High Content of Thermoplastic Starch, Poly(butylenes adipate-co-terephthalate) and Poly(butylene succinate) Ternary Blends with a Good Balance in Strength and Toughness
Abstract
:1. Introduction
2. Experimental
2.1. Materials
2.2. Preparation of TPS
2.3. Synthesis of PBAT-g-MA
2.4. Preparation of the Blends
2.5. Mechanical Properties
2.6. Differential Scanning Calorimetry (DSC)
2.7. Dynamic Mechanical Analysis (DMA)
2.8. X-ray Diffraction (XRD)
2.9. Rheological Evaluation
2.10. Scanning Electron Microscope (SEM)
2.11. Thermogravimetric Analysis (TGA)
2.12. Heat Deflection Temperature (HDT)
2.13. Melt Flow Index (MFI)
3. Results and Discussion
3.1. Mechanical Properties
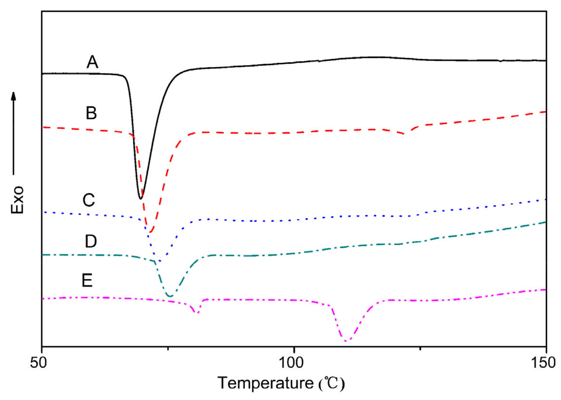
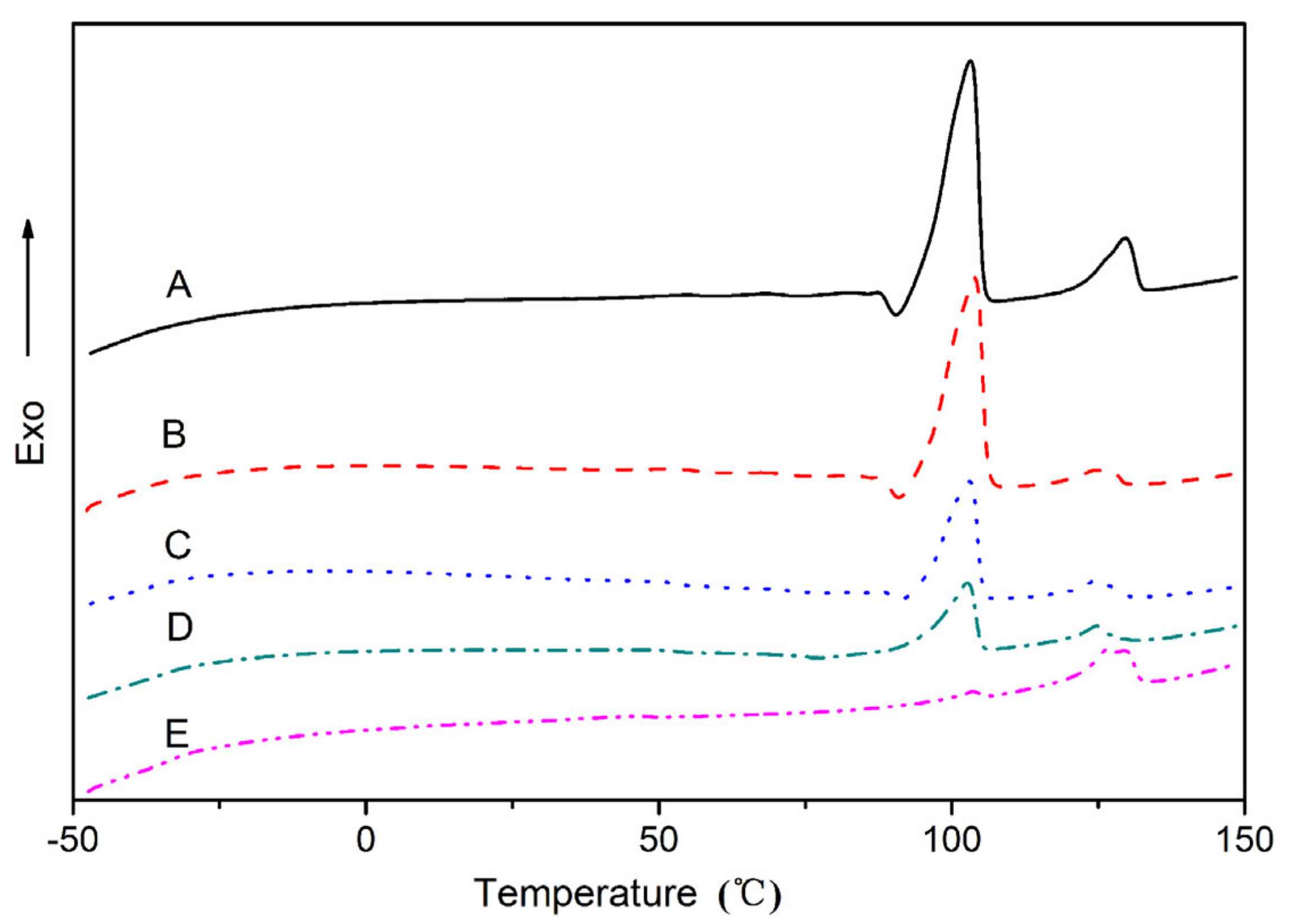
3.2. Thermal and Crystallization Behavior of Binary and Ternary Blends
3.3. Dynamic Mechanical Analysis
3.4. X-ray Diffraction Analysis
3.5. Rheological Properties
3.6. Phase Morphology of TPS Based Blends
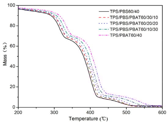
3.7. Thermogravimetric Analysis (TGA)
3.8. Heat Deflection Temperature
3.9. Melt Flow Index (MFI)
4. Conclusions
Author Contributions
Funding
Institutional Review Board Statement
Informed Consent Statement
Data Availability Statement
Acknowledgments
Conflicts of Interest
References
- Jayarathna, S.; Andersson, M.; Andersson, R. Recent Advances in Starch-Based Blends and Composites for Bioplastics Applications. Polymers 2022, 14, 4557. [Google Scholar] [CrossRef] [PubMed]
- Montilla-Buitrago, C.E.; Gomez-Lopez, R.A.; Solanilla-Duque, J.F.; Serna-Cock, L.; Villada-Castillo, H.S. Effect of Plasticizers on Properties, Retrogradation, and Processing of Extrusion-Obtained Thermoplastic Starch: A Review. Starch-Starke 2021, 73, 2100060. [Google Scholar] [CrossRef]
- Bai, J.; Pei, H.J.; Zhou, X.P.; Xie, X.L. Reactive compatibilization and properties of low-cost and high-performance PBAT/thermoplastic starch blends. Eur. Polym. J. 2021, 143, 110198. [Google Scholar] [CrossRef]
- Hernandez, J.H.M. Effect of the Incorporation of Polycaprolactone (PCL) on the Retrogradation of Binary Blends with Cassava Thermoplastic Starch (TPS). Polymers 2021, 13, 38. [Google Scholar] [CrossRef]
- Noivoil, N.; Yoksan, R. Compatibility improvement of poly(lactic acid)/thermoplastic starch blown films using acetylated starch. J. Appl. Polym. Sci. 2021, 138, 49675. [Google Scholar] [CrossRef]
- Chen, R.-Y.; Zou, W.; Zhang, H.-C.; Zhang, G.-Z.; Yang, Z.-T.; Jin, G.; Qu, J.-P. Thermal behavior, dynamic mechanical properties and rheological properties of poly(butylene succinate) composites filled with nanometer calcium carbonate. Polym. Test. 2015, 42, 160–167. [Google Scholar] [CrossRef]
- Zhang, Y.; Yu, C.; Hu, P.; Tong, W.; Lv, F.; Chu, P.K.; Wang, H. Mechanical and thermal properties of palygorskite poly(butylene succinate) nanocomposite. Appl. Clay Sci. 2016, 119, 96–102. [Google Scholar] [CrossRef]
- Suchao-in, K.; Koombhongse, P.; Chirachanchai, S. Starch grafted poly(butylene succinate) via conjugating reaction and its role on enhancing the compatibility. Carbohydr. Polym. 2014, 102, 95–102. [Google Scholar] [CrossRef]
- Wang, Y.-C.; Ju, S.-P.; Chen, C.-C.; Chen, H.-T.; Hsieh, J.-Y. Mechanical property prediction of starch/polymer composites by molecular dynamics simulation. RSC Adv. 2014, 4, 11475. [Google Scholar] [CrossRef]
- Yun, I.S.; Hwang, S.W.; Shim, J.K.; Seo, K.H. A Study on the Thermal and Mechanical Properties of Poly (Butylene Succinate)/Thermoplastic Starch Binary Blends. Int. J. Precis. Eng. Manuf.-Green Technol. 2016, 3, 289–296. [Google Scholar] [CrossRef]
- Liu, D.; Qi, Z.G.; Zhang, Y.; Xu, J.; Guo, B.H. Poly(butylene succinate) (PBS)/ionic liquid plasticized starch blends: Preparation, characterization, and properties. Starch-Starke 2015, 67, 802–809. [Google Scholar] [CrossRef]
- Yin, Q.; Chen, F.; Zhang, H.; Liu, C. Fabrication and characterisation of thermoplastic starch/poly(butylene succinate) blends with maleated poly(butylene succinate) as compatibiliser. Plast. Rubber Compos. 2015, 44, 362–367. [Google Scholar] [CrossRef]
- Carmona, V.B.; Correa, A.C.; Marconcini, J.M.; Mattoso, L.H.C. Properties of a Biodegradable Ternary Blend of Thermoplastic Starch (TPS), Poly(epsilon-Caprolactone) (PCL) and Poly(Lactic Acid) (PLA). J. Polym. Environ. 2015, 23, 83–89. [Google Scholar] [CrossRef]
- Sarazin, P.; Li, G.; Orts, W.J.; Favis, B.D. Binary and ternary blends of polylactide, polycaprolactone and thermoplastic starch. Polymer 2008, 49, 599–609. [Google Scholar] [CrossRef]
- Nelson, T.F.; Remke, S.C.; Kohler, H.P.E.; McNeill, K.; Sander, M. Quantification of Synthetic Polyesters from Biodegradable Mulch Films in Soils. Environ. Sci. Technol. 2020, 54, 266–275. [Google Scholar] [CrossRef] [PubMed]
- Aldas, M.; Ferri, J.M.; Motoc, D.L.; Peponi, L.; Arrieta, M.P.; Lopez-Martinez, J. Gum Rosin as a Size Control Agent of Poly(Butylene Adipate-Co-Terephthalate) (PBAT) Domains to Increase the Toughness of Packaging Formulations Based on Polylactic Acid (PLA). Polymers 2021, 13, 1913. [Google Scholar] [CrossRef]
- Ren, J.; Fu, H.Y.; Ren, T.B.; Yuan, W.Z. Preparation, characterization and properties of binary and ternary blends with thermoplastic starch, poly(lactic acid) and poly(butylene adipate-co-terephthalate). Carbohydr. Polym. 2009, 77, 576–582. [Google Scholar] [CrossRef]
- Li, K.; Peng, J.; Turng, L.-S.; Huang, H.-X. Dynamic rheological behavior and morphology of polylactide/poly(butylenes adipate-co-terephthalate) blends with various composition ratios. Adv. Polym. Technol. 2011, 30, 150–157. [Google Scholar] [CrossRef]
- Wang, W.; Zhang, G.X.; Zhang, W.Z.; Guo, W.H.; Wang, J.K. Processing and Thermal Behaviors of Poly (Butylene Succinate) Blends with Highly-Filled Starch and Glycerol. J. Polym. Environ. 2013, 21, 46–53. [Google Scholar] [CrossRef]
- Ravati, S.; Favis, B.D. Tunable morphologies for ternary blends with poly(butylene succinate): Partial and complete wetting phenomena. Polymer 2013, 54, 3271–3281. [Google Scholar] [CrossRef]
- Muthuraj, R.; Misra, M.; Mohanty, A.K. Biodegradable Poly(butylene succinate) and Poly(butylene adipate-co-terephthalate) Blends: Reactive Extrusion and Performance Evaluation. J. Polym. Environ. 2014, 22, 336–349. [Google Scholar] [CrossRef]
- Ma, X.F.; Yu, J.G.; Feng, J. A mixed plasticizer for the preparation of thermoplastic starch. Chin. Chem. Lett. 2004, 15, 741–744. [Google Scholar]
- Zhang, K.; Mohanty, A.K.; Misra, M. Fully biodegradable and biorenewable ternary blends from polylactide, poly(3-hydroxybutyrate-co-hydroxyvalerate) and poly(butylene succinate) with balanced properties. ACS Appl. Mater. Interfaces 2012, 4, 3091–3101. [Google Scholar] [CrossRef] [PubMed]
- Yeh, J.T.; Tsou, C.H.; Huang, C.Y.; Chen, K.N.; Wu, C.S.; Chai, W.L. Compatible and Crystallization Properties of Poly(lactic acid)/Poly(butylene adipate-co-terephthalate) Blends. J. Appl. Polym. Sci. 2010, 116, 680–687. [Google Scholar] [CrossRef]
- Al-Itry, R.; Lamnawar, K.; Maazouz, A. Biopolymer Blends Based on Poly (lactic acid): Shear and Elongation Rheology/Structure/Blowing Process Relationships. Polymers 2015, 7, 939–962. [Google Scholar] [CrossRef]
- Pokhrel, S.; Sigdel, A.; Lach, R.; Slouf, M.; Sirc, J.; Katiyar, V.; Bhattarai, D.R.; Adhikari, R. Starch-based biodegradable film with poly(butylene adipate-co-terephthalate): Preparation, morphology, thermal and biodegradation properties. J. Macromol. Sci. Part A-Pure Appl. Chem. 2021, 58, 610–621. [Google Scholar] [CrossRef]
- Cai, J.; Xiong, Z.Y.; Zhou, M.; Tan, J.; Zeng, F.B.; Meihu, M.; Lin, S.; Xiong, H.G. Thermal properties and crystallization behavior of thermoplastic starch/poly(epsilon-caprolactone) composites. Carbohydr. Polym. 2014, 102, 746–754. [Google Scholar] [CrossRef] [PubMed]
- Nomadolo, N.; Dada, O.E.; Swanepoel, A.; Mokhena, T.; Muniyasamy, S. A Comparative Study on the Aerobic Biodegradation of the Biopolymer Blends of Poly(butylene succinate), Poly(butylene adipate terephthalate) and Poly(lactic acid). Polymers 2022, 14, 1894. [Google Scholar] [CrossRef] [PubMed]










| Samples | Tensile Strength (MPa) | Elongation at Break (%) |
|---|---|---|
| TPS/PBS 60/40 | 15.4 ± 0.3 a | 4.3 ± 5.3 a,b |
| TPS/PBS/PBAT60/30/10 | 12.4 ± 0.4 a | 25.6 ± 7.8 a,b |
| TPS/PBS/PBAT60/20/20 | 11.3 ± 0.3 a | 38.4 ± 10.3 a,b |
| TPS/PBS/PBAT60/10/30 | 10.3 ± 0.1 a | 68.4 ± 5.5 a,b |
| TPS/PBAT60/40 | 5.6 ± 0.2 a | 80.6 ± 8.3 a,b |
| Samples | HDT/°C |
|---|---|
| TPS/PBS 60/40 | 58.1 ± 0.2 |
| TPS/PBS/PBAT60/30/10 | 59.4 ± 0.3 |
| TPS/PBS/PBAT60/20/20 | 61.3 ± 0.5 |
| TPS/PBS/PBAT60/10/30 | 63.5 ± 0.1 |
| TPS/PBAT60/40 | 65.2 ± 0.1 |
| Samples | MFI (190 °C) g/10 min |
|---|---|
| TPS/PBS 60/40 | 2.15 ± 0.32 |
| TPS/PBS/PBAT60/30/10 | 3.94 ± 0.46 |
| TPS/PBS/PBAT60/20/20 | 4.30 ± 0.13 |
| TPS/PBS/PBAT60/10/30 | 7.35 ± 0.21 |
| TPS/PBAT60/40 | 3.25 ± 0.18 |
Disclaimer/Publisher’s Note: The statements, opinions and data contained in all publications are solely those of the individual author(s) and contributor(s) and not of MDPI and/or the editor(s). MDPI and/or the editor(s) disclaim responsibility for any injury to people or property resulting from any ideas, methods, instructions or products referred to in the content. |
© 2023 by the authors. Licensee MDPI, Basel, Switzerland. This article is an open access article distributed under the terms and conditions of the Creative Commons Attribution (CC BY) license (https://creativecommons.org/licenses/by/4.0/).
Share and Cite
Niu, Z.; Chen, F.; Zhang, H.; Liu, C. High Content of Thermoplastic Starch, Poly(butylenes adipate-co-terephthalate) and Poly(butylene succinate) Ternary Blends with a Good Balance in Strength and Toughness. Polymers 2023, 15, 2040. https://doi.org/10.3390/polym15092040
Niu Z, Chen F, Zhang H, Liu C. High Content of Thermoplastic Starch, Poly(butylenes adipate-co-terephthalate) and Poly(butylene succinate) Ternary Blends with a Good Balance in Strength and Toughness. Polymers. 2023; 15(9):2040. https://doi.org/10.3390/polym15092040
Chicago/Turabian StyleNiu, Zhaoyang, Fangping Chen, He Zhang, and Changsheng Liu. 2023. "High Content of Thermoplastic Starch, Poly(butylenes adipate-co-terephthalate) and Poly(butylene succinate) Ternary Blends with a Good Balance in Strength and Toughness" Polymers 15, no. 9: 2040. https://doi.org/10.3390/polym15092040
APA StyleNiu, Z., Chen, F., Zhang, H., & Liu, C. (2023). High Content of Thermoplastic Starch, Poly(butylenes adipate-co-terephthalate) and Poly(butylene succinate) Ternary Blends with a Good Balance in Strength and Toughness. Polymers, 15(9), 2040. https://doi.org/10.3390/polym15092040
