Structure-Based Evaluation of Hybrid Lipid–Polymer Nanoparticles: The Role of the Polymeric Guest
Abstract
1. Introduction
2. Materials and Methods
2.1. Materials
2.2. Methods
2.2.1. Preparation of Polymer–Lipid Hybrid Nanoparticles
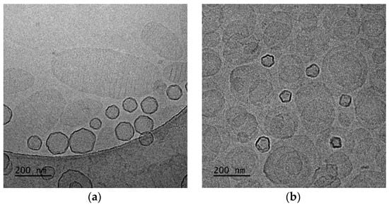
2.2.2. Cryogenic Transmission Electron Microscopy (Cryo-TEM)
2.2.3. Dynamic and Electrophoretic Light Scattering
3. Results and Discussion
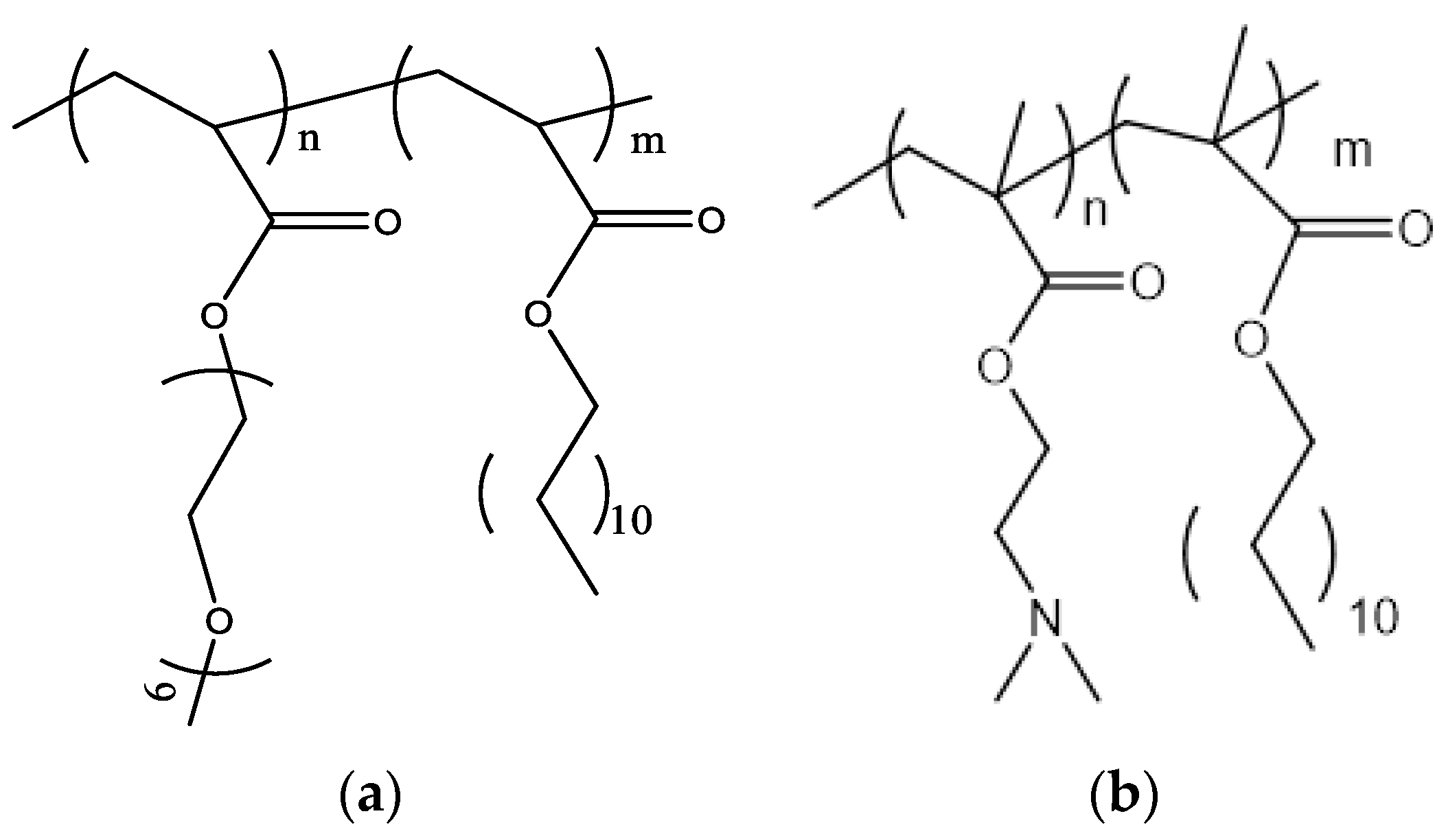
3.1. Hybrid Nanoparticles Employing POEGMA-PLA
3.2. Hybrid Nanoparticles Employing PLMA-b-PDMAEMA
4. Conclusions
Supplementary Materials
Author Contributions
Funding
Institutional Review Board Statement
Informed Consent Statement
Data Availability Statement
Conflicts of Interest
References
- García-Pinel, B.; Porras-Alcalá, C.; Ortega-Rodríguez, A.; Sarabia, F.; Prados, J.; Melguizo, C.; López-Romero, J.M. Lipid-Based Nanoparticles: Application and Recent Advances in Cancer Treatment. Nanomaterials 2019, 9, 638. [Google Scholar] [CrossRef] [PubMed]
- Bangera, P.D.; Kara, D.D.; Tanvi, K.; Tippavajhala, V.K.; Rathnanand, M. Highlights on Cell-Penetrating Peptides and Polymer-Lipid Hybrid Nanoparticle: Overview and Therapeutic Applications for Targeted Anticancer Therapy. AAPS PharmSciTech 2023, 24, 124. [Google Scholar] [CrossRef] [PubMed]
- Zhang, L.; Chan, J.M.; Gu, F.X.; Rhee, J.-W.; Wang, A.Z.; Radovic-Moreno, A.F.; Alexis, F.; Langer, R.; Farokhzad, O.C. Self-assembled lipid--polymer hybrid nanoparticles: A robust drug delivery platform. ACS Nano 2008, 2, 1696–1702. [Google Scholar] [CrossRef] [PubMed]
- Sailor, M.J.; Park, J.-H. Hybrid nanoparticles for detection and treatment of cancer. Adv. Mater. 2012, 24, 3779–3802. [Google Scholar] [CrossRef] [PubMed]
- Triantafyllopoulou, E.; Selianitis, D.; Pippa, N.; Gazouli, M.; Valsami, G.; Pispas, S. Development of Hybrid DSPC:DOPC:P(OEGMA950-DIPAEMA) Nanostructures: The Random Architecture of Polymeric Guest as a Key Design Parameter. Polymers 2023, 15, 1989. [Google Scholar] [CrossRef] [PubMed]
- Du, X.; Gao, N.; Song, X. Bioadhesive polymer/lipid hybrid nanoparticles as oral delivery system of raloxifene with enhancive intestinal retention and bioavailability. Drug Deliv. 2021, 28, 252–260. [Google Scholar] [CrossRef] [PubMed]
- He, C.; Lu, J.; Lin, W. Hybrid nanoparticles for combination therapy of cancer. J. Control. Release 2015, 219, 224–236. [Google Scholar] [CrossRef]
- Dave, V.; Tak, K.; Sohgaura, A.; Gupta, A.; Sadhu, V.; Reddy, K.R. Lipid-polymer hybrid nanoparticles: Synthesis strategies and biomedical applications. J. Microbiol. Methods 2019, 160, 130–142. [Google Scholar] [CrossRef]
- Nam, J.; Beales, P.A.; Vanderlick, T.K. Giant phospholipid/block copolymer hybrid vesicles: Mixing behavior and domain formation. Langmuir 2011, 27, 1–6. [Google Scholar] [CrossRef]
- Arruda, D.C.; Lachagès, A.M.; Demory, H.; Escriou, G.; Lai-Kuen, R.; Dugas, P.Y.; Hoffmann, C.; Bessoles, S.; Sarrabayrouse, G.; Malachias, A.; et al. Spheroplexes: Hybrid PLGA-cationic lipid nanoparticles, for in vitro and oral delivery of siRNA. J. Control. Release 2022, 350, 228–243. [Google Scholar] [CrossRef]
- Pérez-Betancourt, Y.; Araujo, P.M.; Távora, B.d.C.L.F.; Pereira, D.R.; Faquim-Mauro, E.L.; Carmona-Ribeiro, A.M. Cationic and Biocompatible Polymer/Lipid Nanoparticles as Immunoadjuvants. Pharmaceutics 2021, 13, 1859. [Google Scholar] [CrossRef]
- Hallan, S.S.; Sguizzato, M.; Esposito, E.; Cortesi, R. Challenges in the Physical Characterization of Lipid Nanoparticles. Pharmaceutics 2021, 13, 549. [Google Scholar] [CrossRef] [PubMed]
- Benjin, X.; Ling, L. Developments, applications, and prospects of cryo-electron microscopy. Protein Sci. 2020, 29, 872–882. [Google Scholar] [CrossRef] [PubMed]
- Koifman, N.; Talmon, Y. Cryogenic Electron Microscopy Methodologies as Analytical Tools for the Study of Self-Assembled Pharmaceutics. Pharmaceutics 2021, 13, 1015. [Google Scholar] [CrossRef] [PubMed]
- Williams, D.; Pijpers, I.; Ridolfo, R.; van Hest, J.C.M. Controlling the morphology of copolymeric vectors for next generation nanomedicine. J. Control. Release 2017, 259, 29–39. [Google Scholar] [CrossRef] [PubMed]
- Le Meins, J.-F.; Schatz, C.; Lecommandoux, S.; Sandre, O. Hybrid polymer/lipid vesicles: State of the art and future perspectives. Mater. Today 2013, 16, 397–402. [Google Scholar] [CrossRef]
- Tribet, C.; Vial, F. Flexible macromolecules attached to lipid bilayers: Impact on fluidity, curvature, permeability and stability of the membranes. Soft Matter. 2007, 4, 68–81. [Google Scholar] [CrossRef] [PubMed]
- Blanazs, A.; Armes, S.P.; Ryan, A.J. Self-assembled block copolymer aggregates: From micelles to vesicles and their biological applications. Macromol. Rapid Commun. 2009, 30, 267–277. [Google Scholar] [CrossRef]
- Truong, N.P.; Quinn, J.F.; Whittaker, M.R.; Davis, T.P. Polymeric filomicelles and nanoworms: Two decades of synthesis and application. Polym. Chem. 2016, 7, 4295–4312. [Google Scholar] [CrossRef]
- Rikken, R.S.M.; Engelkamp, H.; Nolte, R.J.M.; Maan, J.C.; van Hest, J.C.M.; Wilson, D.A.; Christianen, P.C.M. Shaping polymersomes into predictable morphologies via out-of-equilibrium self-assembly. Nat. Commun. 2016, 7, 12606. [Google Scholar] [CrossRef]
- Salva, R.; Le Meins, J.-F.; Sandre, O.; Brûlet, A.; Schmutz, M.; Guenoun, P.; Lecommandoux, S. Polymersome Shape Transformation at the Nanoscale. ACS Nano 2013, 7, 9298–9311. [Google Scholar] [CrossRef]
- Seifert, U.; Berndl, K.; Lipowsky, R. Shape transformations of vesicles: Phase diagram for spontaneous- curvature and bilayer-coupling models. Phys. Rev. A 1991, 44, 1182–1202. [Google Scholar] [CrossRef]
- Góźdź, W.T. Spontaneous Curvature Induced Shape Transformations of Tubular Polymersomes. Langmuir 2004, 20, 7385–7391. [Google Scholar] [CrossRef]
- Chountoulesi, M.; Perinelli, D.R.; Forys, A.; Chrysostomou, V.; Kaminari, A.; Bonacucina, G.; Trzebicka, B.; Pispas, S.; Demetzos, C. Development of stimuli-responsive lyotropic liquid crystalline nanoparticles targeting lysosomes: Physicochemical, morphological and drug release studies. Int. J. Pharm. 2023, 630, 122440. [Google Scholar] [CrossRef] [PubMed]
- Hu, X.; Hu, J.; Tian, J.; Ge, Z.; Zhang, G.; Luo, K.; Liu, S. Polyprodrug Amphiphiles: Hierarchical Assemblies for Shape-Regulated Cellular Internalization, Trafficking, and Drug Delivery. J. Am. Chem. Soc. 2013, 135, 17617–17629. [Google Scholar] [CrossRef] [PubMed]
- Liu, X.; Wu, F.; Tian, Y.; Wu, M.; Zhou, Q.; Jiang, S.; Niu, Z. Size Dependent Cellular Uptake of Rod-like Bionanoparticles with Different Aspect Ratios. Sci. Rep. 2016, 6, 24567. [Google Scholar] [CrossRef] [PubMed]
- Decuzzi, P.; Godin, B.; Tanaka, T.; Lee, S.-Y.; Chiappini, C.; Liu, X.; Ferrari, M. Size and shape effects in the biodistribution of intravascularly injected particles. J. Control. Release 2010, 141, 320–327. [Google Scholar] [CrossRef] [PubMed]
- Sun, H.; Wong, E.H.H.; Yan, Y.; Cui, J.; Dai, Q.; Guo, J.; Qiao, G.G.; Caruso, F. The role of capsule stiffness on cellular processing. Chem. Sci. 2015, 3505–3514. [Google Scholar] [CrossRef]
- Martin, C.; Marino, N.; Curran, C.; McHale, A.P.; Callan, J.F.; Callan, B. Cholesteryl to improve the cellular uptake of polymersomes within HeLa cells. Int. J. Pharm. 2016, 511, 570–578. [Google Scholar] [CrossRef]
- Chrysostomou, V.; Pispas, S. Stimuli-Responsive Amphiphilic PDMAEMA-b-PLMA Copolymers and their Cationic and Zwitterionic Analogs. J. Polym. Sci. Part A Polym. Chem. 2018, 56, 598–610. [Google Scholar] [CrossRef]
- Pippa, N.; Perinelli, D.R.; Pispas, S.; Bonacucuna, G.; Demetzos, C.; Forys, A.; Trzebicka, B. Studying the colloidal behaviour of chimeric liposomes by cryo-TEM, micro-differential scanning calorimetry and high-resolution ultrasound spectroscopy. Colloids Surf. A Physicochem. Eng. Asp. 2018, 555, 539–547. [Google Scholar] [CrossRef]
- Davidsen, J.; Rosenkrands, I.; Christensen, D.; Vangala, A.; Kirby, D.; Perrie, Y.; Agger, E.M.; Andersen, P. Characterization of cationic liposomes based on dimethyldioctadecylammonium and synthetic cord factor from M. tuberculosis (trehalose 6,6-dibehenate)—A novel adjuvant inducing both strong CMI and antibody responses. Biochim. Biophys. Acta 2005, 1718, 22–31. [Google Scholar] [CrossRef]
- Schulz, M.; Wolfgang, H.B. Mixed Hybrid Lipid/Polymer Vesicles as a Novel Membrane Platform. Macromol. Rapid Commun. 2015, 369230, 2031–2041. [Google Scholar] [CrossRef] [PubMed]
- Geng, Y.; Dalhaimer, P.; Cai, S.; Tsai, R.; Tewari, M.; Minko, T.; Discher, D.E. Shape effects of filaments versus spherical particles in flow and drug delivery. Nat. Nanotechnol. 2007, 2, 249–255. [Google Scholar] [CrossRef]
- Banerjee, A.; Qi, J.; Gogoi, R.; Wong, J.; Mitragotri, S. Role of nanoparticle size, shape and surface chemistry in oral drug delivery. J. Control. Release 2016, 238, 176–185. [Google Scholar] [CrossRef] [PubMed]
- Sternberg, B.; Sorgi, F.L.; Huang, L. New structure in complex formation between DNA and cationic liposomes visualized by freeze-fracture electron microscopy. FEBS Lett. 1994, 356, 361–366. [Google Scholar] [CrossRef] [PubMed]
- Chountoulesi, M.; Perinelli, D.R.; Forys, A.; Katifelis, H.; Selianitis, D.; Chrysostomou, V.; Lagopati, N.; Bonacucina, G.; Trzebicka, B.; Gazouli, M.; et al. Studying the properties of polymer-lipid nanostructures: The role of the host lipid. J. Drug Deliv. Sci. Technol. 2022, 77, 103830. [Google Scholar] [CrossRef]
- Stirling, J.; Lekkas, I.; Sweetman, A.; Djuranovic, P.; Guo, Q.; Pauw, B.; Granwehr, J.; Lévy, R.; Moriarty, P. Critical Assessment of the Evidence for Striped Nanoparticles. PLoS ONE 2014, 9, e108482. [Google Scholar] [CrossRef]
- Zhang, W.; Kochovski, Z.; Lu, Y.; Schmidt, B.V.K.J.; Antonietti, M.; Yuan, J. Internal Morphology-Controllable Self-Assembly in Poly(Ionic Liquid) Nanoparticles. ACS Nano 2016, 10, 7731–7737. [Google Scholar] [CrossRef]
- Kochovski, Z.; Chen, G.; Yuan, J.; Lu, Y. Cryo-Electron microscopy for the study of self-assembled poly(ionic liquid) nanoparticles and protein supramolecular structures. Colloid Polym. Sci. 2020, 298, 707–717. [Google Scholar] [CrossRef]
- Klinger, D.; Wang, C.X.; Connal, L.A.; Audus, D.J.; Jang, S.G.; Kraemer, S.; Killops, K.L.; Fredrickson, G.H.; Kramer, E.J.; Hawker, C.J. A Facile Synthesis of Dynamic, Shape-Changing Polymer Particles. Angew. Chem. Int. Ed. 2014, 53, 7018–7022. [Google Scholar] [CrossRef]
- Chen, D.; Santore, M.M. Hybrid copolymer-phospholipid vesicles: Phase separation resembling mixed phospholipid lamellae, but with mechanical stability and control. Soft Matter. 2015, 11, 2617–2626. [Google Scholar] [CrossRef]
- Nordström, R.; Zhu, L.; Härmark, J.; Levi-Kalisman, Y.; Koren, E.; Barenholz, Y.; Levinton, G.; Shamrakov, D. Quantitative Cryo-TEM Reveals New Structural Details of Doxil-Like PEGylated Liposomal Doxorubicin Formulation. Pharmaceutics 2021, 13, 123. [Google Scholar] [CrossRef]
- Go, Y.K.; Kambar, N.; Leal, C. Hybrid Unilamellar Vesicles of Phospholipids and Block Copolymers with Crystalline Domains. Polymers 2020, 12, 1232. [Google Scholar] [CrossRef]
- Barreleiro, P.C.A.; Olofsson, G.; Brown, W.; Edwards, K.; Bonassi, N.M.; Feitosa, E. Interaction of Octaethylene Glycol n-Dodecyl Monoether with Dioctadecyldimethylammonium Bromide and Chloride Vesicles. Langmuir 2002, 18, 1024–1029. [Google Scholar] [CrossRef]
- Dri, D.A.; Rinaldi, F.; Carafa, M.; Marianecci, C. Nanomedicines and nanocarriers in clinical trials: Surfing through regulatory requirements and physico-chemical critical quality attributes. Drug Deliv. Transl. Res. 2023, 13, 757–769. [Google Scholar] [CrossRef] [PubMed]








| System | Weight Ratio | Colloidal Concentration | Rh (nm) | PDI | z-Pot (mV) | Rg/Rh | Type of Morphology |
|---|---|---|---|---|---|---|---|
| DPPC:POEGMA-PLA | 9:0.2 | 5 mg/mL | 42 ± 2 | 0.25 | 3.8 ± 0.9 | 1.22 | spherical or irregular-shaped |
| HSPC:POEGMA-PLA | 9:0.2 | 5 mg/mL | 52 ± 4 | 0.22 | 0.2 ± 1.8 | 1.07 | spherical or irregular-shaped |
| DMPC:PDMAEMA-b-PLMA | 95:5 | 5 mg/mL | 66 ± 3 | 0.24 | 31.8 ± 1.7 | - | spherical or irregular-shaped or polygonal-shaped particles; striped elongated morphologies |
| DPPC:PDMAEMA-b-PLMA | 95:5 | 5mg/mL | 82 ± 13 | 0.35 | 32.7 ± 6.2 | - | spherical particles, pentagonal-shaped particles, rod-like particles |
| DSPC:DAP:PDMAEMA-b-PLMA | 1:0.7:0.03 | 2mg/mL | 76 ± 5 | 0.34 | 28.2 ± 7.2 | - | unilamellar-vesicular and rod-like structures |
| DSPC:DAP:PDMAEMA-b-PLMA | 1: 1:0.03 | 2mg/mL | 52 ± 6 | 0.21 | 41.4 ± 1.8 | - | unilamellar-vesicular and rod-like structures |
| DDA:TDB:PLMA-B-PDMAEMA | 1:0.2:1 | 2mg/mL | 151 ± 21 | 0.42 | 48.1 ± 2.7 | - | spherical vesicles and irregular-shaped vesicles |
| DDA:TDB:PLMA-B-PDMAEMA | 1:0.2:2.5 | 2mg/mL | 102 ± 10 | 0.32 | 39.3 ± 1.6 | - | “threadlike” structures; spherical “solid” particles |
Disclaimer/Publisher’s Note: The statements, opinions and data contained in all publications are solely those of the individual author(s) and contributor(s) and not of MDPI and/or the editor(s). MDPI and/or the editor(s) disclaim responsibility for any injury to people or property resulting from any ideas, methods, instructions or products referred to in the content. |
© 2024 by the authors. Licensee MDPI, Basel, Switzerland. This article is an open access article distributed under the terms and conditions of the Creative Commons Attribution (CC BY) license (https://creativecommons.org/licenses/by/4.0/).
Share and Cite
Chountoulesi, M.; Pippa, N.; Forys, A.; Trzebicka, B.; Pispas, S. Structure-Based Evaluation of Hybrid Lipid–Polymer Nanoparticles: The Role of the Polymeric Guest. Polymers 2024, 16, 290. https://doi.org/10.3390/polym16020290
Chountoulesi M, Pippa N, Forys A, Trzebicka B, Pispas S. Structure-Based Evaluation of Hybrid Lipid–Polymer Nanoparticles: The Role of the Polymeric Guest. Polymers. 2024; 16(2):290. https://doi.org/10.3390/polym16020290
Chicago/Turabian StyleChountoulesi, Maria, Natassa Pippa, Aleksander Forys, Barbara Trzebicka, and Stergios Pispas. 2024. "Structure-Based Evaluation of Hybrid Lipid–Polymer Nanoparticles: The Role of the Polymeric Guest" Polymers 16, no. 2: 290. https://doi.org/10.3390/polym16020290
APA StyleChountoulesi, M., Pippa, N., Forys, A., Trzebicka, B., & Pispas, S. (2024). Structure-Based Evaluation of Hybrid Lipid–Polymer Nanoparticles: The Role of the Polymeric Guest. Polymers, 16(2), 290. https://doi.org/10.3390/polym16020290

