Development and Characterization of a Novel Erucyl Ultra-Long-Chain Gemini Surfactant
Abstract
1. Introduction
2. Experimental Materials and Methods
2.1. Experimental Materials
2.2. Experimental Instruments
2.3. Preparation of Erucyl Ultra-Long-Chain Gemini Surfactant
2.3.1. Synthesis of Erucyl Bromopropionamide Intermediate
2.3.2. Synthesis of Erucyl Ultra-Long-Chain Gemini Surfactant
2.4. Structure Characterization and Performance Evaluation Methods
2.4.1. Structure Characterization
2.4.2. Surface Activity Evaluation
2.4.3. Rheological Property Evaluation
2.4.4. Salt Effect Study
2.4.5. Temperature Resistance Evaluation
2.5. Performance Evaluation of Fracturing Fluid
2.5.1. Evaluation of Proppant-Carrying Performance
2.5.2. Evaluation of Gel-Breaking Performance
2.5.3. Evaluation of Core Damage Performance
3. Results and Discussion
3.1. Structural Characterization
3.1.1. FT-IR Characterization
3.1.2. 1H NMR Characterization
3.2. Performance Evaluation
3.2.1. Surface Activity Evaluation
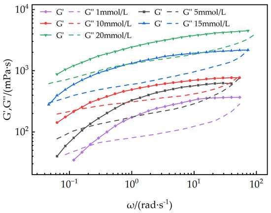
3.2.2. Evaluation of Rheological Properties
- (1)
- Steady-State Rheology
- (2)
- Dynamic Rheology
3.2.3. Result on the Salt Effect
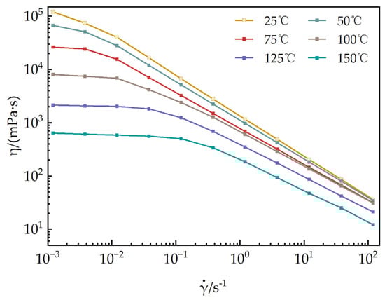
3.2.4. Evaluation of Temperature Resistance
3.3. Performance Evaluation of Fracturing Fluids
3.3.1. Proppant-Carrying Performance Evaluation
3.3.2. Gel-Breaking Performance Evaluation
3.3.3. Evaluation of Core Damage Performance
4. Conclusions
- (1)
- Molecular synthesis and characterization: The target product EUCGS was prepared via a two-step synthesis method, achieving an overall yield of 78.6%. FT-IR and 1H NMR analyses confirmed the presence of a C22 ultra-long chain, cis double bond, amide bond, and quaternary ammonium head group in the molecular structure.
- (2)
- Surface activity: EUCGS exhibited a low critical micelle concentration (0.018 mmol/L) and excellent surface tension reduction capability (γCMC = 30.0 mN/m), with these parameters outperforming those of conventional single-chain surfactants.
- (3)
- Rheological properties: At a concentration of 1.0 mmol/L, EUCGS formed a wormlike micellar network, displaying Maxwell fluid characteristics and shear-thinning behavior. In the presence of 225 mmol/L NaCl, the apparent viscosity of 20 mmol/L EUCGS solution increased from 86 mPa·s to 255 mPa·s. The solution demonstrated good thermal stability at 100 °C.
- (4)
- Fracturing fluid application performance: The proppant settling rate of the EUCGS-FFS system at 90 °C (0.25 cm/min) was lower than that of the CTAB-FFS system (0.42 cm/min). Additionally, the EUCGS-FFS system required a lower dosage of the breaker and resulted in a final core damage rate of 0.9%.
Author Contributions
Funding
Data Availability Statement
Acknowledgments
Conflicts of Interest
References
- Barati, R.; Liang, J.-T. A review of fracturing fluid systems used for hydraulic fracturing of oil and gas wells. J. Appl. Polym. Sci. 2014, 131, 40735. [Google Scholar] [CrossRef]
- Gandossi, L.; Von Estorff, U. An Overview of Hydraulic Fracturing and Other Formation Stimulation Technologies for Shale Gas Production; Publications Office of the European Union: Luxembourg, 2015. [Google Scholar]
- Zhang, W.; Zhang, Q.; Xia, T.; Ji, Q.; Liu, J.; Liu, X.; Wang, L.; Wang, L. Development and study of a salt tolerance gemini cationic viscoelastic surfactant with spacer of neopentyl-glycol applied in seawater-based clean fracturing fluid. Colloid Polym. Sci. 2025, 303, 547–561. [Google Scholar] [CrossRef]
- Huang, S.; Jiang, G.; Chang, Z.; Wang, Q.; Dong, T.; He, Y.; Yang, L.; Jin, Z. The effect of viscoelastic surfactant fracturing fluid on methane adsorption/desorption characteristics in Shale: Experimental and mechanistic study. Chem. Eng. J. 2025, 510, 161901. [Google Scholar] [CrossRef]
- Zhang, W.; Tian, J.; Chen, Y.; Wang, D.; Zeng, H.; Wang, L.; Su, H.; Mao, J.; Yang, X. Development of polymer powder-based multifunctional variable-viscosity slickwater systems assisted by viscoelastic surfactants for enhanced unconventional reservoir fracturing. SSRN 2025. [Google Scholar] [CrossRef]
- Rosen, M.J. Gemini surfactants: Synthesis, interfacial and solution-phase behavior, and applications. J. Surfactants Deterg. 2004, 7, 348. [Google Scholar]
- Shukla, D.; Tyagi, V. Cationic gemini surfactants: A review. J. Oleo Sci. 2006, 55, 381–390. [Google Scholar] [CrossRef]
- Bhut, P.R.; Pal, N.; Mandal, A. Characterization of hydrophobically modified polyacrylamide in mixed polymer-gemini surfactant systems for enhanced oil recovery application. ACS Omega 2019, 4, 20164–20177. [Google Scholar] [CrossRef]
- Roshdy, K.; Mohamed, H.I.; Ahmed, M.H.; El-Dougdoug, W.I.; Abo-Riya, M.A. Gemini ionic liquid-based surfactants: Efficient synthesis, surface activity, and use as inducers for the fabrication of Cu2O nanoparticles. RSC Adv. 2023, 13, 31128–31140. [Google Scholar] [CrossRef]
- Raghavan, S.R.; Kaler, E.W. Highly viscoelastic wormlike micellar solutions formed by cationic surfactants with long unsaturated tails. Langmuir 2000, 17, 300–306. [Google Scholar] [CrossRef]
- Moore, J.E.; McCoy, T.M.; Sokolova, A.V.; de Campo, L.; Pearson, G.R.; Wilkinson, B.L.; Tabor, R.F. Worm-like micelles and vesicles formed by alkyl-oligo(ethylene glycol)-glycoside carbohydrate surfactants: The effect of precisely tuned amphiphilicity on aggregate packing. J. Colloid Interface Sci. 2019, 547, 275–290. [Google Scholar] [CrossRef]
- Alzobaidi, S.; Da, C.; Tran, V.; Prodanović, M.; Johnston, K.P. High temperature ultralow water content carbon dioxide-in-water foam stabilized with viscoelastic zwitterionic surfactants. J. Colloid Interface Sci. 2017, 488, 79–91. [Google Scholar] [CrossRef]
- Ba-Salem, A.O.; Duhamel, J. Synthesis and characterization of a pyrene-labeled gemini surfactant sensitive to the polarity of its environment. Langmuir 2021, 37, 13824–13837. [Google Scholar] [CrossRef]
- Menger, F.M.; Keiper, J.S. Gemini surfactants. Angew. Chem. Int. Ed. 2000, 39, 1906–1920. [Google Scholar] [CrossRef]
- Xu, T.; Mao, J.; Zhang, Y.; Yang, X.; Lin, C.; Du, A.; Zhang, H. Application of gemini viscoelastic surfactant with high salt in brine-based fracturing fluid. Colloids Surf. A 2021, 611, 125838. [Google Scholar] [CrossRef]
- Han, Y.; Wang, Y. Aggregation behavior of gemini surfactants and their interaction with macromolecules in aqueous solution. Phys. Chem. Chem. Phys. 2011, 13, 1939–1956. [Google Scholar] [CrossRef]
- Cho, Y.-L.; Tzou, Y.-M.; Assakinah, A.; Than, N.A.T.; Yoon, H.S.; Park, S.I.; Wang, C.-C.; Lee, Y.-C.; Hsu, L.-C.; Huang, P.-Y.; et al. Accumulation and bio-oxidation of arsenite mediated by thermoacidophilic Cyanidiales: Innate potential biomaterials toward arsenic remediation. Bioresour. Technol. 2024, 406, 130912. [Google Scholar] [CrossRef]
- Katnic, S.P.; Gupta, R.K. Assessment of the effectiveness of commercial enzymes for polyurethane biodegradation. J. Polym. Environ. 2025, 33, 1689–1704. [Google Scholar] [CrossRef]
- Gishkori, S.N.; Waseem, M.A.; Asif, S.; Zahid, A.H.; Ayub, M.T. Stable 2-tert-butyl,1-4 benzoquinone based organic anode for lithium-ion batteries. In Proceedings of the International Conference on Energy, Power, Environment, Control and Computing, Gujrat, Pakistan, 19–20 February 2025. [Google Scholar] [CrossRef]
- Locht, R.; Dehareng, D. The vacuum UV photoabsorption spectrum of 1,1-dibromo-2,2-difluoroethylene (1,1-Br2C2F2) in the 5-15 eV photon energy range. Combining experimental and theoretical investigations. J. Quant. Spectrosc. Radiat. Transf. 2023, 306, 108640. [Google Scholar] [CrossRef]
- Vennila, P.; Al-Otaibi, J.S.; Venkatesh, G.; Sheena Mary, Y.; Raj, V.; Acharjee, N.; Tamilselvi, P. Structural, spectral, molecular docking, and molecular dynamics simulations of phenylthiophene-2-carboxylate compounds as potential anticancer agents. Polycycl. Aromat. Comp. 2023, 44, 238–260. [Google Scholar] [CrossRef]
- Li, F.; Ma, Y.; Chen, L.; Li, H.; Zhou, H.; Chen, J. In-situ polymerization of polyurethane/aniline oligomer functionalized graphene oxide composite coatings with enhanced mechanical, tribological and corrosion protection properties. Chem. Eng. J. 2021, 425, 130006. [Google Scholar] [CrossRef]
- Ariai, J.; Becker, J.; Gellrich, U. Facile (3+2) cycloaddition between an N-heterocyclic olefin and nitrous oxide at ambient conditions. Eur. J. Org. Chem. 2023, 27, e202301252. [Google Scholar] [CrossRef]
- Hession, B.J.; Botcha, N.K.; Mukherjee, A.; Scholz, C. Investigation of the effect of chelating nitrogenous bases on click reactions on poly[(methyl acrylate)-co-(5-azido-1-pentene)]. Polym. Int. 2023, 72, 957–966. [Google Scholar] [CrossRef]
- Kumar, N.; Tyagi, R. Industrial applications of dimeric surfactants: A review. J. Disper. Sci. Technol. 2014, 35, 205–214. [Google Scholar] [CrossRef]
- Zhang, W.; Mao, J.; Yang, X.; Zhang, H.; Zhang, Z.; Yang, B.; Zhang, Y.; Zhao, J. Study of a novel gemini viscoelastic surfactant with high performance in clean fracturing fluid application. Polymers 2018, 10, 1215. [Google Scholar] [CrossRef] [PubMed]
- Dai, S.; Gong, Y.; Wang, F.; Hu, P. Synthesis and interface activity of a series of carboxylic quaternary ammonium surfactants in hydraulic fracturing. Geofluids 2019, 2019, 1–11. [Google Scholar] [CrossRef]
- Naskar, B. Micellization and physicochemical properties of ctab in aqueous solution: Interfacial properties, energetics, and aggregation number at 290 to 323 K. Colloids Interfaces 2025, 9, 4. [Google Scholar] [CrossRef]
- Liu, Y.; Zhou, L.; Wan, X.; Tang, Y.; Liu, Q.; Li, W.; Liao, J. Synthesis and Characterization of a Temperature-Sensitive Microcapsule Gelling Agent for High-Temperature Acid Release. ACS Omega 2024, 9, 20849–20858. [Google Scholar] [CrossRef] [PubMed]
- Dreiss, C.A. Wormlike micelles: Where do we stand? Recent developments, linear rheology and scattering techniques. Soft Matter 2007, 3, 956–970. [Google Scholar] [CrossRef]
- Goel, N.; Shah, S.N.; Grady, B.P. Correlating viscoelastic measurements of fracturing fluid to particles suspension and solids transport. J. Petrol. Sci. Eng. 2002, 35, 59–81. [Google Scholar] [CrossRef]
- Qiu, B.; Chen, Z.; Pei, X.; Cui, Z.; Song, B.; Qiu, B. Viscoelastic behavior of wormlike micellar solutions formed by an aspartame-based bicephalous anionic surfactant. Soft Matter 2025, 21, 1583–1591. [Google Scholar] [CrossRef]
- Shashkina, J.A.; Philippova, O.E.; Zaroslov, Y.D.; Khokhlov, A.R.; Pryakhina, T.A.; Blagodatskikh, I.V. Rheology of viscoelastic solutions of cationic surfactant. Effect of added associating polymer. Langmuir 2005, 21, 1524–1530. [Google Scholar] [CrossRef]
- Wang, P.; Pei, S.; Wang, M.; Yan, Y.; Sun, X.; Zhang, J. Study on the transformation from linear to branched wormlike micelles: An insight from molecular dynamics simulation. J. Colloid Interface Sci. 2017, 494, 47–53. [Google Scholar] [CrossRef] [PubMed]
- Li, J.; Wen, M.; Yang, J.; Liu, Y.; Jiang, Z.; Chen, J. Synthesis and analysis of magnetic nanoparticles within foam matrix for foam drainage gas production. Geoenergy Sci. Eng. 2024, 238, 212887. [Google Scholar] [CrossRef]
- Pleines, M.; Kunz, W.; Zemb, T.; Benczédi, D.; Fieber, W. Molecular factors governing the viscosity peak of giant micelles in the presence of salt and fragrances. J. Colloid Interface Sci. 2019, 537, 682–693. [Google Scholar] [CrossRef] [PubMed]
- Yang, Z.; He, S.; Fang, Y.; Zhang, Y. Viscoelastic fluid formed by ultralong-chain erucic acid-base ionic liquid surfactant responds to acid/alkaline, CO2, and light. J. Agric. Food Chem. 2021, 69, 3094–3102. [Google Scholar] [CrossRef]
- Nodoushan, E.J.; Lee, Y.J.; Na, H.-J.; You, B.-H.; Lee, M.-Y.; Kim, N. Effects of nacl and temperature on rheological characteristics and structures of ctab/nasal wormlike micellar solutions. J. Ind. Eng. Chem. 2021, 98, 458–464. [Google Scholar] [CrossRef]
- Xu, Y.; Liu, X. Fabrication and enzymatic disorganization of multiresponse worm-like micelles. Langmuir 2023, 40, 896–905. [Google Scholar] [CrossRef]
- Zhang, S.; Ren, D.; Zhao, Q.; Peng, M.; Wang, X.; Zhang, Z.; Liu, W.; Huang, F. Observation of topological hydrogen-bonding domains in physical hydrogel for excellent self-healing and elasticity. Nat. Commun. 2025, 16, 2371. [Google Scholar] [CrossRef]
- Zhang, W.; Wang, L.; Li, H.; Xu, P.; Yi, F.; Chen, Y.; Liu, X.; Wang, L. A gemini viscoelastic surfactant stabilized by steric hindrance group on its spacer to construct wormlike micelle structure in concentrated brines. J. Mol. Liq. 2023, 385, 122275. [Google Scholar] [CrossRef]
- Xu, R.; Liao, L.; Liang, W.; Wang, H.; Zhou, Q.; Liu, W.; Chen, M.; Fang, B.; Wu, D.; Jin, H.; et al. Fast Removing Ligands from Platinum-Based Nanocatalysts by a Square-Wave Potential Strategy. Angew. Chem. 2025, 64, e202509746. [Google Scholar] [CrossRef]
- Li, J.; Wen, M.; Jiang, Z.; Xian, L.; Liu, J.; Chen, J. Development and characterization of a surfactant responsive to redox conditions for gas recovery in foam drainage. Sci. Rep. 2025, 15, 511. [Google Scholar] [CrossRef] [PubMed]
- Li, J.; Wen, M.; Jiang, Z.; Gao, S.; Xiao, X.; Xiang, C.; Tao, J. Formulation and characterization of surfactants with antibacterial and corrosion-inhibiting properties for enhancing shale gas drainage and production. Sci. Rep. 2025, 15, 2376. [Google Scholar] [CrossRef] [PubMed]














| Surfactants | CMC (mmol/L) | γCMC (mN/m) | Γmax (10−3 mmol/L) | Amin (nm2) |
|---|---|---|---|---|
| EUCGS | 0.018 | 30.0 | 1.28 | 1.30 |
| JS-N-JS [26] | 0.028 | 33.12 | 1.59 | 1.04 |
| VES-Q [15] | 0.047 | 43.2 | 0.388 | 2.33 |
| CTAAC [27] | 0.15 | 30.65 | 3.16 | 0.28 |
| CTAB [28] | 0.94 | 39 | 1.25 | 1.33 |
| Temperature/°C | Sedimentation Rate/(cm·min−1) | |
|---|---|---|
| EUCGS-FFS | CTAB-FFS | |
| 30 | 0.0001 | 0.0001 |
| 70 | 0.13 | 0.23 |
| 90 | 0.25 | 0.42 |
| K0/10−3 μm2 | K1/10−3 μm2 | K2/10−3 μm2 | Φ/% | R/% | Φ’/% | |
|---|---|---|---|---|---|---|
| EUCGS-FFS | 36.45 | 32.15 | 36.14 | 11.8 | 12.4 | 0.9 |
| CTAB-FFS | 36.52 | 33.14 | 36.12 | 9.3 | 9.0 | 1.1 |
Disclaimer/Publisher’s Note: The statements, opinions and data contained in all publications are solely those of the individual author(s) and contributor(s) and not of MDPI and/or the editor(s). MDPI and/or the editor(s) disclaim responsibility for any injury to people or property resulting from any ideas, methods, instructions or products referred to in the content. |
© 2025 by the authors. Licensee MDPI, Basel, Switzerland. This article is an open access article distributed under the terms and conditions of the Creative Commons Attribution (CC BY) license (https://creativecommons.org/licenses/by/4.0/).
Share and Cite
Fei, G.; Liu, B. Development and Characterization of a Novel Erucyl Ultra-Long-Chain Gemini Surfactant. Polymers 2025, 17, 2257. https://doi.org/10.3390/polym17162257
Fei G, Liu B. Development and Characterization of a Novel Erucyl Ultra-Long-Chain Gemini Surfactant. Polymers. 2025; 17(16):2257. https://doi.org/10.3390/polym17162257
Chicago/Turabian StyleFei, Guiqiang, and Banghua Liu. 2025. "Development and Characterization of a Novel Erucyl Ultra-Long-Chain Gemini Surfactant" Polymers 17, no. 16: 2257. https://doi.org/10.3390/polym17162257
APA StyleFei, G., & Liu, B. (2025). Development and Characterization of a Novel Erucyl Ultra-Long-Chain Gemini Surfactant. Polymers, 17(16), 2257. https://doi.org/10.3390/polym17162257
