, antioxidase activity, PItotal (total performance index), ∆I/Io, ψEo (quantum yield for electron transport), φEo (efficiency/probability that an electron moves further than QA−), δRo (efficiency/probability with which an electron from the intersystem electron carriers is transferred to reduce end electron acceptors at the PSI acceptor side) and φRo (the quantum yield for the reduction of the end electron acceptors at the PSI acceptor side) were significantly reduced, while Y(NO) (quantum yield of nonregulated energy dissipation) and MDA (malondialdehyde) began to quickly increase. The photosynthetic rate and capacity of photosynthetic electron transport could not recover to the level of the plants subjected to normal water status after re-watering. These findings indicated that long drought damaged the PSI (photosystem I) and PSII (photosystem II) reaction center and decreased the electron transfer efficiency, and this damage could not be recovered by re-watering. Different drought resistance and recovery levels of photosynthetic performance were achieved by different maize lines. Compared with D340, D1798Z had higher NPQ and antioxidase activity, which was able to maintain functionality for longer in response to progressive drought, and it could also recover at more severe drought after re-watering, which indicated its higher tolerance to drought. It was concluded that the capacity of the energy dissipation and antioxidant enzyme system is crucial to mitigate the effects caused by drought, and the capacity to recover after re-watering was dependent on the severity and persistence of drought, adaptability, and recovery differences of the maize lines. The results provide a profound insight to understand the maize functional traits’ responses to drought stresses and re-watering.
1. Introduction
The IPCC (Intergovernmental Panel on Climate Change) expected climate change to result in abnormal changes in precipitation patterns, including increased severity and accelerated frequency of drought [1]. In recent years, an increase in the frequency and intensity of drought has been reported [2], which is one of the most important environmental factors limiting crop productivity worldwide [3]. Especially in arid and semi-arid regions, water availability is insufficient to satisfy plant needs. Therefore, it is important to breed crop cultivar with enhanced drought tolerance [4] and to improve irrigation management for agricultural systems [5]. Both of these require a better understanding of the physiological responses to drought [6].
Drought can severely inhibit the growth and productivity of plants through affecting some key physiological processes, such as the photosynthesis rate [7]. Under drought, plants reduce the water vapor loss through reducing the stomatal opening [8]. However, it also restricts CO2 entry in the leaf, which may lead to the decrease of the photosynthesis rate [9] and a decrease in primary photochemical processes [10], which will inhibit plant growth and even reduce dry matter accumulation and yield [11]. Therefore, the measurement of photosynthetic performance is considered a standard technique for studies on drought stress, especially, the photosynthesis rate (A), stomata conductance (gs), and transpiration (E) have been determined to be the most used techniques to discriminate the plant responses to drought [12,13,14]. The measurement of chlorophyll fluorescence is another standard technique for drought studies. Chlorophyll a fluorescence transient is an important method for studying photosystem II (PSII) function and reaction under drought [15,16], and can be used to analyze light absorption and its conversion to biochemical energy [17,18]. Drought might lead to excessive generation of reactive oxygen species (ROS), which can cause oxidative damage to photosynthetic components [19]. The antioxidant enzymes were crucial for controlling excessive levels of ROS, and some plant growth regulators, such as melatonin, were used to improve the antioxidant enzyme activity and scavenge ROS under drought [20,21].
Maize is an important food and feed crop around the world and is also widely used in industrial products. The effects of drought on maize have been extensively investigated. In general, drought was shown to induce the decrease of photosynthesis in maize leaves, and this decrease was caused by stomatal closure and the decrease of the maximum quantum efficiency of photosystem II [11,14,22,23]. Drought might also lead to a reduction in total biomass and fraction of crop dry matter allocated to the grain [24]. Different gene types of maize have different susceptibility to drought. Compared with the drought-sensitive genotype, the drought-resistant genotype had higher endogenous brassinosteroids content [25] and showed a reduced extent of drought-induced changes in the photosynthetic electron transport chain, and its cyclic electron flow pathway operated for a longer time during drought stress [11]. It is important to have higher drought resistance during drought periods, but drought stress in plants is usually transient, and the capacity to recover from drought is also very important. The research of drought influence on photosynthetic performance of maize had been well documented, but information on the capacity to recover from different drought durations and its relationship with drought-tolerance is still unavailable. Especially, the information on the recovery of PSII still need to be researched. In this study, we investigated the effects of drought duration and re-watering on maize leaf functionality and assessed the capacity of different drought-resistant maize to different drought durations and its recovery capacity. The results can provide a better understanding of the physiological responses to drought and re-watering.
2. Materials and Methods
2.1. Plant Materials and Growth Conditions
The maize lines D1798Z (drought tolerance) and D340 (drought-sensitive) were used. The maize seeds were sown in plastic pots (32 cm deep and 30 cm in diameter) filled with 20 kg soil on 10 May 2017 and 11 May 2018, and pots were put in the field. We grew 2 plants per pot, 10 pots for each treatment. All pots were weighed and watered to the pot capacity every day until drought treatment. When the third leaf of maize was expanded fully, the pots were divided into different drought duration treatments. Treatment 1 control pots were watered daily to pot capacity. Treatment 2 pots were subjected to drought by withholding water for 5 days, followed by re-watering, treatment 3 pots were subjected to drought by withholding water for 10 days, followed by re-watering, and treatment 4 pots were subjected to drought by withholding water for 15 days, followed by re-watering. Every treatment was performed with 3 replications.
2.2. Soil Water Content
After the shoot and root of maize plant was removed from the pot, the soil was weighed (Worignial). Then, the soil was oven-dried at 80 °C for about 1 week and was weighed again for dry weight (Wdry). Then, the soil water content (%, w/w) was calculated by ((Worignial − Wdry)/Wdry) × 100%.
2.3. Gas Exchange Parameters
Gas exchange parameters were measured on fully expanded leaves from 09:00 am to 11:30 am on a clear day using a LI-6400XT (Li-Cor, Lincoln, NE, USA). The temperature, CO2 concentration, and PPFD (Photosynthetic Photon Flux Density) of the leaf chamber were maintained at 25 °C, 380 μmol mol−1, and 1500 μ mol photons m−2 s−1, respectively.
2.4. Slow Chlorophyll Fluorescence Kinetics
The slow Chl fluorescence kinetic was performed as described in Yao et al. by using a PAM-2500 chlorophyll fluorometer (Heinz Walz GmbH, Germany) [17]. After 30 min dark adaptation, the minimal fluorescence value (Fo) was determined. Then, a 0.8 s saturation pulse at 3000 µmol photons m−2 s−1 PPFD was applied for the recording of the maximal fluorescence (Fm). Then, white actinic light (1500 µmol photons m−2 s−1 PAR Photosynthetic Active Radiation) was applied to induce photochemistry and reach steady-state conditions. During the process, the light-adapted maximal fluorescence yield (F’m) and the minimal fluorescence at the light-adapted state (F’o) were recorded. Then, the parameters were calculated by the data acquisition system (PamWin 3, Heinz Walz GmbH, German).
2.5. Chlorophyll a Fluorescence Transient
After 25 min dark adaptation, chlorophyll a fluorescence transient (OJIP) of maize leaves were measured by the plant efficiency analyzer (M-PEA, Hansatech Instruments Ltd., Norfolk, UK) in a solar day from 9:30 am to 11:00 pm. Then, the PSII parameters derived from the OJIP transient were analyzed by M-PEA Plus V1.10 [26,27]: φEo, the quantum yield for electron transport; φPo, the maximal quantum yield of primary photochemistry; ψEo, the efficiency/probability that an electron moves further than QA−; δRo, the efficiency/probability with which an electron from the intersystem electron carriers is transferred to reduce end electron acceptors at the PSI acceptor side; φRo, the quantum yield for reduction in end electron acceptors at the PSI acceptor side; PIABS, the performance index on the absorption basis; PItotal, the total PI, measuring the performance up to the PSI end electron acceptors.
2.6. Measurement of H2O2 Content, MDA Content, and Antioxidant Enzyme Activity
The middle segments of the uppermost and fully expanded leaves were collected after measurement, and immediately stored in liquid nitrogen, and then kept at −80 °C. H2O2 content was measured as described in Reference [28]. Leaf samples (0.2 g) were homogenized in 3 mL of acetone. The homogenate was then centrifuged at 12,000× g for 10 min at 4 °C. The supernatant was collected and added to 0.3 mL of a concentrated hydrochloric acid solution. The mixture was incubated at 25 °C for 10 min, and then centrifuged at 10,000× g for 10 min at 4 °C. The pellet was washed twice with cold acetone, and then 3 mL of 1 mol L−1 H2SO4 was added. The absorbance of the solution was measured at 410 nm (UV-1601, Shimadzu, Japan), and the amount of H2O2 was calculated from a standard curve prepared using known concentrations of H2O2.
Leaf samples were homogenized with 50 mM phosphate buffer (pH 7.8) containing 10 mM Polyvinylpyrrolidone (PVP) and 0.2 mM EDTA (Ethylenediaamine tetra-acetic acid) in an ice bath, and centrifuged at 12,000× g and 4 °C for 20 min. The supernatant was used for MDA (malondialdehyde) and enzyme analysis. The MDA content was assayed by the thiobarbituric acid test [29]. The activity of SOD (superoxide dismutase) was assayed by measuring its ability to inhibit the photochemical reduction of NBT (nitro blue tetrazolium) at 560 nm and was expressed as units per g of fresh weight [30]. The activity of CAT (catalase) was determined by measuring the decrease of H2O2 at 240 nm [31].
2.7. Data Analysis
The experiments were arranged in a completely randomized block design with three replications. Statistical analysis was conducted for each parameter by analysis of variance (ANOVA) in general linear model with 4 treatments and 2 cultivars. The graphs were made using SigmaPlot (Version 12, Systat Software).
3. Results
3.1. Soil Water Content
During the drought treatments, the maize plants were weighed along with the pot to calculate the soil water content. As drought duration increased, the soil water content gradually decreased (Figure 1). Soil water content in drought treatment was significantly lower than that in the well-watered.
Figure 1.
Soil water content under different drought duration. Each parameter is the average of three replicates.
3.2. Plant Growth
DW (dry weight) of maize was measured to indicate plant growth responses to different drought durations and re-watering (Figure 2). The results showed that DW decreased significantly after 10 days of drought treatment, and the decline of DW became greater with the increase of drought duration. After 10 and 15 days of drought treatment, DW had decreased by 21.52% and 43.12% respectively, for D340, and 15.06% and 40.31% respectively, for D1798Z. After re-watering, plant growth recovered gradually. In T2, DW of both maize lines could recover to control values. But, in T3 and T4, DW had decreased by 25.02% and 67.92% respectively, for D340, and 11.14% and 43.28% respectively, for D1798Z after re-watering.
Figure 2.
Effect of different drought durations and re-watering on dry weight (DW) of two maize lines. Each parameter is the average of three replicates.
3.3. Gas Exchange
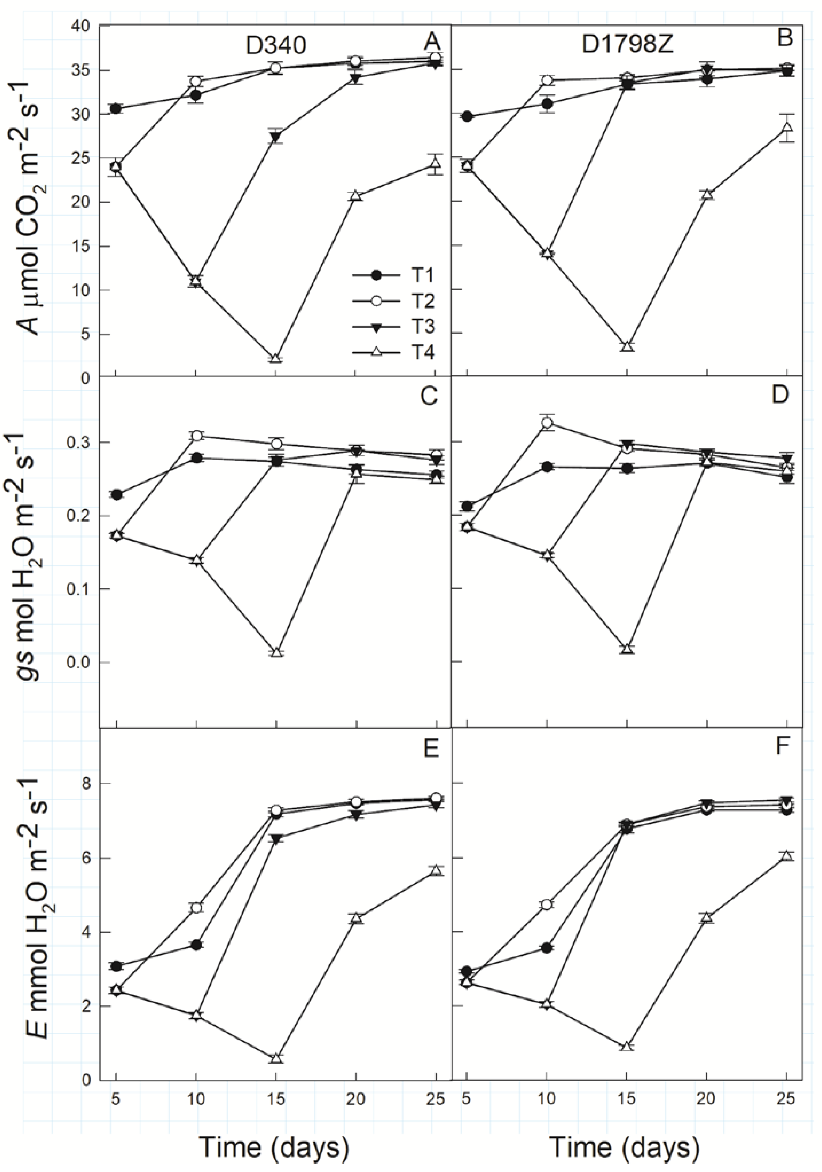
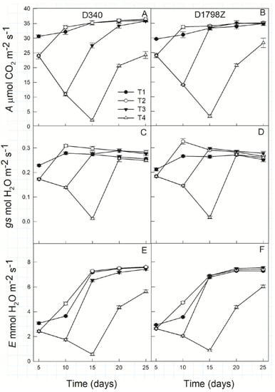
The gas exchange parameters were measured to indicate stomatal responses to different drought durations and re-watering (Figure 3). The A (photosynthetic rate), gs (stomatal conductance), and E (transpiration rate) in D340 and D1798Z decreased progressively with the increase of drought duration, but, D1798Z was able to maintain functionality for longer in response to progressive drought. After re-watering, photosynthetic capacity recovered gradually. In T2, the A, gs, and E of both maize lines could recover to control values, sometimes, the values were even higher than control, which showed compensation effects. The A, gs, and E of D1798Z in T3 could recover to control after re-watering, but other treatments could not recover.
Figure 3.
Effect of different drought durations and re-watering on A, Photosynthetic rate (A,B), gs, Stomatal conductance (C,D) and E, Transpiration rate (E,F) of two maize lines. Each parameter is the average of three replicates.
3.4. Chlorophyll Fluorescence
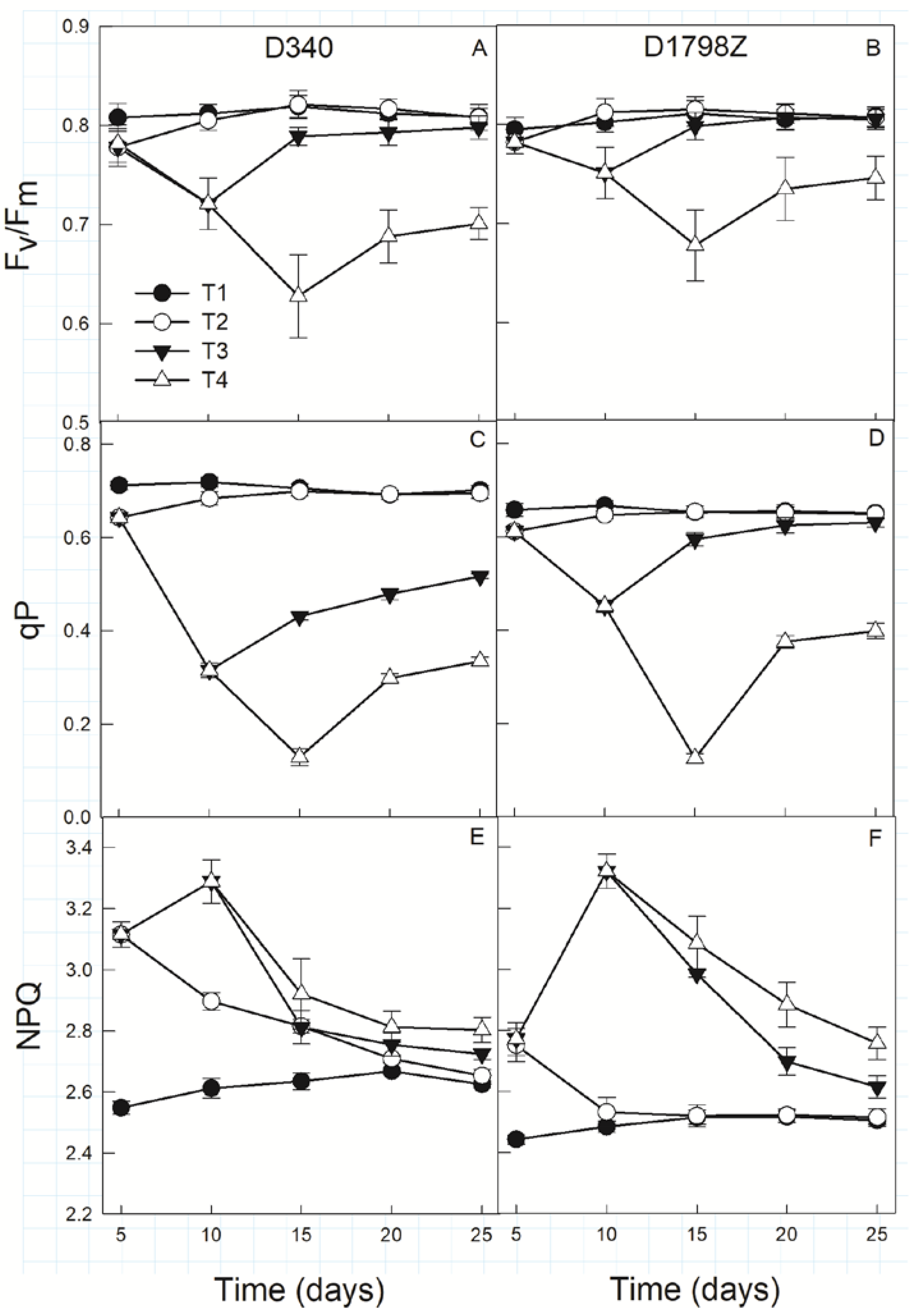
The slow kinetics of chl fluorescence was used to understand the PSII responses to different drought durations and re-watering (Figure 4). The Fv/Fm (maximum quantum efficiency of PSII) and qP (photochemical quenching) showed a similar trend during drought and re-watering. The Fv/Fm and qP decreased significantly after drought treatment, and the decline of Fv/Fm and qP became greater with the increase of drought duration, but to a greater extent in D340. After re-watering, the Fv/Fm and qP recovered gradually. In T2, the Fv/Fm and qP of both maize lines could recover to control values. The Fv/Fm and qP of D1798Z in T3 could recover to control after re-watering, but other treatments could not recover. The NPQ (non-photochemical quenching) continued to increase after drought treatment and reached its maximum value on the tenth day of drought, but on further continuing the drought experiment, it decreased (Figure 4E,F). In T2 and T3, the NPQ of D1798Z was higher than that of D340. After re-watering, the NPQ decreased gradually.
Figure 4.
Effect of different drought durations and re-watering on Fv/Fm, maximum quantum efficiency of PSII (photosystem II) (A,B), qP, photochemical quenching (C,D), and NPQ, non-photochemical quenching (E,F) of two maize lines. Each parameter is the average of three replicates.
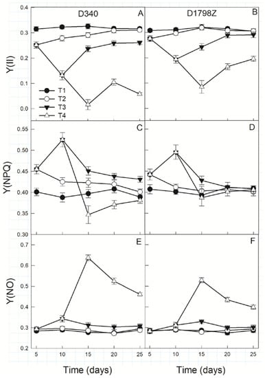
The Y(II) (photochemical quantum efficiency of PSII) decreased significantly after drought treatment, and the decline of Y(II) became greater with the increase of drought duration, but to a greater extent in D340. After re-watering, the Y(II) gradually recovered. In T2, the Y(II) of both maize lines could recover to control values. The Y(II) of D1798Z in T3 could recover to control after re-watering, but other treatments could not recover. In T2 and T3, the decline of Y(II) was accompanied by an increase in Y(NPQ) and Y(NO), but in T4, the decline of Y(II) was accompanied by an increase in Y(NPQ) and a decrease in Y(NO) (Figure 5). The Y(NPQ) (quantum yield of regulated energy dissipation) continued to increase after drought treatment and reached its maximum value on the tenth day of drought, but on further continuing the drought experiment, it decreased (Figure 5E,F). The Y(NPQ) of both maize lines in T3 were lower than that in T1, and Y(NPQ) of D1798Z was higher than that of D340. After re-watering, the NPQ decreased gradually. The Y(NO) (quantum yield of non-regulated energy dissipation) increased significantly after drought treatment, and the increase of Y(NO) became greater with the increase of drought duration, but to a greater extent in D340. After re-watering, the Y(NO) gradually recovered. The changes in Y(NPQ) and Y(NO) were much more pronounced in D340 than that in D1798Z.
Figure 5.
Effect of different drought durations and re-watering on Y(II), photochemical quantum efficiency of PSII (A,B), Y(NPQ), quantum yield of regulated energy dissipation (C,D) and Y(NO), quantum yield of non-regulated energy dissipation (E,F) of two maize lines. Each parameter is the average of three replicates.
3.5. Fluorescence Parameters from OJIP Transients
The fluorescence parameters from OJIP transients were measured to indicate photosynthetic electron transport chain responses to different drought durations and re-watering (Figure 6). The ψEo (efficiency/probability that an electron moves further than QA−), φEo (quantum yield for electron transport), δRo (efficiency/probability with which an electron from the intersystem electron carriers is transferred to reduce end electron acceptors at the PSI acceptor side), and φRo (the quantum yield for the reduction of the end electron acceptors at the PSI acceptor side) in D340 and D1798Z showed a similar trend during drought and re-watering. The ψEo, φEo, δRo, and φRo decreased progressively with the increase of drought duration, but to a greater extent in D340, and D1798Z was able to maintain functionality for longer in response to progressive drought. After re-watering, the ψEo, φEo, δRo, and φRo of both maize lines in T2 could recover to control values, sometimes, the values were even higher than control, which showed compensation effects. The ψEo, φEo, δRo, and φRo of D1798Z in T3 could recover to control after re-watering, but other treatments could not recover. The recovery capability of D1798Z was higher than that of D340.
Figure 6.
Effect of different drought durations and re-watering on the photosynthetic electron transport chain. ψEo, efficiency/probability that an electron moves further than QA− (A,B), φEo, quantum yield for electron transport (C,D), δRo, efficiency/probability with which an electron from the intersystem electron carriers is transferred to reduce end electron acceptors at the PSI acceptor side (E,F) and φRo, the quantum yield for the reduction of the end electron acceptors at the PSI acceptor side (G,H). Each parameter is the average of three replicates.
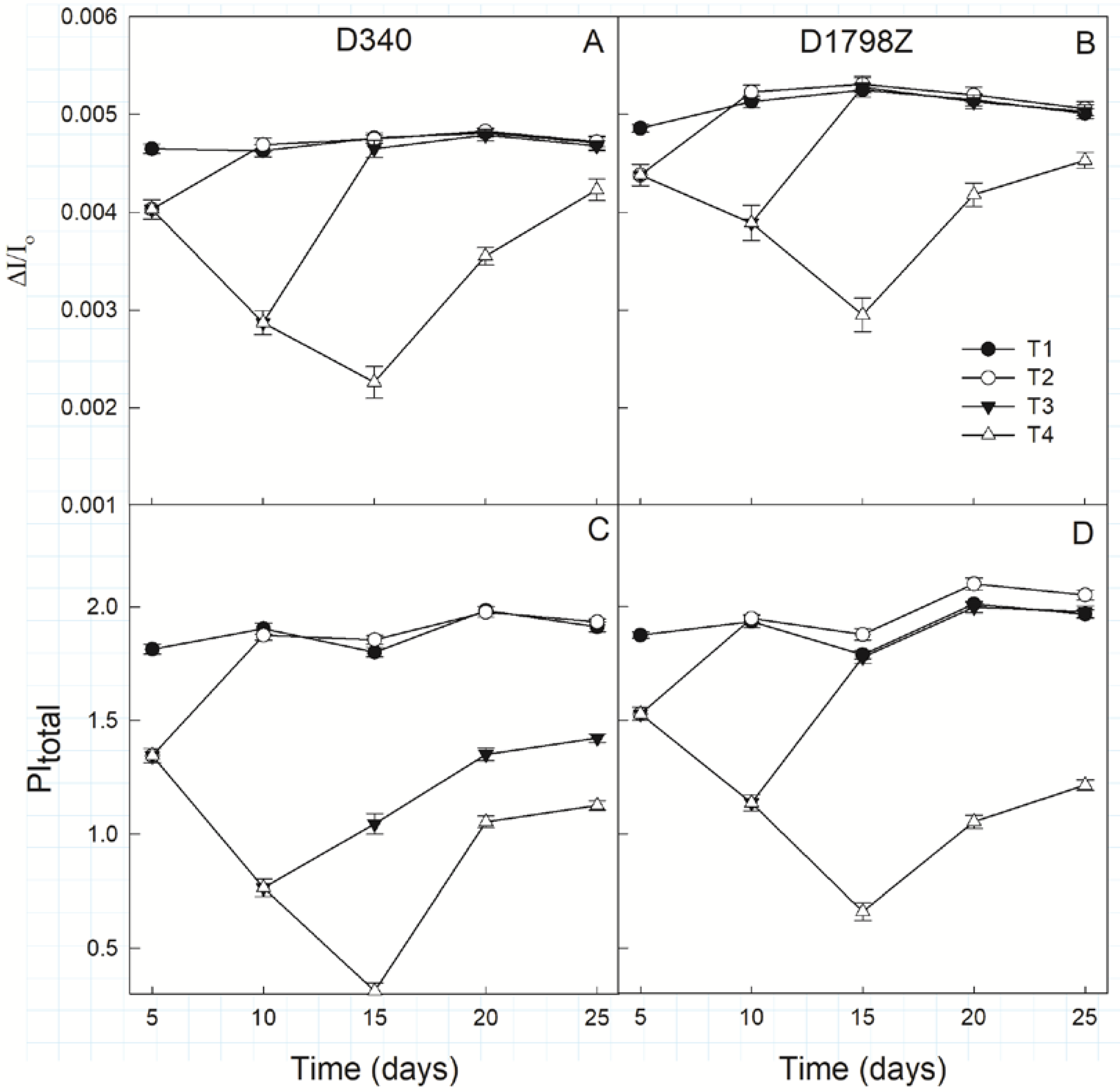
The ΔI/Io and PItotal (total performance index) in D340 and D1798Z showed a similar trend during drought and re-watering (Figure 7). The ΔI/Io and PItotal decreased significantly after drought treatment, and the decline of Y(II) became greater with the increase of drought duration, but to a greater extent in D340. In T2 and T3, the ΔI/Io of both maize lines could gradually recover to control values after re-watering, but it could not recover in T4. The PItotal of D340 in T2 and D1798Z in T2 and T3 could recover to control after re-watering, but other treatments could not recover.
Figure 7.
Effect of different drought durations and re-watering on ΔI/Io, Maximum photochemical activity of photosystem I (A,B) and PItotal, the total PI (C,D) of two maize lines. Each parameter is the average of three replicates.
3.6. ROS Production and Scavenging
The H2O2 and MDA content in D340 and D1798Z showed a similar trend during drought and re-watering (Figure 8). The H2O2 and MDA content increased upon drought stress, compared with that observed in the control plant. The H2O2 and MDA content of D340 after 10 days of drought was higher than that in D1798Z, and the gap became higher with the increase of drought duration. The H2O2 and MDA content decreased gradually after re-watering, and the H2O2 and MDA content of D340 in T2 and D1798Z in T2 and T3 could recover to control after re-watering, but other treatments could not recover.
Figure 8.
Effect of different drought durations and re-watering on oxidative indicators of two maize lines. HO (A,B) and MDA, Malondialdehyde (C,D) Each parameter is the average of three replicates.
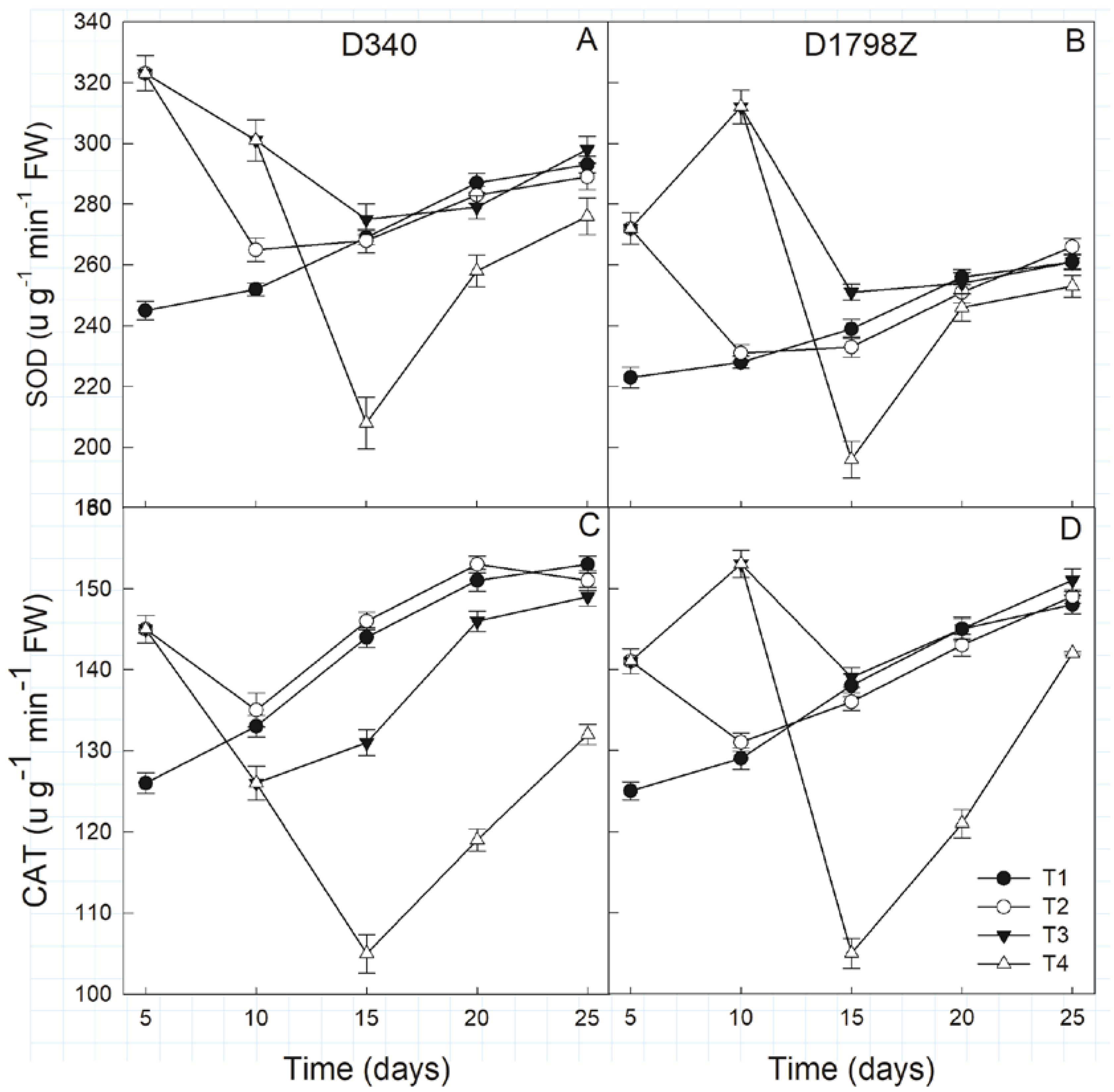
The activity of SOD and CAT were measured to understand the activity of antioxidant enzymes responses to different drought durations and re-watering (Figure 9). The activity of SOD and CAT in D340 significantly increased after 5 days of drought, and then began to decrease with the increase of drought duration, while the activity of SOD and CAT in D1798Z continued to increase with the increase of drought duration, and reached its maximum after 10 days of drought, and then decreased rapidly. After re-watering, the activity of SOD and CAT recovered gradually, and the activity of SOD and CAT of D340 in T2 and D1798Z in T2 and T3 could recover to control, but other treatments could not recover.
Figure 9.
Effect of different drought durations and re-watering on the activity of antioxidant enzymes of two maize lines. SOD, Superoxide dismutase (A,B) and CAT, Catalase (C,D). Each parameter is the average of three replicates.
4. Discussion
Drought is one of the major factors limiting maize growth and productivity, especially in arid and semi-arid regions. The effect of drought on maize has been studied extensively, but information on the capacity to recover from different drought durations is still relatively scant. In this study, we investigated the effects of drought duration and re-watering on maize leaf functionality and assessed the capacity of different drought-resistant maize to different drought durations and its recovery capacity.
4.1. The Response of Leaf Functionality to Different Drought Duration
Plant dry weight can reflect the plant growth condition and can be considered as an indicator of drought degree. In this study, the DW of D1798Z and D340 declined significantly in the drought treatment, and the decline became greater with the increase of drought duration. However, in the same extent of drought treatment, the decline of DW in D340 was greater than that in D1798Z (Figure 2). This result suggested that D1798Z is more tolerant to drought than D340. Investigating the effect of drought on the photosynthetic capacity and photosynthetic electron transport in these two maize lines with different resistance to drought can help reveal the differences between genotypes in maize in the photosynthetic response to drought.
Insufficient photosynthesis is the main cause of crop productivity and yield decline under drought, and the decrease of photosynthetic capacity can be caused by stomatal and non-stomatal factors [32]. As an adaptation to drought, plants adjust the relationships among water, transpiration, and photosynthesis through changing the stomatal opening in order to maximize CO2 assimilation and prevent water content loss, and thereby reduce levels of tissue damage [33]. However, this restricts CO2 entry in the leaf, progressively decreasing the photosynthetic capacity [34]. In the present study, the A, gs, and E were influenced by variety and drought duration. The A, gs, and E in D340 and D1798Z decreased progressively with the increase of drought duration, and the decrease of A, gs, and E of D340 were higher than that of D1798Z. This indicated that D340 was more sensitive to drought and showed a greater reduction in photosynthetic rate under drought stress, and D1798Z was able to maintain photosynthetic functionality for longer in response to progressive drought.
Under drought, the decrease of photosynthetic capacity could be caused by stomatal factors, but also could be caused by non-stomatal factors, such as electron transport. Therefore, the effects of drought on the regulation of electron transport were studied. Fluorescence measurements demonstrated that Fv/Fm and qP decreased significantly, and NPQ increased significantly, after drought. These results suggested that drought significantly reduced the absorbed energy of PSII flux to photochemical processes, and this part of energy converted into non-photochemical quenching. This was beneficial for dissipating excess excitation energy in time and avoiding photo-damage under drought. The response of NPQ to different drought durations were different. NPQ continued to increase after drought treatment and reached its maximum value on the tenth day of drought, but on further continuing the drought experiment, it decreased (Figure 4E,F). Under long-term drought, NPQ decreased due to slowing of downregulation of energy dissipation [35].
The fate of absorbed light energy was shown in Figure 5. The substantial decrease of Y(II) with the increase of drought duration suggested that drought significantly decreased the photochemical efficiency of PSII. The response of Y(NPQ) was the same as NPQ. Y(NPQ) is an important indicator to reflect photo-protection [17], and higher Y(NPQ) under drought implied that there was still photochemical energy conversion or protective regulatory mechanisms to dissipate the light energy absorbed. Y(NO) is an important indicator of photo-damage. There was no significant difference between control and five days of drought, and the SOD and CAT activity were significantly increased. This suggested that plants could protect themselves by increasing dissipated light energy and decreasing the efficiency of photochemical reactions of photosynthesis [13], while the antioxidative activity was increased to scavenge ROS and avoid membrane injury under short-term drought. Y(NO) increased significantly after 10 days of drought, and the increase of Y(NO) became greater with the increase of drought duration. The decrease of Y(NPQ) in 15 days of drought and the increase of Y(NO) suggested that long-term drought led to the damage of the xanthophyll cycle-related active energy dissipation, and the passive energy dissipation was induced [11]. Under the same drought duration, compared with D340, D1798Z had higher Y(II) and Y(NPQ), and lower Y(NO). These results suggested that D1798Z showed a reduced extent of drought-induced changes in the photosynthetic electron transport chain.
The JIP-test based on the OJIP transient has been developed to reveal detailed information on the photosynthetic process [26,27]. The ψEo, φEo, δRo, φRo, and PItotal of two maize lines decreased progressively with the increase of drought duration (Figure 6), and these results suggested that drought reduced the whole electron transfer chain efficiency of the two maize lines from the initial photochemical absorption of the antenna complex to the reduction photochemical activity of the PSI end receptor. The decrease of ΔI/Io indicated that the photochemical activity of PSI was also decreased under drought. Under the same drought duration, D1798Z had higher ψEo, φEo, δRo, φRo, PItotal, and ΔI/Io than D340, and these results suggested that D1798Z had higher PSII and PSI activity under drought.
Oxygen generated in the chloroplasts during photosynthesis can accept electrons passing through the photosystem, thus forming reactive oxygen species (ROS), and drought can lead to the production and accumulation of ROS, which can damage the photosystem [36]. This study showed that drought significantly induced the accumulation of ROS, particularly under long-term drought, and ROS could be involved in lipid peroxidation, which in turn results in membrane injury [13]. The levels of lipid peroxidation were increased with the increasing of ROS accumulation under drought. The accumulation of H2O2 also enhanced photo-inhibition of PSII and PSI (Figure 7) and inhibited or even damaged the PSII reaction centers [28]. The ROS molecules can be scavenged by various antioxidative defense mechanisms under common conditions [37]. This study showed that the activity of SOD and CAT increased first and then decreased with the increase of drought duration. These results suggested that the antioxidative defense mechanisms could scavenge ROS to avoid membrane injury under short-term drought, but the antioxidative defense mechanisms became weaker with the increase of drought duration. Under the same drought duration, compared with D340, D1798Z had higher SOD and CAT, and lower H2O2 and MDA contents, and these results suggested that D1798Z had higher antioxidative defense mechanisms under drought. The results of the present study suggest that D1798Z was less sensitive to a reduction of leaf functionality to different drought durations.
4.2. The Recovery of Leaf Functionality to Different Drought Duration
It is important to have higher drought resistance during drought periods, but drought stress in plants is usually transient, and the capacity to recover from drought is also very important. Here, we assessed the capacity of two maize inbred lines to recover after different drought durations. After the plants were re-watered, the photosynthetic-related parameters such as A, gs, E, Fv/Fm, and qP gradually increased (Figure 3 and Figure 4). As mentioned earlier, when the plants of D340 and D1798Z in T2 were re-watered, the photosynthetic parameters of leaves rapidly increased and could recover to the control level, and sometimes the values were even higher than control, which showed compensation effects. These results indicated that the basic mechanism of photosynthetic biochemistry and photochemistry is not impaired by short-term drought, and the reduction of net CO2 uptake was a result of stomatal closure. The photosynthetic parameters, PSII and PSI activity, of D340 and D1798Z in T4 recovered slowly after re-watering. These results suggested that the long-term drought constrained photosynthetic capacity, and that long-term drought might make non-stomatal factors play a dominant role in photosynthesis. The recovery of photosynthetic parameters of D340 and D1798Z in T3 were different after re-watering, and D1798Z had a higher rate of recovery. This indicated the capacity of D1798Z to efficiently withstand and survive the longer drought stress. Biomass production showed the same trends as the photosynthetic parameters. Compared to D1798Z, D340 plants were more sensitive to water deficit, and showed slower recovery of photosynthetic activity, which was the major cause of reduction in biomass. All these results suggested that the degree and rate of recovery of re-watering might rely on the duration and severity of pre-drought conditions [38,39,40], and different maize lines had different recovery capacity after re-watering.
5. Conclusions
The adaptation strategies of different maize lines to different drought durations and re-watering were discussed in this study. Under short drought, stomatal limitation was a major factor for photosynthetic reduction, and the photosynthetic performance could recover rapidly after re-watering. With the increase of drought duration, the activities of PSI and PSII and the capacity of electron transfer gradually decreased, and non-stomatal limitation became the main factor for photosynthetic reduction, which might lead to photo-damage. The photosynthetic rate and capacity of photosynthetic electron transport could not recover to the level of the plants subjected to normal water status after re-watering. These results suggested that the recovery capacity might rely on the duration and severity of pre-drought after re-watering. Different drought resistance and recovery levels of photosynthetic performance were achieved by different maize lines. D1798Z was able to maintain functionality for longer in response to progressive drought and could recover at more severe drought after re-watering, which indicated its higher tolerance to drought than the sensitive D340.
Author Contributions
Conceptualization, Y.J. and Y.W.; Data curation, Y.J. and W.X.; Funding acquisition, Y.J. and W.X.; Investigation, Y.J., W.X., Y.Y., X.W., X.L. and G.L.; Resources, Y.Y., X.W., X.L., G.W. and G.L.; Writing—original draft, Y.J.; Writing—review and editing, Y.J., W.X. and Y.W. All authors have read and agreed to the published version of the manuscript.
Funding
This research was funded by the National Key Research and Development Program of China: 2017YFD0300700, Natural Science Foundation of Liaoning Province: 20170520432 and National Natural Science Fund: 31601262.
Conflicts of Interest
The authors declare no conflict of interest.
References
- Field, C.D.; Barros, V.R.; Dokken, D.J.; Mach, K.J.; Mastrandrea, M.D.; Bilir, T.E.; Chatterjee, M.; Ebi, K.L.; Estrada, Y.O.; Genova, R.C.; et al. Climate Change 2014: Impacts, Adaptation, and Vulnerability, Part A. Contribution of Working Group II to the Fifth Assessment Report of the Intergovernmental Panel on Climate Change; Cambridge University Press: Cambridge, UK, 2014; pp. 1–1132. [Google Scholar]
- Mancosu, N.; Snyder, R.L.; Kyriakakis, G.; Spano, D. Water Scarcity and Future Challenges for Food Production. Water 2015, 7, 975–992. [Google Scholar] [CrossRef]
- Hussain, M.; Farooq, S.; Hasan, W.; Ul-Allah, S.; Tanveer, M.; Farooq, M.; Nawaz, A. Drought stress in sunflower: Physiological effects and its management through breeding and agronomic alternatives. Agric. Water Manag. 2018, 201, 152–166. [Google Scholar] [CrossRef]
- Ogbaga, C.; Stepien, P.; Johnson, G. Sorghum (Sorghum bicolor) varieties adopt strongly contrasting strategies in response to drought. Physiol. Plant. 2014, 152, 389–401. [Google Scholar] [CrossRef] [PubMed]
- Li, X.; Wilkinson, S.; Shen, J.; Forde, B.; Davies, W.J. Stomatal and growth responses to hydraulic and chemical changes induced by progressive soil drying. J. Exp. Bot. 2017, 68, 5883–5894. [Google Scholar] [CrossRef] [PubMed]
- Tuberosa, R.; Salvi, S.; Giuliani, S.; Sanguineti, M.C.; Bellotti, M.; Conti, S.; Landi, P. Genome-wide Approaches to Investigate and Improve Maize Response to Drought. Crop. Sci. 2007, 47, 120–141. [Google Scholar] [CrossRef]
- Neto, M.L.; Cerqueira, J.V.A.; Cunha, J.R.; Ribeiro, R.V.; Silveira, J.A.G. Cyclic electron flow, NPQ and photorespiration are crucial for the establishment of young plants of Ricinus communisandJatropha curcasexposed to drought. Plant Boil. 2017, 19, 650–659. [Google Scholar] [CrossRef]
- Xu, Z.; Zhou, G. Responses of leaf stomatal density to water status and its relationship with photosynthesis in a grass. J. Exp. Bot. 2008, 59, 3317–3325. [Google Scholar] [CrossRef]
- Lawson, T.; Blatt, M.R. Stomatal Size, Speed, and Responsiveness Impact on Photosynthesis and Water Use Efficiency1. Plant Physiol. 2014, 164, 1556–1570. [Google Scholar] [CrossRef]
- Goltsev, V.; Zaharieva, I.; Chernev, P.; Kouzmanova, M.; Kalaji, H.M.; Yordanov, I.; Krasteva, V.; Aleksandrov, V.; Stefanov, D.; Allakhverdiev, S.I.; et al. Drought-induced modifications of photosynthetic electron transport in intact leaves: Analysis and use of neural networks as a tool for a rapid non-invasive estimation. Biochim. Biophys. Acta (BBA) Bioenerg. 2012, 1817, 1490–1498. [Google Scholar] [CrossRef]
- Zhou, R.; Kan, X.; Chen, J.; Hua, H.; Li, Y.; Ren, J.; Feng, K.; Liu, H.; Deng, D.; Xu, C. Drought-induced changes in photosynthetic electron transport in maize probed by prompt fluorescence, delayed fluorescence, P700 and cyclic electron flow signals. Environ. Exp. Bot. 2019, 158, 51–62. [Google Scholar] [CrossRef]
- Osakabe, Y.; Osakabe, K.; Shinozaki, K.; Tran, L.-S.P. Response of plants to water stress. Front. Plant Sci. 2014, 5, 86. [Google Scholar] [CrossRef] [PubMed]
- Chen, Y.-E.; Liu, W.-J.; Su, Y.-Q.; Cui, J.-M.; Zhang, Z.-W.; Yuan, M.; Zhang, H.-Y.; Yuan, S. Different response of photosystem II to short and long-term drought stress inArabidopsis thaliana. Physiol. Plant. 2016, 158, 225–235. [Google Scholar] [CrossRef] [PubMed]
- Sousa, C.A.F.; De Paiva, D.S.; Casari, R.A.D.C.N.; De Oliveira, N.G.; Molinari, H.B.C.; Kobayashi, A.K.; Magalhães, P.C.; Gomide, R.L.; Souza, M.T., Jr. A procedure for maize genotypes discrimination to drought by chlorophyll fluorescence imaging rapid light curves. Plant Methods 2017, 13, 61. [Google Scholar] [CrossRef]
- Oukarroum, A.; Schansker, G.; Strasser, R.J. Drought stress effects on photosystem I content and photosystem II thermotolerance analyzed using Chlafluorescence kinetics in barley varieties differing in their drought tolerance. Physiol. Plant. 2009, 137, 188–199. [Google Scholar] [CrossRef] [PubMed]
- Kalaji, H.M.; Kalaji, H.M.; Oukarroum, A.; Brestič, M.; Zivcak, M.; Samborska, I.A.; Cetner, M.D.; Łukasik, I.; Goltsev, V.; Ladle, R.J. Chlorophyll a fluorescence as a tool to monitor physiological status of plants under abiotic stress conditions. Acta Physiol. Plant. 2016, 38, 102. [Google Scholar] [CrossRef]
- Yao, X.; Zhou, H.; Zhu, Q.; Li, C.; Zhang, H.; Wu, J.-J.; Xie, F. Photosynthetic Response of Soybean Leaf to Wide Light-Fluctuation in Maize-Soybean Intercropping System. Front. Plant Sci. 2017, 8, 8. [Google Scholar] [CrossRef]
- Kalaji, H.M.; Račková, L.; Paganová, V.; Swoczyna, T.; Rusinowski, S.; Sitko, K. Can chlorophyll-a fluorescence parameters be used as bio-indicators to distinguish between drought and salinity stress in Tilia cordata Mill? Environ. Exp. Bot. 2018, 152, 149–157. [Google Scholar] [CrossRef]
- Lima, C.S.; Ferreira-Silva, S.L.; Carvalho, F.E.L.; Neto, M.L.; Aragão, R.M.; Silva, E.N.; Sousa, R.M.J.; Silveira, J.A.G. Antioxidant protection and PSII regulation mitigate photo-oxidative stress induced by drought followed by high light in cashew plants. Environ. Exp. Bot. 2018, 149, 59–69. [Google Scholar] [CrossRef]
- Arnao, M.B.; Hernández-Ruiz, J. Is Phytomelatonin a New Plant Hormone? Agronomy 2020, 10, 95. [Google Scholar] [CrossRef]
- Arnao, M.B.; Hernández-Ruiz, J. Melatonin: A New Plant Hormone and/or a Plant Master Regulator? Trends Plant Sci. 2019, 24, 38–48. [Google Scholar] [CrossRef]
- Zhang, R.H.; Zhang, X.H.; Camberato, J.J.; Xue, J.Q. Photosynthetic performance of maize hybrids to drought stress. Russ. J. Plant Physiol. 2015, 62, 788–796. [Google Scholar] [CrossRef]
- Zong, Y.Z.; Wang, W.F.; Xue, Q.; Shangguan, Z. Interactive effects of elevated CO2 and drought on photosynthetic capacity and PSII performance in maize. Photosynthetica 2014, 52, 63–70. [Google Scholar] [CrossRef]
- Vitale, L.; Di Tommasi, P.; Arena, C.; Fierro, A.; De Santo, A.V.; Magliulo, V. Effects of water stress on gas exchange of field grown Zea mays L. in Southern Italy: An analysis at canopy and leaf level. Acta Physiol. Plant. 2007, 29, 317–326. [Google Scholar] [CrossRef]
- Tůmová, L.; Tarkowská, D.; Rehorova, K.; Marková, H.; Kočová, M.; Rothová, O.; Čečetka, P.; Holá, D. Drought-tolerant and drought-sensitive genotypes of maize (Zea mays L.) differ in contents of endogenous brassinosteroids and their drought-induced changes. PLoS ONE 2018, 13, e0197870. [Google Scholar] [CrossRef]
- Strasser, R.J.; Tsimilli-Michael, M.; Srivastava, A. Analysis of the Chlorophyll a Fluorescence Transient. Plant Cell Monographs 2004, 19, 321–362. [Google Scholar]
- Strasser, R.J.; Tsimilli-Michael, M.; Qiang, S.; Goltsev, V. Simultaneous in vivo recording of prompt and delayed fluorescence and 820-nm reflection changes during drying and after rehydration of the resurrection plant Haberlea rhodopensis. Biochim. Biophys. Acta (BBA) Gen. Subj. 2010, 1797, 1313–1326. [Google Scholar] [CrossRef]
- Guo, Y.Y.; Tian, S.S.; Liu, S.S.; Wang, W.Q.; Sui, N. Energy dissipation and antioxidant enzyme system protect photosystem II of sweet sorghum under drought stress. Photosynthetica 2017, 56, 861–872. [Google Scholar] [CrossRef]
- Spicher, L.; Glauser, G.; Kessler, F. Lipid Antioxidant and Galactolipid Remodeling under Temperature Stress in Tomato Plants. Front. Plant Sci. 2016, 7, 726. [Google Scholar] [CrossRef]
- Samantary, S. Biochemical responses of Cr-tolerant and Cr-sensitive mung bean cultivars grown on varying levels of chromium. Chemosphere 2002, 47, 1065–1072. [Google Scholar] [CrossRef]
- Aebi, H. Catalase in vitro. Methods Enzym. 1984, 105, 121–126. [Google Scholar]
- Sengupta, D.; Guha, A.; Reddy, A.R. Interdependence of plant water status with photosynthetic performance and root defense responses in Vigna radiata (L.) Wilczek under progressive drought stress and recovery. J. Photochem. Photobiol. B Boil. 2013, 127, 170–181. [Google Scholar] [CrossRef] [PubMed]
- Li, Y.; Li, H.; Li, Y.; Zhang, S. Improving water-use efficiency by decreasing stomatal conductance and transpiration rate to maintain higher ear photosynthetic rate in drought-resistant wheat. Crop. J. 2017, 5, 231–239. [Google Scholar] [CrossRef]
- Ashraf, M.; Harris, P.J.C. Photosynthesis under stressful environments: An overview. Photosynthetica 2013, 51, 163–190. [Google Scholar] [CrossRef]
- Singh, R.; Naskar, J.; Pathre, U.V.; Shirke, P.A. Reflectance and Cyclic Electron Flow as an Indicator of Drought Stress in Cotton (Gossypium hirsutum). Photochem. Photobiol. 2013, 90, 544–551. [Google Scholar] [CrossRef]
- Gill, S.; Tuteja, N. Reactive oxygen species and antioxidant machinery in abiotic stress tolerance in crop plants. Plant Physiol. Biochem. 2010, 48, 909–930. [Google Scholar] [CrossRef]
- Rangani, J.; Panda, A.; Patel, M.; Parida, A.K. Regulation of ROS through proficient modulations of antioxidative defense system maintains the structural and functional integrity of photosynthetic apparatus and confers drought tolerance in the facultative halophyte Salvadora persica L. J. Photochem. Photobiol. B Boil. 2018, 189, 214–233. [Google Scholar] [CrossRef]
- Xu, Z.; Zhou, G.; Shimizu, H. Plant responses to drought and rewatering. Plant Signal. Behav. 2010, 5, 649–654. [Google Scholar] [CrossRef]
- Abid, M.; Tian, Z.; Ata-Ul-Karim, S.T.; Wang, F.; Liu, Y.; Zahoor, R.; Jiang, N.; Dai, T. Adaptation to and recovery from drought stress at vegetative stages in wheat (Triticum aestivum) cultivars. Funct. Plant Boil. 2016, 43, 1159. [Google Scholar] [CrossRef]
- Song, H.; Li, Y.; Zhou, L.; Xu, Z.; Zhou, G. Maize leaf functional responses to drought episode and rewatering. Agric. For. Meteorol. 2018, 249, 57–70. [Google Scholar] [CrossRef]
© 2020 by the authors. Licensee MDPI, Basel, Switzerland. This article is an open access article distributed under the terms and conditions of the Creative Commons Attribution (CC BY) license (http://creativecommons.org/licenses/by/4.0/).








