Abstract
Dendrigraft polymers have a multi-level branched architecture resulting from the covalent assembly of macromolecular building blocks. Most of these materials are obtained in divergent (core-first) synthetic procedures whereby the molecule grows outwards in successive grafting reactions or generations. Two main types of dendrigraft polymers can be identified depending on the distribution of reactive sites over the grafting substrate: Arborescent polymers have a large and variable number of more or less uniformly distributed sites, while dendrimer-like star polymers have a lower but well-defined number of grafting sites strictly located at the ends of the substrate chains. An overview of the synthesis and the characterization of dendrigraft copolymers with phase-segregated morphologies is provided in this review for both dendrigraft polymer families. The tethering of side-chains with a different composition onto branched substrates confers unusual physical properties to these copolymers, which are highlighted through selected examples.
Keywords:
graft copolymers; dendritic; dendrigraft; arborescent; dendrimer-like; core-shell; core-shell-corona 1. Introduction
Different types of macromolecules with well-defined branched architectures have been synthesized over the past 30–40 years including star-branched polymers and polymacromonomers [1,2,3], dendrimers and hyperbranched polymers [4,5], and dendrigraft polymers [4,6,7]. Among these the dendritic architecture, represented by the latter three categories, has had a significant impact on polymer science because it encompasses highly branched macromolecules with a controllable molecular weight, number of branches, and terminal groups. The most distinctive characteristic of these polymers is a multi-level branched architecture, resulting from coupling reactions of either small molecule monomers (dendrimers and hyperbranched polymers), or macromolecular building blocks (dendrigraft polymers, referring collectively to arborescent and dendrimer-like star polymer systems).
The dendritic branching concept was first applied to graft polymers synthesized from polystyrene [8] and polyethylenimine [9] segments in 1991. The synthesis of these materials typically involves cycles of substrate functionalization and grafting reactions in a generation-based divergent (core-first) scheme as represented in Scheme 1(a), whereby the molecule grows outwards from the substrate. Grafting linear chains onto a linear polymer substrate suitably functionalized with coupling sites yields a comb-branched polymer structure, also called a generation zero (G0) arborescent polymer. Provided that the grafted side-chains can be further functionalized with coupling sites, the process can be repeated to obtain successive generations of arborescent polymers. Thus the second functionalization and grafting cycle yields the first generation of arborescent polymer (G1, corresponding to the first generation with a dendritic or multi-level branched architecture), and so on. Geometric increases in molecular weight and branching functionality are typically observed over successive reaction cycles (generations) of arborescent polymers, while a narrow molecular weight distribution (polydispersity index Mw/Mn < 1.1) is maintained in most cases.
Scheme 1.
Graphical representation of the synthesis of (a) arborescent and (b) dendrimer-like star polymers by successive grafting reactions of polymer segments.
Scheme 1.
Graphical representation of the synthesis of (a) arborescent and (b) dendrimer-like star polymers by successive grafting reactions of polymer segments.

Dendrimer-like star polymers [Scheme 1(b)], on the other hand, have a smaller but well-defined number of coupling sites strictly located at the chain ends of the previous generation, and are thus the dendrigraft polymers closest to dendrimers from a structural viewpoint [10]. Since the branching multiplicity of the chain ends (number of branching points) is relatively low (typically 2–4) in dendrimer-like polymers, the rate of molecular weight increase is also lower for these systems than for arborescent macromolecules. It should be noted that, to ensure consistency of the structure nomenclature used herein, dendrimer-like architectures with a single branching level (star polymers) are identified as G0 structures, while polymers with a second level of branching (branches upon branches) are G1 molecules, and so on.
Dendrigraft copolymers are unimolecular, covalently bonded species with well-defined structures (as opposed to multimolecular or randomly cross-linked assemblies), and branching functionalities ranging from a few to thousands of side-chains, whose basic characteristics (side-chain molecular weight and composition, branching functionality/density, and uniformity) can be accurately controlled in their synthesis. These features distinguish them from other heterogeneous macromolecular assemblies such as star-block copolymers with relatively low branching functionalities [11], metastable micelles obtained by the self-assembly of block copolymers in selective solvents [12,13] or stabilized through random cross-linking as in knedel-like structures [14], and core-shell polymer particles prepared by microemulsion polymerization [15,16]. This paper reviews the different methods developed for the synthesis of dendrigraft polymer structures, with emphasis on copolymer systems and the unusual properties arising from these heterogeneous morphologies.
2. Arborescent Polymers with Randomly Distributed Branching Points
2.1. Arborescent Polystyrene
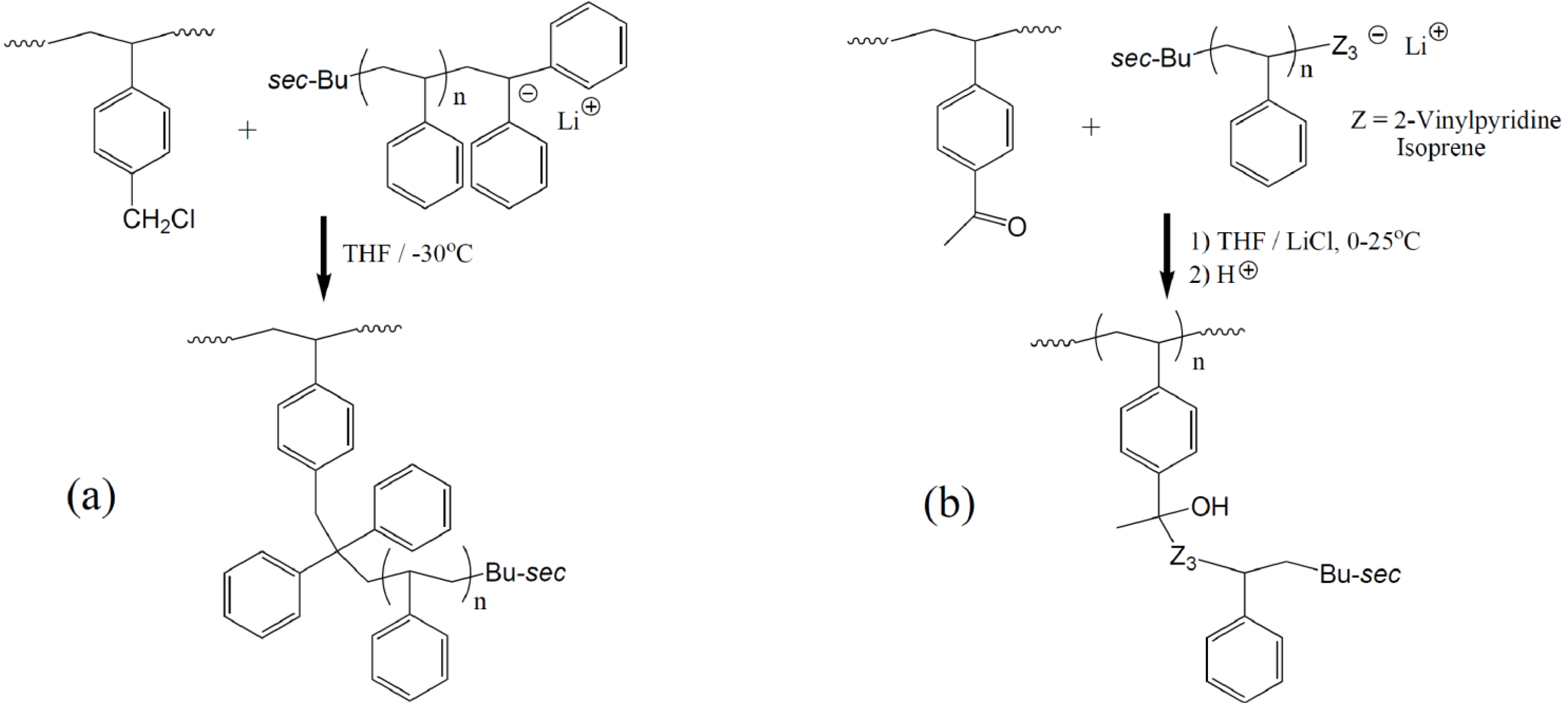
Arborescent polystyrene is of particular importance, because it served as grafting substrate in the synthesis of many phase-separated copolymers. Consequently the synthesis of the homopolymers will be discussed first, but it will be shown that even these macromolecules display characteristics typical of heterogeneous copolymer systems due to differences in segmental density within the core and the outer shell (corona) of the molecules. The synthesis of arborescent polystyrene starts with the nucleophilic attack of “living” polystyryl anions onto a linear polystyrene substrate, randomly functionalized with suitable electrophilic substituents on a fraction (typically 25–30%) of the structural units, to generate the G0 polymer. Both chloromethyl [8] and acetyl [17] functionalities have been successfully applied as electrophilic coupling sites in the synthesis of arborescent structures (Scheme 2). In each case it was important to match the reactivity of the macroanions and the electrophile, in order to minimize side reactions and maximize the yield of the grafting reaction. It was thus necessary to “cap” the polystyryl anions with a single 1,1-diphenylethylene unit to suppress metal-halogen exchange reactions competing with coupling for the chloromethyl sites. The grafting yield (defined as the fraction of side-chains generated in the polymerization reaction becoming attached to the substrate) was maximized when grafting was carried out in tetrahydrofuran (THF) at −30 °C [8]. Acetyl groups, on the other hand, are susceptible to proton abstraction by the macroanion acting as a strong base. In this case the yield was maximized in THF in the 0–25 °C range, after capping the chains with a few units of relatively unhindered or more reactive monomers such as isoprene or 2-vinylpyridine, and the addition of LiCl to the reaction to suppress chain end ionization [17]. Irrespective of the grafting path selected, the functionalization and grafting reaction cycle can be repeated to obtain arborescent polystyrene structures of generations G1 and above.
Scheme 2.
Synthesis of arborescent polystyrene by grafting polystyryl anions onto (a) chloromethylated and (b) acetylated polystyrene substrates.
Scheme 2.
Synthesis of arborescent polystyrene by grafting polystyryl anions onto (a) chloromethylated and (b) acetylated polystyrene substrates.

An important characteristic of arborescent polymers is that their apparent molecular weight, determined by size exclusion chromatography (SEC) analysis using a linear polystyrene standards calibration curve, is strongly underestimated (Table 1) [17]. Comparison of these values with the absolute weight-average molecular weights (Mw) determined from static light scattering measurements reveals discrepancies between both sets of results, the magnitude of the discrepancies increasing for the higher generations. This is a direct consequence of the very compact structure of arborescent polymers, which display an increase in average segmental density over successive generations, in contrast to randomly coiled linear polymers for which the hydrodynamic density decreases exponentially as the molecular weight increases. The absolute molecular weight and branching functionality of the molecules (determined from light scattering measurements) otherwise follow the expected trend, with roughly geometric increases over successive generations, while a low polydispersity index is maintained.
Table 1.
Characterization data for a series of arborescent styrene homopolymers synthesized from acetylated polystyrene substrates.a
| Sample | Generation | Mwb | Mw /Mnb | fwc | Mwd |
|---|---|---|---|---|---|
| PS-PS5 | 0 | 5.3 × 104 | 1.08 | 11 | 3.3 × 104 |
| G0PS-PS5 | 1 | 4.3 × 105 | 1.08 | 84 | 1.3 × 105 |
| G1PS-PS5 | 2 | 3.9 × 106 | 1.09 | 690 | 4.5 × 105 |
| G2PS-PS5 | 3 | 2.5 × 107 | 3800 |
a Adapted from Reference 17 by permission from the American Chemical Society. All polymers synthesized from Mw ≈ 5,000 side-chains with an acetylation level of ca. 25 mole% and 5 equiv of LiCl per “living” end. b Absolute values from SEC analysis with a light scattering detector or from batchwise light scattering measurements. c Branching functionality (number of side-chains added in the last grafting reaction). d Apparent Mw from SEC analysis using a linear polystyrene standards calibration curve.
Arborescent macromolecules, including even the homopolymers, may be regarded as having a dual phase morphology. This is because of the “diffuse layer” growth mechanism of the molecules over successive generations, represented in a cartoon fashion in Scheme 1(a): A high segmental density (low chain mobility) region is expected in the core portion of the molecules, due to the coupling reactions leading to the formation of branching points, while the chains added in the last grafting cycle are only tethered to the substrate at one end. These remain relatively flexible and form a mobile shell (corona) of linear chains on the outside of the molecule. The corona should be rather diffuse not only because of the higher mobility of the chains, but also due to fluctuations in the position of the coupling sites along the side-chains of the substrate as shown in Scheme 1(a). To a first approximation, the growth of arborescent molecules over successive generations may thus be represented by the addition of successive layers of chains onto a rigid core substrate (Figure 1).
The heterogeneous character of arborescent polystyrene molecules was first quantified by labeling a series of polymers with short branches (Mw ≈ 5,000) with pyrene and observing their fluorescence quenching behavior when exposed to small molecule (nitrobenzene) and macromolecular (nitrated polystyrene) quenchers in solution [18]. The diffusion coefficients measured for the small molecule quencher within the arborescent polystyrene molecules decreased as a function of increasing generation number. Quenching experiments with linear nitrated polystyrene led to downward curvature in Stern-Volmer plots characteristic for protective quenching, i.e., reduced accessibility of a portion of the chromophores to the quencher groups. The application of a fractional quenching model allowed the determination of the quenching rate constant and the fraction of accessible chromophores for each sample. These parameters decreased for the upper generation polymers, in agreement with the diffuse layer growth model of Figure 1: When adding successive layers of constant thickness (corresponding to the chains added in the last grafting reaction) on the surface of a sphere, the volume fraction of the core (fraction of inaccessible material, fc) should increase over successive generations.
Figure 1.
Schematic representation of the diffuse layer growth model for arborescent polymers. The volume fraction of inaccessible (core) material in the molecules, for a core of initial radius R = 2 onto which layers of thickness d = 1 are added, is represented by fc.
Figure 1.
Schematic representation of the diffuse layer growth model for arborescent polymers. The volume fraction of inaccessible (core) material in the molecules, for a core of initial radius R = 2 onto which layers of thickness d = 1 are added, is represented by fc.

The morphology of arborescent polystyrene molecules was also the topic of a detailed investigation using small-angle neutron scattering (SANS) experiments with contrast matching for polymers derived from arborescent polystyrene substrates grafted with deuterated polystyrene chains forming the shell [19]. Most interestingly, radial SANS contrast density profiles (proportional to the local concentration of scattering segments) could be generated for the core and the shell portions of the molecule under matched contrast conditions, and for polymers of two different generations (G3 vs. G4). It is clear from the profiles obtained (Figure 2) that the core and the shell components are segregated, even for systems expected to display minimal phase separation such as copolymers with a hydrio-polystyrene core and a deutero-polystyrene shell. The core-shell interface is nonetheless diffuse due to significant mixing between the core and the shell components, in agreement with the diffuse layer growth model proposed above.
Figure 2.
Radial SANS contrast profiles generated from measurements on arborescent polystyrenes with a deuterated polystyrene shell under (a) shell and (b) core contrast matching conditions. Adapted from Reference 19 by permission from the American Chemical Society.
Figure 2.
Radial SANS contrast profiles generated from measurements on arborescent polystyrenes with a deuterated polystyrene shell under (a) shell and (b) core contrast matching conditions. Adapted from Reference 19 by permission from the American Chemical Society.

2.2. Poly(ethylene oxide) Copolymers
The first example of an arborescent copolymer structure with a clearly heterogeneous morphology, published in 1996, was for polymers incorporating an arborescent polystyrene core grafted with poly(ethylene oxide) (PEO) segments at the chain termini [20]. The synthesis of micelle-like core-shell macromolecules with different core sizes (generations) and varying PEO contents or shell thicknesses was demonstrated.
The preparation of the arborescent polystyrene core relied on the grafting technique with chloromethyl coupling sites [8], but the addition of a PEO shell required a modification of the procedure in the last step. The synthesis of a G1 copolymer is illustrated in Scheme 3 as an example. A comb-branched (G0) polystyrene substrate was prepared in the usual fashion, by initiating the polymerization of styrene with sec-butyllithium and capping with 1,1-diphenylethylene, followed by titration of the “living” anions with a solution of chloromethylated linear polystyrene. A twice-grafted (G1) substrate with protected hydroxyl end-groups was obtained by using (6-lithioexyl)acetaldehyde acetal (LHAA in Scheme 3) to initiate the polymerization of styrene, followed by capping and coupling with the chloromethylated G0 polymer. The acetal functionalities were then hydrolyzed and the hydroxyl end-groups were deprotonated with potassium naphthalide before adding ethylene oxide to the substrate. To maintain a narrow molecular weight distribution in the reaction, it was necessary to eliminate residual chloromethyl sites on the substrate via metal-halogen exchange prior to shell growth. The core-shell copolymers derived from a G1 core with Mw = 7 × 105 had PEO contents of 19% and 66% by weight, and apparent polydispersities Mw/Mn = 1.07–1.21. Another sample containing 36% PEO by weight was obtained from a G4 core having Mw ~ 108.
Scheme 3.
Synthesis of arborescent polystyrene-graft-poly(ethylene oxide) amphiphilic copolymers. Reproduced from Reference 20 by permission from the American Chemical Society.
Scheme 3.
Synthesis of arborescent polystyrene-graft-poly(ethylene oxide) amphiphilic copolymers. Reproduced from Reference 20 by permission from the American Chemical Society.

Comparison of the hydrodynamic radii determined from dynamic light scattering measurements for the core homopolymers and the core-shell copolymers demonstrated that the hydrophilic poly(ethylene oxide) chains on the surface of the molecules essentially adopted a randomly coiled conformation, with minimal stretching of the chains. The solubility characteristics of the macromolecules were consistent with a core-shell morphology: The copolymers were freely soluble in methanol, in contrast to the bare polystyrene cores.
The self-assembly of the amphiphilic arborescent polystyrene-graft-poly(ethylene oxide) copolymers at the air-water interface was investigated as a function of the composition and the structure of the molecules [21,22]. The types of superstructures formed by the amphiphiles strongly depended on characteristics including their composition, branching functionality, and structural rigidity. Thus copolymers with low PEO contents simply dewetted from the water surface and formed large island-like clusters, while molecules with a high PEO content had little tendency to self-assemble in the absence of compression [Figures 3(a,c)] [21]. However copolymers of intermediate compositions (ca. 20–35% PEO content by weight) self-assembled into ribbon-like superstructures [Figure 3(b)] mainly via end-to-end aggregation, the extent of aggregation (ribbon length) being determined not only by the composition but also by the flexibility of the molecules (branching functionality and molecular weight of the polystyrene side-chains within the core). This end-to-end aggregation phenomenon was rationalized through sideways rearrangement of the linear PEO chains in the shell leading to an increase in the magnitude of van der Waals interactions between the hydrophobic cores along the long axis of the ribbons, while thickening of the stabilizing PEO layer on the sides of the ribbons hindered further aggregation of the molecules [Figure 3(d)]. It was also shown that the length of the ribbon-like superstructures increased under the influence of compression in Langmuir force balance experiments, or through temperature variations influencing the degree of hydration of the stabilizing PEO chains [22].
Figure 3.
Self-assembly of arborescent polystyrene-graft-poly(ethylene oxide) copolymer molecules at the air-water interface without compression: (a) low branching functionality, low PEO content G1-30PS-LB-15, (b) low branching functionality, intermediate PEO content G1-30PS-LB-31, and (c) high branching functionality, high PEO content G1-30PS-HB-43. Each picture has a width of 1.5 μm. (d) End-to-end aggregation mechanism proposed to explain the formation of ribbons in (b). Adapted from Reference 21 by permission from Wiley-VCH.
Figure 3.
Self-assembly of arborescent polystyrene-graft-poly(ethylene oxide) copolymer molecules at the air-water interface without compression: (a) low branching functionality, low PEO content G1-30PS-LB-15, (b) low branching functionality, intermediate PEO content G1-30PS-LB-31, and (c) high branching functionality, high PEO content G1-30PS-HB-43. Each picture has a width of 1.5 μm. (d) End-to-end aggregation mechanism proposed to explain the formation of ribbons in (b). Adapted from Reference 21 by permission from Wiley-VCH.

2.3. Poly(2-vinylpyridine) Copolymers
The synthesis of arborescent polystyrene-graft-poly(2-vinylpyridine) copolymers was initially achieved by coupling poly(2-vinylpyridinyl)lithium with chloromethylated polystyrene substrates of generations up to G2 in tetrahydrofuran with N,N,N′,N′-tetramethylethylenediamine (TMEDA) [23]. This reaction is analogous to Scheme 2(a), where the 1,1-diphenylethylene-capped polystyryllithium species are replaced with the “living” poly(2-vinylpyridinyl)lithium chains without capping. Copolymers with branching functionalities ranging from 14–3,880 and molecular weights of 8.2 × 104 to 6.7 × 107 were thus obtained while maintaining low apparent polydispersity indices (Mw/Mn ≈ 1.06–1.15). The polystyrene content of these copolymers was rather low and varied from ca. 3 to 19% by weight, depending on the arborescent polystyrene substrate generation and the molecular weight of the side-chains used in the reaction. Comparable results were subsequently obtained when coupling poly(2-vinylpyridinyl)lithium with acetylated polystyrene substrates in the presence of LiCl, similarly to Scheme 2(b) (in this case the side-chains correspond to a long segment of “Z” units without styrene) [24].
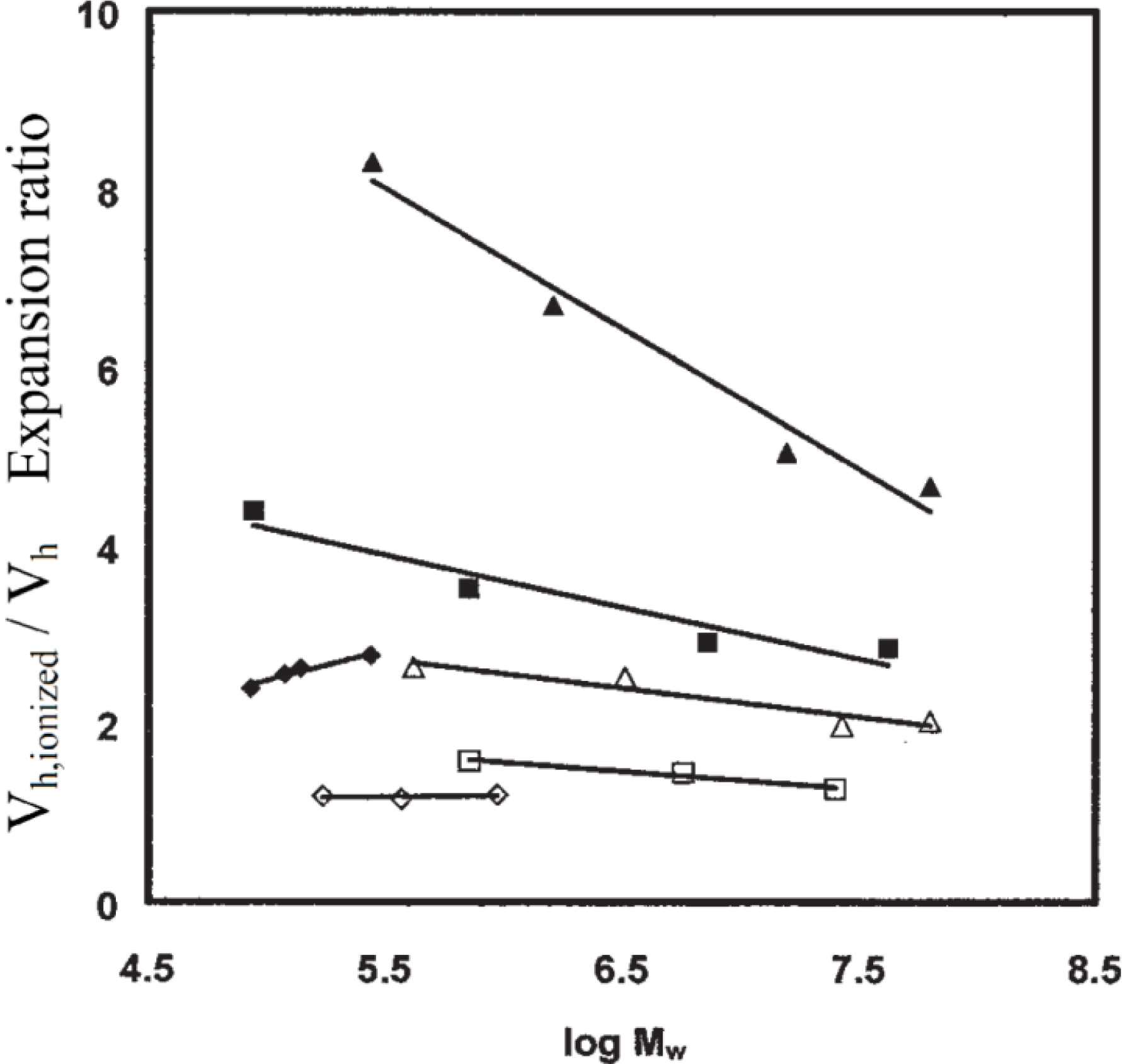
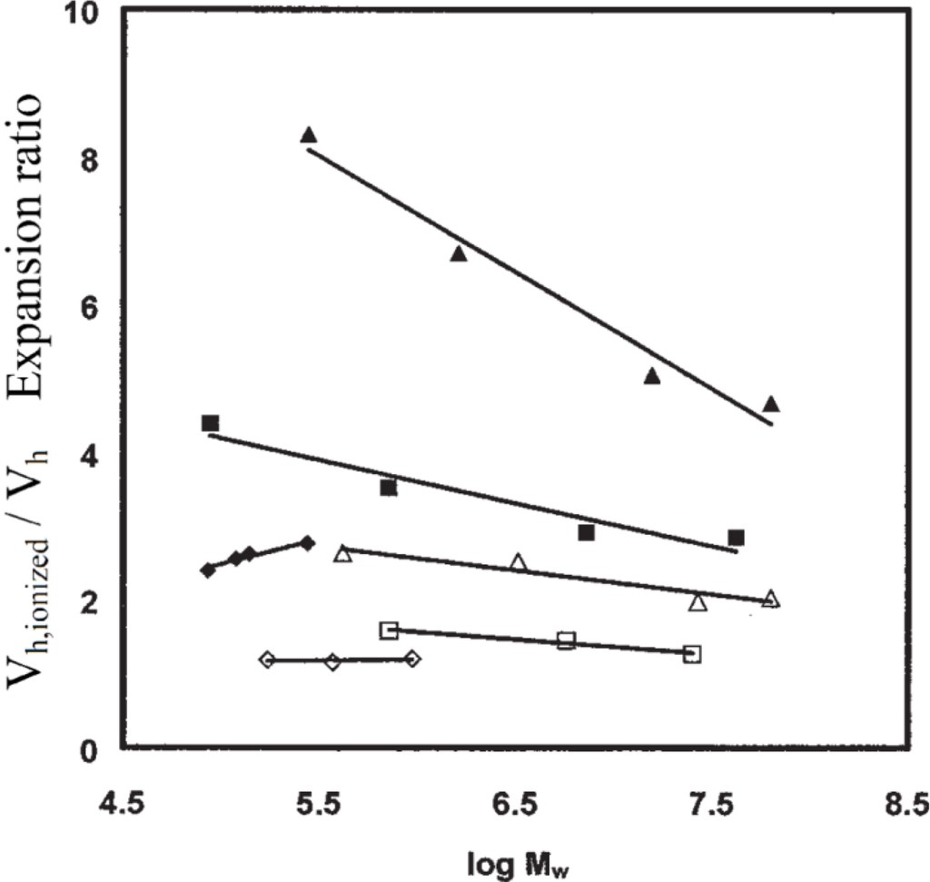
Dynamic light scattering measurements demonstrated that arborescent poly(2-vinylpyridine) (P2VP) copolymers, when protonated with excess HCl (at high ionic strengths), expand much more in solution than their linear homologues (Figure 4). This effect was attributed to the higher charge density (charge/volume) attained in these branched polyelectrolytes [25], which can be viewed as P2VP homopolymers to a first approximation due to their low polystyrene contents. Nevertheless the expansion ratio of the copolymers, expressed as the ratio of hydrodynamic volumes in the ionized and the neutral states, decreased as the generation number (structural rigidity) of the copolymer increased. It was also larger for copolymers containing longer, more flexible side-chains.
Figure 4.
Hydrodynamic volume expansion for arborescent polystyrene-graft-poly(2-vinylpyridine), polystyrene-graft-poly(methacrylic acid), and their linear homologues upon ionization. Linear P2VP (◊), arborescent P2VP copolymers with short (Mw ~ 5,000; □) and long (Mw ~ 30,000; ∆) side-chains dissolved in MeOH/H2O 95/5 with 0.10 N HCl. Linear PMAA (♦), arborescent PMAA copolymers with short (Mw ~ 5,000; ■) and long (Mw ~ 30,000; ▲) side-chains dissolved in MeOH/H2O 95/5 with 0.05 N NaCl and neutralized with NaOH. Adapted from Reference 25 by permission from Wiley.
Figure 4.
Hydrodynamic volume expansion for arborescent polystyrene-graft-poly(2-vinylpyridine), polystyrene-graft-poly(methacrylic acid), and their linear homologues upon ionization. Linear P2VP (◊), arborescent P2VP copolymers with short (Mw ~ 5,000; □) and long (Mw ~ 30,000; ∆) side-chains dissolved in MeOH/H2O 95/5 with 0.10 N HCl. Linear PMAA (♦), arborescent PMAA copolymers with short (Mw ~ 5,000; ■) and long (Mw ~ 30,000; ▲) side-chains dissolved in MeOH/H2O 95/5 with 0.05 N NaCl and neutralized with NaOH. Adapted from Reference 25 by permission from Wiley.

An investigation on the dilute-solution structure of aggregated, partially ionized arborescent P2VP copolymer molecules at low ionic strengths was completed by Yun et al. using SANS measurements [26]. Solutions of charged G1 arborescent polystyrene-graft-poly(2-vinylpyridine) copolymers in methanol-d4 and in D2O were characterized in the dilute concentration regime (mass fraction f = 0.005–0.05). Upon addition of less than one equivalent of HCl per 2-vinylpyridine unit (degree of ionization 0 < α < 0.4), a peak appeared in plots of the scattering intensity I(q) vs. q (where q = sin(θ)4π/λ is the scattering vector, θ is the observation angle, and λ is the wavelength) due to aggregation of the molecules. The intermolecular distance within the aggregates, calculated from the peak position, corresponded to the expected value for the formation of superstructures having a uniform liquid-like distribution of molecules. The lower dielectric constant of methanol-d4 resulted in long-range Coulombic interactions persisting to lower polymer concentrations than in D2O. Dynamic light scattering measurements displayed two diffusive relaxation processes under these conditions, the slow diffusion mode reflecting aggregate formation within the solutions. The SANS scattering peak and the slow diffusion mode both disappeared upon addition of NaCl or excess HCl to the solutions, due to screening of the electrostatic interactions promoting aggregate dissociation. Furthermore, the G1 copolymer grafted with long P2VP side-chains (Mw = 30,000) formed a gel upon addition of HCl for volume fractions ϕ > 0.01. This result is consistent with enhanced molecular expansion promoting gelation for these branched polyelectrolytes, the aggregated network breaking up upon addition of NaCl or excess HCl due to screening of the electrostatic interactions [26].
The ability to control the solution properties of arborescent polyelectrolytes by varying parameters such as the length and the number of P2VP segments in the molecules is interesting for the design of pH-sensitive reversible gels with tunable properties such as the sol-gel transition point and the gel modulus [23].
The arborescent polystyrene-graft-poly(2-vinylpyridine) copolymers were also investigated for their potential application as unimolecular micelles, to take advantage of their heterogeneous morphology combining a hydrophobic core and a corona of polyelectrolyte chains. The copolymers derived from a linear polystyrene substrate aggregated when dissolved in aqueous HCl solutions, but those incorporating G0–G2 substrates yielded unimolecular (non-aggregated) micellar solutions with interesting solubilization properties for various polycyclic aromatic hydrophobes [27]. It was shown that the solubilization kinetics and capacity of the micelles varied with their composition (polystyrene content), but also with their structure (generation number, molecular weight of the P2VP side-chains). The kinetics for pyrene solubilization were found to obey a first order kinetic model where the time-dependent concentration of pyrene within the micelles, [PyM]t, could be expressed in terms of the equilibrium concentration [PyM]eq as [PyM]t = [PyM]eq(1 − e−kt) (Figure 5), where the solubilization rate constant k varied ca. 3-fold among the different samples investigated. While the copolymers used in the investigation were not specifically designed to serve as drug delivery vehicles (being non-biocompatible and having low polystyrene weight fractions), the study still demonstrates that the solubilization or release characteristics of arborescent unimolecular micelles can be tailored through variations in structure and composition. The solubilization capacity of the micelles also varied with the type of hydrophobic probe solubilized, significantly higher capacities being observed for probes with non-specific solubilization within the polystyrene core and the P2VP shell of the molecules rather than exclusively within the core [27]. Similar observations were reported in a release study using lidocaine and indomethacin as model drugs, a higher loading capacity being observed for indomethacin due to strong interactions between its carboxylic acid group and the P2VP component of the copolymers in the side-chains [28].
Figure 5.
Analysis of the micellar solubilization kinetics of pyrene by arborescent polystyrene-graft-poly(2-vinylpyridine) copolymers. The following rate constants were obtained: Δ G0PS-P2VP5-12, k = (0.18 ± 0.01) d−1; ▲ G1PS-P2VP5-13, k = (0.13 ± 0.01) d−1; □ G1PS-P2VP5-20, k = (0.266 ± 0.006) d−1; ■ G2PS-P2VP5-18, k = (0.089 ± 0.007) d−1. Reprinted from Reference 27 by permission from Elsevier.
Figure 5.
Analysis of the micellar solubilization kinetics of pyrene by arborescent polystyrene-graft-poly(2-vinylpyridine) copolymers. The following rate constants were obtained: Δ G0PS-P2VP5-12, k = (0.18 ± 0.01) d−1; ▲ G1PS-P2VP5-13, k = (0.13 ± 0.01) d−1; □ G1PS-P2VP5-20, k = (0.266 ± 0.006) d−1; ■ G2PS-P2VP5-18, k = (0.089 ± 0.007) d−1. Reprinted from Reference 27 by permission from Elsevier.

2.4. Poly(methacrylic acid) Copolymers
The grafting of poly(tert-butyl methacrylate) chain segments onto arborescent polystyrene was achieved by a procedure analogous to Scheme 2(a), albeit it was necessary to replace the chloromethylated polystyrene substrates with their bromomethylated analogues to achieve reasonable grafting yields [25]. The resulting copolymer molecules had poly(tert-butyl methacrylate) contents ranging from 81 to 98% by weight. The tert-butyl ester group was easily hydrolyzed by treatments with trimethylsilyl iodide and HCl, and neutralization of the methacrylic acid units with a base generated the corresponding polyelectrolytes. These molecules displayed enhanced molecular expansion in solution upon neutralization, the effect being even more important than for arborescent polystyrene-graft-poly(2-vinylpyridine) copolymers (Figure 4).
2.5. Polyisoprene Copolymers
Arborescent copolymers containing polyisoprene (PIP) segments were obtained by coupling polyisoprenyllithium “living” chains with either chloromethylated [29] or acetylated [30] polystyrene substrates according to the procedures outlined in Scheme 2. The synthesis from chloromethylated substrates proceeded most efficiently after capping of the chains with 1,1-diphenylethylene and coupling at −30 °C. For grafting on acetylated polystyrene substrates the yield was maximized at 25 °C, in the presence of 5 equiv of LiCl per “living” end to attenuate the reactivity of polyisoprenyllithium. Isoprene was polymerized with sec-butyllithium either in cyclohexane or in tetrahydrofuran, to yield predominantly cis-1,4 or mixed microstructures, respectively. However when the polymerization was carried out in cyclohexane, the addition of tetrahydrofuran before the coupling step was still preferable to increase the grafting yield. Arborescent copolymers were synthesized by grafting PIP side-chains having a Mw of either 5,000 (PIP5) or 30,000 (PIP30) onto linear, G0, G1, and G2 polystyrene. The copolymers with short (PIP5) side-chains had a polyisoprene content of 80–90% by weight, increasing to 94–98% for long (PIP30) side-chains. The expected geometric increases in branching functionality and molecular weight were observed, while a narrow molecular weight distribution was maintained over successive generations.
Film formation by the isoprene copolymers on mica surfaces was investigated using tapping mode atomic force microscopy (AFM) after spin-casting from different solvents [30]. Measurements in the phase contrast mode are ideal to probe phase separation in these systems, because the glassy polystyrene core and the rubbery polyisoprene shell should lead to significant phase changes in the signal. A heterogeneous morphology was indeed detected for these copolymer systems (Figure 6) and, surprisingly, even for the copolymers with very low polystyrene contents (down to ca. 3% by weight). It was interesting that when heptane, a solvent selective for the polyisoprene segments, was used to prepare the films, phase separation between the polystyrene core and the polyisoprene shell was significantly enhanced in phase contrast imaging, particularly for copolymers with longer PIP side-chains (low polystyrene contents). Conversely, in nonselective solvents (toluene and chloroform) the phase contrast was reduced, presumably due to enhanced mixing of the polystyrene and polyisoprene components. This clearly confirms the occurrence of phase separation between the polystyrene core and the polyisoprene shell of the molecules on the nanometric scale, but also that the extent of phase separation achieved strongly depends on the selectivity of the solvent used in film preparation [30].
Figure 6.
AFM phase contrast images for films of arborescent polystyrene-graft-polyisoprene obtained by spin-casting (concentration ~1 mg/mL): G0PS-PIP30 in heptane (A) and chloroform (C); G1PS-PIP30 in heptane (B) and chloroform (D). The insets of (A) and (B) are the height images, showing the topology of the monolayers, and the 100-nm scale bar shown in (D) is the same for all the images. Reprinted from Reference 30 by permission from the American Chemical Society.
Figure 6.
AFM phase contrast images for films of arborescent polystyrene-graft-polyisoprene obtained by spin-casting (concentration ~1 mg/mL): G0PS-PIP30 in heptane (A) and chloroform (C); G1PS-PIP30 in heptane (B) and chloroform (D). The insets of (A) and (B) are the height images, showing the topology of the monolayers, and the 100-nm scale bar shown in (D) is the same for all the images. Reprinted from Reference 30 by permission from the American Chemical Society.

While AFM imaging provides direct evidence for phase segregation within the individual styrene-isoprene graft copolymer molecules, characterization results obtained by other methods were also consistent with a heterogeneous morphology. Thus breakdown of the time-temperature superposition principle was observed in an investigation of the rheological properties of arborescent polystyrene-graft-polyisoprene copolymers, when constructing modulus-frequency master curves for copolymers with sufficiently large (G1 and G2) polystyrene cores [31]. This type of behavior is typical for heterogeneous polymer systems.
The arborescent polystyrene-graft-polyisoprene copolymers were very recently investigated for their potential use as polymer processing additives in linear low density polyethylene (LLDPE) resins [32]. The copolymers, after modification with fluorinated substituents on a fraction of the isoprene units, were shown to suppress sharkskin formation and delay the onset of cyclic melt fracture when used at a concentration of 0.5% by weight in the extrusion of LLDPE monofilaments. Pressure reductions reaching up to 29% as compared with the unmodified LLDPE resin were also observed in the extrusion experiments.
2.6. Layered Copolymer Architectures
All the examples discussed so far are for copolymers with core-shell morphologies, derived from arborescent polystyrene substrates grafted with side-chains having a different chemical composition and forming the shell. Multilayered core-shell-corona systems have also been obtained recently by a similar approach. Thus the coupling reaction of “living” poly(2-vinylpyridine)-block-polystyrene carrying the macroanion at the P2VP chain end yielded a layered morphology with a polystyrene core, an inner shell of P2VP, and a corona of polystyrene chains on the outside (Figure 7) [33]. The usefulness of these complex macromolecular architectures lays in their ability to complex various transition metal salts within the P2VP shell, while the polystyrene corona ensures good solubility of the metal-loaded micelles with minimal aggregation in non-polar solvents such as toluene. These copolymers may thus serve as templates for the formation of metallic nanoparticles, in analogy to block copolymer micelles [34], but are potentially much more powerful: Spherical micelles are only formed by block copolymers under specific conditions (solvent selective for the shell component, appropriate volume fraction of each block), but these restrictions are relaxed for arborescent core-shell-corona copolymers. The covalently bonded architecture of these molecules also precludes extensive rearrangements of the side-chains, including their dynamic exchange (dissociation) from the micellar structure. Consequently, the micellar morphology of the arborescent copolymer molecules is preserved even under non-selective solvency conditions (e.g., tetrahydrofuran, chloroform) that hinder the self-assembly of poly(2-vinylpyridine)-block-polystyrene copolymers into micelles. A preliminary investigation on the core-shell-corona copolymer systems demonstrated that intricate metallic nanoparticle morphologies could be obtained upon loading metallic compounds such as tetrachloroauric acid (HAuCl4) in these template molecules (Figure 7).
Figure 7.
Top: Schematic representation of the synthesis of a core-shell-corona arborescent copolymer structure by grafting “living” block copolymer chains onto an arborescent polystyrene substrate. Bottom: Examples of TEM micrographs obtained for G2 (A) and G0 (B) templates loaded with HAuCl4 at 0.25 and 0.50 equiv relative to 2VP residues, respectively. Adapted from Reference 33 by permission from the American Chemical Society.
Figure 7.
Top: Schematic representation of the synthesis of a core-shell-corona arborescent copolymer structure by grafting “living” block copolymer chains onto an arborescent polystyrene substrate. Bottom: Examples of TEM micrographs obtained for G2 (A) and G0 (B) templates loaded with HAuCl4 at 0.25 and 0.50 equiv relative to 2VP residues, respectively. Adapted from Reference 33 by permission from the American Chemical Society.

2.7. One-pot Synthetic Procedures
The stepwise or generation-based synthesis is clearly advantageous in terms of the extent of control achieved over the reaction and the characterization of the products obtained: The molecular weight of the side-chains and the substitution level of the coupling substrates can be easily controlled. A sample of side-chains can be removed from the reactor prior to the grafting reaction and analyzed by SEC to determine their exact molecular weight and size uniformity (polydispersity index). Finally, since the absolute molecular weight of the substrate and the graft polymer can be measured, the exact number of side-chains grafted onto the substrate can be determined for each generation. On the down side, product isolation after functionalization of the substrate, and the generation of “living” chains for each grafting cycle are time-consuming and relatively expensive procedures. To circumvent these problems, a one-pot process has been developed by Yuan and Gauthier for the synthesis of arborescent polymers which does not require the isolation and purification of reaction intermediates [35,36]. The procedure is applicable to the preparation of G0 and G1 homo- and copolymer architectures from successive functionalization and grafting reactions carried out sequentially in the same reactor, and yields products with fairly low polydispersity indices (Mw/Mn ≈ 1.2–1.3 typically).
The one-pot method starts with the anionic copolymerization of styrene and m-diisopropenylbenzene as shown in Scheme 4. To compensate for the unfavorable copolymerization behavior of the two monomers, a semi-batch monomer addition protocol was developed to minimize segregation of the m-diisopropenylbenzene units along the chains. After the preparation of the linear copolymer, the “living” chains are terminated by titration of the solution with methanol. The pendent isopropenyl moieties of the copolymer are then activated with sec-butyllithium to generate initiating sites along the linear substrate, and a G0 styrene-m-diisopropenylbenzene copolymer is obtained by successive additions of a styrene-m-diisopropenylbenzene monomer mixture. Upon termination of the “living” G0 copolymer, the pendent isopropenyl groups on the side-chains are again activated and used to initiate the polymerization of styrene to obtain a G1 styrene homopolymer, or other monomers such as 2-vinylpyridine or tert-butyl methacrylate (as shown in Scheme 4) to give the corresponding copolymer. This approach, while not yielding products as well defined as the stepwise method, is much more convenient when large samples are required for less demanding applications. The formation of linear homopolymer in the procedure outlined in Scheme 4 (due to incomplete reaction of the sec-butyllithium used to activate the initiating sites) varied from 6–34% of the total sample weight, depending on the monomer and the substrate used in the reaction. Unfortunately, the exact characterization of the branched polymer structure obtained (branching functionality and molecular weight) is difficult in this case, as for all anionic grafting from procedures in general. It was indeed pointed out that in these anionic grafting from procedures, the branching functionality is usually approximated from the molecular weight of the graft polymer and the linear contaminant formed. Unfortunately this calculation method can lead to an underestimated branching functionality, because chain growth is faster for the linear polymer contaminant than for the graft polymer [35,36].
Scheme 4.
Synthesis of arborescent polystyrene-graft-poly(tert-butyl methacrylate) copolymers by a one-pot process. Reprinted from Reference 36 by permission from Wiley-VCH.
Scheme 4.
Synthesis of arborescent polystyrene-graft-poly(tert-butyl methacrylate) copolymers by a one-pot process. Reprinted from Reference 36 by permission from Wiley-VCH.

The one-pot synthesis of arborescent polyisobutylene structures by cationic polymerization in the presence of inimers (monomers containing a latent initiating site within their structure) has received much attention by the group of Puskas [37]. This technique, initially developed for the preparation of arborescent isobutylene homopolymers, was subsequently extended to the preparation of copolymers with polystyrene or poly(p-methylstyrene) segments as shown in Scheme 5. For example, the cationic copolymerization of isobutylene with 4-(2-methoxyisopropyl)styrene serving as inimer produces “living” macromonomers which can self-condense in situ and copolymerize with isobutylene in a grafting through scheme to give dendritic branched structures carrying multiple cationic active sites at the chain ends. The addition of styrene or p-methylstyrene to the “living” branched substrate leads to the growth of glassy styrenic segments (grafting from process). The main interest in these copolymers lays in their elastomeric properties, as the glassy segments aggregate into phase-separated domains, giving rise to thermoplastic elastomers (TPE) with excellent tensile properties [38,39,40]. The biomedical application of these systems as coatings for the sustained release of drugs in stents has also received attention [41], considering that the analogous linear block copolymer TPE are already FDA-approved.
Scheme 5.
One-pot synthesis of arborescent polyisobutylene with polystyrene end-blocks by the cationic inimer method according to Puskas.
Scheme 5.
One-pot synthesis of arborescent polyisobutylene with polystyrene end-blocks by the cationic inimer method according to Puskas.

3. Arborescent Polymers with Segregated Branching Points
The arborescent polymer syntheses discussed in the previous section depend (with the exception of the inimer technique) on the random introduction of coupling sites on the substrate in a post-polymerization modification reaction for each grafting cycle. An alternate approach avoiding the functionalization step was suggested by Deffieux et al., by growing short polymer segments providing a variable but controllable number of coupling sites grouped at the end of the substrate chains. The synthesis of an amphiphilic copolymer structure incorporating an arborescent polystyrene substrate and a corona of poly(methyl vinyl ether) chains is illustrated in Scheme 6 as an example [42]. A linear poly(chloroethyl vinyl ether) segment was first synthesized by cationic polymerization and side-chains, generated by the anionic polymerization of styrene initiated with 3-lithiopropionaldehyde diethyl acetal, were grafted onto the substrate to obtain a G0 polymer. After conversion of the acetal moieties to α-iodo end-groups with trimethylsilyl iodide (TMSI), the substrate was activated for the cationic polymerization of a new portion of chloroethyl vinyl ether to extend (graft from) the side-chains of the G0 polymer. An additional anionic grafting cycle with acetal-capped polystyryllithium provided a G1 substrate, that was again activated with TMSI and ZnCl2 before adding methyl vinyl ether to grow a shell of water-soluble poly(methyl vinyl ether) segments from the end of the polystyrene core chains. In a closely related technique, amphiphilic structures were obtained by successive additions of 2-((tert-butyldimethylsilyl)-oxy)ethyl vinyl ether (SiVE) and 1,2:3,4-di-O-isopropylidene-6-O-(2-vinyloxy ethyl)-D-galactopyranose monomers, followed by deprotection of the silyl ether units to generate a hydrophilic block copolymer corona of poly(2-hydroxyethyl vinyl ether) and saccharide-functionalized poly(2-hydroxyethyl vinyl ether) segments (Figure 8) [43,44]. These amphiphilic copolymers were shown to display micellar properties, enabling the solubilization of hydrophobic compounds such as pyrene and manganese tetraphenyl porphyrin in water [44]. Another strategy investigated for the generation of amphiphilic macromolecules from the arborescent polystyrene substrates involved a transacetalization reaction of the acetal-capped polystyrene substrate (G1 structure in Scheme 6) with α-bis(hydroxymethyl)-functionalized poly(ethylene oxide) chains [45].
Scheme 6.
Arborescent polystyrene-graft-poly(methyl vinyl ether) copolymer synthesis according to Deffieux et al.
Scheme 6.
Arborescent polystyrene-graft-poly(methyl vinyl ether) copolymer synthesis according to Deffieux et al.

A similar method was developed by Dworak and Wałach for the synthesis of double amphiphilic arborescent copolymer structures with poly(ethylene oxide) and polyglycidol segments [46]. In this case an anionic “living” 4-arm poly(ethylene oxide) star-branched substrate was used to initiate the polymerization of a protected glycidol monomer (1-ethoxyethyl glycidyl ether) and extend the arms with a short poly(glycidol acetal) end-block. After hydrolysis of the acetal protecting groups, the free glycidol moieties of the G0 polymer were activated with a base and used for a second cycle of sequential polymerizations of ethylene oxide and glycidol acetal monomers. The G1 polymer did not display a phase-segregated morphology in differential scanning calorimetry (DSC) measurements due to the short (number-average degree of polymerization Xn = 4–6) polyglycidol segments employed, but crystallization of the poly(ethylene oxide) phase was observed for copolymers with longer (Xn = 30–50) side-chains. It was shown that the copolymers could serve as transfer (solubilizing) agents for calmagite (a polar azo dye) in nonpolar solvents such as CH2Cl2, the solubilization capacity reaching up to 4% dye by weight of dendritic copolymer. A variation of this procedure starting from a triblock copolymer of poly(ethylene oxide) with Xn = 90 flanked with two short (Xn = 5) polyglycidol segments led to a pom-pom dendritic architecture [47].
Figure 8.
(a) Example of an amphiphilic core-shell-corona architecture with segregated branching points, and (b) AFM image in the phase contrast tapping mode showing a nodular core morphology and confirming the presence of a hydrophilic shell in the core-shell-corona molecules. Adapted from Reference 43 by permission from the American Chemical Society.
Figure 8.
(a) Example of an amphiphilic core-shell-corona architecture with segregated branching points, and (b) AFM image in the phase contrast tapping mode showing a nodular core morphology and confirming the presence of a hydrophilic shell in the core-shell-corona molecules. Adapted from Reference 43 by permission from the American Chemical Society.

4. Dendrimer-Like Star Polymers
The synthesis of dendritic polymer architectures from polymeric building blocks through a strictly controlled terminal grafting process, to yield dendrigraft polymer molecules that are the closest analogues of dendrimers, was introduced in 1995 by Six and Gnanou [48]. The scope of the terminal grafting methodology was initially limited to the synthesis of homopolymers of ethylene oxide with low branching functionalities (the synthesis of a G1, twice-grafted structure with 6 side-chains was reported in the original paper), but it has meanwhile been expanded considerably by Gnanou and others to include much higher branching functionalities and the synthesis of copolymers. Distinct strategies have been developed for different monomers, and consequently they will be considered separately. The discussion on dendrimer-like star polymer structures is organized according to the type of grafting methodology used for their synthesis, namely grafting from (with a substrate acting as a polyfunctional initiator), grafting onto (by coupling a substrate with side-chains), and grafting through (by the incorporation of macromonomers into growing chains).
4.1. Grafting from Methodologies
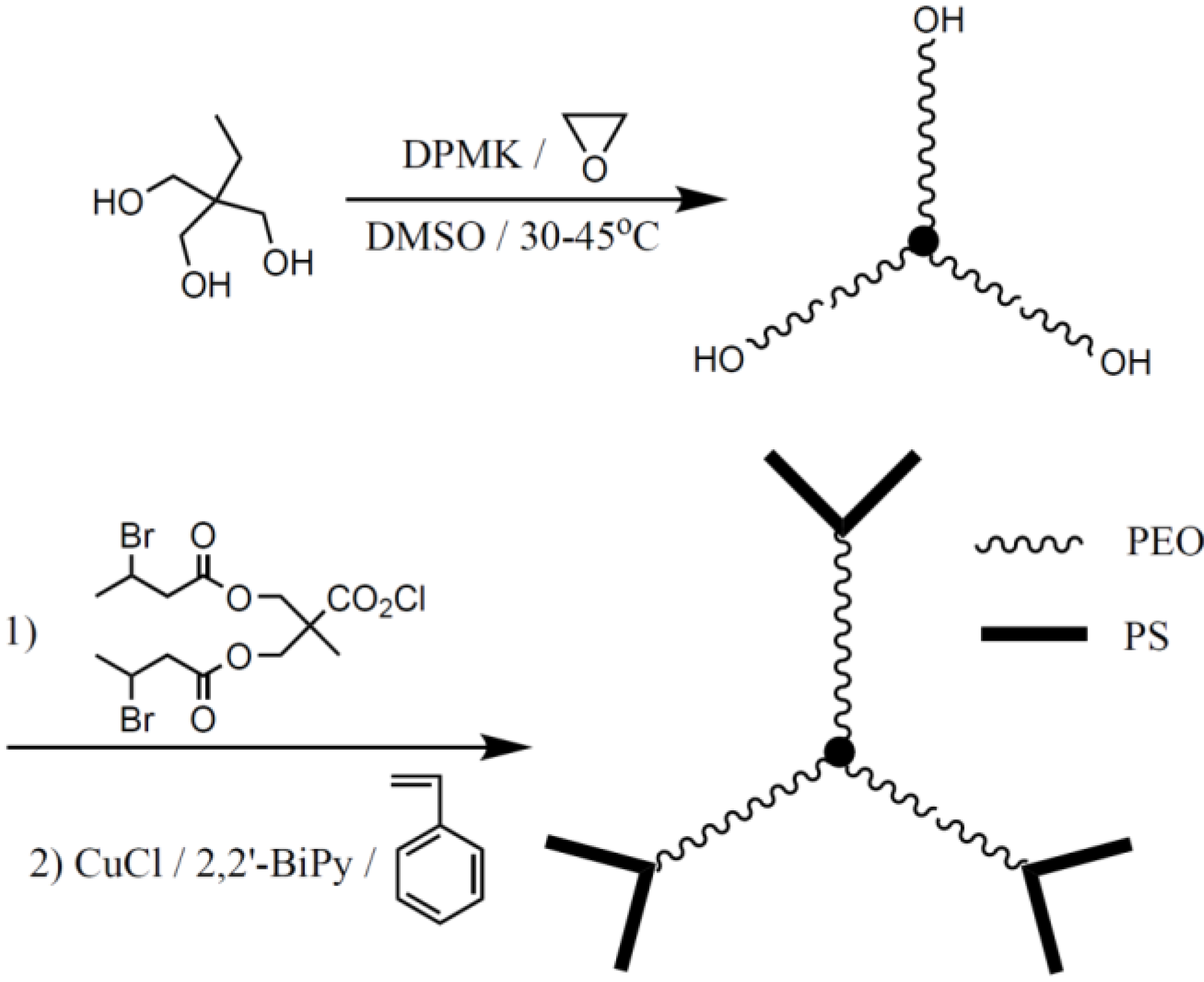
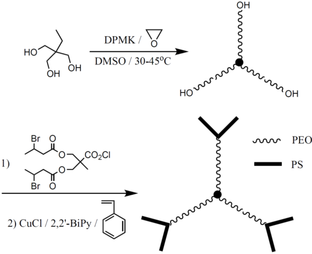
The chain-end derivatization method developed by Gnanou has been applied mainly to the synthesis of copolymers incorporating a branched poly(ethylene oxide) core and a corona of chains with a different composition. The preparation of a dendrimer-like star polymer incorporating three poly(ethylene oxide) and six polystyrene side-chains is shown in Scheme 7 to illustrate this strategy [49]. The synthesis starts from 2-ethyl-2-hydroxymethyl-1,3-propanediol serving as a trifunctional anionic initiator for the polymerization of ethylene oxide in dimethylsulfoxide (DMSO) after partial (20%) deprotonation with diphenylmethylpotassium (DPMK). The use of DMSO represents a key step in this procedure as it allows fast proton hopping between the hydroxyl and the alcoholate chain ends, which ensures the uniform growth of all the side-chains, while partial deprotonation minimizes alcoholate moiety aggregation leading to poor solubility at high ion concentrations. The hydroxyl functionalities of the star polymer are then capped with 2,2-bis(2-(bromomethyl)propionato)propionyl chloride to introduce two secondary bromide functionalities at each chain end. These sites, when activated with CuBr and 2,2’-bipyridine in the presence of styrene, produce two polystyrene segments from each chain end of the triarm star by atom transfer radical polymerization (ATRP).
Scheme 7.
Synthesis of a dendrimer-like star copolymer with a poly(ethylene oxide) core and polystyrene side-chains according to Gnanou et al.
Scheme 7.
Synthesis of a dendrimer-like star copolymer with a poly(ethylene oxide) core and polystyrene side-chains according to Gnanou et al.

Variations in the basic method outlined in Scheme 7 have enabled the synthesis of various types of copolymers through analogous grafting from schemes using different branching agents and combinations of anionic, cationic, and ATRP polymerization techniques. This includes copolymers with polystyrene cores and a corona of poly(ethylene oxide) [50] or poly(tert-butyl acrylate)/poly(acrylic acid) [51,52] chains, copolymers derived from poly(ethylene oxide) cores with poly(tert-butyl acrylate)/poly(acrylic acid) segments in their corona [53], as well as more complex structures such as dendrimer-like poly(ethylene oxide) containing up to 48 poly(ethylene oxide) segments on the outside and 21 side-chains of poly(tert-butyl acrylate)/poly(acrylic acid) covalently bonded to the branch junctions of the preceding generations [54]. The self-assembly of some of the tert-butyl acrylate copolymers was investigated by the Langmuir force balance technique [51,52], while dynamic light scattering measurements in aqueous solutions showed that the copolymers with poly(acrylic acid) segments grafted at the branch junctions displayed pH-dependent size variations depending on the degree of ionization of the polyelectrolyte segments [54].
Hedrick et al. also achieved the synthesis of different dendrimer-like star polymers through a terminal grafting from methodology, but starting from ε-caprolactone and polyfunctional hydroxylated substrates activated with stannous 2-ethylhexanoate (Sn(Oct)2) [55]. The basic technique, initially developed for the synthesis of dendrimer-like ε-caprolactone homopolymers, was subsequently extended to the synthesis of different copolymers incorporating substituted polylactone, polylactide, poly(2-hydroxyethyl methacrylate), and poly(methyl methacrylate) segments [56,57]. The synthesis of a G1 dendrimer-like copolymer with 6 poly(ε-caprolactone) and 24 poly(methyl methacrylate) chain segments is provided in Scheme 8 as an example [57]. A core molecule containing 6 hydroxyl groups is first activated with Sn(Oct)2 in the presence of ε-caprolactone to produce a six-arm star polymer with hydroxyl chain ends. Branching points are introduced at the ends of the star-branched structure by coupling with a dendritic fragment (1) containing four protected hydroxyl groups in the presence of diisopropyl azodicarboxylate (DIAD) and triphenylphosphine (TPP). These are subsequently deprotected and converted to tertiary bromide moieties serving in the ATRP growth of poly(methyl methacrylate) chain segments.
Scheme 8.
Synthesis of a dendrimer-like G1 star copolymer with a poly(ε-caprolactone) core and poly(methyl methacrylate) side-chains according to Hedrick et al.
Scheme 8.
Synthesis of a dendrimer-like G1 star copolymer with a poly(ε-caprolactone) core and poly(methyl methacrylate) side-chains according to Hedrick et al.

The copolymers were verified to possess phase-segregated morphologies on the basis of dynamic mechanical analysis and differential scanning calorimetry measurements [56,57]. The morphology of dendrimer-like molecules was investigated in SANS contrast matching experiments for a series of isomeric copolymers incorporating isomeric branched poly(ε-caprolactone) cores varying from star-branched to G2 dendrimer-like structures, with deuterated poly(methyl methacrylate) segments end-grafted on the last generation of poly(ε-caprolactone) segments [58]. The main finding was that cores with more highly branched structures (of increasing generation number) had a more uniform distribution of chain segments, presenting similarities to uniformly branched polymer networks.
4.2. Grafting onto Methodologies
Different strategies have been developed by the group of Hirao for the synthesis of dendrimer-like star polymers incorporating segments of poly(methyl methacrylate) and polystyrene building blocks, as well as other polymers as corona materials. These techniques are based on the introduction of latent or protected coupling sites as chain ends in the synthesis of the side-chains, using suitable protected organolithium initiators, and coupling of the “living” polymers with a substrate. The method presented in 2004 for the synthesis of dendrimer-like star homopolymers of poly(methyl methacrylate) (PMMA) is outlined in Scheme 9 [59]. The synthesis starts with the addition of sec-butyllithium to 1,1-bis(3-tert-butyldimethylsilyloxymethylphenyl)ethylene, a 1,1-diphenylethylene derivative containing two benzylic groups protected as silyl ethers. The resulting organolithium compound, when used to initiate the polymerization of methyl methacrylate, introduces latent coupling sites at the end of the PMMA chain opposite to the propagating centre. The “living” chains are coupled with α,α’-dibromoxylene and treated with trimethylsilyl chloride/LiBr to convert the four silyl ether moieties to benzylic bromide coupling sites. Further cycles of grafting with “living” PMMA side-chains containing silyl ether-protected coupling sites and conversion to benzylic bromide sites yields the subsequent generations of dendritic PMMA-based homopolymers. Variations of this technique have been applied to the synthesis of dendrimer-like PMMA copolymers with tetrafunctional branching points and a corona of poly(methacrylic acid), poly((2,3-dihydroxy)propyl methacrylate), or poly(2-vinylpyridine) chain segments [60]. Copolymers having layered morphologies, with alternating polystyrene and PMMA segments, have also been reported [61].
Scheme 9.
Synthesis of dendrimer-like star poly(methyl methacrylate) according to Hirao et al. Reprinted from Reference 59 by permission from the American Chemical Society.
Scheme 9.
Synthesis of dendrimer-like star poly(methyl methacrylate) according to Hirao et al. Reprinted from Reference 59 by permission from the American Chemical Society.

4.3. Grafting through Methodology
The synthesis of dendrimer-like star copolymers of low branching functionalities (G1 structures) has been achieved by Hadjichristidis et al. by a stepwise grafting through technique summarized in Scheme 10 [62]. Macromonomers were generated by coupling polyisoprenyllithium or polystyryllithium with one equivalent of 4-(chlorodimethylsilyl)styrene and reacted with a “living” polymer (polyisoprenyllithium or polystyryllithium) to generate a polymer with a propagating center at the junction point (in-chain “living” polymer in Scheme 10). This macroanion was used to initiate the polymerization of isoprene and give an off-center “living” polymer, which was ultimately coupled with trichloromethylsilane to yield the G1 dendrimer-like copolymer structure. The formation of multimolecular micelles by self-assembly of these copolymers in selective solvents has been the topic of an investigation [63].
Scheme 10.
Stepwise synthesis of dendrimer-like star copolymers with polystyrene and polyisoprene segments according to Hadjichristidis et al. Adapted from Reference 62 by permission from Wiley.
Scheme 10.
Stepwise synthesis of dendrimer-like star copolymers with polystyrene and polyisoprene segments according to Hadjichristidis et al. Adapted from Reference 62 by permission from Wiley.

5. Conclusions
The papers reviewed herein show that a wide range of heterogeneous dendrigraft copolymer architectures with core-shell and core-shell-corona morphologies can be synthesized, and at a much lower cost than for typical dendrimer syntheses. The very high molecular weight and larger size of dendrigraft polymers as compared to dendrimers is another important feature distinguishing these two families of dendritic macromolecules. Furthermore, the uniform size/molecular weight distribution of dendrigraft polymers in comparison to hyperbranched systems can be advantageous for certain applications. The methods available for the synthesis of dendrigraft polymers include stepwise cycles of substrate functionalization and grafting, and one-pot methods not requiring the isolation and purification of reaction intermediates. The second approach is particularly attractive, because it enables the synthesis of dendrigraft polymers on a large scale and opens up the path to commercial applications for these materials. A few of these potential applications have already been demonstrated, but it is clear that much work remains to be done to realize the full potential of dendrigraft polymers.
Acknowledgements
The financial support of the University of Guanajuato is gratefully acknowledged by L.-E. S. C.
References and Notes
- Tezuka, Y.; Oike, H. Topological polymer chemistry. Prog. Polym. Sci. 2002, 27, 1069–1122. [Google Scholar]
- Hadjichristidis, N.; Pitsikalis, M.; Iatrou, H.; Pispas, S. The strength of the macromonomer strategy for complex macromolecular architecture: Molecular characterization, properties and applications of polymacromonomers. Macromol. Rapid Commun. 2003, 24, 979–1013. [Google Scholar] [CrossRef]
- Taton, D. From stars to microgels. In Macromolecular Engineering; Matyjaszewski, K., Gnanou, Y., Leibler, L., Eds.; Wiley-VCH: Weinheim, Germany, 2007; Volume 2, pp. 1007–1056. [Google Scholar]
- Fréchet, J.M.J.; Tomalia, D.A. Dendrimers and Dendritic Polymers; Wiley: West Sussex, UK, 2001. [Google Scholar]
- Vögtle, F.; Richardt, G.; Werner, N. Dendrimer Chemistry: Concepts, Syntheses, Properties, Applications; Wiley-VCH: Weinheim, Germany, 2009. [Google Scholar]
- Teertstra, S.J.; Gauthier, M. Dendrigraft polymers: Macromolecular engineering on a mesoscopic scale. Prog. Polym. Sci. 2004, 29, 277–327. [Google Scholar] [CrossRef]
- Gauthier, M. Arborescent polymers and other dendrigraft polymers: A journey into structural diversity. J. Polym. Sci. A Polym. Chem. 2007, 45, 3803–3810. [Google Scholar] [CrossRef]
- Gauthier, M.; Möller, M. Uniform highly branched polymers by anionic grafting: Arborescent graft polymers. Macromolecules 1991, 24, 4548–4553. [Google Scholar] [CrossRef]
- Tomalia, D.A.; Hedstrand, D.M.; Ferritto, M.S. Comb-burst dendrimer topology: New macromolecular architecture derived from dendritic grafting. Macromolecules 1991, 24, 1435–1438. [Google Scholar] [CrossRef]
- For a general review on the synthesis of dendrimer-like star polymers, see for example, Hirao, A.; Sugiyama, K.; Matsuo, A.; Tsunoda, Y.; Watanabe, T. Synthesis of well-defined dendritic hyperbranched polymers by iterative methodologies using living/controlled polymerizations. Polym. Int. 2008, 57, 554–570. [Google Scholar]
- Ishizu, K.; Uchida, S. Synthesis and microphase-separated structures of star-block copolymers. Prog. Polym. Sci. 1999, 24, 1439–1480. [Google Scholar] [CrossRef]
- Gohy, J.-F. Block copolymer micelles. Adv. Polym. Sci. 2005, 190, 65–136. [Google Scholar]
- Denkova, A.G.; Mendes, E.; Coppens, M.-O. Non-equilibrium dynamics of block copolymer micelles in solution: Recent insights and open questions. Soft Matter 2010, 6, 2351–2357. [Google Scholar] [CrossRef]
- O’Reilly, R.K.; Hawker, C.J.; Wooley, K.L. Cross-linked block copolymer micelles: Functional nanostructures of great potential and versatility. Chem. Soc. Rev. 2006, 35, 1068–1083. [Google Scholar] [CrossRef] [PubMed]
- Norakankorn, C.; Pan, Q.; Rempel, G.L.; Kiatkamjornwong, S. Factorial experimental design on synthesis of functional core/shell polymeric nanoparticles via differential microemulsion polymerization. J. Appl. Polym. Sci. 2010, 116, 1291–1298. [Google Scholar]
- Pascual, S.; Urbani, C.N.; Monteiro, M.J. Functionalization of polymer nanoparticles formed by microemulsion RAFT-mediated polymerization. Macromol. React. Eng. 2010, 4, 257–263. [Google Scholar] [CrossRef]
- Li, J.; Gauthier, M. A novel synthetic path to arborescent graft polystyrenes. Macromolecules 2001, 34, 8918–8924. [Google Scholar] [CrossRef]
- Frank, R.S.; Merkle, G.; Gauthier, M. Characterization of pyrene-labeled arborescent polystyrenes using fluorescence quenching techniques. Macromolecules 1997, 30, 5397–5402. [Google Scholar] [CrossRef]
- Yun, S.I.; Lai, K.-C.; Briber, R.M.; Teertstra, S.J.; Gauthier, M.; Bauer, B.J. Conformation of arborescent polymers in solution by small-angle neutron scattering: Segment density and core-shell morphology. Macromolecules 2008, 41, 175–183. [Google Scholar] [CrossRef]
- Gauthier, M.; Tichagwa, L.; Downey, J.S.; Gao, S. Arborescent graft copolymers: Highly branched macromolecules with a core-shell morphology. Macromolecules 1996, 29, 519–527. [Google Scholar] [CrossRef]
- Njikang, G.N.; Cao, L.; Gauthier, M. Self-assembly of arborescent polystyrene-graft-poly(ethylene oxide) copolymers at the air/water interface. Macromol. Chem. Phys. 2008, 209, 907–918. [Google Scholar] [CrossRef]
- Njikang, G.N.; Cao, L.; Gauthier, M. Pressure- and temperature-induced association of arborescent polystyrene-graft-poly(ethylene oxide) copolymers at the air-water interface. Langmuir 2008, 24, 12919–12927. [Google Scholar] [CrossRef] [PubMed]
- Kee, R.A.; Gauthier, M. Arborescent polystyrene-graft-poly(2-vinylpyridine) copolymers: Synthesis and enhanced polyelectrolyte effect in solution. Macromolecules 2002, 35, 6526–6532. [Google Scholar] [CrossRef]
- Gauthier, M.; Li, J.; Dockendorff, J. Arborescent polystyrene-graft-poly(2-vinylpyridine) copolymers as unimolecular micelles. Synthesis from acetylated substrates. Macromolecules 2003, 36, 2642–2648. [Google Scholar] [CrossRef]
- Kee, R.A.; Gauthier, M. Arborescent polystyrene-graft-poly(tert-butyl methacrylate) copolymers: Synthesis and enhanced polyelectrolyte effect in solution. J. Polym. Sci. A Polym. Chem. 2008, 46, 2335–2346. [Google Scholar] [CrossRef]
- Yun, S.I.; Briber, R.M.; Kee, R.A.; Gauthier, M. Dilute-solution structure of charged arborescent graft polymer. Polymer 2006, 47, 2750–2759. [Google Scholar] [CrossRef]
- Njikang, G.; Gauthier, M.; Li, J. Arborescent polystyrene-graft-poly(2-vinylpyridine) copolymers as unimolecular micelles: Solubilization studies. Polymer 2008, 49, 1276–1284. [Google Scholar] [CrossRef]
- Njikang, G.N.; Gauthier, M.; Li, J. Sustained release properties of arborescent polystyrene-graft-poly(2-vinylpyridine) copolymers. Polymer 2008, 49, 5474–5481. [Google Scholar] [CrossRef]
- Kee, R.A.; Gauthier, M. Arborescent polystyrene-graft-polyisoprene copolymers. Macromolecules 1999, 32, 6478–6484. [Google Scholar] [CrossRef]
- Li, J.; Gauthier, M.; Teertstra, S.J.; Xu, H.; Sheiko, S.S. Synthesis of arborescent polystyrene-graft-polyisoprene copolymers using acetylated substrates. Macromolecules 2004, 37, 795–802. [Google Scholar] [CrossRef]
- Teertstra, S.J.; Gauthier, M. Viscoelastic properties of arborescent polystyrene-graft-polyisoprene copolymers. Macromolecules 2007, 40, 1657–1666. [Google Scholar] [CrossRef]
- Gauthier, M.; Lin, W.-Y.; Teertstra, S.J.; Tzoganakis, C. Fluorine-containing arborescent polystyrene-graft-polyisoprene copolymers as polymer processing additives. Polymer 2010, 51, 3123–3129. [Google Scholar] [CrossRef]
- Dockendorff, J.; Gauthier, M.; Mourran, A.; Möller, M. Arborescent amphiphilic copolymers as templates for the preparation of gold nanoparticles. Macromolecules 2008, 41, 6621–6623. [Google Scholar] [CrossRef]
- Mössmer, S.; Spatz, J.P.; Möller, M.; Aberle, T.; Schmidt, J.; Burchard, W. Solution behavior of poly(styrene)-block-poly(2-vinylpyridine) micelles containing gold nanoparticles. Macromolecules 2000, 33, 4791–4798. [Google Scholar] [CrossRef]
- Yuan, Z.; Gauthier, M. One-pot synthesis of arborescent polystyrenes. Macromolecules 2006, 39, 2063–2071. [Google Scholar] [CrossRef]
- Yuan, Z.; Gauthier, M. Synthesis of arborescent copolymers by a one-pot method. Macromol. Chem. Phys. 2007, 208, 1615–1624. [Google Scholar] [CrossRef]
- Puskas, J.E.; Chen, Y.; Dahman, Y.; Padavan, D. Polyisobutylene-based biomaterials. J. Polym. Sci. A Polym. Chem. 2004, 42, 3091–3109. [Google Scholar] [CrossRef]
- Puskas, J.E.; Kwon, Y.; Anthony, P.; Bhowmick, A.K. Synthesis and characterization of novel dendritic (arborescent, hyperbranched) polyisobutylene-polystyrene block copolymers. J. Polym. Sci. A Polym. Chem. 2005, 43, 1811–1826. [Google Scholar] [CrossRef]
- Puskas, J.E.; Kwon, Y. Biomacromolecular engineering: Design, synthesis and characterization. One-pot synthesis of block copolymers of arborescent polyisobutylene and polystyrene. Polym. Adv. Technol. 2006, 17, 615–620. [Google Scholar] [CrossRef]
- Puskas, J.E.; Dos Santos, L.M.; Kaszas, G.; Kulbaba, K. Novel thermoplastic elastomers based on arborescent (dendritic) polyisobutylene with short copolymer end sequences. J. Polym. Sci. A: Polym. Chem. 2009, 47, 1148–1158. [Google Scholar] [CrossRef]
- Puskas, J.E.; Hoerr, R.A. Drug release from novel rubbery coatings. Macromol. Symp. 2010, 291-292, 326–329. [Google Scholar] [CrossRef]
- Schappacher, M.; Putaux, J.L.; Lefebvre, C.; Deffieux, A. Molecular containers based on amphiphilic PS-b-PMVE dendrigraft copolymers: Topology, organization, and aqueous solution properties. J. Am. Chem. Soc. 2005, 127, 2990–2998. [Google Scholar] [CrossRef] [PubMed]
- Schappacher, M.; Deffieux, A.; Putaux, J.-L.; Viville, P.; Lazzaroni, R. Synthesis and characterization of water-soluble amphipatic polystyrene-based dendrigrafts. Macromolecules 2003, 36, 5776–5783. [Google Scholar] [CrossRef]
- Schappacher, M.; Deffieux, A. Encapsulation of metallo-porphyrins into water-soluble amphipatic dendrigrafts. Polymer 2004, 45, 4633–4639. [Google Scholar] [CrossRef]
- Bernard, J.; Schappacher, M.; Viville, P.; Lazzaroni, R.; Deffieux, A. Synthesis and properties of PS-PEO core-shell amphiphilic dendrigrafts. Polymer 2005, 46, 6767–6776. [Google Scholar] [CrossRef]
- Dworak, A.; Wałach, W. Synthesis, characterization and properties of functional star and dendritic block copolymers of ethylene oxide and glycidol with oligoglycidol branching units. Polymer 2009, 50, 3440–3447. [Google Scholar] [CrossRef]
- Walach, W.; Trzebicka, B.; Justynska, J.; Dworak, A. High molecular arborescent polyoxyethylene with hydroxyl containing shell. Polymer 2004, 45, 1755–1762. [Google Scholar] [CrossRef]
- Six, J.-L.; Gnanou, Y. From star-shaped to dendritic poly(ethylene oxide)s: Toward increasingly branched architectures by anionic polymerization. Macromol. Symp. 1995, 95, 137–150. [Google Scholar] [CrossRef]
- Angot, S.; Taton, D.; Gnanou, Y. Amphiphilic stars and dendrimer-like architectures based on poly(ethylene oxide) and polystyrene. Macromolecules 2000, 33, 5418–5426. [Google Scholar] [CrossRef]
- Taton, D.; Cloutet, E.; Gnanou, Y. Novel amphiphilic branched copolymers based on polystyrene and poly(ethylene oxide). Macromol. Chem. Phys. 1998, 199, 2501–2510. [Google Scholar] [CrossRef]
- Matmour, R.; Lepoittevin, B.; Joncheray, T.J.; El-Khouri, R.J.; Taton, D.; Duran, R.S.; Gnanou, Y. Synthesis and investigation of surface properties of dendrimer-like copolymers based on polystyrene and poly(tert-butylacrylate). Macromolecules 2005, 38, 5459–5467. [Google Scholar] [CrossRef]
- Joncheray, T.J.; Bernard, S.A.; Matmour, R.; Lepoittevin, B.; El-Khouri, R.J.; Taton, D.; Gnanou, Y.; Duran, R.S. Polystyrene-b-poly(tert-butyl acrylate) and polystyrene-b-poly(acrylic acid) dendrimer-like copolymers: Two-dimensional self-assembly at the air-water interface. Langmuir 2007, 23, 2531–2538. [Google Scholar] [CrossRef]
- Hou, S.; Chaikof, E.L.; Taton, D.; Gnanou, Y. Synthesis of water-soluble star-block and dendrimer-like copolymers based on poly(ethylene oxide) and poly(acrylic acid). Macromolecules 2003, 36, 3874–3881. [Google Scholar] [CrossRef]
- Feng, X.; Taton, D.; Borsali, R.; Chaikof, E.L.; Gnanou, Y. pH Responsiveness of dendrimer-like poly(ethylene oxide)s. J. Am. Chem. Soc. 2006, 128, 11551–11562. [Google Scholar] [CrossRef] [PubMed]
- Trollsas, M.; Hedrick, J.L. Dendrimer-like star polymers. J. Am. Chem. Soc. 1998, 120, 4644–4651. [Google Scholar] [CrossRef]
- Trollsas, M.; Kelly, M.A.; Claesson, H.; Siemens, R.; Hedrick, J.L. Highly branched block copolymers: Design, synthesis, and morphology. Macromolecules 1999, 32, 4917–4924. [Google Scholar] [CrossRef]
- Hedrick, J.L.; Trollsas, M.; Hawker, C.J.; Atthoff, N.; Claesson, H.; Heise, A.; Miller, R.D.; Mecerreyes, D.; Jérôme, R.; Dubois, P. Dendrimer-like star block and amphiphilic copolymers by combination of ring opening and atom transfer radical polymerization. Macromolecules 1998, 31, 8691–8705. [Google Scholar] [CrossRef]
- Stancik, C.M.; Pople, J.A.; Trollsas, M.; Lindner, P.; Hedrick, J.L.; Gast, A.P. Impact of core architecture on solution properties of dendrimer-like star copolymers. Macromolecules 2003, 36, 5765–5775. [Google Scholar] [CrossRef]
- Matsuo, A.; Watanabe, T.; Hirao, A. Synthesis of well-defined dendrimer-like branched polymers and block copolymer by the iterative approach involving coupling reaction of living anionic polymer and functionalization. Macromolecules 2004, 37, 6283–6290. [Google Scholar] [CrossRef]
- Hirao, A.; Watanabe, T.; Ishizu, K.; Ree, M.; Jin, S.; Jin, K.S.; Deffieux, A.; Schappacher, M.; Carlotti, S. Precise synthesis and characterization of fourth-generation dendrimer-like star-branched poly(methyl methacrylate)s and block copolymers by iterative methodology based on living anionic polymerization. Macromolecules 2009, 42, 682–693. [Google Scholar] [CrossRef]
- Yoo, H.-S.; Watanabe, T.; Hirao, A. Precise synthesis of dendrimer-like star-branched polystyrenes and block copolymers composed of polystyrene and poly(methyl methacrylate) segments by an iterative methodology using living anionic polymerization. Macromolecules 2009, 42, 4558–4570. [Google Scholar] [CrossRef]
- Chalari, I.; Hadjichristidis, N. Synthesis of well-defined second-generation dendritic polymers of isoprene (I) and styrene (S): (S2I)3, (SI’I)3, (I”I’I)3, and (I’2I)4. J. Polym. Sci. A Polym. Chem. 2002, 40, 1519–1526. [Google Scholar] [CrossRef]
- Fernyhough, C.M.; Chalari, I.; Pispas, S.; Hadjichristidis, N. Micellar behavior of a well-defined dendritic polymer (PS2PI)3: The effects of architecture and solvent selectivity. Eur. Polym. J. 2004, 40, 73–79. [Google Scholar] [CrossRef]
© 2010 by the authors; licensee MDPI, Basel, Switzerland. This article is an open access article distributed under the terms and conditions of the Creative Commons Attribution license (http://creativecommons.org/licenses/by/3.0/).