Preparation of Crosslinked Alginate Hydrogels for the Adsorption and Sustainable Release of Doxorubicin Hydrochloride
Abstract
1. Introduction
2. Methodology
2.1. Chemicals and Materials
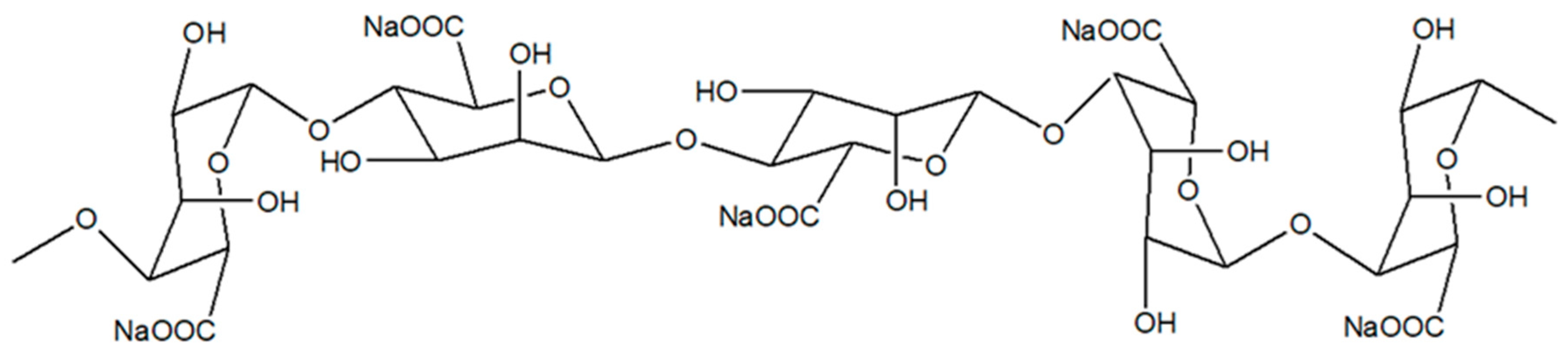
2.2. Preparation of Crosslinked Sodium Alginate Hydrogel Beads
2.3. Characterization
2.4. Adsorption Study
2.4.1. Adsorption of Doxorubicin Hydrochloride by Different Types of Crosslinked Sodium Alginate Hydrogel Beads
2.4.2. Effect of the Amount of Alginate Hydrogel Beads
2.4.3. Effect of pH on the Adsorption Percentage
2.4.4. Effect of Time on the Adsorption Percentage
2.4.5. Effect of Doxorubicin Hydrochloride Concentration on the Adsorption Percentage
2.5. Drug Release Study
2.5.1. Preparation of Doxorubicin Hydrochloride-Fe(III)-Alg
2.5.2. In Vitro Drug Release Study
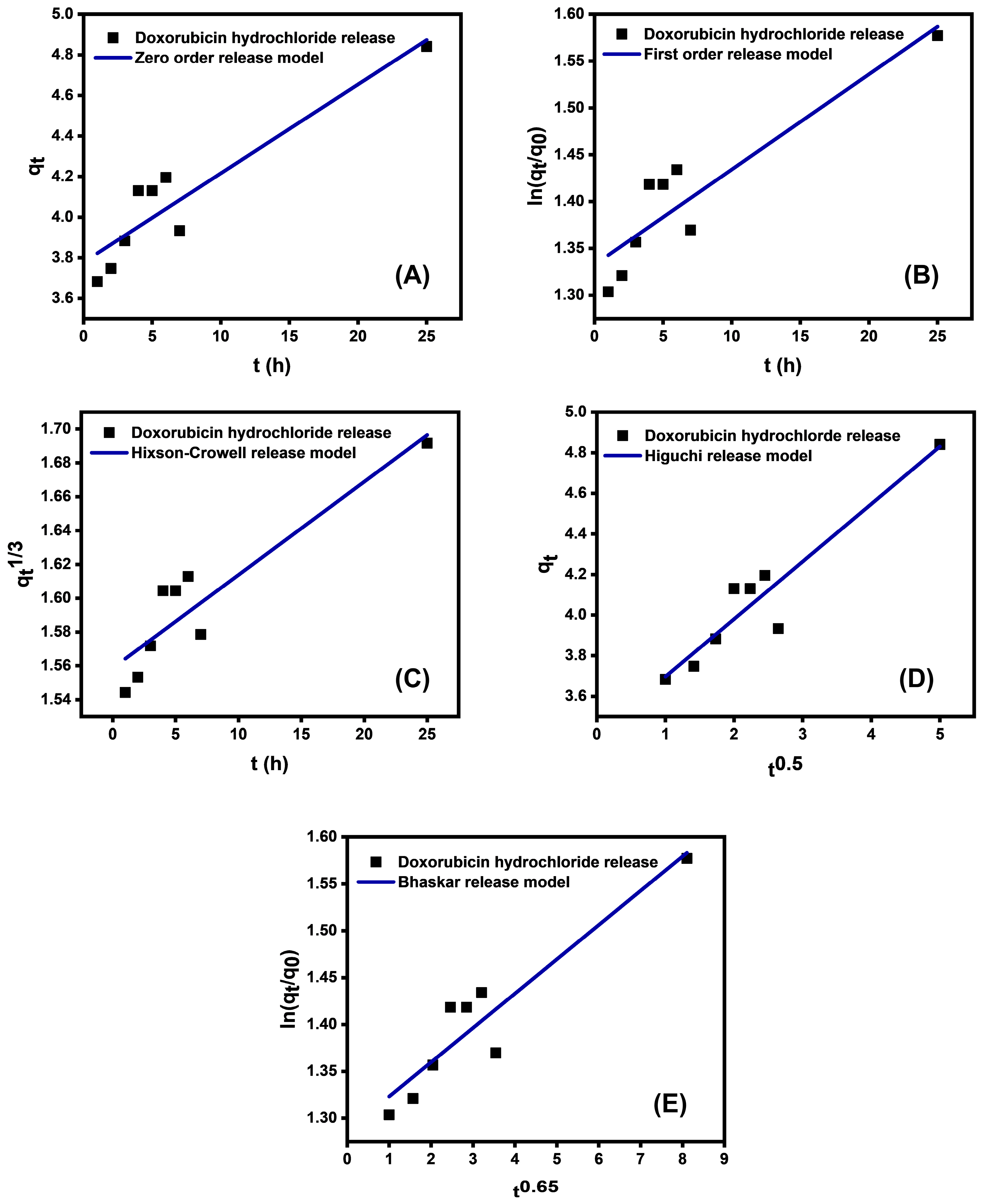
2.5.3. Drug Release Mathematical Modeling
Zero Order Release Model
First Order Release Model
Hixson–Crowell Release Model
Higuchi Release Model
Bhaskar Release Model
3. Results and Discussion
3.1. XRD Analysis
3.2. FTIR Analysis
3.3. SEM Analysis
3.4. EDS Analysis
3.5. Adsorption Behavior
3.6. Release Behavior
3.7. Kinetic Study
4. Conclusions
Author Contributions
Funding
Data Availability Statement
Acknowledgments
Conflicts of Interest
References
- Rao, P.R.; Diwan, P.V. Permeability studies of cellulose acetate free films for transdermal use: Influence of plasticizers. Pharm. Acta Helv. 1997, 72, 47–51. [Google Scholar] [CrossRef]
- Rao, P.R.; Diwan, P.V. Formulation and in vitro evaluation of polymeric films of diltiazem hydrochloride and indomethacin for transdermal administration. Drug Dev. Ind. Pharm. 1998, 24, 327–336. [Google Scholar] [CrossRef]
- Panchagnula, R. Transdermal delivery of drugs. Indian J. Pharmacol. 1997, 29, 140–156. [Google Scholar]
- Dokoumetzidis, A.; Macheras, P. A century of dissolution research: From Noyes and Whitney to the biopharmaceutics classification system. Int. J. Pharm. 2006, 321, 1–11. [Google Scholar] [CrossRef]
- Milcovich, G.; Lettieri, S.; Antunes, F.E.; Medronho, B.; Fonseca, A.C.; Coelho, J.F.; Marizza, P.; Perrone, F.; Farra, R.; Dapas, B. Recent advances in smart biotechnology: Hydrogels and nanocarriers for tailored bioactive molecules depot. Adv. Colloid Interface Sci. 2017, 249, 163–180. [Google Scholar] [CrossRef]
- Mazloom-Jalali, A.; Shariatinia, Z.; Tamai, I.A.; Pakzad, S.-R.; Malakootikhah, J. Fabrication of chitosan–polyethylene glycol nanocomposite films containing ZIF-8 nanoparticles for application as wound dressing materials. Int. J. Biol. Macromol. 2020, 153, 421–432. [Google Scholar] [CrossRef]
- Wang, D.; Zhou, J.; Chen, R.; Shi, R.; Xia, G.; Zhou, S.; Liu, Z.; Zhang, N.; Wang, H.; Guo, Z. Magnetically guided delivery of DHA and Fe ions for enhanced cancer therapy based on pH-responsive degradation of DHA-loaded Fe3O4@C@MIL-100 (Fe) nanoparticles. Biomaterials 2016, 107, 88–101. [Google Scholar] [CrossRef]
- Su, Y.; Hu, Y.; Du, Y.; Huang, X.; He, J.; You, J.; Yuan, H.; Hu, F. Redox-responsive polymer–drug conjugates based on doxorubicin and chitosan oligosaccharide-g-stearic acid for cancer therapy. Mol. Pharm. 2015, 12, 1193–1202. [Google Scholar] [CrossRef] [PubMed]
- Buchholz, F.L.; Graham, A.T. Modern Superabsorbent Polymer Technology; John Wiley & Sons: Hoboken, NJ, USA, 1998. [Google Scholar]
- Brannon-Peppas, L.; Harland, R.S. Absorbent Polymer Technology; Elsevier: Amsterdam, The Netherlands, 2012; Volume 8. [Google Scholar]
- Li, Y.; Huang, G.; Zhang, X.; Li, B.; Chen, Y.; Lu, T.; Lu, T.J.; Xu, F. Magnetic hydrogels and their potential biomedical applications. Adv. Funct. Mater. 2013, 23, 660–672. [Google Scholar] [CrossRef]
- Burkert, S.; Schmidt, T.; Gohs, U.; Dorschner, H.; Arndt, K.-F. Cross-linking of poly (N-vinyl pyrrolidone) films by electron beam irradiation. Radiat. Phys. Chem. 2007, 76, 1324–1328. [Google Scholar] [CrossRef]
- Ali, F.; Khan, I.; Chen, J.; Akhtar, K.; Bakhsh, E.M.; Khan, S.B. Emerging fabrication strategies of hydrogels and its applications. Gels 2022, 8, 205. [Google Scholar] [CrossRef]
- Li, J.; Mooney, D.J. Designing hydrogels for controlled drug delivery. Nat. Rev. Mater. 2016, 1, 16071. [Google Scholar] [CrossRef]
- Aimetti, A.A.; Tibbitt, M.W.; Anseth, K.S. Human neutrophil elastase responsive delivery from poly (ethylene glycol) hydrogels. Biomacromolecules 2009, 10, 1484–1489. [Google Scholar] [CrossRef] [PubMed]
- King, T.W.; Patrick, C.W., Jr. Development and in vitro characterization of vascular endothelial growth factor (VEGF)-loaded poly(DL-lactic-co-glycolic acid)/poly(ethylene glycol) microspheres using a solid encapsulation/single emulsion/solvent extraction technique. J. Biomed. Mater. Res. A 2000, 51, 383–390. [Google Scholar] [CrossRef]
- Yi, Y.; Chiao, M.; Mahmoud, K.A.; Wu, L.; Wang, B. Preparation and characterization of PVA/PVP conductive hydrogels formed by freeze–thaw processes as a promising material for sensor applications. J. Mater. Sci. 2022, 57, 8029–8038. [Google Scholar] [CrossRef]
- Gu, J.; Clegg, J.R.; Heersema, L.A.; Peppas, N.A.; Smyth, H.D. Optimization of cationic nanogel PEGylation to achieve mammalian cytocompatibility with limited loss of gram-negative bactericidal activity. Biomacromolecules 2020, 21, 1528–1538. [Google Scholar] [CrossRef]
- Rosales, A.M.; Mabry, K.M.; Nehls, E.M.; Anseth, K.S. Photoresponsive elastic properties of azobenzene-containing poly (ethylene-glycol)-based hydrogels. Biomacromolecules 2015, 16, 798–806. [Google Scholar] [CrossRef]
- Xing, L.; Fan, Y.-T.; Shen, L.-J.; Yang, C.-X.; Liu, X.-Y.; Ma, Y.-N.; Qi, L.-Y.; Cho, K.-H.; Cho, C.-S.; Jiang, H.-L. pH-sensitive and specific ligand-conjugated chitosan nanogels for efficient drug delivery. Int. J. Biol. Macromol. 2019, 141, 85–97. [Google Scholar] [CrossRef] [PubMed]
- Liu, B.; Chen, K. Advances in hydrogel-based drug delivery systems. Gels 2024, 10, 262. [Google Scholar] [CrossRef] [PubMed]
- Venkatesan, J.; Nithya, R.; Sudha, P.N.; Kim, S.-K. Role of alginate in bone tissue engineering. Adv. Food Nutr. Res. 2014, 73, 45–57. [Google Scholar] [CrossRef]
- Yang, J.-S.; Xie, Y.-J.; He, W. Research progress on chemical modification of alginate: A review. Carbohydr. Polym. 2011, 84, 33–39. [Google Scholar] [CrossRef]
- Draget, K.I.; Smidsrød, O.; Skjåk-Bræk, G. Alginates from Algae; John Wiley & Sons: Hoboken, NJ, USA, 2005. [Google Scholar]
- Xiao, G.; Li, F.; Li, Y.; Chen, C.; Chen, C.; Liu, Q.; Chen, W. A novel biomass material composite hydrogel based on sodium alginate. Colloids Surf. A Physicochem. Eng. Asp. 2022, 648, 129383. [Google Scholar] [CrossRef]
- Wang, H.; Yang, L.; Yang, Y. A review of sodium alginate-based hydrogels: Structure, mechanisms, applications, and perspectives. Int. J. Biol. Macromol. 2025, 292, 139151. [Google Scholar] [CrossRef]
- Lengyel, M.; Kállai-Szabó, N.; Antal, V.; Laki, A.J.; Antal, I. Microparticles, microspheres, and microcapsules for advanced drug delivery. Sci. Pharm. 2019, 87, 20. [Google Scholar] [CrossRef]
- Camacho, D.H.; Uy, S.J.Y.; Cabrera, M.J.F.; Lobregas, M.O.S.; Fajardo, T.J.M.C. Encapsulation of folic acid in copper-alginate hydrogels and it’s slow in vitro release in physiological pH condition. Food Res. Int. 2019, 119, 15–22. [Google Scholar] [CrossRef]
- Aldawsari, M.F.; Ahmed, M.M.; Fatima, F.; Anwer, M.K.; Katakam, P.; Khan, A. Development and characterization of calcium-alginate beads of apigenin: In vitro antitumor, antibacterial, and antioxidant activities. Mar. Drugs 2021, 19, 467. [Google Scholar] [CrossRef]
- Gnapareddy, B.; Deore, P.M.; Dugasani, S.R.; Kim, S.; Park, S.H. Synthesis and characterization of doxorubicin hydrochloride drug molecule-intercalated DNA nanostructures. Curr. Appl. Phys. 2018, 18, 1294–1299. [Google Scholar] [CrossRef]
- Vashist, S.K.; Zheng, D.; Pastorin, G.; Al-Rubeaan, K.; Luong, J.H.; Sheu, F.-S. Delivery of drugs and biomolecules using carbon nanotubes. Carbon 2011, 49, 4077–4097. [Google Scholar] [CrossRef]
- Vaccari, L.; Canton, D.; Zaffaroni, N.; Villa, R.; Tormen, M.; di Fabrizio, E. Porous silicon as drug carrier for controlled delivery of doxorubicin anticancer agent. Microelectron. Eng. 2006, 83, 1598–1601. [Google Scholar] [CrossRef]
- Paarakh, M.P.; Jose, P.A.; Setty, C.M.; Peterchristoper, G. Release kinetics–concepts and applications. Int. J. Pharm. Res. Technol. 2018, 8, 12–20. [Google Scholar] [CrossRef]
- Ramteke, K.; Dighe, P.; Kharat, A.; Patil, S. Mathematical models of drug dissolution: A review. Sch. Acad. J. Pharm 2014, 3, 388–396. [Google Scholar]
- İlgar, M.; Karakuş, S.; Kilislioğlu, A. Design, characterization and evaluation of the drug-loaded chitosan/cerium oxide nanoparticles with pH-controlled drug release. Polym. Bull. 2022, 79, 6693–6708. [Google Scholar] [CrossRef]
- Churio, O.; Pizarro, F.; Valenzuela, C. Preparation and characterization of iron-alginate beads with some types of iron used in supplementation and fortification strategies. Food Hydrocoll. 2018, 74, 1–10. [Google Scholar] [CrossRef]
- Nieto, J.; Peniche-Covas, C.; Del Bosque, J. Preparation and characterization of a chitosan-Fe (III) complex. Carbohydr. Polym. 1992, 18, 221–224. [Google Scholar] [CrossRef]
- Bhatia, S.C.; Ravi, N. A magnetic study of an Fe− chitosan complex and its relevance to other biomolecules. Biomacromolecules 2000, 1, 413–417. [Google Scholar] [CrossRef]
- Haug, A.; Smidsrød, O.; Högdahl, B.; Øye, H.; Rasmussen, S.; Sunde, E.; Sørensen, N.A. Selectivity of some anionic polymers for divalent metal ions. Acta Chem. Scand. 1970, 24, 843–854. [Google Scholar] [CrossRef]
- Haug, A.; Bjerrum, J.; Buchardt, O.; Olsen, G.E.; Pedersen, C.; Toft, J. The affinity of some divalent metals for different types of alginates. Acta Chem. Scand. 1961, 15, 1794–1795. [Google Scholar] [CrossRef]
- Gyurcsik, B.; Nagy, L. Carbohydrates as ligands: Coordination equilibria and structure of the metal complexes. Coord. Chem. Rev. 2000, 203, 81–149. [Google Scholar] [CrossRef]
- Jin, Z.; Güven, G.r.; Bocharova, V.; Halámek, J.; Tokarev, I.; Minko, S.; Melman, A.; Mandler, D.; Katz, E. Electrochemically controlled drug-mimicking protein release from iron-alginate thin-films associated with an electrode. ACS Appl. Mater. Interfaces 2012, 4, 466–475. [Google Scholar] [CrossRef]
- Lee, B.-J.; Min, G.-H.; Kim, T.-W. Preparation and in vitro release of melatonin-loaded multivalent cationic alginate beads. Arch. Pharmacal Res. 1996, 19, 280–285. [Google Scholar] [CrossRef]
- Menakbi, C.; Quignard, F.; Mineva, T. Complexation of trivalent metal cations to mannuronate type alginate models from a density functional study. J. Phys. Chem. B 2016, 120, 3615–3623. [Google Scholar] [CrossRef]
- Mandal, S.; Kumar, S.S.; Krishnamoorthy, B.; Basu, S.K. Development and evaluation of calcium alginate beads prepared by sequential and simultaneous methods. Braz. J. Pharm. Sci. 2010, 46, 785–793. [Google Scholar] [CrossRef]
- Bezzon, V.D.N.; dos Santos Caturello, N.A.M.; Dalpian, G.M.; Ferreira, F.F. Crystal structure determination and DFT analysis of doxorubicin hydrochloride for controlled-release drug formulations. J. Mol. Struct. 2023, 1294, 136412. [Google Scholar] [CrossRef]
- Roquero, D.M.; Othman, A.; Melman, A.; Katz, E. Iron (III)-cross-linked alginate hydrogels: A critical review. Mater. Adv. 2022, 3, 1849–1873. [Google Scholar] [CrossRef]
- Wu, J.; Zheng, H.; Zhang, F.; Zeng, R.J.; Xing, B. Iron-carbon composite from carbonization of iron-crosslinked sodium alginate for Cr (VI) removal. Chem. Eng. J. 2019, 362, 21–29. [Google Scholar] [CrossRef]
- Wu, S.; Zhao, X.; Li, Y.; Du, Q.; Sun, J.; Wang, Y.; Wang, X.; Xia, Y.; Wang, Z.; Xia, L. Adsorption properties of doxorubicin hydrochloride onto graphene oxide: Equilibrium, kinetic and thermodynamic studies. Materials 2013, 6, 2026–2042. [Google Scholar] [CrossRef]
- Fülöp, Z.; Gref, R.; Loftsson, T. A permeation method for detection of self-aggregation of doxorubicin in aqueous environment. Int. J. Pharm. 2013, 454, 559–561. [Google Scholar] [CrossRef]
- Pyne, A.; Kundu, S.; Banerjee, P.; Sarkar, N. Unveiling the aggregation behavior of doxorubicin hydrochloride in aqueous solution of 1-octyl-3-methylimidazolium chloride and the effect of bile salt on these aggregates: A microscopic study. Langmuir 2018, 34, 3296–3306. [Google Scholar] [CrossRef]
- Marques, M.R.; Loebenberg, R.; Almukainzi, M. Simulated biological fluids with possible application in dissolution testing. Dissolution Technol. 2011, 18, 15–28. [Google Scholar] [CrossRef]
- Bergal, A.; Andac, M.; Trotta, F. Cyclodextrin-based chemically modified pH-responsive new kind of aldehyde-functionalized nanosponge nanoparticles for doxorubicin hydrochloride delivery. J. Drug Deliv. Sci. Technol. 2025, 107, 106853. [Google Scholar] [CrossRef]
- Omrani, M.; Naimi-Jamal, M.R.; Far, B.F. The design of multi-responsive nanohydrogel networks of chitosan for controlled drug delivery. Carbohydr. Polym. 2022, 298, 120143. [Google Scholar] [CrossRef]
- Zha, L.; Wang, B.; Qian, J.; Fletcher, B.; Zhang, C.; Dong, Q.; Chen, W.; Hong, L. Preparation, characterization and preliminary pharmacokinetic study of pH-sensitive Hydroxyapatite/Zein nano-drug delivery system for doxorubicin hydrochloride. J. Pharm. Pharmacol. 2020, 72, 496–506. [Google Scholar] [CrossRef] [PubMed]
- Al-Shanqiti, E.M.; Bawazir, W.A.; Bakhsh, E.M.; Khan, S.B. Alginate and chitosan wrapped clay nanohybrid as nano-vehicles for targeted and sustained release of promethazine. J. Drug Deliv. Sci. Technol. 2025, 105, 106548. [Google Scholar] [CrossRef]
- Al-Shanqiti, E.M.; Bakhsh, E.M.; Bawazir, W.A.; Khan, S.B. Cloisite® 20A and polymer hydrogel as nano-vehicle for targeted and sustained release of amitriptyline. J. Drug Deliv. Sci. Technol. 2024, 96, 105656. [Google Scholar] [CrossRef]
- Khan, S.B.; Alamry, K.A.; Alyahyawi, N.A.; Asiri, A.M.; Arshad, M.N.; Marwani, H.M. Nanohybrid based on antibiotic encapsulated layered double hydroxide as a drug delivery system. Appl. Biochem. Biotechnol. 2015, 175, 1412–1428. [Google Scholar] [CrossRef]
- Costa, P.; Lobo, J.M.S. Modeling and comparison of dissolution profiles. Eur. J. Pharm. Sci. 2001, 13, 123–133. [Google Scholar] [CrossRef]
- Kurečič, M.; Mohan, T.; Virant, N.; Maver, U.; Stergar, J.; Gradišnik, L.; Kleinschek, K.S.; Hribernik, S. A green approach to obtain stable and hydrophilic cellulose-based electrospun nanofibrous substrates for sustained release of therapeutic molecules. RSC Adv. 2019, 9, 21288–21301. [Google Scholar] [CrossRef] [PubMed]
- Kamata, H.; Li, X.; Chung, U.i.; Sakai, T. Design of hydrogels for biomedical applications. Adv. Healthc. Mater. 2015, 4, 2360–2374. [Google Scholar] [CrossRef]
- Trucillo, P. Drug carriers: A review on the most used mathematical models for drug release. Processes 2022, 10, 1094. [Google Scholar] [CrossRef]











| Drug Carrier | pH | Release% | Reference |
|---|---|---|---|
| Doxorubicin hydrochloride–Fe(III)-Alg | 1.52 | 82.822% | Current study |
| 6.85 | 62.108% | ||
| ALD-NS+DOX (Aldehyde-functionalized nanosponge nanoparticle-doxorubicin hydrochloride) | 5.2 (NaOAc buffer) | 64.6% | [53] |
| 5.2 (PBS buffer) | 62.4% | ||
| CNHN I (Chitosan nanohydrogel networks I) | 5 | 56% | [54] |
| 7.4 | 5% | ||
| HA/Zein-DOX NPs (Hydroxyapatite/Zein-doxorubicin hydrochloride nanoparticles) | 7.4 | 28.1% | [55] |
| Zein-DOX NPs | 7.4 | 61.8% | [55] |
| Kinetic Release Model | R2 |
|---|---|
| Zero order | 0.85869 |
| First order | 0.83067 |
| Hixson-Crowell | 0.84037 |
| Higuchi | 0.89731 |
| Bhaskar | 0.87306 |
Disclaimer/Publisher’s Note: The statements, opinions and data contained in all publications are solely those of the individual author(s) and contributor(s) and not of MDPI and/or the editor(s). MDPI and/or the editor(s) disclaim responsibility for any injury to people or property resulting from any ideas, methods, instructions or products referred to in the content. |
© 2025 by the authors. Licensee MDPI, Basel, Switzerland. This article is an open access article distributed under the terms and conditions of the Creative Commons Attribution (CC BY) license (https://creativecommons.org/licenses/by/4.0/).
Share and Cite
Bahwal, H.O.; Akhtar, K.; Bawazir, W.A.; Alharthi, S.H.; Khan, S.B. Preparation of Crosslinked Alginate Hydrogels for the Adsorption and Sustainable Release of Doxorubicin Hydrochloride. Polymers 2025, 17, 3294. https://doi.org/10.3390/polym17243294
Bahwal HO, Akhtar K, Bawazir WA, Alharthi SH, Khan SB. Preparation of Crosslinked Alginate Hydrogels for the Adsorption and Sustainable Release of Doxorubicin Hydrochloride. Polymers. 2025; 17(24):3294. https://doi.org/10.3390/polym17243294
Chicago/Turabian StyleBahwal, Huda O., Kalsoom Akhtar, Wafa A. Bawazir, Shouq H. Alharthi, and Sher Bahadar Khan. 2025. "Preparation of Crosslinked Alginate Hydrogels for the Adsorption and Sustainable Release of Doxorubicin Hydrochloride" Polymers 17, no. 24: 3294. https://doi.org/10.3390/polym17243294
APA StyleBahwal, H. O., Akhtar, K., Bawazir, W. A., Alharthi, S. H., & Khan, S. B. (2025). Preparation of Crosslinked Alginate Hydrogels for the Adsorption and Sustainable Release of Doxorubicin Hydrochloride. Polymers, 17(24), 3294. https://doi.org/10.3390/polym17243294

