Influence of the Charge Stoichiometry on the Properties of Biopolymer Films Based on a Polyelectrolyte Complex of Chitosan and Carboxymethyl Starch
Abstract
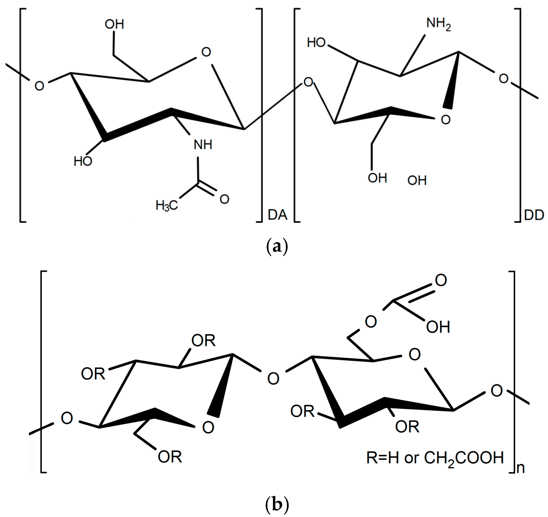
1. Introduction
2. Materials and Methods
2.1. Materials
2.2. Preparation of Chitosan and Carboxymethyl Starch (Bio)PEC Films
2.3. Characterization of Films
2.3.1. Color Properties and Microscopy
2.3.2. Attenuated Total Reflectance Fourier-Transform Infrared Spectroscopy Analysis of Films
2.3.3. Thermal Analysis of Films
2.3.4. Mechanical Analysis of Films
2.3.5. Solubility Test of Films in Liquids
2.3.6. Water Contact Angle of Films
3. Results and Discussion
3.1. Effect of the pH on the (Bio)Polyelectrolyte Complex Formation
3.2. Color Properties and Visual Aspect of Films
3.3. Chemical Composition of Films
3.4. Thermal Stability of Films
3.5. Results of Differential Scanning Calorimetry (DSC) of Films
3.6. Mechanical Properties of Films
3.7. Solubility of Films in Liquids
3.8. Surface Wettability of Films
4. Conclusions
Author Contributions
Funding
Institutional Review Board Statement
Data Availability Statement
Acknowledgments
Conflicts of Interest
Abbreviations
| Bio(PEC) | (Bio)polyelectrolyte complex |
| Chit | Chitosan |
| CMS | Carboxymethyl starch |
| TPP | Sodium tripolyphosphate |
| MMT | Montmorillonite |
| PEMA | Poly(ethylene alt-maleic acid) |
| PAA | Poly(acrylic acid) |
| PEI | Polyethylenimine |
| SGF | Simulated gastric fluid |
| PBS | Phosphate-buffered saline |
| z | Ratio of ionized functional groups |
| n | Number of the samples |
| σ | Tensile strength |
| E | Young’s modulus |
References
- Galus, S.; Arik Kibar, E.A.; Gniewosz, M.; Kraśniewska, K. Novel Materials in the Preparation of Edible Films and Coatings—A Review. Coatings 2020, 10, 674. [Google Scholar] [CrossRef]
- Kadzińska, J.; Janowicz, M.; Kalisz, S.; Bryś, J.; Lenart, A. An Overview of Fruit and Vegetable Edible Packaging Materials. Packag. Technol. Sci. 2019, 32, 483–495. [Google Scholar] [CrossRef]
- Kumar, N.; Pratibha; Trajkovska Petkoska, A.; Khojah, E.; Sami, R.; Al-Mushhin, A.A.M. Chitosan Edible Films Enhanced with Pomegranate Peel Extract: Study on Physical, Biological, Thermal, and Barrier Properties. Materials 2021, 14, 3305. [Google Scholar] [CrossRef] [PubMed]
- Suhag, R.; Kumar, N.; Petkoska, A.T.; Upadhyay, A. Film Formation and Deposition Methods of Edible Coating on Food Products: A Review. Food Res. Int. 2020, 136, 109582. [Google Scholar] [CrossRef] [PubMed]
- Kumar, N.; Pratibha; Prasad, J.; Yadav, A.; Upadhyay, A.; Neeraj; Shukla, S.; Petkoska, A.T.; Heena; Suri, S.; et al. Recent Trends in Edible Packaging for Food Applications—Perspective for the Future. Food Eng. Rev. 2023, 15, 718–747. [Google Scholar] [CrossRef]
- Kong, P.; Rosnan, S.M.; Enomae, T. Carboxymethyl Cellulose–Chitosan Edible Films for Food Packaging: A Review of Recent Advances. Carbohydr. Polym. 2024, 346, 122612. [Google Scholar] [CrossRef]
- Shaikh, S.; Yaqoob, M.; Aggarwal, P. An Overview of Biodegradable Packaging in Food Industry. Curr. Res. Food Sci. 2021, 4, 503–520. [Google Scholar] [CrossRef]
- Hassan, B.; Chatha, S.A.S.; Hussain, A.I.; Zia, K.M.; Akhtar, N. Recent Advances on Polysaccharides, Lipids and Protein Based Edible Films and Coatings: A Review. Int. J. Biol. Macromol. 2018, 109, 1095–1107. [Google Scholar] [CrossRef]
- Yusof, N.L.; Mutalib, N.-A.A.; Nazatul, U.K.; Nadrah, A.H.; Aziman, N.; Fouad, H.; Jawaid, M.; Ali, A.; Kian, L.K.; Sain, M. Efficacy of Biopolymer/Starch Based Antimicrobial Packaging for Chicken Breast Fillets. Foods 2021, 10, 2379. [Google Scholar] [CrossRef]
- Apriyanto, A.; Compart, J.; Fettke, J. A Review of Starch, a Unique Biopolymer—Structure, Metabolism and in Planta Modifications. Plant Sci. 2022, 318, 111223. [Google Scholar] [CrossRef] [PubMed]
- Onyeaka, H.; Obileke, K.; Makaka, G.; Nwokolo, N. Current Research and Applications of Starch-Based Biodegradable Films for Food Packaging. Polymers 2022, 14, 1126. [Google Scholar] [CrossRef]
- Lauer, M.K.; Smith, R.C. Recent Advances in Starch-based Films toward Food Packaging Applications: Physicochemical, Mechanical, and Functional Properties. Comp. Rev. Food Sci. Food Safe 2020, 19, 3031–3083. [Google Scholar] [CrossRef] [PubMed]
- Qamruzzaman, M.; Ahmed, F.; Mondal, M.I.H. An Overview on Starch-Based Sustainable Hydrogels: Potential Applications and Aspects. J. Polym. Environ. 2022, 30, 19–50. [Google Scholar] [CrossRef]
- Li, H.; Qi, Y.; Zhao, Y.; Chi, J.; Cheng, S. Starch and Its Derivatives for Paper Coatings: A Review. Prog. Org. Coat. 2019, 135, 213–227. [Google Scholar] [CrossRef]
- Abotbina, W.; Sapuan, S.M.; Ilyas, R.A.; Sultan, M.T.H.; Alkbir, M.F.M.; Sulaiman, S.; Harussani, M.M.; Bayraktar, E. Recent Developments in Cassava (Manihot esculenta) Based Biocomposites and Their Potential Industrial Applications: A Comprehensive Review. Materials 2022, 15, 6992. [Google Scholar] [CrossRef]
- Udoro, E.O.; Anyasi, T.A.; Jideani, A.I.O. Process-Induced Modifications on Quality Attributes of Cassava (Manihot Esculenta Crantz) Flour. Processes 2021, 9, 1891. [Google Scholar] [CrossRef]
- Zhelyazkov, S.; Zsivanovits, G.; Stamenova, E.; Marudova, M. Physical and Barrier Properties of Clove Essential Oil Loaded Potato Starch Edible Films. Biointerface Res. Appl. Chem. 2021, 12, 4603–4612. [Google Scholar] [CrossRef]
- Sutharsan, J.; Boyer, C.A.; Zhao, J. Physicochemical Properties of Chitosan Edible Films Incorporated with Different Classes of Flavonoids. Carbohydr. Polym. Technol. Appl. 2022, 4, 100232. [Google Scholar] [CrossRef]
- Venkatachalam, K.; Rakkapao, N.; Lekjing, S. Physicochemical and Antimicrobial Characterization of Chitosan and Native Glutinous Rice Starch-Based Composite Edible Films: Influence of Different Essential Oils Incorporation. Membranes 2023, 13, 161. [Google Scholar] [CrossRef]
- Ran, L.; Zou, Y.; Cheng, J.; Lu, F. Silver Nanoparticles in Situ Synthesized by Polysaccharides from Sanghuangporus sanghuang and Composites with Chitosan to Prepare Scaffolds for the Regeneration of Infected Full-Thickness Skin Defects. Int. J. Biol. Macromol. 2019, 125, 392–403. [Google Scholar] [CrossRef]
- Perdana, M.I.; Ruamcharoen, J.; Panphon, S.; Leelakriangsak, M. Antimicrobial Activity and Physical Properties of Starch/Chitosan Film Incorporated with Lemongrass Essential Oil and Its Application. LWT 2021, 141, 110934. [Google Scholar] [CrossRef]
- Priyadarshi, R.; Rhim, J.-W. Chitosan-Based Biodegradable Functional Films for Food Packaging Applications. Innov. Food Sci. Emerg. Technol. 2020, 62, 102346. [Google Scholar] [CrossRef]
- Zhao, Y.; Li, B.; Li, C.; Xu, Y.; Luo, Y.; Liang, D.; Huang, C. Comprehensive Review of Polysaccharide-Based Materials in Edible Packaging: A Sustainable Approach. Foods 2021, 10, 1845. [Google Scholar] [CrossRef] [PubMed]
- Jamróz, E.; Janik, M.; Juszczak, L.; Kruk, T.; Kulawik, P.; Szuwarzyński, M.; Kawecka, A.; Khachatryan, K. Composite Biopolymer Films Based on a Polyelectrolyte Complex of Furcellaran and Chitosan. Carbohydr. Polym. 2021, 274, 118627. [Google Scholar] [CrossRef] [PubMed]
- Verma, D.K.; Srivastav, P.P. Isolation, Modification, and Characterization of Rice Starch with Emphasis on Functional Properties and Industrial Application: A Review. Crit. Rev. Food Sci. Nutr. 2022, 62, 6577–6604. [Google Scholar] [CrossRef] [PubMed]
- Pooresmaeil, M.; Namazi, H. Developments on Carboxymethyl Starch-Based Smart Systems as Promising Drug Carriers: A Review. Carbohydr. Polym. 2021, 258, 117654. [Google Scholar] [CrossRef]
- Avazverdi, E.; Mirzadeh, H.; Ehsani, M.; Bagheri-Khoulenjani, S. Polysaccharide-Based Polyampholyte Complex Formation: Investigating the Role of Intra-Chain Interactions. Carbohydr. Polym. 2023, 313, 120836. [Google Scholar] [CrossRef]
- Alvarado, N.; Abarca, R.L.; Linares-Flores, C. Use of Chitosan-Based Polyelectrolyte Complexes for Its Potential Application in Active Food Packaging: A Review of Recent Literature. Int. J. Mol. Sci. 2023, 24, 11535. [Google Scholar] [CrossRef]
- Maciel, V.B.V.; Yoshida, C.M.P.; Franco, T.T. Chitosan/Pectin Polyelectrolyte Complex as a pH Indicator. Carbohydr. Polym. 2015, 132, 537–545. [Google Scholar] [CrossRef]
- Quadrado, R.F.N.; Fajardo, A.R. Microparticles Based on Carboxymethyl Starch/Chitosan Polyelectrolyte Complex as Vehicles for Drug Delivery Systems. Arab. J. Chem. 2020, 13, 2183–2194. [Google Scholar] [CrossRef]
- Jahanizadeh, S.; Yazdian, F.; Marjani, A.; Omidi, M.; Rashedi, H. Curcumin-Loaded Chitosan/Carboxymethyl Starch/Montmorillonite Bio-Nanocomposite for Reduction of Dental Bacterial Biofilm Formation. Int. J. Biol. Macromol. 2017, 105, 757–763. [Google Scholar] [CrossRef] [PubMed]
- Henao, E.; Delgado, E.; Contreras, H.; Quintana, G. Polyelectrolyte Complexation versus Ionotropic Gelation for Chitosan-Based Hydrogels with Carboxymethylcellulose, Carboxymethyl Starch, and Alginic Acid. Int. J. Chem. Eng. 2018, 2018, 3137167. [Google Scholar] [CrossRef]
- Aleksandr, K.; Mikhail, L.; Aleksandr, P. Self-Assembled Hydrogel Based on (Bio)Polyelectrolyte Complex of Chitosan–Gelatin: Effect of Composition on Physicochemical Properties. Gels 2024, 10, 786. [Google Scholar] [CrossRef] [PubMed]
- Boughanmi, R.; Oelmann, M.; Steinbach, C.; Schwarz, S. Comparative Study on Polyelectrolyte Complex Formation of Chitosan and Pectin or PEMA: Effects of Molecular Weight and Mixing Speed. Polysaccharides 2024, 5, 842–856. [Google Scholar] [CrossRef]
- Li, J.; Van Ewijk, G.; Van Dijken, D.J.; Van Der Gucht, J.; De Vos, W.M. Single-Step Application of Polyelectrolyte Complex Films as Oxygen Barrier Coatings. ACS Appl. Mater. Interfaces 2021, 13, 21844–21853. [Google Scholar] [CrossRef]
- Castro, D.; Brovina, V.; Litvinov, M.; Podshivalov, A. Effect of Degree of Substitution and Polymer Ratio on the Structure of Chitosan: Carboxymethyl Starch (Bio)Polyelectrolyte Complexes. Polymers 2024, 16, 3539. [Google Scholar] [CrossRef]
- Stojanović, Ž.; Jeremić, K.; Jovanović, S.; Lechner, M.D. A Comparison of Some Methods for the Determination of the Degree of Substitution of Carboxymethyl Starch. Starch-Stärke 2005, 57, 79–83. [Google Scholar] [CrossRef]
- Lindbloom, B.J. Bruce Justin Lindbloom’s Spectral Calculator Spreadsheet. Available online: http://www.brucelindbloom.com/index.html?Math.html (accessed on 20 July 2025).
- CIE Colorimetry. CIE 15 Technical Report; International Commission on Illumination: Washington, DC, USA, 2004. [Google Scholar]
- Delgado-González, M.J.; Carmona-Jiménez, Y.; Rodríguez-Dodero, M.C.; García-Moreno, M.V. Color Space Mathematical Modeling Using Microsoft Excel. J. Chem. Educ. 2018, 95, 1885–1889. [Google Scholar] [CrossRef]
- Rout, N.; Hu, J.; Baciu, G.; Pattanaik, P.; Nakkeeran, K.; Khandual, A. Color and Texture Analysis of Textiles Using Image Acquisition and Spectral Analysis in Calibrated Sphere Imaging System-II. Electronics 2023, 12, 2135. [Google Scholar] [CrossRef]
- Mohammadi, V.; Ansari, K.; Gouton, P.; Attig, H. Developing a New Method of Transformation for Obtaining XYZ Color Values from RGB Images for Agricultural Applications. Sensors 2024, 24, 7728. [Google Scholar] [CrossRef] [PubMed]
- Tongdeesoontorn, W.; Mauer, L.J.; Wongruong, S.; Sriburi, P.; Rachtanapun, P. Physical and Antioxidant Properties of Cassava Starch–Carboxymethyl Cellulose Incorporated with Quercetin and TBHQ as Active Food Packaging. Polymers 2020, 12, 366. [Google Scholar] [CrossRef] [PubMed]
- Lefnaoui, S.; Moulai-Mostefa, N. Synthesis and Evaluation of the Structural and Physicochemical Properties of Carboxymethyl Pregelatinized Starch as a Pharmaceutical Excipient. Saudi Pharm. J. 2015, 23, 698–711. [Google Scholar] [CrossRef]
- Kaibara, K.; Okazaki, T.; Bohidar, H.B.; Dubin, P.L. pH-Induced Coacervation in Complexes of Bovine Serum Albumin and Cationic Polyelectrolytes. Biomacromolecules 2000, 1, 100–107. [Google Scholar] [CrossRef]
- Litvinov, M.; Kashurin, A.; Aleksandr, P. Study of the Influence of the Composition and pH of the Solution on the Structure and Morphology of Particle Dispersions of a (Bio)Polyelectrolyte Complex between Chitosan and Gelatin. Colloid Polym. Sci. 2024, 303, 33–49. [Google Scholar] [CrossRef]
- Tan, X.; Sun, A.; Cui, F.; Li, Q.; Wang, D.; Li, X.; Li, J. The Physicochemical Properties of Cassava Starch/Carboxymethyl Cellulose Sodium Edible Film Incorporated of Bacillus and Its Application in Salmon Fillet Packaging. Food Chem. X 2024, 23, 101537. [Google Scholar] [CrossRef] [PubMed]
- Shahbazi, M.; Rajabzadeh, G.; Ettelaie, R.; Rafe, A. Kinetic Study of κ-Carrageenan Degradation and Its Impact on Mechanical and Structural Properties of Chitosan/κ-Carrageenan Film. Carbohydr. Polym. 2016, 142, 167–176. [Google Scholar] [CrossRef] [PubMed]
- Rachtanapun, P.; Klunklin, W.; Jantrawut, P.; Jantanasakulwong, K.; Phimolsiripol, Y.; Seesuriyachan, P.; Leksawasdi, N.; Chaiyaso, T.; Ruksiriwanich, W.; Phongthai, S.; et al. Characterization of Chitosan Film Incorporated with Curcumin Extract. Polymers 2021, 13, 963. [Google Scholar] [CrossRef]
- Wang, L.; Dong, Y.; Men, H.; Tong, J.; Zhou, J. Preparation and Characterization of Active Films Based on Chitosan Incorporated Tea Polyphenols. Food Hydrocoll. 2013, 32, 35–41. [Google Scholar] [CrossRef]
- Do Evangelho, J.A.; Da Silva Dannenberg, G.; Biduski, B.; El Halal, S.L.M.; Kringel, D.H.; Gularte, M.A.; Fiorentini, A.M.; Da Rosa Zavareze, E. Antibacterial Activity, Optical, Mechanical, and Barrier Properties of Corn Starch Films Containing Orange Essential Oil. Carbohydr. Polym. 2019, 222, 114981. [Google Scholar] [CrossRef]
- Leceta, I.; Guerrero, P.; De La Caba, K. Functional Properties of Chitosan-Based Films. Carbohydr. Polym. 2013, 93, 339–346. [Google Scholar] [CrossRef] [PubMed]
- Shipovskaya, A.B.; Shmakov, S.L.; Gegel, N.O. Optical Activity Anisotropy of Chitosan-Based Films. Carbohydr. Polym. 2019, 206, 476–486. [Google Scholar] [CrossRef]
- Bojorquez-Cuevas, S.M.; Armenta-Rojas, E.; Serrano-Medina, A.; Olivas-Sarabia, A.; Villarreal-Gómez, L.J.; Hurtado-Ayala, L.A.; Cornejo-Bravo, J.M. Improved Mucoadhesivity of Polyelectrolyte Complexes Films by Electrospinning for the Release of Nystatin in the Oral Cavity. J. Drug Deliv. Sci. Technol. 2024, 92, 105385. [Google Scholar] [CrossRef]
- Pilicheva, B.; Uzunova, Y.; Marudova, M. Polyelectrolyte Multilayer Films as a Potential Buccal Platform for Drug Delivery. Polymers 2022, 14, 734. [Google Scholar] [CrossRef] [PubMed]
- Lustriane, C.; Dwivany, F.M.; Suendo, V.; Reza, M. Effect of Chitosan and Chitosan-Nanoparticles on Post Harvest Quality of Banana Fruits. J. Plant Biotechnol. 2018, 45, 36–44. [Google Scholar] [CrossRef]
- Sunarti, T.C.; Febrian, M.I.; Ruriani, E.; Yuliasih, I. Some Properties of Chemical Cross-Linking Biohydrogel from Starch and Chitosan. Int. J. Biomater. 2019, 2019, 1542128. [Google Scholar] [CrossRef]
- Nicolay, V.; Nina, S.; Yuliya, K.; Galina, B. Formation of Polyelectrolyte Complexes from Chitosan and Alkaline Gelatin. KLS 2020, 2020, 109–119. [Google Scholar] [CrossRef]
- Ibrahim, H.K.; Sorour, R.M.H.; Salah Ad-din, I. Application of Mathematical Modelling to Alginate Chitosan Polyelectrolyte Complexes for the Prediction of System Behavior with Venlafaxine HCl as a Model Charged Drug. Saudi Pharm. J. 2022, 30, 1507–1520. [Google Scholar] [CrossRef]
- Tamburaci, S.; Kimna, C.; Tihminlioglu, F. Bioactive Diatomite and POSS Silica Cage Reinforced Chitosan/Na-Carboxymethyl Cellulose Polyelectrolyte Scaffolds for Hard Tissue Regeneration. Mater. Sci. Eng. C 2019, 100, 196–208. [Google Scholar] [CrossRef]
- Assaad, E.; Wang, Y.J.; Zhu, X.X.; Mateescu, M.A. Polyelectrolyte Complex of Carboxymethyl Starch and Chitosan as Drug Carrier for Oral Administration. Carbohydr. Polym. 2011, 84, 1399–1407. [Google Scholar] [CrossRef]
- Wilpiszewska, K.; Antosik, A.K.; Schmidt, B.; Janik, J.; Rokicka, J. Hydrophilic Films Based on Carboxymethylated Derivatives of Starch and Cellulose. Polymers 2020, 12, 2447. [Google Scholar] [CrossRef] [PubMed]
- Reich, L.; Stivala, S.S. Heat Transfer Effects during Teflon Degradation by TGA. Thermochim. Acta 1970, 1, 65–70. [Google Scholar] [CrossRef]
- Fuoss, R.M.; Salyer, I.O.; Wilson, H.S. Evaluation of Rate Constants from Thermogravimetric Data. J. Polym. Sci. A Gen. Pap. 1964, 2, 3147–3151. [Google Scholar] [CrossRef]
- Vu, T.H.N.; Morozkina, S.N.; Olekhnovich, R.O.; Podshivalov, A.V.; Uspenskaya, M.V. Study on Fabrication and Properties of Polyvinyl Alcohol/Chitosan Nanofibers Created from Aqueous Solution with Acetic Acid and Ethanol by the Electrospinning Method. Polymers 2024, 16, 3393. [Google Scholar] [CrossRef] [PubMed]
- Yin, Y.J.; Yao, K.D.; Cheng, G.X.; Ma, J.B. Properties of Polyelectrolyte Complex Films of Chitosan and Gelatin. Polym. Int. 1999, 48, 429–432. [Google Scholar] [CrossRef]
- Silva, C.L.; Pereira, J.C.; Ramalho, A.; Pais, A.A.C.C.; Sousa, J.J.S. Films Based on Chitosan Polyelectrolyte Complexes for Skin Drug Delivery: Development and Characterization. J. Membr. Sci. 2008, 320, 268–279. [Google Scholar] [CrossRef]
- Volod’ko, A.V.; Davydova, V.N.; Petrova, V.A.; Romanov, D.P.; Pimenova, E.A.; Yermak, I.M. Comparative Analysis of the Functional Properties of Films Based on Carrageenans, Chitosan, and Their Polyelectrolyte Complexes. Mar. Drugs 2021, 19, 704. [Google Scholar] [CrossRef]
- Inagamov, S.Y.; Asrorov, U.A.; Xujanov, E.B. Structure and Physico-Mechanical Properties of Polyelectrolyte Complexes Based on Sodium Carboxymethylcellulose Polysaccharide and Polyacrylamide. East Eur. J. Phys. 2023, 258–266. [Google Scholar] [CrossRef]
- Diao, Y.; Si, X.; Shang, W.; Zhou, Z.; Wang, Z.; Zheng, P.; Strappe, P.; Blanchard, C. Effect of Interactions between Starch and Chitosan on Waxy Maize Starch Physicochemical and Digestion Properties. CyTA-J. Food 2017, 15, 327–335. [Google Scholar] [CrossRef]
- Santacruz, S.; Rivadeneira, C.; Castro, M. Edible Films Based on Starch and Chitosan. Effect of Starch Source and Concentration, Plasticizer, Surfactant’s Hydrophobic Tail and Mechanical Treatment. Food Hydrocoll. 2015, 49, 89–94. [Google Scholar] [CrossRef]
- Liling, G.; Di, Z.; Jiachao, X.; Xin, G.; Xiaoting, F.; Qing, Z. Effects of Ionic Crosslinking on Physical and Mechanical Properties of Alginate Mulching Films. Carbohydr. Polym. 2016, 136, 259–265. [Google Scholar] [CrossRef]
- Aila-Suárez, S.; Palma-Rodríguez, H.M.; Rodríguez-Hernández, A.I.; Hernández-Uribe, J.P.; Bello-Pérez, L.A.; Vargas-Torres, A. Characterization of Films Made with Chayote Tuber and Potato Starches Blending with Cellulose Nanoparticles. Carbohydr. Polym. 2013, 98, 102–107. [Google Scholar] [CrossRef] [PubMed]
- Lozano-Navarro, J.I.; Díaz-Zavala, N.P.; Melo-Banda, J.A.; Velasco-Santos, C.; Paraguay-Delgado, F.; Peréz-Sánchez, J.F.; Domínguez-Esquivel, J.M.; Suárez-Domínguez, E.J.; Sosa-Sevilla, J.E. Chitosan–Starch Films Modified with Natural Extracts to Remove Heavy Oil from Water. Water 2019, 12, 17. [Google Scholar] [CrossRef]
- Wilpiszewska, K.; Antosik, A.K.; Spychaj, T. Novel Hydrophilic Carboxymethyl Starch/Montmorillonite Nanocomposite Films. Carbohydr. Polym. 2015, 128, 82–89. [Google Scholar] [CrossRef] [PubMed]
- Hänni-Ciunel, K.; Findenegg, G.H.; Von Klitzing, R. Water Contact Angle on Polyelectrolyte-Coated Surfaces: Effects of Film Swelling and Droplet Evaporation. Soft Mater. 2007, 5, 61–73. [Google Scholar] [CrossRef]











| Film Composition (Values of z) | L* | a* | b* |
|---|---|---|---|
| Chit/Starch | 93.32 ± 0.11 | −0.30 ± 0.05 | 2.90 ± 0.09 |
| Chit/CMS 1 (0.30) | 71.41 ± 0.35 | −1.69 ± 0.03 | 7.92 ± 0.12 |
| Chit/CMS 2 (0.64) | 69.95 ± 0.11 | −1.37 ± 0.01 | 7.92 ± 0.01 |
| Chit/CMS 3 (0.98) | 67.71 ± 0.04 | −1.67 ± 0.01 | 7.44 ± 0.06 |
| Sample | Tpeak, °C | Ea, kJ/mol | n | k | r2 |
|---|---|---|---|---|---|
| Chit/Starch | 209.88 | 358.84 | 11.87 | 1.23 × 10−22 | 0.984 |
| Chit/CMS 1 | 239.89 | 370.16 | 14.99 | 5.49 × 10−28 | 0.997 |
| Chit/CMS 2 | 229.87 | 378.05 | 14.01 | 1.52 × 10−26 | 0.996 |
| Chit/CMS 3 | 232.79 | 379.70 | 16.50 | 3.37 × 10−31 | 0.998 |
| Sample | z | Tg, °C | Td, °C | ΔH, J/g |
|---|---|---|---|---|
| Chit/Starch | - | 23.14 | 210.02 | 127.30 |
| Chit/CMS 1 | 0.30 | 21.87 | 226.12 | 149.70 |
| Chit/CMS 2 | 0.64 | 20.48 | 233.07 | 172.20 |
| Chit/CMS 3 | 0.98 | 22.06 | 242.70 | 158.50 |
| Sample | z | CA θ,° |
|---|---|---|
| Chit/Starch | - | 75.7 ± 0.8 |
| Chit/CMS 1 | 0.30 | 79.9 ± 1.3 |
| Chit/CMS 2 | 0.64 | 82.7 ± 0.9 |
| Chit/CMS 3 | 0.98 | 85.7 ± 1.2 |
Disclaimer/Publisher’s Note: The statements, opinions and data contained in all publications are solely those of the individual author(s) and contributor(s) and not of MDPI and/or the editor(s). MDPI and/or the editor(s) disclaim responsibility for any injury to people or property resulting from any ideas, methods, instructions or products referred to in the content. |
© 2025 by the authors. Licensee MDPI, Basel, Switzerland. This article is an open access article distributed under the terms and conditions of the Creative Commons Attribution (CC BY) license (https://creativecommons.org/licenses/by/4.0/).
Share and Cite
Castro, D.; Brovina, V.; Litvinov, M.; Podshivalov, A.; Castro, L.; Chamorro, D.; Oña, O.; Tapia, A. Influence of the Charge Stoichiometry on the Properties of Biopolymer Films Based on a Polyelectrolyte Complex of Chitosan and Carboxymethyl Starch. Polymers 2025, 17, 3293. https://doi.org/10.3390/polym17243293
Castro D, Brovina V, Litvinov M, Podshivalov A, Castro L, Chamorro D, Oña O, Tapia A. Influence of the Charge Stoichiometry on the Properties of Biopolymer Films Based on a Polyelectrolyte Complex of Chitosan and Carboxymethyl Starch. Polymers. 2025; 17(24):3293. https://doi.org/10.3390/polym17243293
Chicago/Turabian StyleCastro, David, Valentina Brovina, Mikhail Litvinov, Aleksandr Podshivalov, Lucía Castro, Diana Chamorro, Omar Oña, and Adriana Tapia. 2025. "Influence of the Charge Stoichiometry on the Properties of Biopolymer Films Based on a Polyelectrolyte Complex of Chitosan and Carboxymethyl Starch" Polymers 17, no. 24: 3293. https://doi.org/10.3390/polym17243293
APA StyleCastro, D., Brovina, V., Litvinov, M., Podshivalov, A., Castro, L., Chamorro, D., Oña, O., & Tapia, A. (2025). Influence of the Charge Stoichiometry on the Properties of Biopolymer Films Based on a Polyelectrolyte Complex of Chitosan and Carboxymethyl Starch. Polymers, 17(24), 3293. https://doi.org/10.3390/polym17243293

