UV-Cured Highly Crosslinked Polyurethane Acrylate to Serve as a Barrier against Chemical Warfare Agent Simulants
Abstract
1. Introduction
2. Experimental Section
2.1. Materials
2.2. Synthesis of the PUA Monomer HEMA-Htri
2.3. Synthesis of the PUA Monomer PETA-PCDL
2.4. Preparation of the PUA Coatings
3. Characterization
3.1. Characterization of the Physical and Chemical Structure
3.2. Characterization of Thermodynamic Properties
3.3. Evaluation of Chemical Resistance
4. Results and Discussion
4.1. Composition and Chemical Structure of the PUAs
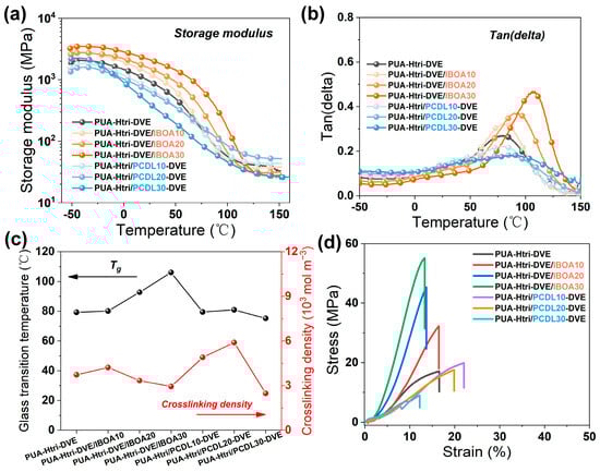
4.2. Thermodynamic Properties of the PUAs
4.3. Chemical Resistances of the PUAs
5. Conclusions
Supplementary Materials
Author Contributions
Funding
Institutional Review Board Statement
Data Availability Statement
Conflicts of Interest
References
- Cooley, K.A.; Pearl, T.P.; Varady, M.J.; Mantooth, B.A.; Willis, M.P. Direct measurement of chemical distributions in heterogeneous coatings. ACS Appl. Mater. Interfaces 2014, 6, 16289–16296. [Google Scholar] [CrossRef] [PubMed]
- Willis, M.P.; Gordon, W.; Lalain, T.; Mantooth, B. Characterization of chemical agent transport in paints. J. Hazard. Mater. 2013, 260, 907–913. [Google Scholar] [CrossRef] [PubMed]
- Levine, F.; La Scala, J.; Kosik, W. Properties of clear polyurethane films modified with a fluoropolymer emulsion. Prog. Org. Coat. 2010, 69, 63–72. [Google Scholar] [CrossRef]
- Levine, F.; Escarsega, J.; La Scala, J. Effect of isocyanate to hydroxyl index on the properties of clear polyurethane films. Prog. Org. Coat. 2012, 74, 572–581. [Google Scholar] [CrossRef]
- Zarras, P.; Miller, C.; Webber, C.; Anderson, N.; Stenger-Smith, J. Laboratory and Field Studies of Poly(2,5-bis(N-methyl-N-hexylamino)phenylene vinylene) (BAM-PPV): A Potential Wash Primer Replacement for Army Military Vehicles. Coatings 2014, 4, 687–700. [Google Scholar] [CrossRef]
- Crawford, D.M.; Escarsega, J.A. Dynamic mechanical analysis of novel polyurethane coating for military applications. Thermochim. Acta 2000, 357, 161–168. [Google Scholar] [CrossRef]
- Rivin, D.; Lindsay, R.S.; Shuely, W.J.; Rodriguez, A. Liquid permeation through nonporous barrier materials. J. Membr. Sci. 2005, 246, 39–47. [Google Scholar] [CrossRef]
- Schneider, N.S.; Rivin, D. Solvent transport in hydrocarbon and perfluorocarbon ionomers. Polymer 2006, 47, 3119–3131. [Google Scholar] [CrossRef]
- Kim, K.; Tsay, O.G.; Atwood, D.A.; Churchill, D.G. Destruction and detection of chemical warfare agents. Chem. Rev. 2011, 111, 5345–5403. [Google Scholar] [CrossRef]
- Gordon, W.O.; Peterson, G.W.; Durke, E.M. Reduced chemical warfare agent sorption in polyurethane-painted surfaces via plasma-enhanced chemical vapor deposition of perfluoroalkanes. ACS Appl. Mater. Interfaces 2015, 7, 6402–6405. [Google Scholar] [CrossRef]
- Song, N.; Zhang, X.; Si, Y.; Yu, J.; Ding, B. Superelastic, Breathable, and High-Barrier Nanofibrous Membranes with Biomimetic ECM Structure for Toxic Chemical Protection. ACS Appl. Mater. Interfaces 2022, 14, 8499–8507. [Google Scholar] [CrossRef] [PubMed]
- Wu, G.; Zhang, D.; Xu, W.; Zhang, H.; Chen, L.; Zheng, Y.; Xin, Y.; Li, H.; Cui, Y. Highly Cross-linked Epoxy Coating for Barring Organophosphate Chemical Warfare Agent Permeation. ACS Omega 2022, 7, 12354–12364. [Google Scholar] [CrossRef] [PubMed]
- Chen, X.; Li, X.; Zhang, H.; Li, H.; Wang, G.; Cui, Y. Cross-Linked Fluorinated Polyurethanes against Chemical Warfare Agent Simulants: Properties Affected by the Structure of Diisocyanate. Macromolecules 2023, 56, 8993–9002. [Google Scholar] [CrossRef]
- Fu, J.; Wang, L.; Yu, H.; Haroon, M.; Haq, F.; Shi, W.; Wu, B.; Wang, L. Research progress of UV-curable polyurethane acrylate-based hardening coatings. Prog. Org. Coat. 2019, 131, 82–99. [Google Scholar] [CrossRef]
- Fu, J.; Yu, H.; Wang, L.; Fahad, S. Preparation and properties of UV-curable diamine-based polyurethane acrylate hard coatings. Appl. Surf. Sci. 2020, 533, 147442. [Google Scholar] [CrossRef]
- Tong, J.; Xie, S.; Miao, J.-T.; Luo, J.; Liu, R. Preparation of UV-cured polyurethane-urea acrylate coatings with high hardness and toughness. Prog. Org. Coat. 2024, 186, 107969. [Google Scholar] [CrossRef]
- Wang, G.; Zhou, Z.; Chen, M.; Wang, J.; Yu, Y. UV-Curable Polyurethane Acrylate Pressure-Sensitive Adhesives with High Optical Clarity for Full Lamination of TFT-LCD. ACS Appl. Polym. Mater. 2023, 5, 2051–2061. [Google Scholar] [CrossRef]
- Liu, J.; Hu, J.; Li, J.; Zhang, Y.; Li, X. Preparation of UV-curable strippable coatings based on polyurethane acrylate from CO2-polyol and different isocyanates. Prog. Org. Coat. 2023, 184, 107865. [Google Scholar] [CrossRef]
- Chen, M.; Pan, X.; Tian, Y.; Li, J.; Tan, Q.; Jin, M.; Ren, J. Synthesis of renewable isosorbide-based polyurethane acrylate resins for UV-cured coating with adjustable properties. Prog. Org. Coat. 2023, 182, 107695. [Google Scholar] [CrossRef]
- Chen, J.; Yang, H.; Qian, Y.; Ouyang, X.; Yang, D.; Pang, Y.; Lei, L.; Qiu, X. Translucent Lignin-Based Omniphobic Polyurethane Coating with Antismudge and UV-Blocking Dual Functionalities. ACS Sustain. Chem. Eng. 2023, 11, 2613–2622. [Google Scholar] [CrossRef]
- Li, T.; Wang, Y.; Liu, X.; Yang, S.; Zhang, S.; Wang, S.; Dong, W. Transparent UV-Cured Polyurethane–Surfactant Coatings with Antifogging Properties. ACS Appl. Polym. Mater. 2022, 4, 8147–8155. [Google Scholar] [CrossRef]
- Tuo, Y.; Luo, X.; Xiong, Y.; Xu, C.A.; Yuan, T. A Novel Polyfunctional Polyurethane Acrylate Derived from Castor Oil-Based Polyols for Waterborne UV-Curable Coating Application. Polymers 2024, 16, 949. [Google Scholar] [CrossRef] [PubMed]
- Zhao, X.; Jiao, H.; Du, B.; Zhao, K. Polyurethane Acrylate Oligomer (PUA) Microspheres Prepared Using the Pickering Method for Reinforcing the Mechanical and Thermal Properties of 3D Printing Resin. Polymers 2023, 15, 4320. [Google Scholar] [CrossRef] [PubMed]
- Ha, S.; Lee, M.; Seo, H.O.; Song, S.G.; Kim, K.-s.; Park, C.H.; Kim, I.H.; Kim, Y.D.; Song, C. Structural Effect of Thioureas on the Detection of Chemical Warfare Agent Simulants. ACS Sens. 2017, 2, 1146–1151. [Google Scholar] [CrossRef] [PubMed]
- Gros-Desormeaux, F.; Caffin, F.; Igert, A.; Guatto, N.; Pierard, C. Is CEES a good analog of sulfur mustard? Macroscopic aspect, histology, and molecular biology comparisons between sulfur mustard and CEES-induced skin lesions. Toxicol. Lett. 2022, 361, 21–28. [Google Scholar] [CrossRef] [PubMed]
- Hudiono, Y.C.; Miller, A.L.; Gibson, P.W.; LaFrate, A.L.; Noble, R.D.; Gin, D.L. A Highly Breathable Organic/Inorganic Barrier Material that Blocks the Passage of Mustard Agent Simulants. Ind. Eng. Chem. Res. 2012, 51, 7453–7456. [Google Scholar] [CrossRef]
- Florent, M.; Giannakoudakis, D.A.; Bandosz, T.J. Mustard Gas Surrogate Interactions with Modified Porous Carbon Fabrics: Effect of Oxidative Treatment. Langmuir 2017, 33, 11475–11483. [Google Scholar] [CrossRef] [PubMed]
- Rahman Bhuiyan, M.A.; Wang, L.; Shaid, A.; Shanks, R.A.; Ding, J. Polyurethane-aerogel incorporated coating on cotton fabric for chemical protection. Prog. Org. Coat. 2019, 131, 100–110. [Google Scholar] [CrossRef]
- Hagen, R.; Salmén, L.; Stenberg, B. Effects of the type of crosslink on viscoelastic properties of natural rubber. J. Polym. Sci. Part B Polym. Phys. 1996, 34, 1997–2006. [Google Scholar] [CrossRef]
- Zajac, M.; Kahl, H.; Schade, B.; Rödel, T.; Dionisio, M.; Beiner, M. Relaxation behavior of polyurethane networks with different composition and crosslinking density. Polymer 2017, 111, 83–90. [Google Scholar] [CrossRef]
- Yang, F.; Gao, H.; Jiang, J.; Wang, M.; Hu, G. Influence of microphase separation and crosslinking density on dynamic viscoelastic properties of nano-Fe3O4 modified polyurethane. J. Appl. Polym. Sci. 2023, 140, e54521. [Google Scholar] [CrossRef]
- Huang, X.; Peng, S.; Zheng, L.; Zhuo, D.; Wu, L.; Weng, Z. 3D Printing of High Viscosity UV-Curable Resin for Highly Stretchable and Resilient Elastomer. Adv. Mater. 2023, 35, e2304430. [Google Scholar] [CrossRef] [PubMed]





| Formula/wt.% | PUA Monomer | Reactive Diluent | UV Initiator | |||
|---|---|---|---|---|---|---|
| HEMA-Htri | PETA-PCDL | IBOA | DVE-3 | TPO-L | 184 | |
| PUA-Htri-DVE | 68.63 | 29.41 | 1.57 | 0.39 | ||
| PUA-Htri-DVE/IBOA10 | 68.63 | 9.80 | 19.61 | 1.57 | 0.39 | |
| PUA-Htri-DVE/IBOA20 | 68.63 | 19.61 | 9.80 | 1.57 | 0.39 | |
| PUA-Htri-DVE/IBOA30 | 68.63 | 29.41 | 1.57 | 0.39 | ||
| PUA-Htri/PCDL10-DVE | 58.83 | 9.80 | 29.41 | 1.57 | 0.39 | |
| PUA-Htri/PCDL20-DVE | 49.02 | 19.61 | 29.41 | 1.57 | 0.39 | |
| PUA-Htri/PCDL30-DVE | 39.22 | 29.41 | 29.41 | 1.57 | 0.39 | |
| Samples | Tg/°C | Storage Modulus at Tg/MPa | Storage Modulus at Trubbery plateau/MPa | υe/mol·m−3 |
|---|---|---|---|---|
| PUA-Htri-DVE | 79.3 | 129.2 | 32.8 | 3439 |
| PUA-Htri-DVE/IBOA10 | 80.1 | 123.5 | 37.2 | 3892 |
| PUA-Htri-DVE/IBOA20 | 92.8 | 104.1 | 30.5 | 3088 |
| PUA-Htri-DVE/IBOA30 | 106.1 | 99.1 | 27.8 | 2724 |
| PUA-Htri/PCDL10-DVE | 79.5 | 123.2 | 43.1 | 4516 |
| PUA-Htri/PCDL20-DVE | 80.9 | 146.5 | 52.0 | 5429 |
| PUA-Htri/PCDL30-DVE | 80.7 | 74.9 | 26.6 | 3013 |
| Samples | Retention/% | |||
|---|---|---|---|---|
| DMMP/0.5 h | DMMP/3 h | CEES/0.25 h | CEES/1 h | |
| PUA-Htri-DVE | 0.78 ± 0.08 | 1.90 ± 0.13 | 7.90 ± 0.14 | 8.23 ± 0.14 |
| PUA-Htri-DVE/IBOA10 | 0.40 ± 0.05 | 1.30 ± 0.11 | 1.37 ± 0.12 | 2.02 ± 0.14 |
| PUA-Htri-DVE/IBOA20 | 0.34 ± 0.05 | 0.44 ± 0.06 | 0.12 ± 0.02 | 0.17 ± 0.03 |
| PUA-Htri-DVE/IBOA30 | 0.11 ± 0.02 | 0.16 ± 0.03 | 0.08 ± 0.02 | 0.15 ± 0.03 |
| PUA-Htri/PCDL10-DVE | 0.35 ± 0.05 | 0.69 ± 0.07 | 2.22 ± 0.15 | 3.19 ± 0.17 |
| PUA-Htri/PCDL20-DVE | 0.40 ± 0.05 | 0.73 ± 0.08 | 2.77 ± 0.16 | 5.30 ± 0.17 |
| PUA-Htri/PCDL30-DVE | 0.55 ± 0.06 | 1.85 ± 0.13 | 5.42 ± 0.17 | 6.26 ± 0.17 |
Disclaimer/Publisher’s Note: The statements, opinions and data contained in all publications are solely those of the individual author(s) and contributor(s) and not of MDPI and/or the editor(s). MDPI and/or the editor(s) disclaim responsibility for any injury to people or property resulting from any ideas, methods, instructions or products referred to in the content. |
© 2024 by the authors. Licensee MDPI, Basel, Switzerland. This article is an open access article distributed under the terms and conditions of the Creative Commons Attribution (CC BY) license (https://creativecommons.org/licenses/by/4.0/).
Share and Cite
Chen, X.; Xiao, L.; Li, H.; Cui, Y.; Wang, G. UV-Cured Highly Crosslinked Polyurethane Acrylate to Serve as a Barrier against Chemical Warfare Agent Simulants. Polymers 2024, 16, 1578. https://doi.org/10.3390/polym16111578
Chen X, Xiao L, Li H, Cui Y, Wang G. UV-Cured Highly Crosslinked Polyurethane Acrylate to Serve as a Barrier against Chemical Warfare Agent Simulants. Polymers. 2024; 16(11):1578. https://doi.org/10.3390/polym16111578
Chicago/Turabian StyleChen, Xucong, Linjing Xiao, Hong Li, Yan Cui, and Guiyou Wang. 2024. "UV-Cured Highly Crosslinked Polyurethane Acrylate to Serve as a Barrier against Chemical Warfare Agent Simulants" Polymers 16, no. 11: 1578. https://doi.org/10.3390/polym16111578
APA StyleChen, X., Xiao, L., Li, H., Cui, Y., & Wang, G. (2024). UV-Cured Highly Crosslinked Polyurethane Acrylate to Serve as a Barrier against Chemical Warfare Agent Simulants. Polymers, 16(11), 1578. https://doi.org/10.3390/polym16111578

