Integrating Computational and Experimental Methods for the Rational Ecodesign and Synthesis of Functionalized Safe and Sustainable Biobased Oligoesters
Abstract
1. Introduction
2. Materials and Methods
2.1. Materials
2.2. Lipase Immobilization and Assessment of Hydrolytic Activity
2.3. Enzymatic Synthesis of Terpolymers
2.4. Functionalization of PGAI Oligoester via Aza-/Thia-Michael Addition
2.5. Biodegradation Studies
2.6. Ecotoxicity Studies on Freshwater Organisms
2.7. Ecotoxicity Studies on Seawater Organisms
2.8. ESI-MS Analysis
2.9. NMR Analysis
2.10. Computational Analysis
3. Results and Discussion
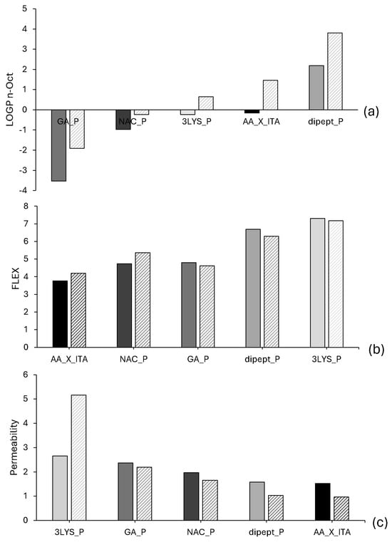
3.1. Computational Analysis of Substrate Properties by 3D Molecular Interaction Fields
3.2. Enzymatic Synthesis of Poly(Glycerol Adipate Itaconate) (PGAI)
| Product | m/z |
|---|---|
| (DG) | 218.88 |
| (DG)D | 345.05 |
| (AG)D | 346.90 |
| (DG)2D | 531.01 |
| (AG)2D | 546.99 |
| (AG)2D2 | 673.35 |
| (AG)4D | 951.37 |
| (AG)4D2 | 1077.27 |
| (AG)5D | 1153.54 |
| (AG)4D3 | 1205.52 |
| (AG)5D2 | 1279.55 |
| (AG)6D3 | 1608.63 |
3.3. Marine Biodegradability Studies on PGAI
3.4. Assessment of the Ecotoxicity of Poly(Glycerol Adipate Itaconate) (PGAI)
3.5. Post-Polymerization Functionalization of PGAI via Michael Addition
3.5.1. Thia-Michael Addition of N-Acetylcysteine
3.5.2. Aza-Michael Addition of Di- and Tri-Peptides
3.5.3. Aza-Michael Addition of Glucosamine
4. Conclusions
Supplementary Materials
Author Contributions
Funding
Institutional Review Board Statement
Data Availability Statement
Acknowledgments
Conflicts of Interest
Abbreviations
| ADME | Absorption, distribution, metabolism, and excretion |
| PGAI | Poly(glycerol adipate itaconate) |
| IA | Itaconic acid |
| DMI | Dimethyl itaconate |
| AA | Adipic acid |
| BDO | 1,4-butanediol |
| GLY | Glycerol |
| MEG | Monoethylene glycol |
| PDO | 1,3-propanediol |
| GA | Glucosamine |
| NAC | N-acetyl cysteine |
| CaLB | Lipase B from C. antarctica |
References
- Caldeira, C.; Farcal, R.; Garmendia Aguirre, I.; Mancini, L.; Tosches, D.; Amelio, A.; Rasmussen, K.; Rauscher, H.; Riego Sintes, J.; Sala, S. Safe and Sustainable by Design Chemicals and Materials. Framework for the Definition of Criteria and Evaluation Procedure for Chemicals and Materials; EUR 31100 EN; Publications Office of the European Union: Luxembourg, 2022; ISBN 978-92-76-53280-4. [Google Scholar]
- Smith, J.R.; Seyda, A.; Weber, N.; Knight, D.; Abramson, S.; Kohn, J. Integration of Combinatorial Synthesis, Rapid Screening, and Computational Modeling in Biomaterials Development. Macromol. Rapid Commun. 2004, 25, 127–140. [Google Scholar] [CrossRef]
- Costache, A.D.; Ghosh, J.; Knight, D.D.; Kohn, J. Computational methods for the development of polymeric biomaterials. Adv. Eng. Mater. 2010, 12, B3–B17. [Google Scholar] [CrossRef]
- Datta, L.P.; Manchineella, S.; Govindaraju, T. Biomolecules-derived biomaterials. Biomaterials 2020, 230, 119633. [Google Scholar] [CrossRef] [PubMed]
- Todea, A.; Bitcan, I.; Giannetto, M.; Rădoi, I.I.; Bruschi, R.; Renzi, M.; Anselmi, S.; Provenza, F.; Bentivoglio, T.; Asaro, F.; et al. Enzymatic Synthesis and Structural Modeling of Bio-Based Oligoesters as an Approach for the Fast Screening of Marine Biodegradation and Ecotoxicity. Int. J. Mol. Sci. 2024, 25, 5433. [Google Scholar] [CrossRef] [PubMed]
- Pellis, A.; Malinconico, M.; Guarneri, A.; Gardossi, L. Renewable Polymers and Plastics: Performance beyond the Green. N. Biotechnol. 2021, 60, 146–158. [Google Scholar] [CrossRef] [PubMed]
- Habeych, D.I.; Juhl, P.B.; Pleiss, J.; Vanegas, D.; Eggink, G.; Boeriu, C.G. Biocatalytic Synthesis of Polyesters from Sugar-Based Building Blocks Using Immobilized Candida Antarctica Lipase B. J. Mol. Catal. B Enzym. 2011, 71, 1–9. [Google Scholar] [CrossRef]
- Lee, S.Y.; Hong, S.H.; Lee, S.H.; Park, S.J. Fermentative Production of Chemicals That Can Be Used for Polymer Synthesis. Macromol. Biosci. 2004, 4, 157–164. [Google Scholar] [CrossRef]
- Kharissova, O.V.; Kharisov, B.I.; Oliva González, C.M.; Méndez, Y.P.; López, I. Greener Synthesis of Chemical Compounds and Materials. R. Soc. Open Sci. 2019, 6, 191378. [Google Scholar] [CrossRef]
- Binns, F.; Harffey, P.; Roberts, S.M.; Taylor, A. Studies Leading to the Large Scale Synthesis of Polyesters Using Enzymes. J. Chem. Soc. Perkin Trans. 1999, 2671–2676. [Google Scholar] [CrossRef]
- Guo, B.; Chen, Y.; Lei, Y.; Zhang, L.; Zhou, W.Y.; Rabie, A.B.M.; Zhao, J. Biobased Poly(Propylene Sebacate) as Shape Memory Polymer with Tunable Switching Temperature for Potential Biomedical Applications. Biomacromolecules 2011, 12, 1312–1321. [Google Scholar] [CrossRef]
- Todea, A.; Fortuna, S.; Ebert, C.; Asaro, F.; Tomada, S.; Cespugli, M.; Hollan, F.; Gardossi, L. Rational Guidelines for the Two-Step Scalability of Enzymatic Polycondensation: Experimental and Computational Optimization of the Enzymatic Synthesis of Poly(Glycerolazelate). ChemSusChem 2022, 15, e202102657. [Google Scholar] [CrossRef] [PubMed]
- Barrett, D.G.; Merkel, T.J.; Luft, J.C.; Yousaf, M.N. One-Step Syntheses of Photocurable Polyesters Based on a Renewable Resource. Macromolecules 2010, 43, 9660–9667. [Google Scholar] [CrossRef]
- Pellis, A.; Corici, L.; Sinigoi, L.; D’Amelio, N.; Fattor, D.; Ferrario, V.; Ebert, C.; Gardossi, L. Towards Feasible and Scalable Solvent-Free Enzymatic Polycondensations: Integrating Robust Biocatalysts with Thin Film Reactions. Green Chem. 2015, 17, 1756–1766. [Google Scholar] [CrossRef]
- Cerea, G.; Gardossi, L.; Sinigoi, L.; Fattor, D. Process for the Production of Polyesters through Synthesis Catalyzed by Enzyme. World Patent WO2013110446A1, 14 April 2013. [Google Scholar]
- Gkountela, C.I.; Vouyiouka, S.N. Enzymatic Polymerization as a Green Approach to Synthesizing Bio-Based Polyesters. Macromol 2022, 2, 30–57. [Google Scholar] [CrossRef]
- Dreavă, D.M.; Benea, I.C.; Bîtcan, I.; Todea, A.; Șișu, E.; Puiu, M.; Peter, F. Biocatalytic Approach for Novel Functional Oligoesters of ε-Caprolactone and Malic Acid. Processes 2021, 9, 232. [Google Scholar] [CrossRef]
- Farmer, T.J.; Comerford, J.W.; Pellis, A.; Robert, T. Post-polymerization Modification of Bio-based Polymers: Maximizing the High Functionality of Polymers Derived from Biomass. Polym. Int. 2018, 67, 775–789. [Google Scholar] [CrossRef]
- Corici, L.; Pellis, A.; Ferrario, V.; Ebert, C.; Cantone, S.; Gardossi, L. Understanding Potentials and Restrictions of Solvent-Free Enzymatic Polycondensation of Itaconic Acid: An Experimental and Computational Analysis. Adv. Synth. Catal. 2015, 357, 1763–1774. [Google Scholar] [CrossRef]
- Guarneri, A.; Cutifani, V.; Cespugli, M.; Pellis, A.; Vassallo, R.; Asaro, F.; Ebert, C.; Gardossi, L. Functionalization of Enzymatically Synthesized Rigid Poly(Itaconate)s via Post-Polymerization Aza-Michael Addition of Primary Amines. Adv. Synth. Catal. 2019, 361, 2559–2573. [Google Scholar] [CrossRef]
- Goodford, P.J. A Computational Procedure for Determining Energetically Favorable Binding Sites on Biologically Important Macromolecules. J. Med. Chem. 1985, 28, 849–857. [Google Scholar] [CrossRef]
- Cruciani, G.; Crivori, P.; Carrupt, P.A.; Testa, B. Molecular Fields in Quantitative Structure-Permeation Relationships: The VolSurf Approach. J. Mol. Struct. Theochem. 2000, 503, 17–30. [Google Scholar] [CrossRef]
- Cespugli, M.; Lotteria, S.; Navarini, L.; Lonzarich, V.; Del Terra, L.; Vita, F.; Zweyer, M.; Baldini, G.; Ferrario, V.; Ebert, C.; et al. Rice Husk as an Inexpensive Renewable Immobilization Carrier for Biocatalysts Employed in the Food, Cosmetic and Polymer Sectors. Catalysts 2018, 8, 471. [Google Scholar] [CrossRef]
- Spennato, M.; Todea, A.; Corici, L.; Asaro, F.; Cefarin, N.; Savonitto, G.; Deganutti, C.; Gardossi, L. Turning Biomass into Functional Composite Materials: Rice Husk for Fully Renewable Immobilized Biocatalysts. EFB Bioeconomy J. 2021, 1, 100008. [Google Scholar] [CrossRef]
- ISO 17556:2019; Plastics—Determination of the Ultimate Aerobic Biodegradability of Plastic Materials in Soil by Measuring the Oxygen Demand in a Respirometer or the Amount of Carbon Dioxide Evolved. International Standard Organization (ISO): Geneva, Switzerland, 2019. Available online: https://www.iso.org/standard/74993.html (accessed on 10 August 2025).
- Zappaterra, F.; Renzi, M.; Piccardo, M.; Spennato, M.; Asaro, F.; Di Serio, M.; Vitiello, R.; Turco, R.; Todea, A.; Gardossi, L. Understanding Marine Biodegradation of Bio-Based Oligoesters and Plasticizers. Polymers 2023, 15, 1536. [Google Scholar] [CrossRef] [PubMed]
- UNI EN ISO 6341:2013; Water Quality—Determination of the Inhibition of the Mobility of Daphnia Magna Straus (Cladocera, Crustacea)—Acute Toxicity Test. Ente Nazionale Italiano di Unificazione (UNI): Milano, Italy, 2013. Available online: https://store.uni.com/uni-en-iso-6341-2013?utm_source=chatgpt.com (accessed on 10 August 2025).
- ISO 8692:2012; Water quality Fresh Water Algal Growth Inhibition Test with Unicellular Green Algae. International Standard Organization (ISO): Geneva, Switzerland, 2012. Available online: https://www.iso.org/standard/54150.html (accessed on 10 August 2025).
- UNI EN ISO 11348-3:2019; Water Quality—Determination of the Inhibitory Effect of Water Samples on the Light Emission of Vibrio Fischeri (Luminescent Bacteria Test). Ente Nazionale Italiano di Unificazione (UNI): Milano, Italy, 2019. Available online: https://store.uni.com/en/uni-en-iso-11348-3-2019 (accessed on 10 August 2025).
- UNI EN ISO 10253:2017; Water Quality—Marine Algal Growth Inhibition Test with Skeletonema sp. and Phaeodactylum Tricornutum. Ente Nazionale Italiano di Unificazione (UNI): Milano, Italy, 2017. Available online: https://www.bsrc.it/analisi-accreditate/ (accessed on 10 August 2025).
- EPA/600/R-95-136/Sezione 16 + ISPRA Quaderni Ricerca Marina 11/2017. Available online: https://www.isprambiente.gov.it/files2017/pubblicazioni/quaderni/Quad_RicMar_11_17_Fecondaz_Riccio.pdf (accessed on 10 August 2025).
- Li, G.; Yao, D.; Zong, M. Lipase-Catalyzed Synthesis of Biodegradable Copolymer Containing Malic Acid Units in Solvent-Free System. Eur. Polym. J. 2008, 44, 1123–1129. [Google Scholar] [CrossRef]
- Huang, S.; Chen, L.; Mei, H.; Zhang, D.; Shi, T.; Kuang, Z.; Heng, Y.; Xu, L.; Pan, X. In Silico Prediction of the Dissociation Rate Constants of Small Chemical Ligands by 3D-Grid-Based VolSurf Method. Int. J. Mol. Sci. 2020, 21, 2456. [Google Scholar] [CrossRef]
- Pellis, A.; Herrero Acero, E.; Gardossi, L.; Ferrario, V.; Guebitz, G.M. Renewable Building Blocks for Sustainable Polyesters: New Biotechnological Routes for Greener Plastics. Polym. Int. 2016, 65, 861–871. [Google Scholar] [CrossRef]
- Teleky, B.-E.; Vodnar, D. Biomass-Derived Production of Itaconic Acid as a Building Block in Specialty Polymers. Polymers 2019, 11, 1035. [Google Scholar] [CrossRef]
- Spasojevic, P.; Zrilic, M.; Panic, V.; Stamenkovic, D.; Seslija, S.; Velickovic, S. The Mechanical Properties of a Poly(Methyl Methacrylate) Denture Base Material Modified with Dimethyl Itaconate and Di-n-Butyl Itaconate. Int. J. Polym. Sci. 2015, 2015, 1–9. [Google Scholar] [CrossRef]
- Satoh, K.; Lee, D.; Nagai, K.; Kamigaito, M. Precision Synthesis of Bio-Based Acrylic Thermoplastic Elastomer by RAFT Polymerization of Itaconic Acid Derivatives. Macromol. Rapid Commun. 2014, 35, 161–167. [Google Scholar] [CrossRef]
- Hevilla, V.; Sonseca, A.; Echeverría, C.; Muñoz-Bonilla, A.; Fernández-García, M. Enzymatic Synthesis of Polyesters and Their Bioapplications: Recent Advances and Perspectives. Macromol. Biosci. 2021, 21, 2100156. [Google Scholar] [CrossRef]
- Schoon, I.; Kluge, M.; Eschig, S.; Robert, T. Catalyst Influence on Undesired Side Reactions in the Polycondensation of Fully Bio-Based Polyester Itaconates. Polymers 2017, 9, 693. [Google Scholar] [CrossRef]
- Farmer, T.; Castle, R.; Clark, J.; Macquarrie, D. Synthesis of Unsaturated Polyester Resins from Various Bio-Derived Platform Molecules. Int. J. Mol. Sci. 2015, 16, 14912–14932. [Google Scholar] [CrossRef]
- Sakai, M. Studies of the Isomerization of Unsaturated Carboxylic Acids. II. The Thermal Rearrangement of Citraconic Acid to Itaconic Acid in Aqueous Solutions. Bull. Chem. Soc. Jpn. 1976, 49, 219–223. [Google Scholar] [CrossRef]
- Jiang, Y.; Woortman, A.J.J.; Alberda van Ekenstein, G.O.R.; Petrović, D.M.; Loos, K. Enzymatic Synthesis of Biobased Polyesters Using 2,5-Bis(Hydroxymethyl)Furan as the Building Block. Biomacromolecules 2014, 15, 2482–2493. [Google Scholar] [CrossRef] [PubMed]
- Pellis, A.; Ferrario, V.; Cespugli, M.; Corici, L.; Guarneri, A.; Zartl, B.; Herrero Acero, E.; Ebert, C.; Guebitz, G.M.; Gardossi, L. Fully Renewable Polyesters via Polycondensation Catalyzed by Thermobifida Cellulosilytica Cutinase 1: An Integrated Approach. Green Chem. 2017, 19, 490–502. [Google Scholar] [CrossRef]
- Perin, G.B.; Felisberti, M.I. Enzymatic Synthesis of Poly(glycerol sebacate): Kinetics, Chain Growth, and Branching Behavior. Macromolecules 2020, 53, 7925–7935. [Google Scholar] [CrossRef] [PubMed]
- Available online: https://echa.europa.eu/it/registration-dossier/-/registered-dossier/14392/7/7/1 (accessed on 10 August 2025).
- Albertsson, A.-C.; Varma, I.K. Recent Developments in Ring Opening Polymerization of Lactones for Biomedical Applications. Biomacromolecules 2003, 4, 1466–1486. [Google Scholar] [CrossRef]
- Lang, K.; Sánchez-Leija, R.J.; Gross, R.A.; Linhardt, R.J. Review on the Impact of Polyols on the Properties of Bio-Based Polyesters. Polymers 2020, 12, 2969. [Google Scholar] [CrossRef]
- Cazzola, M.; Calzetta, L.; Page, C.; Jardim, J.; Chuchalin, A.G.; Rogliani, P.; Gabriella Matera, M. Influence of N -Acetylcysteine on Chronic Bronchitis or COPD Exacerbations: A Meta-Analysis. Eur. Respir. Rev. 2015, 24, 451–461. [Google Scholar] [CrossRef]
- Elbini Dhouib, I.; Jallouli, M.; Annabi, A.; Gharbi, N.; Elfazaa, S.; Lasram, M.M. A Minireview on N -Acetylcysteine: An Old Drug with New Approaches. Life Sci. 2016, 151, 359–363. [Google Scholar] [CrossRef]
- Giacobazzi, G.; Gioia, C.; Colonna, M.; Celli, A. Thia-Michael reaction for a thermostable itaconic-based monomer and the synthesis of functionalized bio-polyesters. ACS Sustain. Chem. Eng. 2019, 7, 5553–5559. [Google Scholar] [CrossRef]
- Chanda, S.; Ramakrishnan, S. Poly(Alkylene Itaconate)s—An Interesting Class of Polyesters with Periodically Located Exo-Chain Double Bonds Susceptible to Michael Addition. Polym. Chem. 2015, 6, 2108–2114. [Google Scholar] [CrossRef]
- Moore, O.B.; Hanson, P.-A.; Comerford, J.W.; Pellis, A.; Farmer, T.J. Improving the Post-Polymerization Modification of Bio-Based Itaconate Unsaturated Polyesters: Catalyzing Aza-Michael Additions with Reusable Iodine on Acidic Alumina. Front. Chem. 2019, 7, 501. [Google Scholar] [CrossRef]
- Pellis, A.; Hanson, P.A.; Comerford, J.W.; Clark, J.H.; Farmer, T.J. Enzymatic Synthesis of Unsaturated Polyesters: Functionalization and Reversibility of the Aza-Michael Addition of Pendants. Polym. Chem. 2019, 10, 843–851. [Google Scholar] [CrossRef]
- Farmer, T.J.; Macquarrie, D.J.; Comerford, J.W.; Pellis, A.; Clark, J.H. Insights into Post-polymerisation Modification of Bio-based Unsaturated Itaconate and Fumarate Polyesters via Aza-michael Addition: Understanding the Effects of C=C Isomerisation. J. Polym. Sci. Part A Polym. Chem. 2018, 56, 1935–1945. [Google Scholar] [CrossRef] [PubMed]
- Hoffmann, C.; Stuparu, M.C.; Daugaard, A.; Khan, A. Aza-Michael Addition Reaction: Post-polymerization Modification and Preparation of PEI/PEG-based Polyester Hydrogels from Enzymatically Synthesized Reactive Polymers. J. Polym. Sci. Part A Polym. Chem. 2015, 53, 745–749. [Google Scholar] [CrossRef]
- Noordzij, G.J.; van den Boomen, Y.J.G.; Gilbert, C.; van Elk, D.J.P.; Roy, M.; Wilsens, C.H.R.M.; Rastogi, S. The Aza-Michael Reaction: Towards Semi-Crystalline Polymers from Renewable Itaconic Acid and Diamines. Polym. Chem. 2019, 10, 4049–4058. [Google Scholar] [CrossRef]
- Chirita, R.-I.; Chaimbault, P.; Archambault, J.-C.; Robert, I.; Elfakir, C. Development of a LC–MS/MS Method to Monitor Palmitoyl Peptides Content in Anti-Wrinkle Cosmetics. Anal. Chim. Acta 2009, 641, 95–100. [Google Scholar] [CrossRef]
- Antalek, B. Using pulsed gradient spin echo NMR for chemical mixture analysis: How to obtain optimum results. Concepts Magn. Reson. Part A 2002, 14, 225–258. [Google Scholar] [CrossRef]
- Pelta, M.D.; Barjat, H.; Morris, G.A.; Davis, A.L.; Hammond, S.J. Pulse sequences for high-resolution diffusion-ordered spectroscopy (HR-DOSY). Magn. Reson. Chem. 1998, 36, 706–714. [Google Scholar] [CrossRef]
- Jerschow, A.; Müller, N. Suppression of Convection Artifacts in Stimulated-Echo Diffusion Experiments. Double-Stimulated-Echo Experiments. J. Magn. Reson. 1997, 125, 372–375. [Google Scholar] [CrossRef]
- Hynes, S.R.; McGregor, L.M.; Ford Rauch, M.; Lavik, E.B. Photopolymerized Poly(Ethylene Glycol)/Poly(L-Lysine) Hydrogels for the Delivery of Neural Progenitor Cells. J. Biomater. Sci. Polym. Ed. 2007, 18, 1017–1030. [Google Scholar] [CrossRef]
- Hainarosie, R.; Zainea, V.; Ene, B.; Hainarosie, M.; Ceachir, O.; Ionita, I.; Pietrosanu, C. Use of Polyethylene Glycol Ester and Trilysine Amine Solution in the Closure of Anterior Skull Base Defects. Mater. Plast. 2015, 52, 190–192. [Google Scholar]
- Saxena, A.K. Synthetic Biodegradable Hydrogel (PleuraSeal) Sealant for Sealing of Lung Tissue after Thoracoscopic Resection. J. Thorac. Cardiovasc. Surg. 2010, 139, 496–497. [Google Scholar] [CrossRef] [PubMed]
- Karmali, P.P.; Kumar, V.V.; Chaudhuri, A. Design, Syntheses and In Vitro Gene Delivery Efficacies of Novel Mono-, Di- and Trilysinated Cationic Lipids: A Structure−Activity Investigation. J. Med. Chem. 2004, 47, 2123–2132. [Google Scholar] [CrossRef] [PubMed]
- Nishida, Y.; Aono, R.; Dohi, H.; Ding, W.; Uzawa, H. 1H-NMR Karplus Analysis of Molecular Conformations of Glycerol under Different Solvent Conditions: A Consistent Rotational Isomerism in the Backbone Governed by Glycerol/Water Interactions. Int. J. Mol. Sci. 2023, 24, 2766. [Google Scholar] [CrossRef] [PubMed]
- Bertuzzi, D.L.; Becher, T.B.; Capreti, N.M.R.; Amorim, J.; Jurberg, I.D.; Megiatto, J.D.; Ornelas, C. General Protocol to Obtain D-Glucosamine from Biomass Residues: Shrimp Shells, Cicada Sloughs and Cockroaches. Glob. Chall. 2018, 2, 1800046. [Google Scholar] [CrossRef]
- Kashige, N.; Yamaguchi, T.; Mishiro, N.; Hanazono, H.; Miake, F.; Watanabe, K. Possible Involvement of Dihydrofructosazine in the DNA Breaking Activity of D-Glucosamine. Biol. Pharm. Bull. 1995, 18, 653–658. [Google Scholar] [CrossRef][Green Version]















| Assay/Organism | Test Medium | Conc. Range (mg L−1) | Key Endpoint/Metric | Most Sensitive Effect | Preliminary Toxicity Classification * |
|---|---|---|---|---|---|
| OECD 306 (Seawater BOD) | Seawater | −(400 mg fixed) | %ThOD (BOD vs. ThOD) | >99% ThOD @28 d | Readily biodegradable; no tox. |
| Saccharomyces cerevisiae (24 h) | Freshwater | 100 | Growth Δ (%) | −18% (hormesis) | No toxicity |
| Pseudokirchneriella subcapitata (72 h) | Freshwater | 0.3–60 | Growth Δ (%) | −10% (hormesis) | No toxicity |
| Daphnia magna (48 h) | Freshwater | 0.3–60 | Immobilization (%) | 10% @60 mg L−1 | No toxicity |
| Aliivibrio fischeri (30 min) | Seawater | 0.028–28 | Luminescence inhibition (%) | 12% @28 mg L−1 | No toxicity |
| Phaeodactylum tricornutum (72 h) | Seawater | 0.031–31 | Growth inhibition (%) | 12% @31 mg L−1 | Low toxicity |
| Paracentrotus lividus (72 h) | Seawater | 0.031–31 | Abnormal larvae (%) | 74% @31 mg L−1 | Moderate toxicity |
| Exp. | PGAI (mg) | GA (mg) | Base | Solvent | T (°C) | Time (h) |
|---|---|---|---|---|---|---|
| 1 | 400 | 155 | Pyridine (40 mg) | — | 50 | 72 |
| 2 | 400 | 110 | Pyridine (40 mg) | DMF (1 mL) | 50 | 72 |
| 3 | 400 | 110 | Pyridine (40 mg) | — | 50 | 72 |
| 4 | 400 | 110 | Pyridine (40 mg) | DMF (1 mL) | 65 | 72 |
| 5 | 100 | 50 | Triethylamine (40 mg) | — | 50 | 168 |
Disclaimer/Publisher’s Note: The statements, opinions and data contained in all publications are solely those of the individual author(s) and contributor(s) and not of MDPI and/or the editor(s). MDPI and/or the editor(s) disclaim responsibility for any injury to people or property resulting from any ideas, methods, instructions or products referred to in the content. |
© 2025 by the authors. Licensee MDPI, Basel, Switzerland. This article is an open access article distributed under the terms and conditions of the Creative Commons Attribution (CC BY) license (https://creativecommons.org/licenses/by/4.0/).
Share and Cite
Zappaterra, F.; Todea, A.; Asaro, F.; Ditalia, P.F.A.; Danielli, C.; Renzi, M.; Anselmi, S.; Gardossi, L. Integrating Computational and Experimental Methods for the Rational Ecodesign and Synthesis of Functionalized Safe and Sustainable Biobased Oligoesters. Polymers 2025, 17, 2537. https://doi.org/10.3390/polym17182537
Zappaterra F, Todea A, Asaro F, Ditalia PFA, Danielli C, Renzi M, Anselmi S, Gardossi L. Integrating Computational and Experimental Methods for the Rational Ecodesign and Synthesis of Functionalized Safe and Sustainable Biobased Oligoesters. Polymers. 2025; 17(18):2537. https://doi.org/10.3390/polym17182537
Chicago/Turabian StyleZappaterra, Federico, Anamaria Todea, Fioretta Asaro, Pasquale Fabio Alberto Ditalia, Chiara Danielli, Monia Renzi, Serena Anselmi, and Lucia Gardossi. 2025. "Integrating Computational and Experimental Methods for the Rational Ecodesign and Synthesis of Functionalized Safe and Sustainable Biobased Oligoesters" Polymers 17, no. 18: 2537. https://doi.org/10.3390/polym17182537
APA StyleZappaterra, F., Todea, A., Asaro, F., Ditalia, P. F. A., Danielli, C., Renzi, M., Anselmi, S., & Gardossi, L. (2025). Integrating Computational and Experimental Methods for the Rational Ecodesign and Synthesis of Functionalized Safe and Sustainable Biobased Oligoesters. Polymers, 17(18), 2537. https://doi.org/10.3390/polym17182537

