Biodegradation of Polystyrene by Plastic-Eating Tenebrionidae Larvae
Abstract
1. Introduction
2. Materials and Methods
2.1. Test Materials
2.2. Feeding Tests
2.3. Collection and Characterization of Frass
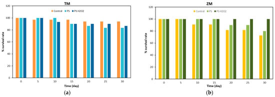
2.3.1. Weight Variation and Survival Rate
2.3.2. Size-Exclusion Chromatography (SEC) Analysis
2.3.3. Spectroscopy Analysis
2.3.4. Thermogravimetric Analysis (TGA)
2.3.5. Morphological Analysis
3. Results and Discussion
3.1. Weight Variation and Survival Rate of T. Molitor and Z. Morio larvae
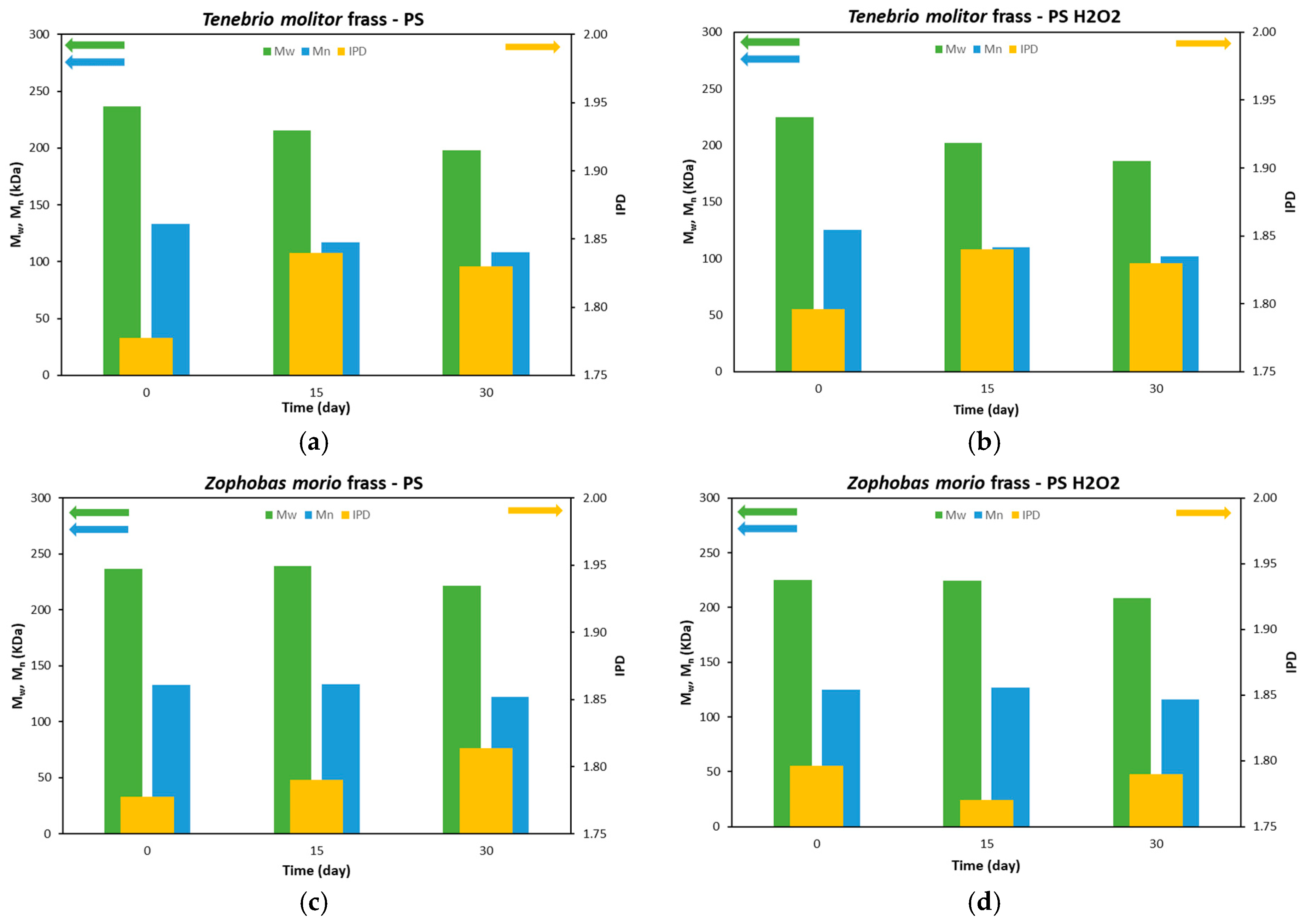
3.2. Size-Exclusion Chromatography (SEC) Analysis
3.3. Spectroscopy Analysis
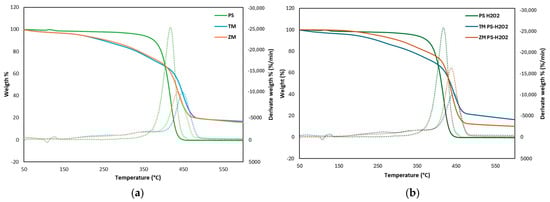
3.4. Thermogravimetric Analysis
3.5. Morphological Analysis
4. Conclusions
Author Contributions
Funding
Institutional Review Board Statement
Data Availability Statement
Conflicts of Interest
References
- Plastic Europe. Plastics—The Fast Facts 2023. 2023. Available online: https://plasticseurope.org/knowledge-hub/plastics-the-fast-facts-2023/ (accessed on 20 February 2024).
- Beghetto, V.; Gatto, V.; Samiolo, R.; Scolaro, C.; Brahimi, S.; Facchin, M.; Visco, A. Plastics Today: Key Challenges and EU Strategies towards Carbon Neutrality: A Review. Environ. Pollut. 2023, 334, 122102. [Google Scholar] [CrossRef]
- An, R.; Liu, C.; Wang, J.; Jia, P. Recent Advances in Degradation of Polymer Plastics by Insects Inhabiting Microorganisms. Polymers 2023, 15, 1307. [Google Scholar] [CrossRef]
- Di Bartolo, A.; Infurna, G.; Dintcheva, N.T. A Review of Bioplastics and Their Adoption in the Circular Economy. Polymers 2021, 13, 1229. [Google Scholar] [CrossRef]
- Jiang, S.; Su, T.; Zhao, J.; Wang, Z. Biodegradation of Polystyrene by Tenebrio molitor, Galleria mellonella, and Zophobas atratus Larvae and Comparison of Their Degradation Effects. Polymers 2021, 13, 3539. [Google Scholar] [CrossRef] [PubMed]
- Shahnawaz, M.; Sangale, M.K.; Ade, A.B. Plastic Waste Disposal and Reuse of Plastic Waste. In Bioremediation Technology for Plastic Waste; Springer: Singapore, 2019; pp. 21–30. ISBN 9789811374913. [Google Scholar]
- Alqattaf, A. Plastic Waste Management: Global Facts, Challenges and Solutions. In Proceedings of the 2020 Second International Sustainability and Resilience Conference: Technology and Innovation in Building Designs (51154), Sakheer, Bahrain, 11–12 November 2020; pp. 1–7. [Google Scholar]
- Ferreira-Filipe, D.A.; Paço, A.; Duarte, A.C.; Rocha-Santos, T.; Patrício Silva, A.L. Are Biobased Plastics Green Alternatives?—A Critical Review. IJERPH 2021, 18, 7729. [Google Scholar] [CrossRef] [PubMed]
- Enyoh, C.E.; Shafea, L.; Verla, A.W.; Verla, E.N.; Qingyue, W.; Chowdhury, T.; Paredes, M. Microplastics Exposure Routes and Toxicity Studies to Ecosystems: An Overview. Environ. Anal. Health Toxicol. 2020, 35, e2020004. [Google Scholar] [CrossRef] [PubMed]
- Khan, S.; Dong, Y.; Nadir, S.; Schaefer, D.A.; Mortimer, P.E.; Xu, J.; Ye, L.; Gui, H.; Wanasinghe, D.N.; Dossa, G.G.O.; et al. Valorizing Plastic Waste by Insect Consumption. Circ. Agric. Syst. 2021, 1, 7. [Google Scholar] [CrossRef]
- Mitra, B.; Das, A. The Ability of Insects to Degrade Complex Synthetic Polymers. In Arthropods—New Advances and Perspectives; Shields, V.D.C., Ed.; IntechOpen: London, UK, 2023; ISBN 978-1-80355-612-3. [Google Scholar]
- Yang, S.-S.; Brandon, A.M.; Andrew Flanagan, J.C.; Yang, J.; Ning, D.; Cai, S.-Y.; Fan, H.-Q.; Wang, Z.-Y.; Ren, J.; Benbow, E.; et al. Biodegradation of Polystyrene Wastes in Yellow Mealworms (Larvae of Tenebrio molitor Linnaeus): Factors Affecting Biodegradation Rates and the Ability of Polystyrene-Fed Larvae to Complete Their Life Cycle. Chemosphere 2018, 191, 979–989. [Google Scholar] [CrossRef] [PubMed]
- Lou, Y.; Li, Y.; Lu, B.; Liu, Q.; Yang, S.-S.; Liu, B.; Ren, N.; Wu, W.-M.; Xing, D. Response of the Yellow Mealworm (Tenebrio Molitor) Gut Microbiome to Diet Shifts during Polystyrene and Polyethylene Biodegradation. J. Hazard. Mater. 2021, 416, 126222. [Google Scholar] [CrossRef]
- Sun, J.; Prabhu, A.; Aroney, S.T.N.; Rinke, C. Insights into Plastic Biodegradation: Community Composition and Functional Capabilities of the Superworm (Zophobas morio) Microbiome in Styrofoam Feeding Trials. Microb. Genom. 2022, 8, 000842. [Google Scholar] [CrossRef]
- Kim, H.R.; Lee, H.M.; Yu, H.C.; Jeon, E.; Lee, S.; Li, J.; Kim, D.-H. Biodegradation of Polystyrene by Pseudomonas sp. Isolated from the Gut of Superworms (Larvae of Zophobas atratus). Environ. Sci. Technol. 2020, 54, 6987–6996. [Google Scholar] [CrossRef] [PubMed]
- Pivato, A.F.; Miranda, G.M.; Prichula, J.; Lima, J.E.A.; Ligabue, R.A.; Seixas, A.; Trentin, D.S. Hydrocarbon-Based Plastics: Progress and Perspectives on Consumption and Biodegradation by Insect Larvae. Chemosphere 2022, 293, 133600. [Google Scholar] [CrossRef] [PubMed]
- Plastic Europe Plastics—The Facts 2022. Available online: https://plasticseurope.org/knowledge-hub/plastics-the-facts-2022/ (accessed on 20 February 2024).
- Farrelly, T.A.; Shaw, I.C. Polystyrene as Hazardous Household Waste. In Household Hazardous Waste Management; Mmereki, D., Ed.; InTech: Berlin, Germany, 2017; ISBN 978-953-51-2909-7. [Google Scholar]
- Yang, Y.; Yang, J.; Wu, W.-M.; Zhao, J.; Song, Y.; Gao, L.; Yang, R.; Jiang, L. Biodegradation and Mineralization of Polystyrene by Plastic-Eating Mealworms: Part 1. Chemical and Physical Characterization and Isotopic Tests. Environ. Sci. Technol. 2015, 49, 12080–12086. [Google Scholar] [CrossRef] [PubMed]
- Achilias, D.S. Polymer Degradation Under Microwave Irradiation. In Microwave-Assisted Polymer Synthesis; Hoogenboom, R., Schubert, U.S., Wiesbrock, F., Eds.; Advances in Polymer Science; Springer International Publishing: Cham, Switzerland, 2014; Volume 274, pp. 309–346. ISBN 978-3-319-42239-8. [Google Scholar]
- Chandrasekaran, S.; Ramanathan, S.; Basak, T. Microwave Material Processing—A Review. AIChE J. 2012, 58, 330–363. [Google Scholar] [CrossRef]
- Calles-Arriaga, C.A.; López-Hernández, J.; Hernández-Ordoñez, M.; Echavarría-Solís, R.A.; Ovando-Medina, V.M. Thermal Characterization of Microwave Assisted Foaming of Expandable Polystyrene. Ing. Investig. Y Tecnol. 2016, 17, 15–21. [Google Scholar] [CrossRef][Green Version]
- Peng, B.-Y.; Su, Y.; Chen, Z.; Chen, J.; Zhou, X.; Benbow, M.E.; Criddle, C.S.; Wu, W.-M.; Zhang, Y. Biodegradation of Polystyrene by Dark (Tenebrio Obscurus) and Yellow (Tenebrio Molitor) Mealworms (Coleoptera: Tenebrionidae). Environ. Sci. Technol. 2019, 53, 5256–5265. [Google Scholar] [CrossRef] [PubMed]
- Bulak, P.; Proc, K.; Pytlak, A.; Puszka, A.; Gawdzik, B.; Bieganowski, A. Biodegradation of Different Types of Plastics by Tenebrio molitor Insect. Polymers 2021, 13, 3508. [Google Scholar] [CrossRef] [PubMed]
- Puglisi, C.; Samperi, F.; Carroccio, S.; Montaudo, G. Analysis of Poly(Bisphenol A Carbonate) by Size Exclusion Chromatography/Matrix-Assisted Laser Desorption/Ionization. 2. Self-Association Due to Phenol End Groups. Rapid Commun. Mass Spectrom. 1999, 13, 2268–2277. [Google Scholar] [CrossRef] [PubMed]
- Di Natale, M.V.; Carroccio, S.C.; Dattilo, S.; Cocca, M.; Nicosia, A.; Torri, M.; Bennici, C.D.; Musco, M.; Masullo, T.; Russo, S.; et al. Polymer Aging Affects the Bioavailability of Microplastics-Associated Contaminants in Sea Urchin Embryos. Chemosphere 2022, 309, 136720. [Google Scholar] [CrossRef] [PubMed]
- Yang, Y.; Wang, J.; Xia, M. Biodegradation and Mineralization of Polystyrene by Plastic-Eating Superworms Zophobas atratus. Sci. Total Environ. 2020, 708, 135233. [Google Scholar] [CrossRef] [PubMed]










| Worm Source | Initial Weight (g) | Feedstocks | Survival Rate (%) | Mw of Frass (kDa) | Mw Reduction (%) | Mn of Frass (kDa) | Mn Reduction (%) | PDI |
|---|---|---|---|---|---|---|---|---|
| T. Molitor | 3.8 | Bran | 94 | n.d. | n.d. | n.d. | n.d. | n.d. |
| PS | 83 | 197.8 | 16.4 | 108.4 | 18.6 | 1.83 | ||
| PS-H2O2 | 87 | 186.0 | 17.3 | 101.8 | 18.7 | 1.83 | ||
| Z. Morio | 8.3 | Bran | 73 | n.d. | n.d. | n.d. | n.d. | n.d. |
| PS | 80 | 221.9 | 6.3 | 122.3 | 8.1 | 1.81 | ||
| PS-H2O2 | 100 | 208.5 | 7.3 | 116.2 | 7.1 | 1.79 |
Disclaimer/Publisher’s Note: The statements, opinions and data contained in all publications are solely those of the individual author(s) and contributor(s) and not of MDPI and/or the editor(s). MDPI and/or the editor(s) disclaim responsibility for any injury to people or property resulting from any ideas, methods, instructions or products referred to in the content. |
© 2024 by the authors. Licensee MDPI, Basel, Switzerland. This article is an open access article distributed under the terms and conditions of the Creative Commons Attribution (CC BY) license (https://creativecommons.org/licenses/by/4.0/).
Share and Cite
Di Liberto, E.A.; Battaglia, G.; Pellerito, R.; Curcuruto, G.; Dintcheva, N.T. Biodegradation of Polystyrene by Plastic-Eating Tenebrionidae Larvae. Polymers 2024, 16, 1404. https://doi.org/10.3390/polym16101404
Di Liberto EA, Battaglia G, Pellerito R, Curcuruto G, Dintcheva NT. Biodegradation of Polystyrene by Plastic-Eating Tenebrionidae Larvae. Polymers. 2024; 16(10):1404. https://doi.org/10.3390/polym16101404
Chicago/Turabian StyleDi Liberto, Erika Alessia, Giuseppe Battaglia, Rosalia Pellerito, Giusy Curcuruto, and Nadka Tz. Dintcheva. 2024. "Biodegradation of Polystyrene by Plastic-Eating Tenebrionidae Larvae" Polymers 16, no. 10: 1404. https://doi.org/10.3390/polym16101404
APA StyleDi Liberto, E. A., Battaglia, G., Pellerito, R., Curcuruto, G., & Dintcheva, N. T. (2024). Biodegradation of Polystyrene by Plastic-Eating Tenebrionidae Larvae. Polymers, 16(10), 1404. https://doi.org/10.3390/polym16101404

