A Novel Method of Improving the Mechanical Properties of Propellant Using Energetic Thermoplastic Elastomers with Bonding Groups
Abstract
1. Introduction
2. Materials and Methods
2.1. Experimental Materials
2.2. Sample Preparation
2.3. Experimental Instruments and Test Conditions
2.3.1. Interface Property Test
2.3.2. Tensile Property Test
2.3.3. Impact Property Test
2.3.4. Sensitivity Measurements
3. Results
3.1. Interface Characteristics of the NC/NENA/ETPE Adhesive
3.2. Tensile Properties of Propellants with Different ETPE Contents
3.3. Impact Mechanical Properties
3.4. Mechanical Sensitivity
4. Conclusions
- (1)
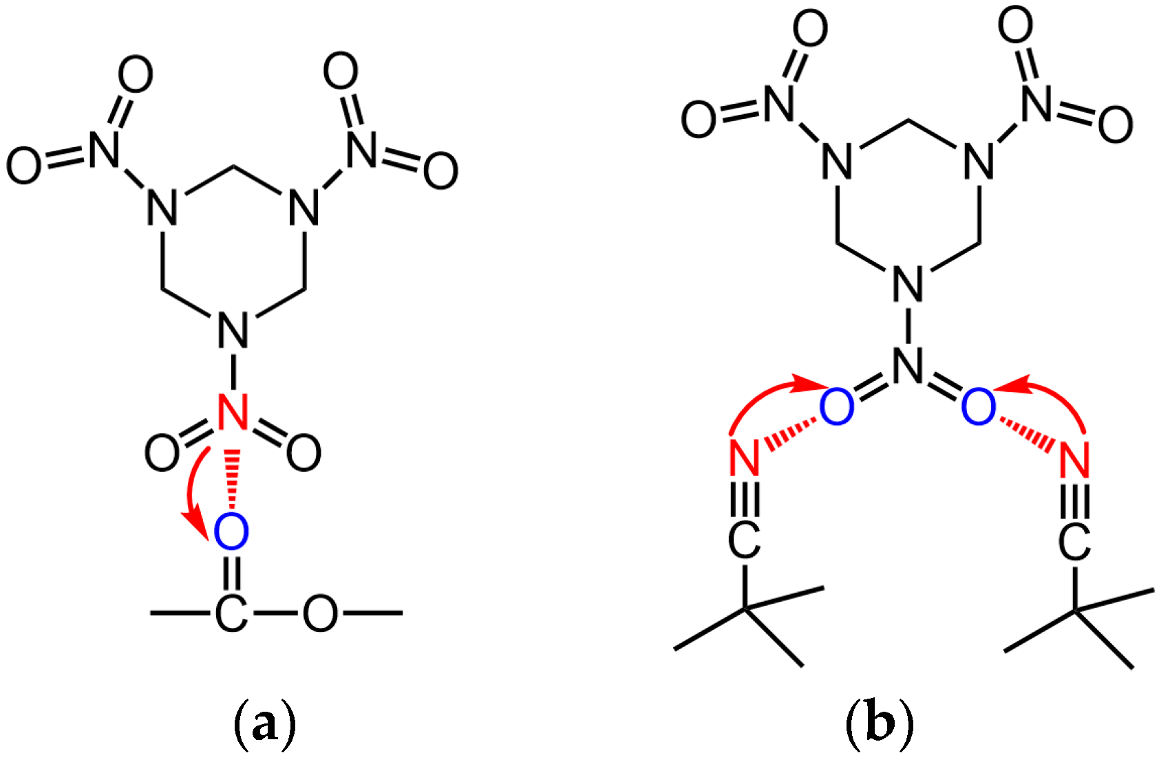
- Under the induced force between the bonding groups and the nitro groups of RDX, the interfacial compatibility between the adhesive system of the propellant and the RDX was improved, and its adhesion work increased. The cyanide group, which possesses a stronger degree of polarity, can generate stronger induced forces between the ETPE and the RDX compared to the ester groups. Consequently, the adhesive of the ExC propellant exhibited greater adhesion work with RDX compared to other propellants.
- (2)
- All three types of ETPE improved the low-temperature elongation and impact resistance of the EMDB propellant, but BDO-ETPE and DBM-ETPE also reduced the high-temperature tensile strength of the propellant. Due to its ability to induce stronger forces, CBA-ETPE improved the mechanical properties of the propellant at low and high temperatures simultaneously. The optimal mechanical properties of the propellant were achieved at a 3% CBA-ETPE content (i.e., E3C). The elongation and impact strength of the propellant at −40 °C reached 7.49% and 6.58 MPa, respectively, while its tensile strength and impact strength at 50 °C reached 1.19 MPa and 21.1 MPa, respectively.
- (3)
- All three types of ETPE improved the safety of the EMDB propellant. As the ETPE content increased, the sensitivity of the EMDB propellant gradually decreased. The optimal formulation for the E3C propellant had a characteristic fall height of 39.0 cm, which is 126% higher than that of the traditional EMDB propellant. In addition, the friction sensitivity of the material was reduced to 0%.
Supplementary Materials
Author Contributions
Funding
Institutional Review Board Statement
Data Availability Statement
Conflicts of Interest
References
- Tan, H.M. The Chemistry and Technology of Solid Rocket Propellant; Beijing Institute of Technology Press: Beijing, China, 2015; pp. 114–420. [Google Scholar]
- Yuan, Q.; Shao, Z.; Zhang, Y. Application of cellulose glycerol ether nitrate in double base propellants. J. Solid Rocket Technol. 2012, 35, 83–87. [Google Scholar]
- Jiao, Q.; Li, J.; Ren, H.; Wang, L.; Zhang, L. Effect of RDX Particle Size on Properties of CMDB Propellant. Chin. J. Energ. Mater. 2007, 15, 220–223. [Google Scholar]
- Wu, C.; Liu, Y.; Hu, S.; Lu, Y.; Guo, C.; Li, H.; Qu, H.; Fu, X.; Li, H. Correlation between microstructural evolution and mechanical properties of CMDB propellant during uniaxial tension. Prop. Explos. Pyrotech. 2023, 48, e202300117. [Google Scholar] [CrossRef]
- Elbasuney, S.; Fahd, A.; Mostafa, H.E.; Mostafa, S.F.; Sadek, R. Chemical stability, thermal behavior, and shelf life assessment of extruded modified double-base propellants. Def. Technol. 2018, 14, 70–76. [Google Scholar] [CrossRef]
- Fleming, J.; Rousseau, W.; Zebregs, M.; van Driel, C. Solventless extruded double-base (EDB) propellant charges—A review of the properties, technology, and applications. Int. J. Energ. Mater. Chem. Propul. 2022, 21, 13–46. [Google Scholar] [CrossRef]
- Ahmed, M.; Petr, S.; Robert, M.; Jan, Z. Ballistic testing and thermal behavior of cast double-base propellant containing Bu-NENA. Chin. J. Explos. Propellants 2017, 40, 23–28. [Google Scholar]
- An, C.; Li, F.; Wang, J.; Guo, X. Surface coating of nitroamine explosives and its effects on the performance of composite modified double-base propellants. J. Propul. Power 2012, 28, 444–448. [Google Scholar] [CrossRef]
- Jia, X.; Cao, Q.; Guo, W.; Li, C.; Shen, J.; Geng, X.; Wang, J.; Hou, C. Synthesis, thermolysis, and solid spherical of RDX/PMMA energetic composite materials. J. Mater. Sci. Mater. Electron. 2019, 30, 20166–20173. [Google Scholar] [CrossRef]
- Chen, L.; Li, Q.; Wang, X.; Zhang, J.; Xu, G.; Cao, X.; He, W. Electrostatic spraying synthesis of energetic RDX@NGEC nanocomposites. Chem. Eng. J. 2022, 431, 133718. [Google Scholar] [CrossRef]
- Sun, S.; Zhao, B.; Cheng, Y.; Luo, Y. Research on Mechanical Properties and Sensitivity of a Novel Modified Double-Base Rocket Propellant Plasticized by Bu-NENA. Materials 2022, 15, 6374. [Google Scholar] [CrossRef] [PubMed]
- Talawar, M.B.; Sivabalan, R.; Mukundan, T.; Muthurajan, H.; Sikder, A.K.; Gandhe, B.R.; Rao, A.S. Environmentally compatible next generation green energetic materials (GEMs). J. Hazard. Mater. 2009, 161, 589–607. [Google Scholar] [CrossRef] [PubMed]
- Chen, M.; Xu, M.; Liu, N.; Mo, H.; Lu, X. Research progress of energetic thermoplastic adhesives. Explos. Mater. 2020, 49, 1–8. [Google Scholar]
- Zhang, Z. Synthesis and Characterization of Energetic Thermoplastic Polyurethane Elastomers; Beijing Institute of Technology Press: Beijing, China, 2015. [Google Scholar]
- Zhang, J.; Wang, Z.; Sun, S.; Luo, Y. Preparation and Properties of a Novel High-Toughness Solid Propellant Adhesive System Based on Glycidyl Azide Polymer–Energetic Thermoplastic Elastomer/Nitrocellulose/Butyl Nitrate Ethyl Nitramine. Polymers 2023, 15, 3656. [Google Scholar] [CrossRef]
- GJB 770B-2005; Test Method of Propellant. National Defense Industry Press: Beijing, China, 2005.
- Bihari, B.K.; Kumaraswamy, A.; Jain, M.; Rao, N.P.; Murthy, K.P. Effect of pressure on mechanical properties of composite propellant. Propellants Explos. Pyrot. 2021, 46, 799–805. [Google Scholar] [CrossRef]
- Herder, G.; Weterings, F.; de Klerk, W. Mechanical analysis on rocket propellants. J. Therm. Anal. Calorim. 2003, 72, 921–929. [Google Scholar] [CrossRef]
- Faibish, R.S.; Yoshida, W.; Cohen, Y.J. Contact Angle Study on Polymer-Grafted Silicon Wafers. J. Colloid Interface Sci. 2002, 256, 341–350. [Google Scholar] [CrossRef]
- Young, T. An essay on the cohesion of fluids. Trans. R. Soc. Lond. 1805, 95, 65–87. [Google Scholar]
- van Oss, C.J.; Chaudhury, M.K.; Good, R.J. Monopolar surfaces. Adv. Colloid Interface Sci. 1987, 28, 35–64. [Google Scholar] [CrossRef]
- Linder, B.; Kromhout, R.A. Van der Waals induced dipoles. J. Chem. Phys. 1986, 84, 2753–2760. [Google Scholar] [CrossRef]
- Lemos, M.F.; Bohn, M.A. DMA of polyester-based polyurethane elastomers for composite rocket propellants containing different energetic plasticizers. J. Therm. Anal. Calorim. 2018, 131, 595–600. [Google Scholar] [CrossRef]
- Bhowmik, D.; Sadavarte, V.S.; Pande, S.M.; Saraswat, B.S. An energetic binder for the formulation of advanced solid rocket propellants. Cent. Eur. J. Energ. Mater. 2015, 12, 145–158. [Google Scholar]
- Wang, B.; Liao, X.; Wang, Z.; DeLuca, L.T.; Liu, Z.; Fu, Y. Preparation and Properties of a nRDX-based Propellant. Prop. Explos. Pyrotech. 2017, 42, 649. [Google Scholar] [CrossRef]
- Qi, X.F.; Zhang, X.H.; Guo, X.; Zhang, W.; Chen, Z.; Zhang, J.P. Experiment and simulation of NENA on NC plasticizing. J. Solid Rocket Technol. 2013, 36, 516–520. [Google Scholar]
- Shekhar, H. Effect of Temperature on Mechanical Properties of Solid Rocket Propellants. Def. Sci. J. 2011, 61, 529–533. [Google Scholar] [CrossRef]
- Damse, R.S.; Singh, A. Evaluation of Energetic Plasticisers for Solid Gun Propellant. Def. Sci. J. 2008, 58, 86–93. [Google Scholar] [CrossRef]
- Field, J.E.; Swallowe, G.M.; Heavens, S.N. Ignition mechanisms of explosives during mechanical deformation. Proc. R. Soc. Lond. A Math. Phys. Sci. 1982, 382, 231–244. [Google Scholar]
- Walley, S.M.; Field, J.E.; Palmer, S. Impact sensitivity of propellants. Proc. R. Soc. Lond. Ser. A Math. Phys. Sci. 1992, 438, 571–583. [Google Scholar]
- Choudhari, M.K.; Dhar, S.S.; Shrotri, P.G.; Haridwar, S. Effect of high energy materials on sensitivity of composite modified double base CMDB propellant system. Def. Sci. J. 1992, 42, 253. [Google Scholar] [CrossRef][Green Version]






| Abbreviation | Meaning |
|---|---|
| EMDB | Extruded modified double base |
| GAP | Glycidyl azide polymer |
| ETPE | Energetic thermoplastic elastomers |
| GAP-ETPE | Energetic thermoplastic elastomers based on glycidyl azide polymer |
| BDO | 1,4-butanediol |
| DBM | Diethyl Bis(hydroxymethyl)malonate |
| CBA | N-(2-Cyanoethyl) diethanolamine |
| BDO-ETPE | GAP-ETPE with BDO as chain extender |
| DBM-ETPE | GAP-ETPE with chain extended by BDO and DBM (mass ratio 3:1) |
| CBA-ETPE | GAP-ETPE with chain extended by BDO and CBA (mass ratio 1:1) |
| R3 | EMDB propellant without GAP-ETPE as a control |
| ExB | Propellant based on BDO-ETPE, where x refers to BDO-ETPE content |
| ExD | Propellant based on DBM-ETPE, where x refers to BDO-ETPE content |
| ExC | Propellant based on CBA-ETPE, where x refers to BDO-ETPE content |
| Ad-R3 | The adhesive of R3 propellant |
| Ad-E3B | The adhesive of E3B propellant |
| Ad-E3D | The adhesive of E3D propellant |
| Ad-E3C | The adhesive of E3C propellant |
| Property | BDO-ETPE | CBA-ETPE | DBM-ETPE |
|---|---|---|---|
| Average molecular weight: /g mol−1 | 30,300 | 29,000 | 30,100 |
| Density: ρ/g cm−3 | 1.22 | 1.22 | 1.22 |
| Glass transition temperature: Tg/°C | −39.4 | −38.2 | −39.0 |
| Sample | NC/% | Bu-NENA/% | GAP-ETPE/% | Al/% | RDX/% | Others/% |
|---|---|---|---|---|---|---|
| R3 | 23.6 | 17.8 | -- | 6 | 49 | 3.6 |
| E1B | 23.0 | 17.4 | 1 | 6 | 49 | 3.6 |
| E2B | 22.4 | 17.0 | 2 | 6 | 49 | 3.6 |
| E3B | 21.9 | 16.5 | 3 | 6 | 49 | 3.6 |
| E4B | 21.3 | 16.1 | 4 | 6 | 49 | 3.6 |
| E5B | 20.8 | 15.6 | 5 | 6 | 49 | 3.6 |
| E1C | 23.0 | 17.4 | 1 | 6 | 49 | 3.6 |
| E2C | 22.4 | 17.0 | 2 | 6 | 49 | 3.6 |
| E3C | 21.9 | 16.5 | 3 | 6 | 49 | 3.6 |
| E4C | 21.3 | 16.1 | 4 | 6 | 49 | 3.6 |
| E5C | 20.8 | 15.6 | 5 | 6 | 49 | 3.6 |
| E1D | 23.0 | 17.4 | 1 | 6 | 49 | 3.6 |
| E2D | 22.4 | 17.0 | 2 | 6 | 49 | 3.6 |
| E3D | 21.9 | 16.5 | 3 | 6 | 49 | 3.6 |
| E4D | 21.3 | 16.1 | 4 | 6 | 49 | 3.6 |
| E5D | 20.8 | 15.6 | 5 | 6 | 49 | 3.6 |
| Sample | Diiodomethane/° | N,N-Dimethylformamide/° | Ethylene Glycol/° |
|---|---|---|---|
| Ad-R3 | 50 | 58 | 62 |
| Ad-E3B | 62 | 61 | 68 |
| Ad-E3D | 50 | 55 | 55 |
| Ad-E3C | 57 | 55 | 55 |
| Sample | Interfacial Tension/(mJ·m−2) | Adhesion Work/(mJ·m−2) |
|---|---|---|
| Ad-R3 | 10.6 | 69.67 |
| Ad-E3B | 7.86 | 66.79 |
| Ad-E3D | 7.85 | 72.59 |
| Ad-E3C | 5.14 | 74.08 |
Disclaimer/Publisher’s Note: The statements, opinions and data contained in all publications are solely those of the individual author(s) and contributor(s) and not of MDPI and/or the editor(s). MDPI and/or the editor(s) disclaim responsibility for any injury to people or property resulting from any ideas, methods, instructions or products referred to in the content. |
© 2024 by the authors. Licensee MDPI, Basel, Switzerland. This article is an open access article distributed under the terms and conditions of the Creative Commons Attribution (CC BY) license (https://creativecommons.org/licenses/by/4.0/).
Share and Cite
Sun, S.; Liu, H.; Wang, Y.; Du, W.; Zhao, B.; Luo, Y. A Novel Method of Improving the Mechanical Properties of Propellant Using Energetic Thermoplastic Elastomers with Bonding Groups. Polymers 2024, 16, 792. https://doi.org/10.3390/polym16060792
Sun S, Liu H, Wang Y, Du W, Zhao B, Luo Y. A Novel Method of Improving the Mechanical Properties of Propellant Using Energetic Thermoplastic Elastomers with Bonding Groups. Polymers. 2024; 16(6):792. https://doi.org/10.3390/polym16060792
Chicago/Turabian StyleSun, Shixiong, Haoyu Liu, Yang Wang, Wenhao Du, Benbo Zhao, and Yunjun Luo. 2024. "A Novel Method of Improving the Mechanical Properties of Propellant Using Energetic Thermoplastic Elastomers with Bonding Groups" Polymers 16, no. 6: 792. https://doi.org/10.3390/polym16060792
APA StyleSun, S., Liu, H., Wang, Y., Du, W., Zhao, B., & Luo, Y. (2024). A Novel Method of Improving the Mechanical Properties of Propellant Using Energetic Thermoplastic Elastomers with Bonding Groups. Polymers, 16(6), 792. https://doi.org/10.3390/polym16060792

