Soil Erosion by Wind and Dust Emission in Semi-Arid Soils Due to Agricultural Activities
Abstract
1. Introduction
2. Materials and Methods
2.1. The Experimental Soils
2.2. Soil Analyses
2.3. Wind Tunnel Experiments
3. Results
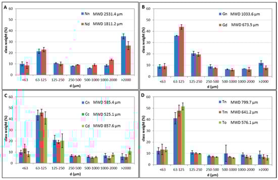
3.1. The Impact of Land Uses
3.2. The Impact of Short-Term Topsoil Disturbance
4. Conclusions
Funding
Conflicts of Interest
References
- Katra, I.; Lancaster, N. Surface-sediment dynamics in a dust source from spaceborne multispectral thermal infrared data. Remote. Sens. Environ. 2008, 112, 3212–3221. [Google Scholar] [CrossRef]
- Ginoux, P.; Prospero, J.M.; Gill, T.E.; Hsu, N.C.; Zhao, M. Global-scale attribution of anthropogenic and natural dust sources and their emission rates based on MODIS Deep Blue aerosol products. Rev. Geophys. 2012, 50, RG3005. [Google Scholar] [CrossRef]
- Katra, I.; Gross, A.; Swet, N.; Tanner, S.; Krasnov, H.; Angert, A. Substantial dust loss of bioavailable phosphorus from agricultural soils. Sci. Rep. 2016, 6, 24736. [Google Scholar] [CrossRef] [PubMed]
- Kok, J.F.; Ridley, D.A.; Zhou, Q.; Miller, R.L.; Zhao, C.; Heald, C.L.; Ward, D.S.; Albani, S.; Haustein, K. Smaller desert dust cooling effect estimated from analysis of dust size and abundance. Nat. Geosci. 2017. [Google Scholar] [CrossRef]
- Yitshak-Sade, M.; Novack, V.; Katra, I.; Gorodischer, R.; Tal, A.; Novack, L. Non-anthropogenic dust exposure and asthma medications purchase in children. Eur. Respir. J. 2014. [Google Scholar] [CrossRef] [PubMed]
- Krasnov, H.; Katra, I.; Novack, V.; Vodonos, A.; Friger, M. Increased indoor PM concentrations controlled by atmospheric dust events and urban factors. Build. Environ. 2015. [Google Scholar] [CrossRef]
- Krasnov, H.; Katra, I.; Friger, M. Increase in dust storm related PM10 concentrations: A time series analysis of 2001–2015. Environ. Pollut. 2016, 213, 36–42. [Google Scholar] [CrossRef]
- Kok, J.F. A scaling theory for the size distribution of emitted dust aerosols suggests climate models underestimate the size of the global dust cycle. Proc. Natl. Acad. Sci. (PNAS) 2011, 108, 1016–1021. [Google Scholar] [CrossRef]
- Ben-Hur, M.; Agassi, M. Predicting interrill erodibility factor from measured infiltration rate. Water Resour. Res. 1997, 33, 2409–2415. [Google Scholar] [CrossRef]
- Bagnold, R.A. The Physics of Blown Sand and Desert Dunes; Dover Publications: Methuen, MA, USA, 1941. [Google Scholar]
- Swet, N.; Katra, I. Reduction in soil aggregation in response to dust emission processes. Geomorphology 2016, 268, 177–183. [Google Scholar] [CrossRef]
- Amézketa, E. Soil aggregate stability: A review. J. Sustain. Agric. 1999, 14, 83–151. [Google Scholar] [CrossRef]
- Ben-Hur, M.; Yolcu, G.; Uysal, H.; Lado, M.; Paz, A. Soil structure changes: Aggregate size and soil texture effects on hydraulic conductivity under different saline and sodic conditions. Aust. J. Soil Res. 2009, 47, 688–696. [Google Scholar] [CrossRef]
- Webb, N.P.; Strong, C.L. Soil erodibility dynamics and its representation for wind erosion and dust emission models. Aeolian Res. 2011, 3, 165–179. [Google Scholar] [CrossRef]
- Aimar, S.B.; Mendez, M.J.; Funk, R.; Buschiazzo, D.E. Soil properties related to potential particulate matter emissions (PM10) of sandy soils. Aeolian Res. 2012, 3, 437–443. [Google Scholar] [CrossRef]
- Zobeck, T.M.; Popham, T.W.; Skidmore, E.L.; Lamb, J.A.; Merrill, S.D.; Lindstrom, M.J.; Mokma, D.L.; Yoder, R.E. Aggregate-mean diameter and wind-erodible soil predictions using dry aggregate-size distributions. Soil Sci. Soc. Am. J. 2013, 67, 425–436. [Google Scholar] [CrossRef]
- Avecilla, F.; Panebianco, J.E.; Buschiazzo, D.E. Variable effects of saltation and soil properties on wind erosion of different textured soils. Aeolian Res. 2015, 18, 145–153. [Google Scholar] [CrossRef]
- Sharratt, B.; Wendling, L.; Feng, G. Windblown dust affected by tillage intensity during summer fallow. Aeolian Res. 2010, 2, 129–134. [Google Scholar] [CrossRef]
- Singh, P.; Sharratt, B.; Schillinger, W.F. Wind erosion PM10 emission affected by tillage system in the world’s driest rainfed wheat region. Soil Tillage Res. 2012, 124, 219–225. [Google Scholar] [CrossRef]
- Tanner, S.; Katra, I.; Haim, A.; Zaady, E. Short-term soil loss by eolian erosion in response to different rain-fed agricultural practices. Soil Tillage Res. 2016, 155, 149–156. [Google Scholar] [CrossRef]
- Avecilla, F.; Panebianco, J.E.; Mendez, M.J.; Buschiazzo, D.E. PM10 emission efficiency for agricultural soils: Comparing a wind tunnel, a dust generator, and the open-air plot. Aeolian Res. 2018, 32, 116–123. [Google Scholar] [CrossRef]
- Li, H.; Tatarko, J.; Kucharski, M.; Dong, Z. PM2.5 and PM10 emissions from agricultural soils by wind erosion. Aeolian Res. 2015, 19, 171–182. [Google Scholar] [CrossRef]
- Worster, D. Dust Bowl: The Southern Plains in the 1930s; Oxford University Press: New York, NY, USA, 1979. [Google Scholar]
- Wang, X.; Zhou, Z.; Dong, Z. Control of dust emissions by geomorphic conditions, wind environments and land use in northern China: An examination based on dust storm frequency from 1960 to 2003. Geomorphology 2006, 81, 292–308. [Google Scholar] [CrossRef]
- Katra, I.; Arotsker, L.; Krasnov, H.; Zaritski, A.; Kushmaro, A.; Ben-Dov, A. Richness and Diversity in Dust Stormborne Biomes at the Southeast Mediterranean. Sci. Rep. 2014, 4, 5265. [Google Scholar] [CrossRef] [PubMed]
- Roskin, J.; Katra, I.; Blumberg, D.G. Particle-size fractionation of eolian sand along the Sinai–Negev erg of Egypt and Israel. Geol. Soc. Am. Bull. 2014, 126, 47–65. [Google Scholar] [CrossRef]
- Yizhaq, H.; Katra, I.; Isenberg, O.; Tsoar, H. Evolution of megaripples from a flat bed. Aeolian Res. 2012, 6, 1–12. [Google Scholar] [CrossRef]
- Katra, I.; Laor, S.; Swet, N.; Kushmaro, A.; Ben-Dov, A. Shifting cyanobacterial diversity in response to agricultural soils associated with dust emission. Land Degrad. Dev. 2017. [Google Scholar] [CrossRef]
- Katra, I.; Yizhaq, H. Intensity and degree of segregation in bimodal and multimodal grain size distributions. Aeolian Res. 2017, 27, 23–34. [Google Scholar] [CrossRef]
- Katra, I.; Elperin, T.; Fominykh, A.; Krasovitov, B.; Yizhaq, H. Modeling of particulate matter transport in atmospheric boundary layer following dust emission from source areas. Aeolian Res. 2016, 20, 147–156. [Google Scholar] [CrossRef]
- Chan, K.Y.; Heenan, D.P.; Oates, A. Soil carbon fractions and relationship to soil quality under different tillage and stubble management. Soil Tillage Res. 2002, 63, 133–139. [Google Scholar] [CrossRef]
- Lou, Z.; Wang, E.; Sun, O.J. Soil Carbon change and its response to agricultural practices in Australian agro-ecosystem: A review and synthesis. Geoderma 2010, 155, 211–223. [Google Scholar]
- Duval, M.E.; Galantini, J.A.; Iglesias, J.O.; Canelo, S.; Martinez, J.M.; Wall, L. Analysis of organic fractions as indicators of soil quality under natural and cultivated systems. Soil Tillage Res. 2013, 131, 11–19. [Google Scholar] [CrossRef]
- Gadermaier, F.; Berner, A.; Fließbach, A.; Friedel, J.K.; Mader, P. Impact of reduced tillage on soil organic carbon and nutrient budgets under organic farming. Renew. Agric. Food Syst. 2012, 27, 68–80. [Google Scholar] [CrossRef]
- Yates, C.J.; Norton, D.A.; Hobbs, R.J. Grazing effects on plant cover, soil and microclimate in fragmented woodlands in south-western Australia: Implications for restoration. Austral Ecol. 2000, 25, 36–47. [Google Scholar] [CrossRef]
- Salinas-Garcıá, J.R.; Velazquez-Garcia, J.J.; Gallardo-Valdez, M.; Diaz-Mederos, P.; Caballero-Hernandez, F.; Tapia-Vargas, L.M.; Rosales-Robles, E. Tillage effects on microbial biomass and nutrient distribution in soils under rain-fed corn production in central-western Mexico. Soil Tillage Res. 2002, 66, 143–152. [Google Scholar] [CrossRef]
- Lal, R. Soil carbon dynamics in cropland and rangeland. Environ. Pollut. 2002, 116, 353–362. [Google Scholar] [CrossRef]
- Eynard, A.; Schumacher, T.E.; Lindstrom, M.J.; Malo, D.D. Aggregate sizes and stability in cultivated South Dakota prairie Ustolls and Usterts. Soil Sci. Soc. Am. J. 2004, 68, 1360–1365. [Google Scholar] [CrossRef]
- Pikul, J.L.; Schwartz, R.C.; Benjamin, J.G.; Baumhardt, R.L.; Merrill, S. Cropping system influences on soil physical properties in the Great Plains. Renew. Agric. Food Syst. 2006, 21, 15–25. [Google Scholar] [CrossRef]
- Hevia, G.G.; Mendez, M.; Buschiazzo, D.E. Tillage affects soil aggregation parameters linked with wind erosion. Geoderma 2007, 140, 90–96. [Google Scholar] [CrossRef]
- Blanco-Canqui, H.; Mikha, M.M.; Benjamin, J.G.; Stone, L.R.; Schlegel, A.J.; Lyon, D.J.; Vigil, M.F.; Stahlman, P.W. Regional study of No-till impacts on near surface aggregates properties that influence soil erodibility. Soil Sci. Soc. Am. J. 2009, 73, 1361–1368. [Google Scholar] [CrossRef]
- Wei, X.; Hao, M.; Shao, M.; Gale, W.J. Changes in soil properties and the availability of soil micronutrients after 18 years of cropping and fertilization. Soil Tillage Res. 2006, 91, 120–130. [Google Scholar] [CrossRef]
- Belnap, J.; Phillips, S.; Herrick, J.; Johansen, J. Wind erodibility of soils at fort irwin, california (mojave desert), USA, before and after trampling disturbance: Implications for land management. Earth Surf. Process. Landf. 2007, 32, 75–84. [Google Scholar] [CrossRef]
- Masri, Z.; Zobisch, M.; Bruggeman, A.; Hayek, P.; Kardous, M. Wind erosion I marginal Mediterranean dryland area: A case study from the Khanasser valley, Syria. Earth Surf. Process. Landf. 2003, 28, 1211–1222. [Google Scholar] [CrossRef]
- Zobeck, T.M.; Van Pelt, R.S. Wind erosion. Soil Management: Building a Stable Base for Agriculture (soilmanagementb). Soil Sci. Soc. Am. 2011, 14, 209–227. [Google Scholar]
- Mendez, M.J.; Aimar, S.B.; Buschiazzo, D.E. PM10 emissions from aggregate fractions of an Entic Haplustoll under two contrasting tillage systems. Aeolian Res. 2015, 19, 195–201. [Google Scholar] [CrossRef]
- Ganor, E. Mineral dust concentrations, deposition fluxes and deposition velocities in dust episodes over Israel. J. Geophys. Res. 2001, 106, 431–437. [Google Scholar] [CrossRef]







| SOC | CaCO3 | <2 μm | 2–10 μm | 10–20 μm | 20–63 μm | 63–250 μm | |
|---|---|---|---|---|---|---|---|
| Nn | 2.9 (0.7) | 22.4 (3.7) | 12.0 (3.0) | 29.9 (3.0) | 12.1 (2.5) | 39.5 (1.1) | 18.5 (7.1) |
| Gn | 1.9 (0.8) | 12.1 (2.3) | 9.0 (1.6) | 21.7 (1.9) | 10.1 (3.2) | 34.5 (1.2) | 33.7 (4.5) |
| Cn | 1.5 (0.1) | 7.7 (0.8) | 6.8 (0.8) | 19.6 (1.6) | 7.1 (0.4) | 31.6 (1.5) | 41.7 (3.0) |
| Tn | 2.3 (0.2) | 12.3 (1.2) | 9.0 (0.5) | 20.5 (1.0) | 9.9 (0.5) | 38.1 (2.8) | 31.5 (1.8) |
© 2020 by the author. Licensee MDPI, Basel, Switzerland. This article is an open access article distributed under the terms and conditions of the Creative Commons Attribution (CC BY) license (http://creativecommons.org/licenses/by/4.0/).
Share and Cite
Katra, I. Soil Erosion by Wind and Dust Emission in Semi-Arid Soils Due to Agricultural Activities. Agronomy 2020, 10, 89. https://doi.org/10.3390/agronomy10010089
Katra I. Soil Erosion by Wind and Dust Emission in Semi-Arid Soils Due to Agricultural Activities. Agronomy. 2020; 10(1):89. https://doi.org/10.3390/agronomy10010089
Chicago/Turabian StyleKatra, Itzhak. 2020. "Soil Erosion by Wind and Dust Emission in Semi-Arid Soils Due to Agricultural Activities" Agronomy 10, no. 1: 89. https://doi.org/10.3390/agronomy10010089
APA StyleKatra, I. (2020). Soil Erosion by Wind and Dust Emission in Semi-Arid Soils Due to Agricultural Activities. Agronomy, 10(1), 89. https://doi.org/10.3390/agronomy10010089
