Multi- and All-Acceptor Polymers for High-Performance n-Type Polymer Field Effect Transistors
Abstract
1. Introduction
2. Figures of Merit
2.1. HOMO/LUMO Energy Level Calculation
2.1.1. Calculation Based on CV [19,20]
2.1.2. Calculation via Optical Bandgap [17,20]
2.1.3. Other Methods
2.2. Electron Mobility
2.2.1. Saturation Regime Mobility
2.2.2. Linear Regime Mobility
2.2.3. Mobility Calculation Methods
2.3. Contact Resistance
Methods Used to Calculate Contact Resistance
3. Acceptor Design: From Building Blocks to Multi-Acceptor Architectures
3.1. Acceptor Building Block Families
3.1.1. Imide-Functionalized Arenes
3.1.2. Diketopyrrolopyrrole Derivatives
3.1.3. Bithiophene Imide Derivatives
3.2. Dual-Acceptor Strategy: Foundation of All-Acceptor Approach
3.2.1. Design Rationale
- FMO Deepening: LUMO energy level was significantly lowered (or deepened) by enhancing the electron-withdrawing capacity by incorporating two acceptor units [17,35]. A deep LUMO (ideally near or below −4.0 eV) is essential as it facilitates efficient electron injection from the electrode and stabilizes the resulting electron transport, thus mitigating instability issues caused by ambient oxygen and water [33,35,36]. Concurrently, deepening the HOMO level increases the ionization potential, effectively suppressing hole injection, and guaranteeing the desired unipolar n-type characteristics with minimized minority carrier transport.
- Enhancing Microstructure: Including multiple acceptors, especially those containing heteroatoms, can enhance intermolecular interactions (such as π-π stacking or heteroatom contacts), contributing to a more highly ordered molecular packing and improved charge hopping pathways [37].
3.2.2. Synthesis Methods for Dual-Acceptor Systems
- Stille Polycondensation: Palladium-catalyzed Stille coupling is the standard protocol. However, reactivity issues often arise when two highly electron-deficient monomers are coupled. For instance, the polymerization of dibrominated BTzI monomer (N-alkyl-5,5′-bithiazole-4,4′-dicarboximide) required the use of copper iodide (CuI) as a co-catalyst to achieve the desired A–A homopolymer (PBTzI) with a moderate molecular weight (5.8 kDa) [20].
- Specialized Monomers: Innovations in monomer synthesis are crucial. The use of a specialized monomer, such as distannylated bithiophene imide (BTI-Tin), has successfully enabled the formation of high-performance A–A backbone semiconductors, such as PBTI and the A–A copolymer P(BTI-BTI2) [32].
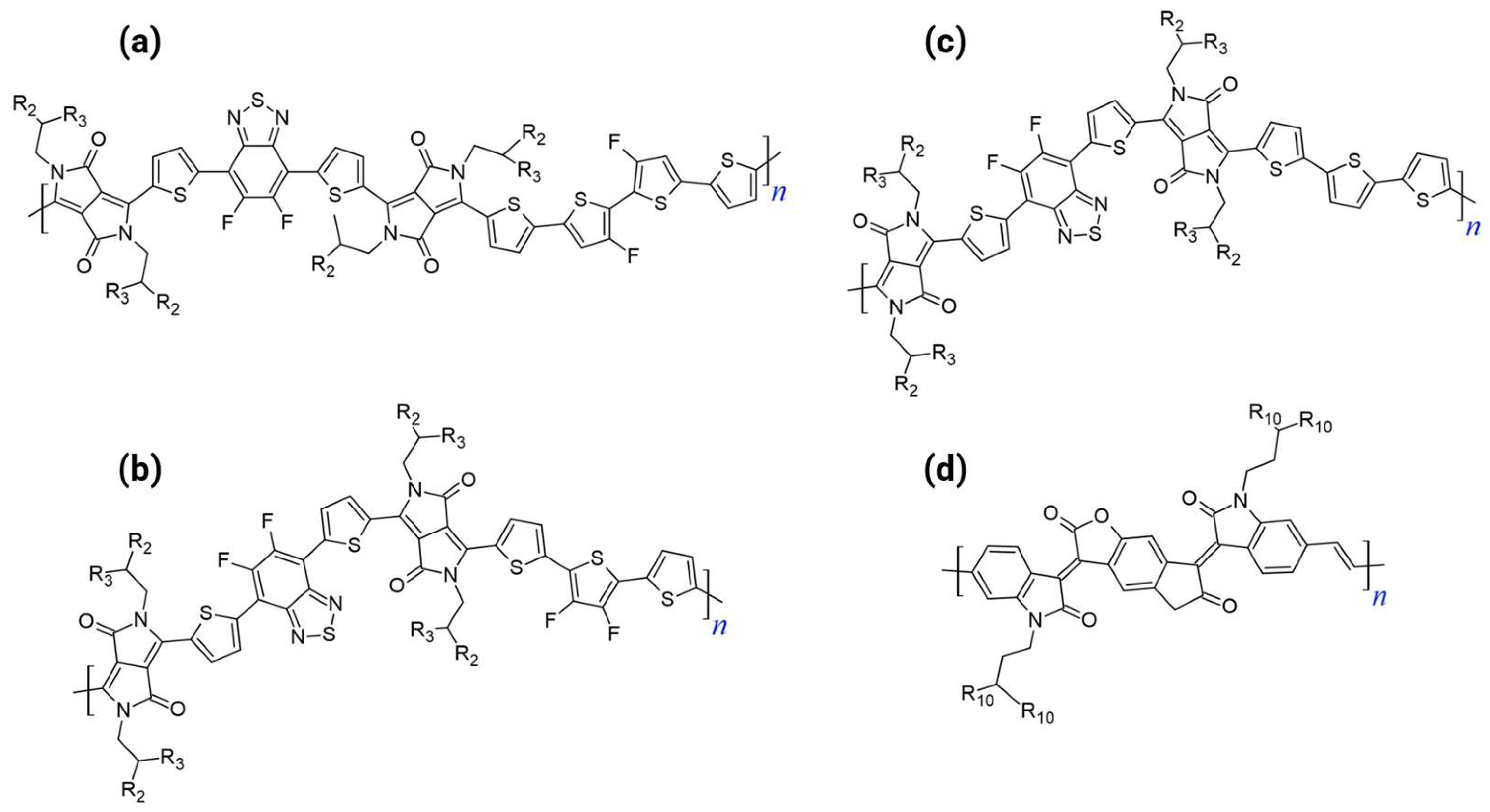
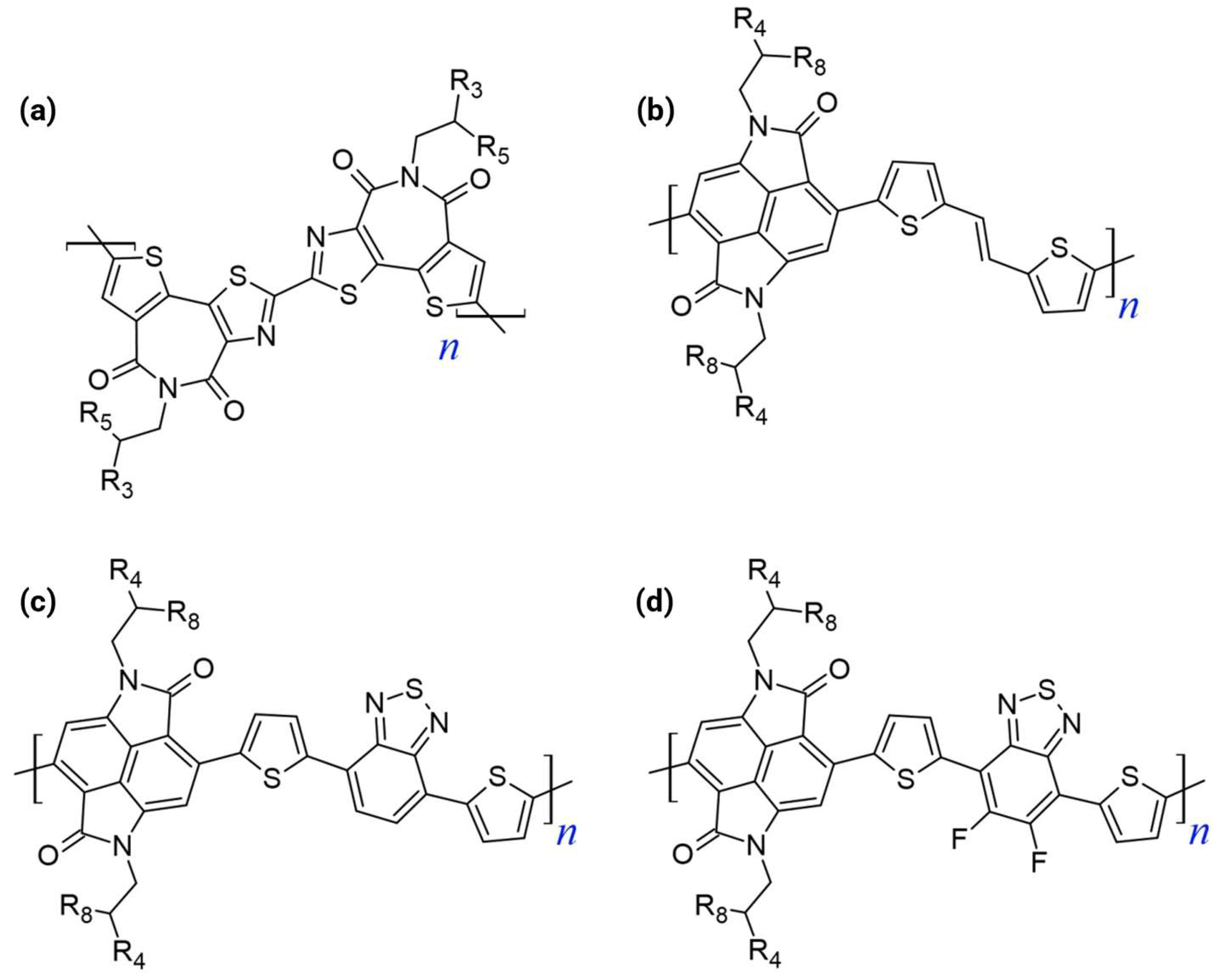
3.3. Triple-Acceptor Architecture: Breakthrough to Ultra-High Performance
3.3.1. Three Acceptors: Strategic Advantages
- Maximal Electron Affinity: The introduction of three strongly electron-deficient units maximizes the electron-withdrawing effect across the polymer repeat units. This maximized deficiency significantly deepened the LUMO and HOMO levels, leading to superior electron injection properties and complete elimination of hole injection, thereby achieving purer unipolar n-type characteristics [37].
- Hybrid Modulation for Unipolarity: Truly successful high-performance n-type polymers often rely on a hybrid strategy that combines multiple acceptors with strategic functionalization. The triple-acceptor architecture provides ample opportunities to incorporate multiple structure-tailoring groups via fluorination or cyanation into different parts of the overall acceptor unit. Fluorination is particularly effective, as the fluorine atoms can induce rigid backbones and high coplanarity through F∙∙∙H or F∙∙∙S non-covalent interactions [2,38].
- Optimized Charge Transport: It is posited that the three sequential acceptors may enhance the intramolecular properties by inducing greater charge coupling, which could lead to a smaller effective mass (m*) of the charge carriers, ultimately promoting more efficient ICT.
3.3.2. Case Study (Unipolar n-Type Focus)
3.3.3. Synthesis Methods for Triple-Acceptor Systems
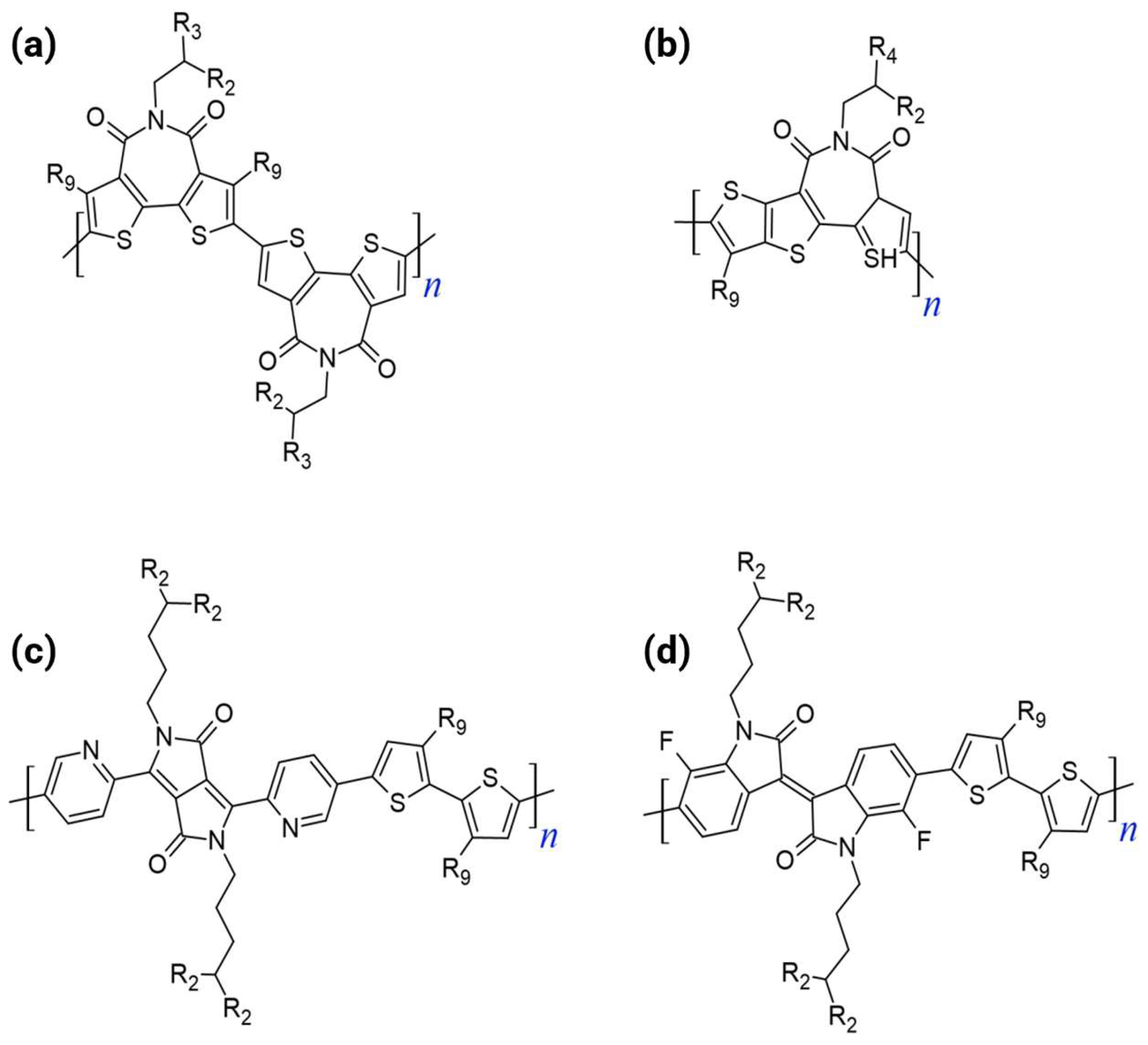
3.4. All-Acceptor Architecture
3.4.1. Strategic Advantages
- Ideal Device Performance: The dual FMO control results in superior device figures of merit, including ultralow off-currents (Ioff in the range of 10−10–10−11 A) and substantial current on/off ratios (Ion/Ioff typically 107–108) [4,29]. In contrast, high-mobility D–A copolymers often suffer from ambipolar transport with a high Ioff (>108 A) and small Ion/Ioff (<105) [4]. The ability of the A–A approach to achieve unipolar electron transport with nearly ideal characteristics underscores its significance.
- Enhanced Electron Affinity and Stability: The highly electron-deficient nature imparted by the A–A backbone increases electron affinity, which is crucial for ambient device operational stability, especially compared to D–A systems, where the donor units destabilize the LUMO.
3.4.2. Synthesis Methods for All-Acceptor Systems
- Optimized Stille Polycondensation: This method has proven to be effective when highly purified monomers are used. In the synthesis of ladder-type homopolymers of PBTIn, Pd-catalyzed Stille coupling yielded superior material quality and higher molecular weights than Ni-mediated Yamamoto coupling, directly correlating with improved device performance [29].
- Direct Arylation Polycondensation: Direct arylation and polycondensation (DArP) offers an atom-economical and environmentally friendly synthesis [38]. A modified DArP method, typically employing Pd/Cu co-catalysts, successfully produced high-molecular-weight A–A polymers, even when the monomers lacked the conventional orienting or activating groups required for C–H bond activation. This protocol successfully produced high-quality A–A polymers that were previously inaccessible via the conventional Suzuki or Stille methods [35].
3.5. Multi-Acceptor Performance Hierarchy and Design Guidelines
3.5.1. Design Guidelines
- Electronic Structure Control (Deep FMOs): The central tenet of unipolar n-type polymers is deep LUMO to facilitate electron injection/transport and concurrently deep HOMO to suppress hole injection [3,33]. This is systematically achieved by increasing the overall loading of electron-withdrawing units, as exemplified by the shift from D–A to A–A architectures and the incorporation of strong electron-withdrawing functionalities (e.g., cyano or fluorine substitution) onto the acceptor backbone [2,17].
- Solubility and Molecular Weight: To enable solution processing for thin-film fabrication, sufficient alkyl side chains must be incorporated to ensure solubility, even as the extended backbone decreases the intrinsic solubility [37]. Furthermore, a high molecular weight is crucial because the charge transport properties can be sensitive to the degree of polymerization. Therefore, it is necessary to develop tailored synthesis methods to achieve a high Mn for inherently low-reactivity A–A monomers [29].
3.5.2. When Does Complexity Pay Off?
- Payoff of Hybrid Modulation: The productive complexity was observed in the hybrid approach (multi-acceptor + strong EWGs). For example, the cyanofunctionalization of BTI (creating CNI derivatives) overcomes the performance ceiling of the unfunctionalized BTI acceptor, yielding significant improvements in the n-type stability and FMO depth [17].
- Diminishing Returns of Ladder Extension: Conversely, the complexity of extending the fused ladder-type structure does not always yield proportional performance gains. In the A–A homopolymer series PBTIn, increasing the monomer size from PBTI1 (3 rings, µe = 3.71 cm2 V−1 s−1) to PBTI5 (15 rings, µe = 0.014 cm2 V−1 s−1) resulted in a monotonic two-order-of-magnitude decrease in electron mobility [29]. This decrease was attributed to the extension of the ladder-type blocks, which negatively affected the freedom of motion of the building blocks and polymer chains during film formation, leading to increased disordered phases, reduced crystallinity, and diminished charge transport. This result serves as a key guideline: maximizing the conjugation and rigidity does not inherently lead to better mobility if it compromises the ability of the material to self-assemble into a highly ordered film.
3.6. Halogenation Strategy
3.7. Cyano Functionalization Strategy
3.8. Doping Strategy for High-Performance n-Type Polymers
4. Microstructure, Transport, and Device Engineering
4.1. Charge Transport Mechanisms
4.2. Molecular Packing and π-Stacking
4.3. Chain Orientation and Texture
4.4. Solution Processing and Morphology Control
5. Device Architecture and Interface Engineering
5.1. Device Architecture Selection
5.2. Dielectric Material Selection and Interface Optimization
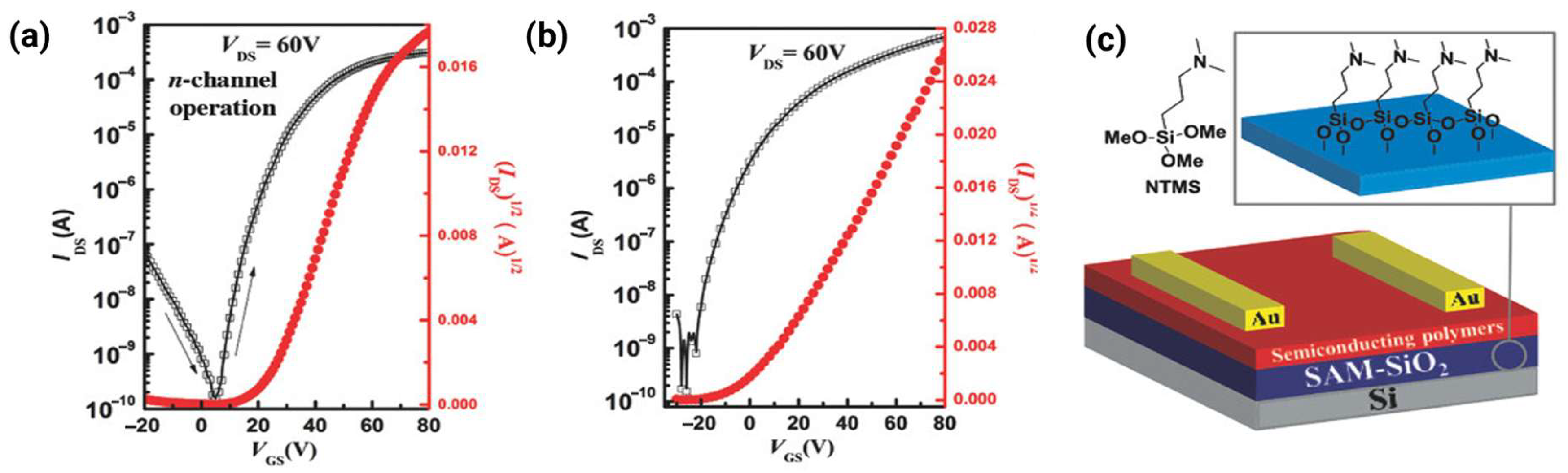
5.2.1. Self-Assembled Monolayer (SAM) Engineering
5.2.2. Contact Engineering for Efficient Charge Injection
5.3. Performance Metrics and Optimization
5.3.1. Ensuring Reliability in Mobility Extraction
5.3.2. Molecular Weight and Processing Optimization
5.3.3. Strategic Processing Guidelines
5.4. Device Stability
5.4.1. Ambient Stability: Time-Dependent Degradation
5.4.2. Bias Stress Stability: Interface Charge Trapping
- An all-acceptor polymer (P3) showed remarkable bias stress stability tested over a timescale up to 103 s under continuous operation, with VT shift < 1 V, and its source-drain current (IDS) remained relatively constant (<10% decrease) after 100 on-off switching cycles in ambient conditions [3].
- The OTFTs based on PBBT-NDI showed relatively stable √IDS—VGS characteristics over 103 s under bias stress with minimal hysteresis [15].
5.4.3. Temperature-Dependent Operation and Thermal Stability
6. Opportunities and Challenges
6.1. Emerging Opportunities
6.2. Persistent Challenges
7. Summary and Outlook
Author Contributions
Funding
Data Availability Statement
Conflicts of Interest
References
- Yuan, Z.; Fu, B.; Thomas, S.; Zhang, S.; Deluca, G.; Chang, R.; Lopez, L.; Fares, C.; Zhang, G.; Bredas, J.L.; et al. Unipolar Electron Transport Polymers: A Thiazole Based All-Electron Acceptor Approach. Chem. Mater. 2016, 28, 6045–6049. [Google Scholar] [CrossRef]
- Shen, T.; Li, W.; Zhao, Y.; Wang, Y.; Liu, Y. A Hybrid Acceptor-Modulation Strategy: Fluorinated Triple-Acceptor Architecture for Significant Enhancement of Electron Transport in High-Performance Unipolar n-Type Organic Transistors. Adv. Mater. 2023, 35, 2210093. [Google Scholar] [CrossRef] [PubMed]
- Wang, Y.; Hasegawa, T.; Matsumoto, H.; Michinobu, T. Significant Improvement of Unipolar N-Type Transistor Performances by Manipulating the Coplanar Backbone Conformation of Electron-Deficient Polymers via Hydrogen Bonding. J. Am. Chem. Soc. 2019, 141, 3566–3575. [Google Scholar] [CrossRef] [PubMed]
- Shi, Y.; Guo, H.; Qin, M.; Zhao, J.; Wang, Y.; Wang, H.; Wang, Y.; Facchetti, A.; Lu, X.; Guo, X. Thiazole Imide-Based All-Acceptor Homopolymer: Achieving High-Performance Unipolar Electron Transport in Organic Thin-Film Transistors. Adv. Mater. 2018, 30, 1705745. [Google Scholar] [CrossRef]
- Sun, H.; Vagin, M.; Wang, S.; Crispin, X.; Forchheimer, R.; Berggren, M.; Fabiano, S. Complementary Logic Circuits Based on High-Performance n-Type Organic Electrochemical Transistors. Adv. Mater. 2018, 30, 1704916. [Google Scholar] [CrossRef]
- Fan, Q.; Su, W.; Chen, S.; Kim, W.; Chen, X.; Lee, B.; Liu, T.; Méndez-Romero, U.A.; Ma, R.; Yang, T.; et al. Mechanically Robust All-Polymer Solar Cells from Narrow Band Gap Acceptors with Hetero-Bridging Atoms. Joule 2020, 4, 658–672. [Google Scholar] [CrossRef]
- Alsufyani, M.; Hallani, R.K.; Wang, S.; Xiao, M.; Ji, X.; Paulsen, B.D.; Xu, K.; Bristow, H.; Chen, H.; Chen, X.; et al. The Effect of Aromatic Ring Size in Electron Deficient Semiconducting Polymers for N-Type Organic Thermoelectrics. J. Mater. Chem. C Mater. 2020, 8, 15150–15157. [Google Scholar] [CrossRef]
- Marks, A.; Chen, X.; Wu, R.; Rashid, R.B.; Jin, W.; Paulsen, B.D.; Moser, M.; Ji, X.; Griggs, S.; Meli, D.; et al. Synthetic Nuances to Maximize N-Type Organic Electrochemical Transistor and Thermoelectric Performance in Fused Lactam Polymers. J. Am. Chem. Soc. 2022, 144, 4642–4656. [Google Scholar] [CrossRef]
- Zhou, G.; Cao, Z.; Liu, Y.; Zheng, H.; Xu, K. Highly Sensitive and Stable Glucose Sensing Using N-Type Conducting Polymer Based Organic Electrochemical Transistor. J. Electroanal. Chem. 2024, 952, 117961. [Google Scholar] [CrossRef]
- Eckstein, B.J.; Melkonyan, F.S.; Wang, G.; Wang, B.; Manley, E.F.; Fabiano, S.; Harbuzaru, A.; Ponce Ortiz, R.; Chen, L.X.; Facchetti, A.; et al. Processable High Electron Mobility π-Copolymers via Mesoscale Backbone Conformational Ordering. Adv. Funct. Mater. 2021, 31, 2009359. [Google Scholar] [CrossRef]
- Ly, J.T.; Burnett, E.K.; Thomas, S.; Aljarb, A.; Liu, Y.; Park, S.; Rosa, S.; Yi, Y.; Lee, H.; Emrick, T.; et al. Efficient Electron Mobility in an All-Acceptor Napthalenediimide-Bithiazole Polymer Semiconductor with Large Backbone Torsion. ACS Appl. Mater. Interfaces 2018, 10, 40070–40077. [Google Scholar] [CrossRef] [PubMed]
- Zheng, Y.Q.; Lei, T.; Dou, J.H.; Xia, X.; Wang, J.Y.; Liu, C.J.; Pei, J. Strong Electron-Deficient Polymers Lead to High Electron Mobility in Air and Their Morphology-Dependent Transport Behaviors. Adv. Mater. 2016, 28, 7213–7219. [Google Scholar] [CrossRef] [PubMed]
- Zhang, Y.; Zhang, W.; Chen, Z.; Wang, L.; Yu, G. Recent Developments in Polymer Semiconductors with Excellent Electron Transport Performances. Chem. Soc. Rev. 2025, 54, 2483–2519. [Google Scholar] [CrossRef] [PubMed]
- Griggs, S.; Marks, A.; Bristow, H.; McCulloch, I. N-Type Organic Semiconducting Polymers: Stability Limitations, Design Considerations and Applications. J. Mater. Chem. C Mater. 2021, 9, 8099–8128. [Google Scholar] [CrossRef]
- Wang, Y.; Hasegawa, T.; Matsumoto, H.; Mori, T.; Michinobu, T. D-A1-D-A2 Backbone Strategy for Benzobisthiadiazole Based n-Channel Organic Transistors: Clarifying the Selenium-Substitution Effect on the Molecular Packing and Charge Transport Properties in Electron-Deficient Polymers. Adv. Funct. Mater. 2017, 27, 1701486. [Google Scholar] [CrossRef]
- Sun, H.; Guo, X.; Facchetti, A. High-Performance n-Type Polymer Semiconductors: Applications, Recent Development, and Challenges. Chem 2020, 6, 1310–1326. [Google Scholar] [CrossRef]
- Feng, K.; Guo, H.; Wang, J.; Shi, Y.; Wu, Z.; Su, M.; Zhang, X.; Son, J.H.; Woo, H.Y.; Guo, X. Cyano-Functionalized Bithiophene Imide-Based n-Type Polymer Semiconductors: Synthesis, Structure-Property Correlations, and Thermoelectric Performance. J. Am. Chem. Soc. 2021, 143, 1539–1552. [Google Scholar] [CrossRef]
- Lei, T.; Dou, J.H.; Cao, X.Y.; Wang, J.Y.; Pei, J. Electron-Deficient Poly(p-Phenylene Vinylene) Provides Electron Mobility over 1 cm2 V−1 s−1 under Ambient Conditions. J. Am. Chem. Soc. 2013, 135, 12168–12171. [Google Scholar] [CrossRef]
- Wang, X.; Lv, L.; Li, L.; Chen, Y.; Zhang, K.; Chen, H.; Dong, H.; Huang, J.; Shen, G.; Yang, Z.; et al. High-Performance All-Polymer Photoresponse Devices Based on Acceptor–Acceptor Conjugated Polymers. Adv. Funct. Mater. 2016, 26, 6306–6315. [Google Scholar] [CrossRef]
- Shi, Y.; Guo, H.; Qin, M.; Wang, Y.; Zhao, J.; Sun, H.; Wang, H.; Wang, Y.; Zhou, X.; Facchetti, A.; et al. Imide-Functionalized Thiazole-Based Polymer Semiconductors: Synthesis, Structure-Property Correlations, Charge Carrier Polarity, and Thin-Film Transistor Performance. Chem. Mater. 2018, 30, 7988–8001. [Google Scholar] [CrossRef]
- Chen, F.; Jiang, Y.; Sui, Y.; Zhang, J.; Tian, H.; Han, Y.; Deng, Y.; Hu, W.; Geng, Y. Donor-Acceptor Conjugated Polymers Based on Bisisoindigo: Energy Level Modulation toward Unipolar n-Type Semiconductors. Macromolecules 2018, 51, 8652–8661. [Google Scholar] [CrossRef]
- Onwubiko, A.; Yue, W.; Jellett, C.; Xiao, M.; Chen, H.Y.; Ravva, M.K.; Hanifi, D.A.; Knall, A.C.; Purushothaman, B.; Nikolka, M.; et al. Fused Electron Deficient Semiconducting Polymers for Air Stable Electron Transport. Nat. Commun. 2018, 9, 416. [Google Scholar] [CrossRef] [PubMed]
- Coropceanu, V.; Cornil, J.; da Silva Filho, D.A.; Olivier, Y.; Silbey, R.; Brédas, J.L. Charge Transport in Organic Semiconductors. Chem. Rev. 2007, 107, 926–952. [Google Scholar] [CrossRef] [PubMed]
- Cheng, M.; Zhang, Y.; Wang, J.; Wang, H.; Xie, Y.; Zhang, S.; Liu, C.; Chu, J.; Zhang, F.; Yang, Z.; et al. High-Performance Air-Stable Polymer Monolayer Transistors for Monolithic 3D CMOS Logics. Adv. Mater. 2025, e15591. [Google Scholar] [CrossRef]
- Yang, J.; Zhao, Z.; Wang, S.; Guo, Y.; Liu, Y. Insight into High-Performance Conjugated Polymers for Organic Field-Effect Transistors. Chem 2018, 4, 2748–2785. [Google Scholar] [CrossRef]
- Chan, P.K.L. The Motivation for and Challenges to Scaling Down Organic Field-Effect Transistors. Adv. Electron. Mater. 2019, 5, 1900029. [Google Scholar]
- Kim, F.S.; Park, C.H.; Na, Y.; Jenekhe, S.A. Effects of Ladder Structure on the Electronic Properties and Field-Effect Transistor Performance of Poly(Benzobisimidazobenzophenanthroline). Org. Electron. 2019, 69, 301–307. [Google Scholar] [CrossRef]
- Shi, S.; Tang, L.; Guo, H.; Uddin, M.A.; Wang, H.; Yang, K.; Liu, B.; Wang, Y.; Sun, H.; Woo, H.Y.; et al. Bichalcogenophene Imide-Based Homopolymers: Chalcogen-Atom Effects on the Optoelectronic Property and Device Performance in Organic Thin-Film Transistors. Macromolecules 2019, 52, 7301–7312. [Google Scholar] [CrossRef]
- Wang, Y.; Guo, H.; Harbuzaru, A.; Uddin, M.A.; Arrechea-Marcos, I.; Ling, S.; Yu, J.; Tang, Y.; Sun, H.; López Navarrete, J.T.; et al. (Semi)Ladder-Type Bithiophene Imide-Based All-Acceptor Semiconductors: Synthesis, Structure-Property Correlations, and Unipolar n-Type Transistor Performance. J. Am. Chem. Soc. 2018, 140, 6095–6108. [Google Scholar] [CrossRef]
- Letizia, J.A.; Salata, M.R.; Tribout, C.M.; Facchetti, A.; Ratner, M.A.; Marks, T.J. N-Channel Polymers by Design: Optimizing the Interplay of Solubilizing Substituents, Crystal Packing, and Field-Effect Transistor Characteristics in Polymeric Bithiophene-Imide Semiconductors. J. Am. Chem. Soc. 2008, 130, 9679–9694. [Google Scholar] [CrossRef]
- Wang, Y.; Hasegawa, T.; Matsumoto, H.; Mori, T.; Michinobu, T. High-Performance n-Channel Organic Transistors Using High-Molecular-Weight Electron-Deficient Copolymers and Amine-Tailed Self-Assembled Monolayers. Adv. Mater. 2018, 30, 1707164. [Google Scholar] [CrossRef]
- Shi, Y.; Guo, H.; Huang, J.; Zhang, X.; Wu, Z.; Yang, K.; Zhang, Y.; Feng, K.; Woo, H.Y.; Ortiz, R.P.; et al. Distannylated Bithiophene Imide: Enabling High-Performance n-Type Polymer Semiconductors with an Acceptor–Acceptor Backbone. Angew. Chem. Int. Ed. Engl. 2020, 59, 14449–14457. [Google Scholar] [CrossRef] [PubMed]
- Li, J.; Chen, Z.; Wang, J.; Young Jeong, S.; Yang, K.; Feng, K.; Yang, J.; Liu, B.; Woo, H.Y.; Guo, X. Semiconducting Polymers Based on Simple Electron-Deficient Cyanated Trans-1,3-Butadienes for Organic Field-Effect Transistors. Angew. Chem. Int. Ed. Engl. 2023, 62, e202307647. [Google Scholar] [CrossRef] [PubMed]
- Sui, Y.; Shi, Y.; Deng, Y.; Li, R.; Bai, J.; Wang, Z.; Dang, Y.; Han, Y.; Kirby, N.; Ye, L.; et al. Direct Arylation Polycondensation of Chlorinated Thiophene Derivatives to High-Mobility Conjugated Polymers. Macromolecules 2020, 53, 10147–10154. [Google Scholar] [CrossRef]
- Wang, Y.; Hasegawa, T.; Matsumoto, H.; Michinobu, T. Significant Difference in Semiconducting Properties of Isomeric All-Acceptor Polymers Synthesized via Direct Arylation Polycondensation. Angew. Chem. 2019, 131, 12019–12028. [Google Scholar] [CrossRef]
- Buckley, C.; Thomas, S.; McBride, M.; Yuan, Z.; Zhang, G.; Bredas, J.L.; Reichmanis, E. Synergistic Use of Bithiazole and Pyridinyl Substitution for Effective Electron Transport Polymer Materials. Chem. Mater. 2019, 31, 3957–3966. [Google Scholar] [CrossRef]
- Yi, Z.; Jiang, Y.; Xu, L.; Zhong, C.; Yang, J.; Wang, Q.; Xiao, J.; Liao, X.; Wang, S.; Guo, Y.; et al. Triple Acceptors in a Polymeric Architecture for Balanced Ambipolar Transistors and High-Gain Inverters. Adv. Mater. 2018, 30, 1801951. [Google Scholar] [CrossRef]
- Cai, H.; Zhang, X.; Shi, Y.; Xu, C.; Wang, T.; Wang, C.; Du, T.; Deng, Y.; Geng, Y. N-Type Conjugated Polymers Comprising Bithiophene Imide and Multifluorinated Thiophene Moieties Synthesized by Direct Arylation Polycondensation. J. Mater. Chem. C Mater. 2022, 10, 13905–13912. [Google Scholar] [CrossRef]
- Gao, Y.; Deng, Y.; Tian, H.; Zhang, J.; Yan, D.; Geng, Y.; Wang, F. Multifluorination toward High-Mobility Ambipolar and Unipolar n-Type Donor–Acceptor Conjugated Polymers Based on Isoindigo. Adv. Mater. 2017, 29, 1606217. [Google Scholar] [CrossRef]
- Wei, H.; Liu, Y.; Liu, Z.; Guo, J.; Chen, P.A.; Qiu, X.; Dai, G.; Li, Y.; Yuan, J.; Liao, L.; et al. Effect of Backbone Fluorine and Chlorine Substitution on Charge-Transport Properties of Naphthalenediimide-Based Polymer Semiconductors. Adv. Electron. Mater. 2020, 6, 1901241. [Google Scholar] [CrossRef]
- Xu, M.; Wei, C.; Zhang, Y.; Chen, J.; Li, H.; Zhang, J.; Sun, L.; Liu, B.; Lin, J.; Yu, M.; et al. Coplanar Conformational Structure of π-Conjugated Polymers for Optoelectronic Applications. Adv. Mater. 2024, 36, e2301671. [Google Scholar] [CrossRef]
- Feng, K.; Shan, W.; Wang, J.; Lee, J.W.; Yang, W.; Wu, W.; Wang, Y.; Kim, B.J.; Guo, X.; Guo, H. Cyano-Functionalized n-Type Polymer with High Electron Mobility for High-Performance Organic Electrochemical Transistors. Adv. Mater. 2022, 34, e2201340. [Google Scholar] [CrossRef] [PubMed]
- Gao, K.; Wang, C.; Liu, K.; Zhang, H. Cyano Substituted Stilbene-Based Polymers for OFETs: From p-Type to n-Type. Dye. Pigment. 2025, 236, 112685. [Google Scholar] [CrossRef]
- Chen, Z.; Zhang, Z.; Sun, Q.; Jia, Q.; Wang, Z.; Zhang, K.; Wang, C.; Jiang, J.; Cao, L.; Tang, J.; et al. Enhancing N-Type Charge Transport in Organic Transistors: Cyano-Functionalized Thienylene-Vinylene-Thienylene (TVT) Polymers. Dye. Pigment. 2026, 245, 113266. [Google Scholar] [CrossRef]
- Sui, Y.; Deng, Y.; Han, Y.; Zhang, J.; Hu, W.; Geng, Y. N-Type Conjugated Polymers Based on 3,3′-Dicyano-2,2′-Bithiophene: Synthesis and Semiconducting Properties. J. Mater. Chem. C Mater. 2018, 6, 12896–12903. [Google Scholar] [CrossRef]
- Zhao, W.; Ding, J.; Zou, Y.; Di, C.A.; Zhu, D. Chemical Doping of Organic Semiconductors for Thermoelectric Applications. Chem. Soc. Rev. 2020, 49, 7210–7228. [Google Scholar] [CrossRef]
- Xiong, Q.; Han, G.; Wang, G.; Lu, X.; Zhou, X. The Doping Strategies for Modulation of Transport Properties in Thermoelectric Materials. Adv. Funct. Mater. 2024, 34, 2411304. [Google Scholar] [CrossRef]
- Naab, B.D.; Guo, S.; Olthof, S.; Evans, E.G.B.; Wei, P.; Millhauser, G.L.; Kahn, A.; Barlow, S.; Marder, S.R.; Bao, Z. Mechanistic Study on the Solution-Phase n-Doping of 1,3-Dimethyl-2-Aryl-2, 3-Dihydro-1H-Benzoimidazole Derivatives. J. Am. Chem. Soc. 2013, 135, 15018–15025. [Google Scholar] [CrossRef]
- Hochgesang, A.; Erhardt, A.; Mohanraj, J.; Kuhn, M.; Herzig, E.M.; Olthof, S.; Thelakkat, M. Highly Efficient N-Doping via Proton Abstraction of an Acceptor1-Acceptor2 Alternating Copolymer toward Thermoelectric Applications. Adv. Funct. Mater. 2023, 33, 2300614. [Google Scholar] [CrossRef]
- Babel, A.; Jenekhe, S.A. High Electron Mobility in Ladder Polymer Field-Effect Transistors. J. Am. Chem. Soc. 2003, 125, 13656–13657. [Google Scholar] [CrossRef]
- Friend, R.H.; Gymer, R.W.; Holmes, A.B.; Burroughes, J.H.; Marks, R.N.; Taliani, C.; C Bradley, D.D.; Dos Santos, D.A.; Brédas, J.L.; Lögdlund, M.; et al. Electroluminescence in Conjugated Polymers. Nature 1999, 397, 121–128. [Google Scholar] [CrossRef]
- Liu, C.; Huang, K.; Park, W.T.; Li, M.; Yang, T.; Liu, X.; Liang, L.; Minari, T.; Noh, Y.Y. A Unified Understanding of Charge Transport in Organic Semiconductors: The Importance of Attenuated Delocalization for the Carriers. Mater. Horiz. 2017, 4, 608–618. [Google Scholar] [CrossRef]
- Wang, Z.Y.; Di Virgilio, L.; Yao, Z.F.; Yu, Z.-D.; Wang, X.Y.; Zhou, Y.Y.; Li, Q.Y.; Lu, Y.; Zou, L.; Wang, H.I.; et al. Correlating Charge Transport Properties of Conjugated Polymers in Solution Aggregates and Thin-Film Aggregates. Angew. Chem. Int. Ed. Engl. 2021, 60, 20483–20488. [Google Scholar] [CrossRef] [PubMed]
- Noriega, R.; Rivnay, J.; Vandewal, K.; Koch, F.P.V.; Stingelin, N.; Smith, P.; Toney, M.F.; Salleo, A. A General Relationship between Disorder, Aggregation and Charge Transport in Conjugated Polymers. Nat. Mater. 2013, 12, 1038–1044. [Google Scholar] [CrossRef] [PubMed]
- Wang, Z.; Gao, K.; Kan, Y.; Zhang, M.; Qiu, C.; Zhu, L.; Zhao, Z.; Peng, X.; Feng, W.; Qian, Z.; et al. The Coupling and Competition of Crystallization and Phase Separation, Correlating Thermodynamics and Kinetics in OPV Morphology and Performances. Nat. Commun. 2021, 12, 332. [Google Scholar] [CrossRef]
- Riera-Galindo, S.; Tamayo, A.; Mas-Torrent, M. Role of Polymorphism and Thin-Film Morphology in Organic Semiconductors Processed by Solution Shearing. ACS Omega 2018, 3, 2329–2339. [Google Scholar] [CrossRef]
- Cao, X.; Li, H.; Hu, J.; Tian, H.; Han, Y.; Meng, B.; Liu, J.; Wang, L. An Amorphous N-Type Conjugated Polymer with an Ultra-Rigid Planar Backbone. Angew. Chem. Int. Ed. Engl. 2023, 62, e202212979. [Google Scholar] [CrossRef]
- Chen, J.; Zhuang, X.; Zhuang, X.; Huang, W.; Su, M.; Feng, L.W.; Swick, S.M.; Wang, G.; Chen, Y.; Yu, J.; et al. π-Extended Naphthalene Diimide Derivatives for n-Type Semiconducting Polymers. Chem. Mater. 2020, 32, 5317–5326. [Google Scholar] [CrossRef]
- Chen, J.; Wang, S.; Ren, S.; Meng, R.; Shi, W.; Zhu, M.; Zeng, M.; Zhao, Y.; Guo, Y.; Liu, Y. High-Mobility Emissive n-Type Polymer Semiconductors: Strong Synergy of Efficient Carrier-Transporting Diketopyrrolopyrrole and Intense Light-Emitting Phenylene-Vinylene. Adv. Funct. Mater. 2025, 35, 2418105. [Google Scholar] [CrossRef]
- Shi, Y.; Zhang, X.; Wang, T.; Rao, M.; Han, Y.; Deng, Y.; Geng, Y. C-H/C-H Oxidative Direct Arylation Polycondensation to Isoindigo-Based n-Type Conjugated Polymers. Macromolecules 2024, 57, 4158–4166. [Google Scholar] [CrossRef]
- Gong, Z.L.; Guo, Y.; Zhong, Y.W. Advances in Organic Field-Effect Transistors Based on Metal-Organic Coordination Materials and Applications. Mater. Chem. Front. 2023, 7, 6281–6304. [Google Scholar] [CrossRef]
- Raja, M.; Eccleston, B. The Significance of Debye Length in Disordered Doped Organic Devices. J. Appl. Phys. 2011, 110, 114524. [Google Scholar] [CrossRef]
- Venkateshvaran, D.; Nikolka, M.; Sadhanala, A.; Lemaur, V.; Zelazny, M.; Kepa, M.; Hurhangee, M.; Kronemeijer, A.J.; Pecunia, V.; Nasrallah, I.; et al. Approaching Disorder-Free Transport in High-Mobility Conjugated Polymers. Nature 2014, 515, 384–388. [Google Scholar] [CrossRef]
- Khoury, F.; Habli, Z.; Daorah, J.; Xu, Y.; Obeid, M.; Alam, S.; Cauwenberghs, G.; Khraiche, M. Geometry-Optimized Inkjet-Printed Organic Electrochemical Transistors with High Transconductance and Sub-Millisecond Response for Biosensing and Neural Recording. bioRxiv 2025, bioRxiv:686019. [Google Scholar]
- Wang, Y.; Takimiya, K. Naphthodithiophenediimide–Bithiopheneimide Copolymers for High-Performance n-Type Organic Thermoelectrics: Significant Impact of Backbone Orientation on Conductivity and Thermoelectric Performance. Adv. Mater. 2020, 32, 2002060. [Google Scholar] [CrossRef]



















| Polymer Designation (or Acronym Used in Literature) | Acceptor Building Block(s) | LUMO/HOMO Levels | Synthesis Method | Molecular Weight (Mn/Mw) (kg/mol) | Ref |
|---|---|---|---|---|---|
| pDBF-T DPP-Difluorobenzothiadiazole (DFB) triad copolymer | Diketopyrrolopyrrole (DPP), Difluorobenzothiadiazole (DFB) triad | LUMO: −3.60 eV; HOMO: −5.62 eV | Pd-catalyzed Stille-coupling polymerization | Mn: 33.9/Mw: N/A | [2] |
| pDBF-TF DPP-DFB triad copolymer with difluorothiophene donor | Diketopyrrolopyrrole (DPP), Difluorobenzothiadiazole (DFB) triad | LUMO: −3.74 eV; HOMO: −5.66 eV | Pd-catalyzed Stille-coupling polymerization | Mn: 34.4/Mw: N/A | [2] |
| pDBF-2TF DPP-DFB triad copolymer with difluorobithiophene donor | Diketopyrrolopyrrole (DPP), Difluorobenzothiadiazole (DFB) triad | LUMO: −3.62 eV; HOMO: −5.62 eV | Pd-catalyzed Stille-coupling polymerization | Mn: 53.2/Mw: N/A | [2] |
| P3 (NDI/BBTV/Vinylene) NDI/BBTV-F/Vinylene Copolymer | Naphthalene diimide (NDI), Fluorinated vinylene-bridged bis(benzothiadiazole) (BBTV-F), Vinylene spacer | LUMO: −3.80 eV; HOMO: −5.71 eV | Pd(0)/CuI co-catalyzed Stille coupling polycondensation | Mn: 31.6/PDI: 2.5 | [3] |
| P4 (NDI/BBTV/Vinylene + SN) Vinylene-substituted pSNT analog | Naphthalene diimide (NDI), Thiadiazolebenzotriazole (SN), Vinylene spacer | LUMO: −3.87 eV; HOMO: −5.40 eV | Pd(0)/CuI co-catalyzed Stille coupling polycondensation | Mn: 54.9/PDI: 1.8 | [3] |
| PDTzTI Poly(2,2′-bithiazolothienyl-4,4′,10,10′-tetracarboxydiimide) | Bithiazolothienyl-tetracarboxydiimide (DTzTI) | LUMO: −3.77 eV; HOMO: −5.78 eV | Pd-catalyzed Stille-coupling polymerization (CuI cocatalyst used for monomer BTzI) | N/A | [4,20] |
| P2 (NBA/TVT) NBA/TVT copolymer (NBA2DH-TVT) | Naphthalene bis(4,8-diamino-1,5-dicarboxyl)amide (NBA), 1,2-di(2-thienyl)ethylene (TVT) | LUMO: −3.50 eV; HOMO: −5.51 eV | Pd-catalyzed Stille-coupling polymerization | Mn: 38.1/Mw: 143.7 | [10] |
| P3 (NBA/DTBT) NBA/DTBT copolymer (NBA2DH-DTBT) | Naphthalene bis(4,8-diamino-1,5-dicarboxyl)amide (NBA), 4,7-di(2-thienyl)-2,1,3-benzothiadiazole (DTBT) | LUMO: −3.57 eV; HOMO: −5.57 eV | Pd-catalyzed Stille-coupling polymerization | Mn: 61.8/Mw: 225.6 | [10] |
| P4 (NBA/DTBTff) NBA/DTBTff copolymer | Naphthalene bis(4,8-diamino-1,5-dicarboxyl)amide (NBA), 5,6-difluoro-4,7-di(2-thienyl)-2,1,3-benzothiadiazole (DTBTff) | LUMO: −3.59 eV; HOMO: −5.92 eV | Pd-catalyzed Stille-coupling polymerization | Mn: 108.0/Mw: 625.7 | [10] |
| BDPPV Benzodifurandione-based PPV | Benzodifurandione-based oligo(p-phenylene vinylene) (BDOPV) derived unit | LUMO: −4.10 eV; HOMO: −6.12 eV | Stille coupling polymerization using (E)-1,2-bis(tributylstannyl)ethene | Mn: 37.6/PDI: 2.38 | [18] |
| P2N2F-4FBT Bisisoindigo/Tetrafluorobithiophene Copolymer (Azaisoindigo derivative) | Bisisoindigo (bis-azaisoindigo derivative) containing 2 N and 4 F atoms | LUMO: −4.01 eV; HOMO: −6.04 eV | Microwave assisted Stille coupling polycondensation | Mn: 20.3/PDI: 2.20 | [21] |
| PBTI1 Poly(bithiophene imide 1) (Semi-ladder type) | Bithiophene imide (BTI1) | LUMO: −3.48 eV; HOMO: −5.46 eV | Pd-catalyzed Stille coupling | Mn: 12.7/PDI 2.1 | [29] |
| pPTT NDI copolymer with Benzothiadiazole derivative | Naphthalene diimide (NDI) and Benzothiadiazole (BT) derivative containing one sp2-N atom | LUMO: −3.81 eV; HOMO: −5.87 eV | Improved Stille cross-coupling polymerization (Pd(0)/Cu(I) cocatalyst, high Mn protocol) | Mn: 73.2/Mw: 146.3 | [31] |
| pSNT NDI copolymer with Thiadiazolebenzotriazole (SN) | Naphthalene diimide (NDI) and Thiadiazolebenzotriazole (SN) (triple-fused-ring structure) | LUMO: −3.88 eV; HOMO: −5.45 eV | Improved Stille cross-coupling polymerization (Pd(0)/Cu(I) cocatalyst, high Mn protocol) | Mn: 61.3/Mw: 154.2 | [31] |
| PBTI Poly(bithiophene imide) (Synthesized from distannylated monomer) | Bithiophene imide (BTI) | LUMO: −3.45 eV; HOMO: −5.43 eV | Pd-catalyzed Stille coupling of distannylated BTI-Tin with dibrominated BTI-Br | Mn: 35.5/PDI: 1.7 | [32] |
| P(BTI-BTI2) Bithiophene imide copolymerized with fused BTI2 | Bithiophene imide (BTI), Fused Bithiophene Imide (BTI2) | LUMO: −3.55 eV; HOMO: −5.43 eV | Pd-catalyzed Stille coupling of distannylated BTI-Tin with dibrominated BTI2-Br | Mn: 39.4/PDI: 3.0 | [32] |
| PBTI* Poly(bithiophene imide) (Synthesized from dibrominated monomer) | Bithiophene imide (BTI) | LUMO: −3.48 eV; HOMO: −5.46 eV | Pd-catalyzed Stille coupling of dibrominated monomer (BTI-Br) | Mn: 12.7/PDI: 2.1 | [32] |
| PBTI2* Poly(bithiophene imide 2) (fused structure from dibrominated monomer) | Fused Bithiophene Imide (BTI2) | LUMO: −3.53 eV; HOMO: −5.39 eV | Pd-catalyzed Stille coupling of dibrominated monomer (BTI2-Br) | Mn: 13.5/PDI: 2.2 | [32] |
| PCNDFDE-DPP Poly(2,3-di-fluoro-1,4-dicyano-butadiene-alt-DPP) | Diketopyrrolopyrrole (DPP), 2,3-di-fluoro-1,4-dicyano-butadiene (CNDFDE) | LUMO: −4.06 eV; HOMO: −5.79 eV | Pd-catalyzed Stille-coupling polymerization | Mn: 55.6/PDI: 2.7 | [33] |
| P2 (NDI/Thiazole Isomer 2, vacuum) Isomeric NDI/Thiazole All-Acceptor Polymer (Isomer 2) | Naphthalene diimide (NDI), Thiazole derivative (positional isomer) | LUMO: −4.00 eV; HOMO: −6.15 eV | Direct Arylation Polycondensation (DArP) using Pd/Cu co-catalysts (modified method) | Mn: 58.4/PDI: 2.1 | [35] |
| DPPTh-4ClTVT Diketopyrrolopyrrole/Chlorinated TVT Copolymer | Diketopyrrolopyrrole (DPP), (E)-1,2-bis(3,4-dichlorothien-2-yl)ethene (4ClTVT) | LUMO: −3.58 eV; HOMO: −5.41 eV | Direct Arylation Polycondensation (DArP) | Mn: 70.6/PDI: 2.0 | [34] |
| Polymer/Device Code | Device Architecture | Dielectric Used (Material & Thickness) | Contact Modification (Electrode Material, Geometry) | Saturation/Average Electron Mobility (µe, Max/µe, Avg) cm2 V−1 s−1 | On-Off Ratio/OFF Current/Threshold Voltage (Ion/Ioff, VT V) | Ref. |
|---|---|---|---|---|---|---|
| pDBF-T | TG/BC | PMMA | Gate—Ag; Source & Drain—Cr/Au | max: 2.77; avg: 2.29 | 103–105; 15.5 | [2] |
| pDBF-TF | TG/BC | PMMA | Gate—Ag; Source & Drain—Cr/Au | max: 5.04, avg: 3.61 | ≈105; 14.1 | [2] |
| pDBF-2TF | TG/BC | PMMA | Gate—Ag; Source & Drain—Cr/Au | max: 2.16, avg: 1.35 | ≈104; 27.8 | [2] |
| P3 (OTMS) | TC/BG | SiO2 (300 nm) | Gate—n-doped Si, Source & Drain—Au | max: 3.95, avg: 3.29 | 106–107; 8–15 | [3] |
| P3 (NTMS) | TC/BG | SiO2 (300 nm) | Gate—n-doped Si, Source & Drain—Au | max: 3.87, avg: 3.18 | 106–107; 8–15 | [3] |
| P4 (OTMS) | TC/BG | SiO2 (300 nm) | Gate—n-doped Si, Source & Drain—Au | max: 7.37, avg: 6.93 | 106–107; 1–5 | [3] |
| P4 (NTMS) | TC/BG | SiO2 (300 nm) | Gate—n-doped Si, Source & Drain—Au | max: 7.16, avg: 6.77 | 106–107; 1–5 | [3] |
| PDTzTI (Off-center spin coating) | TG/BC | CYTOP | Gate—Al; Source & Drain—Au | max: 1.61, avg: 1.29 | 107–108; 24 | [4] |
| PDTzTI (On-center spin coating) | TG/BC | CYTOP | Gate—Al; Source & Drain—Au | Max: 1.22, avg: 0.87 | 107–108; 35 | [4,20] |
| P2 (NBA-TVT)4 | TG/BC | PMMA | Gate—Al; Source & Drain—Cr/Au | max: 1.85, avg: 1.33 ± 0.46 | log[Ion/Ioff].: 3.3 ± 0.2; 32 ± 3 | [10] |
| P3 (NBA-DTBT)4 | TG/BC | PMMA | Gate—Al; Source & Drain—Cr/Au | max: 3.25, avg: 2.67 ± 0.42 | log[Ion/Ioff].: 3.4 ± 0.1; 29 ± 2 | [10] |
| P4 (NBA-DTBTff)4 | TG/BC | PMMA | Gate—Al; Source & Drain—Cr/Au | max: 4.46, avg: 3.73 ± 0.53 | log[Ion/Ioff].: 3.6 ± 0.4; 33 ± 3 | [10] |
| BDPPV | TG/BC | CYTOP | Gate—Al; Source & Drain—Ti/Au | max: 1.1, avg: 0.84 | ≈106; 51 | [18] |
| P2N2F-4FBT | TG/BC | PMMA (~600 nm) | Gate—Al; Source & Drain—Au | max: 1.24, avg: 1.08 | 105; ≈40 | [21] |
| PBTI1 (Off-center Spin Coating) | TG/BC | CYTOP (~400 nm) | Gate—Al; Source & Drain—Au; CsF spin-cast onto Au S/D electrodes | max: 3.71, avg: 2.67 | 106; 30 | [29] |
| PBTI1 (On-center Spin Coating) | TG/BC | CYTOP (~400 nm) | Gate—Al; Source & Drain—Au; CsF spin-cast onto Au S/D electrodes | max: 1.53, avg: 1.19 | 106; 25 | [29] |
| PBTI2 | TG/BC | CYTOP (~400 nm) | Gate—Al; Source & Drain—Au; CsF spin-cast onto Au S/D electrodes | max: 1.43, avg: 1.07 | 106; 21 | [29] |
| pPTT (OTMS) | TC/BG | SiO2 (300 nm) | Gate—n-doped Si, Source & Drain—Au | max: 2.11, avg: 1.87 ± 0.22 | 105–106; 3 ± 1 | [31] |
| pSNT (OTMS) | TC/BG | SiO2 (300 nm) | Gate—n-doped Si, Source & Drain—Au | max: 4.87, avg: 3.96 ± 0.78 | 105–106; 8 ± 2 | [31] |
| pSNT (NTMS) | TC/BG | SiO2 (300 nm) | Gate—n-doped Si, Source & Drain—Au | max: 5.35, avg: 4.58 ± 0.39 | 106–107; 1 ± 0.2 | [31] |
| PBTI | TG/BC | CYTOP | Gate—Al; Source & Drain—Cr/Au | max: 2.60, avg: 2.50 | 106; 20 | [32] |
| P(BTI-BTI2) | TG/BC | CYTOP | Gate—Al; Source & Drain—Cr/Au | max: 1.23, avg: 0.82 | 106; 17 | [32] |
| PCNDFDE-DPP | TG/BC | CYTOP | Gate—Al; Source & Drain—Au | max: 1.07, avg: 0.98 | 103; 21 | [33] |
| P2 (Vacuum) (OTMS) | TC/BG | SiO2 | Gate—n-doped Si, Source & Drain—Au | max: 2.55, avg: 2.18 | 106–107; −9 ± 5 | [35] |
| P2 (Air) (OTMS) | TC/BG | SiO2 | Gate—n-doped Si, Source & Drain—Au | max: 1.87, avg: 1.66 | 105–106; 5 ± 2 | [35] |
| DPPTh-4ClTVT (PEIE) (spin coating) | TG/BC | PMMA (~600 nm) | Gate—Al; Source & Drain—Ti/Au | max: 1.29, avg: 1.06 | ~105; 5.0–8.6 | [34] |
| DPPTh-4ClTVT (PEIE) (bar coating) | TG/BC | PMMA (~600 nm) | Gate—Al; Source & Drain—Ti/Au | max: 1.44, avg: 1.18 | ~105; 4.7–8.4 | [34] |
Disclaimer/Publisher’s Note: The statements, opinions and data contained in all publications are solely those of the individual author(s) and contributor(s) and not of MDPI and/or the editor(s). MDPI and/or the editor(s) disclaim responsibility for any injury to people or property resulting from any ideas, methods, instructions or products referred to in the content. |
© 2025 by the authors. Licensee MDPI, Basel, Switzerland. This article is an open access article distributed under the terms and conditions of the Creative Commons Attribution (CC BY) license.
Share and Cite
Bharathi, G.; Hong, S. Multi- and All-Acceptor Polymers for High-Performance n-Type Polymer Field Effect Transistors. Polymers 2026, 18, 80. https://doi.org/10.3390/polym18010080
Bharathi G, Hong S. Multi- and All-Acceptor Polymers for High-Performance n-Type Polymer Field Effect Transistors. Polymers. 2026; 18(1):80. https://doi.org/10.3390/polym18010080
Chicago/Turabian StyleBharathi, Ganapathi, and Seongin Hong. 2026. "Multi- and All-Acceptor Polymers for High-Performance n-Type Polymer Field Effect Transistors" Polymers 18, no. 1: 80. https://doi.org/10.3390/polym18010080
APA StyleBharathi, G., & Hong, S. (2026). Multi- and All-Acceptor Polymers for High-Performance n-Type Polymer Field Effect Transistors. Polymers, 18(1), 80. https://doi.org/10.3390/polym18010080

