Abstract
Research on the development of flexible silica aerogels (FSAs) has been ongoing due to their excellent thermal insulation, low density, and high elasticity. However, the physical properties of FSAs, such as density, thermal conductivity, mechanical strength, and surface wettability, are highly dependent on the preparation conditions. To achieve the desired properties of FSAs for various applications, it is necessary to develop a method to fine-tune their physical properties. In this paper, two modifiers of methyltrimethoxysilane (MTMS)/trimethylethoxysilane (TMES) were employed to fine-tune the bulk density of a series of flexible silica aerogels (FSAs), reflecting a series of FSAs with fine-tunable physical properties. First, the precursor was synthesized by a click reaction between vinyltrimethoxysilane (VTMS) and 2,2′ (ethylenedioxy) diethanethiol (EDDET). The VTMS, EDDET, and the as-prepared precursor were characterized by FT-IR and NMR spectroscopy. Subsequently, the precursor was converted into a series of FSAs (denoted by FSA, FSA-M, and FSA-T) through conventional sol-gel reactions with/without MTMS/TMES. Chemical structures of synthesized FSAs were confirmed by 13C and 29Si solid-state NMR spectroscopy. The porous structure of FSAs was identified by BET and SEM, respectively. Physical properties, such as thermal conductivity, mechanical strength, and surface wettability of FSAs were determined by a Hot Disk, durometer/DMA in compression mode, and contact angle measurements, respectively. This study found FSAs containing none, 1 wt%, 5 wt%, and 10 wt% of MTMS increase the density of FSAs from 0.419 g/cm3 (FSA), 0.423 g/cm3 (FSA-M1), 0.448 g/cm3 (FSA-M5), and 0.456 g/cm3 (FSA-M10). It should be noted that the thermal conductivity, surface hardness, bulk mechanical strength, and hydrophobicity of FSA-Ms of increasing MTMS loading were all found to show a rising trend, while FSA-Ts exhibited lower density. FSA-T10 exhibited lower thermal conductivity, surface hardness, and bulk mechanical strength as compared to FSA. However, it was found to show higher hydrophobicity as compared to that of FSA.
1. Introduction
Silica aerogels of high transparency and flexibility are an emerging class of porous materials that plays a significant role in a spectrum of research areas [1,2,3,4,5]. This is a category of nano-porous material with many unique properties, such as low thermal conductivity, high porosity, hydrophobicity, high visible transparency, high specific surface area, and low dielectric constant [6,7,8,9,10,11]. The transparent nature of silica aerogels is contributed to by the size of the silica particle. It has a particle size that is smaller than the wavelength of visible light [12]. Moreover, to be classified as aerogel, it has to be of ultra-low density (porosity of >99%), making it a favorable material in thermal insulation [13], catalyst [14], chemical adsorption and absorption [15], chemical sensors [16], dielectric material [17], and medical applications (i.e., Drug delivery) [18].
Silica aerogel, prepared using a sol-gel reaction process, has been attracting considerable attention from scientists and engineers in different fields since it was first invented by S. S. Kistler in 1931 [19]. However, silica particles are weakly linked by nano-sized solid backbones, resulting in a brittle overall structure. Precursor wet gels need to be dried under supercritical conditions to minimize shrinkage and structural collapse [20,21], meaning the as-prepared aerogels are generally difficult to process or handled.
Extensive work has been done to develop a silica aerogel with high flexibility. Xu et al. [22] demonstrated the preparation of flexible bridged silsesquioxane aerogels produced from a thiol-ene click reaction of mercaptopropyltrimethoxysilane (MPTMS) and vinyltrimethoxysilane (VTMS). The soft thioether segments are obtained by a vacuum drying method with a reversible compression of up to 50% even after 20 repeats. Aravind et al. [23] Prepared flexible aerogels from methyltrimethoxysilane (MTMS) and 3-(2,3-epoxypropoxy)propyltrimethoxysilane (GPTMS) by employing a two-step acid–base sol–gel process along with the use of a surfactant. Resultant aerogels with a specific surface area of 0.104 g cm−3 were found with Young’s modulus to be as high as 0.46 MPa, as compared to Xu’s work, in which an aerogel of 0.085 g cm−3 in surface area was of 0.117 MPa.
The moisture sensitivity of aerogels is one other drawback from them being adopted in several applications. Replacing hydrophilic Si–OH groups with hydrolytically stable Si-R, where R = alkyl or aryl, groups inhibit the absorption of water. Therefore, MTMS containing one alkyl group is commonly chosen as a precursor to prepare hydrophobic silica aerogels. Theoretically, trimethylethoxysilane (TMES) consisting of three methyl groups should provide the overall aerogel with more hydrophobicity. While posing limiting the crosslinking points to the main chain, the flexibility of the aerogel is presumably reduced. Therefore, in this work, we attempt to prepare a series of flexible silica aerogels (FSAs) with tunable mechanical strength and varying hydrophobicity by using MTMS and TMES as silicone modifiers. First, the precursor was synthesized by a click reaction between vinyltrimethoxysilane (VTMS) and 2,2′-(ethylenedioxy)diethanethiol (EDDET). The VTMS, EDDET, and the as-prepared precursor were characterized by FT-IR and NMR spectroscopy. Subsequently, the precursor was converted into a series of FSAs (denoted by FSA, FSA-M, and FSA-T) through conventional sol-gel reactions with/without MTMS/TMES. Chemical structures of synthesized FSAs were confirmed by 13C and 29Si solid-state NMR spectroscopy. The porous structure of FSAs was identified by BET and SEM, respectively. Physical properties, such as thermal conductivity, thermal stability, mechanical strength, and surface wettability of FSAs, were determined by Hot Disk, TGA, durometer/DMA in compression mode, and contact angle measurements, respectively. The as-prepared silica aerogels open up a wide range of potential applications. Flexible silica aerogels with tunable mechanical strength can be used as insulation materials for pipes, walls, and roofs due to their low thermal conductivity [24]. The varying hydrophobicity of the aerogels can prevent moisture absorption, making them suitable for use in outdoor applications, such as coatings for buildings and vehicles [25].
2. Materials and Methods
2.1. Chemicals and Instrumentation
In this study, 2,2′-(ethylenedioxy)diethanethiol (EDDET, 95%, Aldrich, St. Louis, MO, USA), vinyltrimethoxysilane (VTMS, 98%, Aldrich), methyltrimethoxysilane (MTMS, 97%, Alfa Aesar, Haverhill, MA, USA), trimethylethoxysilane (TMES, 98%, Aldrich), n-hexane (98%, Riedel-deHaën, Seelze, Germany), hydrochloric acid (HCl, 37.0%, Riedel-deHaën), ammonia solution (NH4OH, 25%, Riedel-deHaën), and ethanol (>95%, J.T. Baker, Phillipsburg, NJ, USA) were used as received without further treatment.
Fourier Transform Infrared (JASCO FT, IR-4200, Oklahoma City, OK, USA) analysis was carried out at room temperature. 1H-NMR spectra run on a spectrometer (Bruker, Bruker 300, Billerica, MA, USA) using d-Chloroform (CDCl3) as a D-solvent, 13C-NMR, and 29Si-NMR spectra were acquired using a Solid-State NMR (Bruker, Bruker 400, Billerica, MA, USA) spectrometer. Brunauer Emmett-Teller (BET) data were obtained by performing nitrogen adsorption/desorption isotherms and accelerated surface area porosity analysis on Micromeritics ASAP-2010. The morphology of flexible silica aerogels was observed by Field-Emission Scanning electron microscopy (FE-SEM, JEOL, JSM-7600F, Akishima City, Japan). Contact angle measurements were carried out with Sindatek Instruments (First Ten Angstroms, FTA 125, Newark, NJ, USA). Mechanical properties were measured as follows: Dynamic Mechanical Analysis (DMA) was performed on a DuPont, TA Q800 (Delaware, DE, USA) to test the compression properties of materials, with loading gradually increasing from 0.01 N/min to 18 N/min. The hardness of the materials was measured by a Shore Hardness durometer (TECLOCK, GS-706N TYPE-A, Okaya-shi, Japan). A Hot Disk (HD, Hitachi, H5DR, Marunouchi, Japan) was used to measure the thermal conduction of the prepared samples, which was carried out using the measurement principle of the Transient Plane Source (TPS) Method by a Hot Disk Sensor (Design No. 5501) performed on a Keithley 2000 Muti-meter and Keithley 2400 Source-meter. Thermogravimetric analysis (TGA) was performed on a DuPont, TA Q50 (Delaware, DE, USA) by heating it from room temperature (~25 °C) to 800 °C at a heating rate of 5 °C × min−1.
2.2. Synthesis of Flexible Silica Aerogels
The representative flowchart to synthesize a standard flexible silica aerogel (denoted by FSA) and modified flexible silica aerogel (denoted by FSA-M and FSA-T) through sol-gel reaction is shown in Scheme 1. The typical procedure for the synthesis of FSA, FSA-M, and FSA-T is given as follows: First, the precursor was prepared by mixing 2 g (10.97 mmol) of EDT and 3.252 g (21.94 mmol) of VTMS, followed by magnetic stirring for 4 h under a UV light of 365 nm wavelength exposure at a distance of 10 cm. Afterward, 4.63 g of EtOH, 3.24 g of H2O, 0.4 g of 0.1 M HCl, and MTMS with different weight percentages (none, 1.0 wt%, 5.0 wt%, and 10.0 wt%), as well as TMES (10.0 wt%), were uniformly mixed. Subsequently, the mixed solution was added individually to the precursor to carry out the hydrolysis reaction. After 3 h of gentle stirring, a mixture of 3.24 g of H2O and 0.5 g of 0.1 M NH4OH was slowly added into the hydrolyzed solution in a dropwise manner and the solution was further stirred until even. After resting for 72 h, the solution was fully converted into a gel, followed by aging for another 48 h to produce a block of white gel. This was followed by immersing the gel in EtOH for 2 days. Afterward, n-hexane was used as a solvent exchanger to further immerse the gel for an additional 2 days before removing the solvent under heat treatment. The programmed heating conditions were as follows: 50 °C, 1 h; 70 °C, 1 h; and 80 °C, 1 h. The corresponding products of flexible silica aerogels were obtained and denoted as FSA, FSA-M1, FSA-M5, FSA-M10, and FSA-T10.
Scheme 1.
Flow chart for the preparation of flexible silica aerogels containing FSA, FSA-M, and FSA-T systems.
3. Results and Discussion
3.1. Material Characterization
3.1.1. Spectroscopic Studies (FTIR and NMR) of EDDET, VTMS, Precursor
The representative FTIR spectra of EDDET, VTMS, and the as-prepared precursor are shown in Figure 1. In Figure 1a, the characteristic peak found at the position of 1075 cm−1 corresponded to the C=C stretching, and the sharp signal at 2840 cm−1 is due to asymmetric stretching in the Si-OCH3 of VTMS [26]. Moreover, the characteristic bands located at the position of 2556 cm−1, may be ascribed to the S-H stretching band of EDDET, as exhibited in Figure 1b. After the photochemical reaction, the representative FTIR spectra of the as-prepared precursor were generated by the addition and multiplication reaction between the reactants, as shown in Figure 1c. It should be noted that the vinyl peak of VTMS and the thiol signal of EDDET disappeared after 4 h under UV irradiation. It confirmed the formation of the target precursor. The representative 1H-NMR spectra of reactants (VTMS & EDDET) and the as-prepared precursor were shown in Figure 2. In Figure 2a, the VTMS was found to exhibit δ = 6.11 and δ = 3.54 ppm, which may be assigned to be the characteristic signal of the vinyl group (-CH=CH2) and the methoxy group (-OCH3), respectively. Moreover, in Figure 2b, EDDET was found to show the characteristic signal at the position of δ = 1.34 ppm, which may be attributed to the characteristic signal of the thiol group (-SH) [27]. The representative 1H-NMR spectrum of the as-prepared precursor was found with disappearances of δ = 6.11 and δ = 1.34 ppm, as shown in Figure 2c. This further confirmed the formation of the precursor.
Figure 1.
FTIR spectroscopy of (a) VTMS, (b) EDDET, and (c) the precursor of flexible silica aerogel.
Figure 2.
1H NMR spectra of (a) VTMS, (b) EDDET, and (c) the precursor of flexible silica aerogel where a1 was assigned to H signal of -CH3 in VTMS; a2 and b2 were assigned to H signals of -CH3 and -OCH2 in EDDET; a3, b3, c3 and d3 were assigned to H signals of -CH3, -SCH2, -OCH2 and -SiCH2 in the precursor of flexible silica aerogel.
3.1.2. Characterization of Flexible Silica Aerogels (FSA, FSA-M, and FSA-T)
Spectroscopic Studies of Flexible Silica Aerogels (FSAs)
To characterize the chemical structure of as-prepared flexible silica aerogels through a conventional sol-gel process with/without modification, solid-state 13C and 29Si-NMR spectra were used. Figure 3 shows the representative spectra of the 13C NMR spectra of as-prepared flexible silica aerogels (i.e., FSA, FSA-M1, FSA-M5, FSA-M10, and FSA-T10). It should be noted that all spectra exhibited characteristic signals of -CH2- (denoted by α, β, γ, δ, ε) values at the positions of δ = 14.6, 27.6, 32.4, and 71.4 ppm, and in FSA-M and FSA-T, additionally showed signals of -SiCH3 (denoted by α′) values at the position of δ = 2.5 ppm [27].
Figure 3.
13C NMR spectra of FSA, FSA-M, and FSA-T.
Moreover, Figure 4 showed the representative spectra of the 29Si-NMR spectra of as-prepared flexible silica aerogels (i.e., FSA, FSA-M1, FSA-M5, FSA-M10, and FSA-T10). For example, the characteristic signal values of -Si(OSi)3 (denoted by T3) and -Si(OSi)2OH (denoted by T2) can be assigned at the positions of −67.1 ppm and −57.5 ppm, respectively [28].
Figure 4.
29Si NMR spectra of FSA, FSA-M and FSA-T.
Porous Structure Characterization of Flexible Silica Aerogels
The surface area and pore volume of as-prepared flexible silica aerogels was determined by the N2 adsorption–desorption isotherm measurements of Brunauer–Emmett–Teller (BET) [29]. In this study, the N2 adsorption–desorption isotherms of as-prepared flexible silica aerogels with different MTMS and TMES contents were found to be Type IV-Langmuir Type [30], as shown in Figure 5, and the related data was summarized in Table 1. For example, the specific surface area and average pore diameter of FSA were found to be 9.41 m2/g and 30.7 nm, respectively. After FSA was modified with 1 wt% of MTMS, the specific surface area and average pore diameter of the FSA-M1 were decreased significantly down to 3.21 m2/g and 20.4 nm, respectively. It is reasonable to speculate that the higher surface area and pore size of FSA were attributed to the existence of a long linear chain moiety of a precursor. Upon the addition of MTMS, the sol-gel reaction occurred as the trimethoxysilane of the precursor reacted with the trimethoxysilane of MTMS, which may lead to the formation of a final flexible silica aerogel (i.e., FSA-M1) with higher (crosslinking) density as compared to that of FSA. The bulk density increases with the increase of crosslink density for crosslinked polymers [31]. FSA-M1 containing the silica resulted from the sol-gel reactions of MTMS, which may lower the overall ratio of the precursor, leading to the decrease of the specific surface area and pore diameter of flexible silica aerogels. The more loading of MTMS, the smaller the specific surface area and pore diameter of FSAs. For example, both the specific surface area and average pore diameter of the FSA-M10 decreased significantly down to 1.18 m2/g and 13.3 nm, respectively, as shown in Table 1. On the other hand, FSA modified with 10 wt% of TMES (FSA-T10) was found to have the specific surface area further decrease to 0.23 m2/g. However, the pore diameter of FSA-T10 was found to be 26.7 nm. This may be explained as follows: Upon the addition of TMES, the sol-gel reactions between the trimethoxysilane of the precursor molecules may be lowered or end-capped by the TMES molecules, which may effectively lower the crosslinking density of as-prepared flexible silica aerogels, hence being found with reduced bulk density.
Figure 5.
N2 adsorption/desorption isotherms of FSA, FSA-M1, FSA-M5, FSA-M10, and FSA-T10.
Table 1.
Physical properties and porous properties of FSA, FSA-M1, FSA-M5, and FSA-M10.
3.2. Surface Morphology
In this study, the surface morphology of FSAs was observed by SEM at a magnification of ×100,000, as shown in Figure 6. In Figure 6a, the surface morphology of FSA (without incorporating a silicone modifier) was found to exhibit an obvious porous structure with an average pore diameter of ~30 nm (Table 1). Upon the addition of 1 wt% and 10 wt% of MTMS, the surface morphology of FSA-M1 and FSA-M10 (Figure 6b,c) were found to show porous structures with smaller average pore diameters of ~20 nm and ~13 nm (Table 1), respectively. At the same time, an aerogel synthesized with the addition of 10 wt% of TMES, FSA-T10 (Figure 6d) was found to exhibit porous structures with an average pore diameter of ~27 nm (Table 1). Surface morphology images of the as-prepared flexible aerogels were consistent with the corresponding bulk density, as the collective data listed in Table 2 displays.
Figure 6.
SEM images with magnifications of ×100,000 of (a) FSA, (b) FSA-M1, (c) FSA-M10, and (d) FSA-T10.
Table 2.
Thermal properties, mechanical properties, and surface wettability of FSA, FSA-M1, FSA-M5, and FSA-M10.
3.3. Thermal Properties of FSAs
3.3.1. Thermal Conductivity (k) of FSAs
In this study, the thermal conductivity (k) of as-prepared flexible silica aerogels was determined by the Hot Disk technique, as illustrated in Figure 7a. The test was done with two test sample pieces cut of the same thickness and dimension, in this case, 10 mm in height and 16.8 mm in diameter, with an insulating cover at both ends to avoid heat loss. A controllable hot disk sensor is placed in between the two sample pieces, providing a heat source at the same time as taking a measurement of the k value, based on the Transient plane source method, TPS [32]. The bar chart for the k values of flexible aerogels was shown in Figure 7b and summarized in Table 2. First, the k value of FSA was 0.114 W/m°K. Upon the addition of 1 wt% of MTMS, the k value of FSA-M1 increased up to 0.120 W/m°K. This may be attributed to the lower specific surface area of FSA-M1 as compared to that of FSA, implying that a reduced amount of air (k of air = ~0.0257 W/m°K [32]) is trapped in FSA-M1, which leads to a higher k value. By increasing the loading of MTMS, the k value of FSA-M5 and FSA-M10 was further elevated to 0.131 and 0.135 W/m°K, respectively. On the other hand, the k value of FSA-T10 decreased down to 0.091 W/m°K. This reduced k value of FSA-T10 may be attributed to the end-capped sol-gel reaction of the precursor with the addition of TMES. Therefore, the majority of the trimethoxysilyl groups of the precursor did not mediate the sol-gel reaction, which leads to a lower specific surface area, which in turn results in higher air content within the aerogel and thus a better-insulated material with low thermal conductivity.
Figure 7.
(a) Schematic diagram of thermal conductivity measurement, (b) thermal conductivity bar chart of FSA (red), FSA-M1 (green), FSA-M5 (blue), FSA-M10 (cyan), and FSA-T10 (magenta).
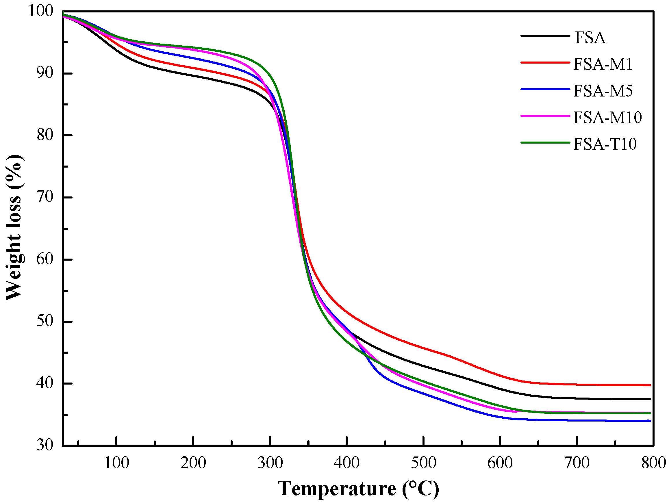
3.3.2. Thermal Stability of FSAs
The thermal stability of flexible silica aerogel and its modified counterparts, FSA-M1, FSA-M5, FSA-M10, and FSA-T10, were evaluated using thermogravimetric analysis (TGA) under atmospheric gas. Samples were heat-treated from room temperature (~25 °C) to 800 °C at a heating rate of 5 °C min−1, and the weight loss (%) as a function of the temperature was recorded (Figure 8). The TGA curve of all FSAs showed an obvious thermal decomposition stage between 100–300 °C, which was attributed to the thermal decomposition of the hydrophobic groups (–CH3 groups) [33]. It was noted that the hydrophobic silica aerogels displayed a higher decomposition temperature at 5 wt% loss (T5d), with FSA-T10 exhibiting the highest T5d (135.33 °C), followed by FSA-M10 (121.77 °C), FSA-M5 (115.98 °C), FSA-M1 (97.45 °C), and FSA (86.46 °C). The results indicate that the presence of more –CH3 groups can lead to improved thermal stability. These findings suggest that modifying the surface of silica aerogels with hydrophobic groups could be a promising approach toward enhancing their thermal stability.
Figure 8.
Thermogravimetry of FSA, FSA-M1, FSA-M5, FSA-M10, and FSA-T10.
3.4. Mechanical Properties of FSAs
Mechanical properties study as-prepared FSAs and can classify them by surface hardness and bulk mechanical strength, which can be determined by a durometer and dynamic mechanical analysis (DMA) in compression mode, respectively.
3.4.1. Surface Hardness of FSAs Determined by Durometer
In this section, the Equation (1) below was used to calculate the bulk density of the sample to make a preliminary judgment on the structural strength and structural cross-linking degree of the sample (Figure 9):
where: D is the bulk density, M is the mass measured, V is the calculated volume of the prepared sample, r is the radius, and h is the height.
Figure 9.
Schematic diagram of FSAs sample measurement.
After indenting the sample with the pointer from the durometer, the hardness of the sample can be measured and obtained from the hardness tester. The bulk density and surface hardness of the samples are summarized in Table 2. The density of FSA was 0.419 g/cm3. Upon the addition of 1 wt% of MTMS, the density of FSA-M1 increased up to 0.423 g/cm3. By increasing the loading of MTMS, the density of FSA-M5 and FSA-M10 increased up to 0.448 and 0.456 g/cm3, respectively. However, the density of FSA-T10 decreased down to 0.333 g/cm3. As can be seen from the results in Table 2, the surface hardness of flexible aerogels has shown a similar trend to that of density. The hardness trend of as-prepared flexible silica aerogels: FSA-M10 (67 N/mm2) > FSA-M5 (55 N/mm2) > FSA-M1 (35 N/mm2) > FSA (34 N/mm2) > FSA-T10(20 N/mm2).
3.4.2. Bulk Mechanical Strength of FSAs Determined by DMA in Compression Mode
The bulk mechanical properties of flexible silica aerogels were measured by DMA in compression mode (Figure 10). Samples with the shape of a cylinder, a height of ~10 mm, and a diameter of ~15 mm were used for testing. The stress-strain curve was plotted by DMA in compression mode with a fixed compression stress of 0.04 MPa. The results are summarized in Table 2. The larger the value of the compression strain percentage of flexible aerogels, the lower the mechanical strength of the corresponding flexible aerogels, which may have resulted from the lower (crosslinking) density of the as-prepared sample. As shown in Figure 8, under the fixed compression, the compression strain percentage of flexible silica aerogels was found to exhibit the following trend: FSA-T10 (16.99%) > FSA (11.44%) > FSA-M1 (10.89%) > TGA-M5 (10.18%) > FSA-M10 (7.65%).
Figure 10.
DMA stress-strain curves for FSA, FSA-M1, FSA-M5, FSA-M10, and FSA-T10.
3.5. Surface Wettability of FSAs Determined by CA Measurement of Water Droplets
The surface wettability of flexible silica aerogels with and without silicone modifiers was determined by the contact angle (CA) measurements of water droplets, as shown in Figure 11 and summarized in Table 2. First, the CA of FSA was found to be ~76°. Upon the addition of the different loading of MTMS, the CA of FSA-M1, FSA-M5, and FSA-M10 were found to be ~102°, ~114°, and ~120°, respectively. The increasing CAs of water droplets upon the surface of flexible silica aerogels may be attributed to the following two reasons. First, a higher density of corresponding flexible silica aerogels may lead to a higher CA value of the water droplets. Second, the chemical structure of incorporated MTMS molecules possesses one hydrophobic methyl group. On the other hand, upon the addition of TMES, the CA of FGA-T10 was found to be ~132°. The significant increase in the CA of water droplets, from 76° of FGA to 132° of FGA-T10, may be attributed to the chemical structure of incorporated TMES molecules possessing three hydrophobic methyl groups [34].
Figure 11.
Contact angle of water droplets on (a) FSA, (b) FSA-M1, (c) FSA-M5, (d) FSA-M10, and (e) FSA-T10.
3.6. Comparison & Application Prospect of As-Prepared Modified FSAs
The unique features of the hydrophobic silica aerogel produced in this study are listed in Table 3 alongside recent literature reports which have addressed the preparation of similar silica aerogels. Despite slightly higher thermal conductivity and density, the aerogel exhibited lowers Young’s modulus, emphasizing its enhanced elasticity [35]. This aspect is particularly beneficial, as materials which lower Young’s modulus have higher deformation capabilities, making them ideal for applications where flexibility and adaptability are required. Additionally, the slightly higher thermal conductivity and density levels are negligible compared to the significant advantages offered by the tunable mechanical strength and adjustable hydrophobicity of the modified silica aerogel. Overall, the results suggest that the modified silica aerogel developed in this study has the potential to outperform other aerogels in a range of applications, particularly those requiring enhanced elasticity, hydrophobicity, and mechanical robustness. Hydrophobic silica aerogels with enhanced elasticity and mechanical robustness are ideal for applications that require flexibility and adaptability. For example, it can be used as a flexible and durable coating for electronic devices to protect them from external stress and loading, isolating them from humidity effects [36]. In the automotive industry, they can be used as lightweight and durable components in cars, such as shock absorbers and bumpers, which need to withstand impact and vibration [37]. Additionally, in the sports industry, hydrophobic silica aerogels with tunable mechanical strength can be used to make protective gear, such as helmets, pads, and gloves, that offer both comfort and safety to athletes [38]. The biomedical industry can also benefit from these aerogels, particularly in tissue engineering applications where they can provide a scaffold for cell growth and regeneration [39]. The potential applications of hydrophobic silica aerogels with enhanced properties are vast, and their continued development could lead to the creation of high-performance materials that are versatile, lightweight, and adaptable, by expanding a variety of industries.
Table 3.
Literature status on physical, thermal, mechanical, and hydrophobic properties of silica aerogels.
4. Conclusions
In this study, the effect of the silicone modifiers of MTMS and TMES on the physical properties of as-prepared flexible silica aerogels (FSAs) was presented. The precursor of the FSAs was synthesized by performing the click reaction between VTMS and EDDET under UV irradiation. Subsequently, the FSAs with/without the modifiers of MTMS and TMES was prepared by performing a conventional sol-gel process (i.e., hydrolysis/condensation reactions). All synthesized products have been characterized by FT-IR and NMR, and their chemical structure was confirmed with 13C and 29Si solid-state NMR spectroscopy. BET and SEM were used to analyze the pore structure of as-prepared FSAs. Physical properties, such as thermal conductivity, thermal stability, mechanical strength, and surface wettability of FSAs, were determined by the Hot Disk, TGA, durometer/DMA in compression mode, and contact angle measurements, respectively.
It is worth noting, upon the addition of MTMS, the (crosslinking) density of as-prepared FSAs increased. Higher loading of MTMS correlates to a direct increase in the density of the corresponding FSAs. Moreover, upon the addition of MTMS, thermal conductivity, surface hardness, bulk mechanical strength, and surface hydrophobicity of as-prepared FSAs were all increased. On the other hand, upon the addition of 10 wt% of TMES, the thermal conductivity of as-prepared FSAs decreased. However, the surface hydrophobicity and elasticity of the as-prepared FSAs increased.
Author Contributions
K.-H.L. was involved in various aspects of the writing process, including the preparation of the original draft, conceptualization of the research, and execution of the sample preparation. M.-S.Y. contributed to the writing process through manuscript review and editing, while C.-A.C. and C.-W.W. assisted with data preparation & validation. J.-M.Y. provided supervision for the research and also provided the methodology. All authors have read and agreed to the published version of the manuscript.
Funding
This research received external funding from The National Science and Technology Council, Taiwan (grant number: NSTC104-2113-M-033-001-MY3).
Institutional Review Board Statement
Not applicable.
Data Availability Statement
The data that support the findings of this study are available from the corresponding author, but restrictions apply to the availability of these data, which were used under license for the current study, and so are not publicly available. The data are, however, available from the authors upon reasonable request and with permission of the funding party, Ministry of Science and Technology, Taiwan.
Conflicts of Interest
The authors declare no conflict of interest.
References
- Kaushika, N.D.; Sumathy, K. Solar transparent insulation materials: A review. Renew. Sustain. Energy Rev. 2003, 7, 317–351. [Google Scholar] [CrossRef]
- Reim, M.; Körner, W.; Manara, J.; Korder, S.; Arduini-Schuster, M.; Ebert, H.P.; Fricke, J. Silica aerogel granulate material for thermal insulation and daylighting. Sol. Energy 2005, 79, 131–139. [Google Scholar] [CrossRef]
- Jensen, K.I.; Schultz, J.M.; Kristiansen, F.H. Development of windows based on highly insulating aerogel glazings. J. Non-Cryst. Solids 2004, 350, 351–357. [Google Scholar] [CrossRef]
- Stegmaier, T.; Linke, M.; Planck, H. Bionics in textiles: Flexible and translucent thermal insulations for solar thermal applications. Philos. Trans. R. Soc. A Math. Phys. Eng. Sci. 2009, 367, 1749–1758. [Google Scholar] [CrossRef]
- Meador, M.A.B.; Malow, E.J.; Silva, R.; Wright, S.; Quade, D.; Vivod, S.L.; Guo, H.; Guo, J.; Cakmak, M. Mechanically Strong, Flexible Polyimide Aerogels Cross-Linked with Aromatic Triamine. ACS Appl. Mater. Interfaces 2012, 4, 536–544. [Google Scholar] [CrossRef]
- Pan, Y.; He, S.; Gong, L.; Cheng, X.; Li, C.; Li, Z.; Liu, Z.; Zhang, H. Low thermal-conductivity and high thermal stable silica aerogel based on MTMS/Water-glass co-precursor prepared by freeze drying. Mater. Des. 2017, 113, 246–253. [Google Scholar] [CrossRef]
- Bangi, U.K.H.; Kavale, M.S.; Baek, S.; Park, H.-H. Synthesis of MWCNTs doped sodium silicate based aerogels by ambient pressure drying. J. Sol-Gel Sci. Technol. 2012, 62, 201–207. [Google Scholar] [CrossRef]
- Parale, V.G.; Mahadik, D.B.; Mahadik, S.A.; Kavale, M.S.; Venkateswara Rao, A.; Wagh, P.B. Wettability study of surface modified silica aerogels with different silylating agents. J. Sol-Gel Sci. Technol. 2012, 63, 573–579. [Google Scholar] [CrossRef]
- Bangi, U.K.H.; Park, C.-S.; Baek, S.; Park, H.-H. Improvement in optical and physical properties of TEOS based aerogels using acetonitrile via ambient pressure drying. Ceram. Int. 2012, 38, 6883–6888. [Google Scholar] [CrossRef]
- Sarawade, P.B.; Kim, J.-K.; Kim, H.-K.; Kim, H.-T. High specific surface area TEOS-based aerogels with large pore volume prepared at an ambient pressure. Appl. Surf. Sci. 2007, 254, 574–579. [Google Scholar] [CrossRef]
- Kim, G.; Hyun, S.; Park, H. Synthesis of Low—Dielectric Silica Aerogel Films by Ambient Drying. J. Am. Ceram. Soc. 2004, 84, 453–455. [Google Scholar] [CrossRef]
- Bheekhun, N.; Abu Talib, A.R.; Hassan, M.R. Aerogels in Aerospace: An Overview. Adv. Mater. Sci. Eng. 2013, 2013, 406065. [Google Scholar] [CrossRef]
- Kueh, A.B.H.; Razali, A.W.; Lee, Y.Y.; Hamdan, S.; Yakub, I.; Suhaili, N. Acoustical and mechanical characteristics of mortars with pineapple leaf fiber and silica aerogel infills—Measurement and modeling. Mater. Today Commun. 2023, 35, 105540. [Google Scholar] [CrossRef]
- Zhang, Z.; Zhao, S.; Fei, Z.; Li, K.; Chen, G.; Chen, J.; Zhang, P.; Yang, Z. Self-catalyzed Gelling Synthesis of Aerogels with Inorganic and Organic Nanocomponents for Thermal Insulation and CO2 Capture. ACS Appl. Nano Mater. 2023, 6, 1927–1936. [Google Scholar] [CrossRef]
- Islam, S.R.; Patoary, M.K.; Estifanos, H.D.; Lugoloobi, I.; Yousif, A.H.D.; Jiang, J.; Shao, H. Hydrophobic and oleophilic 3D weft-knitted spacer fabrics coated by silica aerogels with five different concentrations. J. Ind. Text. 2022, 52, 15280837221118063. [Google Scholar] [CrossRef]
- Lee, J.H.; Park, J.; Yang, J.; Yang, K.-H.; Ju, S.; Lim, T.; Jeong, S.-M. Hydrophobic halochromic aerogel capable of reversibly measuring acidic and basic vapors. AIP Adv. 2021, 11, 115115. [Google Scholar] [CrossRef]
- Mao, B.; Xia, X.; Qin, R.; Li, P.; Yang, G.; Fu, H.; Lv, H.; Li, X.; Jia, X.; Xu, D. Microstructure evolution and microwave absorbing properties of novel double-layered SiC reinforced SiO2 aerogel. J. Alloys Compd. 2023, 936, 168314. [Google Scholar] [CrossRef]
- Xie, H.; He, Z.; Liu, Y.; Zhao, C.; Guo, B.; Zhu, C.; Xu, J. Efficient Antibacterial Agent Delivery by Mesoporous Silica Aerogel. ACS Omega 2022, 7, 7638–7647. [Google Scholar] [CrossRef]
- Kistler, S.S. Coherent Expanded Aerogels and Jellies. Nature 1931, 127, 741. [Google Scholar] [CrossRef]
- Shafi, S.; Rasheed, T.; Naz, R.; Majeed, S.; Bilal, M. Supercritical CO2 drying of pure silica aerogels: Effect of drying time on textural properties of nanoporous silica aerogels. J. Sol-Gel Sci. Technol. 2021, 98, 478–486. [Google Scholar] [CrossRef]
- Błaszczyński, T.; Ślosarczyk, A.; Morawski, M. Synthesis of Silica Aerogel by Supercritical Drying Method. Procedia Eng. 2013, 57, 200–206. [Google Scholar] [CrossRef]
- Wang, Z.; Dai, Z.; Wu, J.; Zhao, N.; Xu, J. Vacuum-Dried Robust Bridged Silsesquioxane Aerogels. Adv. Mater. 2013, 25, 4494–4497. [Google Scholar] [CrossRef] [PubMed]
- Aravind, P.R.; Niemeyer, P.; Ratke, L. Novel flexible aerogels derived from methyltrimethoxysilane/3-(2,3-epoxypropoxy)propyltrimethoxysilane co-precursor. Microporous Mesoporous Mater. 2013, 181, 111–115. [Google Scholar] [CrossRef]
- Jiang, Y.; Feng, J.; Feng, J. Synthesis and characterization of ambient-dried microglass fibers/silica aerogel nanocomposites with low thermal conductivity. J. Sol-Gel Sci. Technol. 2017, 83, 64–71. [Google Scholar] [CrossRef]
- Khedkar, M.V.; Somvanshi, S.B.; Humbe, A.V.; Jadhav, K.M. Surface modified sodium silicate based superhydrophobic silica aerogels prepared via ambient pressure drying process. J. Non-Cryst. Solids 2019, 511, 140–146. [Google Scholar] [CrossRef]
- Arkles, B.; Larson, G. Silicon Compounds: Silanes & Silicones; Barry Arkles, G.L.L., Ed.; Gelest Inc.: Morrisville, NC, USA, 2013; pp. 175–178. [Google Scholar]
- Yun, S.; Luo, H.; Gao, Y. Low-density, hydrophobic, highly flexible ambient-pressure-dried monolithic bridged silsesquioxane aerogels. J. Mater. Chem. A 2015, 3, 3390–3398. [Google Scholar] [CrossRef]
- Chen, K.-Y.; Yan, M.; Luo, K.-H.; Wei, Y.; Yeh, J.-M. Comparative Studies of the Dielectric Properties of Polyester Imide Composite Membranes Containing Hydrophilic and Hydrophobic Mesoporous Silica Particles. Materials 2023, 16, 140. [Google Scholar] [CrossRef]
- Brooke, D. Introduction to powder surface area. By S. LOWELL. Wiley, 605 Third Ave., New York, NY 10016. 1979. 199 pp. 15 × 23 cm. Price $17.95. J. Pharm. Sci. 1980, 69, 486. [Google Scholar] [CrossRef]
- Barrett, E.P.; Joyner, L.G.; Halenda, P.P. The Determination of Pore Volume and Area Distributions in Porous Substances. I. Computations from Nitrogen Isotherms. J. Am. Chem. Soc. 1951, 73, 373–380. [Google Scholar] [CrossRef]
- Zhao, J.; Yu, P.; Dong, S. The Influence of Crosslink Density on the Failure Behavior in Amorphous Polymers by Molecular Dynamics Simulations. Materials 2016, 9, 234. [Google Scholar] [CrossRef]
- Liu, Y.J.; Peng, C.L.; Li, W.M.; Zhu, X.L.; Shen, M.G.; Liao, X.W.; Liu, K.; Wei, C.Y.; Yusuf, Y.A.; Yang, J.; et al. Effect of hollow insulation riser on shrinkage porosity and solidification structure of ingot. J. Iron Steel Res. Int. 2022, 29, 1951–1960. [Google Scholar] [CrossRef]
- Wagh, P.B.; Ingale, S.V. Comparison of some physico-chemical properties of hydrophilic and hydrophobic silica aerogels. Ceram. Int. 2002, 28, 43–50. [Google Scholar] [CrossRef]
- Venkateswara Rao, A.; Bhagat, S.D.; Hirashima, H.; Pajonk, G.M. Synthesis of flexible silica aerogels using methyltrimethoxysilane (MTMS) precursor. J. Colloid Interface Sci. 2006, 300, 279–285. [Google Scholar] [CrossRef]
- Ferreiro-Rangel, C.A.; Gelb, L.D. Computational Study of Uniaxial Deformations in Silica Aerogel Using a Coarse-Grained Model. J. Phys. Chem. B 2015, 119, 8640–8650. [Google Scholar] [CrossRef]
- Xiong, P.; Gong, Y.; Yang, X.; Zhu, Y.; Chen, C.; Shen, J. Effect of hydrophobic silica aerogels in-situ on encapsulation the stability of CsPbBr3 quantum dots for white light-emitting diodes. J. Alloys Compd. 2023, 938, 168541. [Google Scholar] [CrossRef]
- Merillas, B.; Villafañe, F.; Rodríguez-Pérez, M.Á. Super-Insulating Transparent Polyisocyanurate-Polyurethane Aerogels: Analysis of Thermal Conductivity and Mechanical Properties. Nanomaterials 2022, 12, 2409. [Google Scholar] [CrossRef]
- Salimian, S.; Zadhoush, A.; Talebi, Z.; Fischer, B.; Winiger, P.; Winnefeld, F.; Zhao, S.; Barbezat, M.; Koebel, M.M.; Malfait, W.J. Silica Aerogel–Epoxy Nanocomposites: Understanding Epoxy Reinforcement in Terms of Aerogel Surface Chemistry and Epoxy–Silica Interface Compatibility. ACS Appl. Nano Mater. 2018, 1, 4179–4189. [Google Scholar] [CrossRef]
- Jahed, F.S.; Hamidi, S.; Zamani-Kalajahi, M.; Siahi-Shadbad, M. Biomedical applications of silica-based aerogels: A comprehensive review. Macromol. Res. 2023, 1–20. [Google Scholar] [CrossRef]
- Liao, Y.; Wu, H.; Ding, Y.; Yin, S.; Wang, M.; Cao, A. Engineering thermal and mechanical properties of flexible fiber-reinforced aerogel composites. J. Sol-Gel Sci. Technol. 2012, 63, 445–456. [Google Scholar] [CrossRef]
- Hayase, G.; Kugimiya, K.; Ogawa, M.; Kodera, Y.; Kanamori, K.; Nakanishi, K. The thermal conductivity of polymethylsilsesquioxane aerogels and xerogels with varied pore sizes for practical application as thermal superinsulators. J. Mater. Chem. A 2014, 2, 6525–6531. [Google Scholar] [CrossRef]
- Wang, L.; Feng, J.; Jiang, Y.; Li, L.; Feng, J. Elastic methyltrimethoxysilane based silica aerogels reinforced with polyvinylmethyldimethoxysilane. RSC Adv. 2019, 9, 10948–10957. [Google Scholar] [CrossRef] [PubMed]
- Zu, G.; Shimizu, T.; Kanamori, K.; Zhu, Y.; Maeno, A.; Kaji, H.; Shen, J.; Nakanishi, K. Transparent, Superflexible Doubly Cross-Linked Polyvinylpolymethylsiloxane Aerogel Superinsulators via Ambient Pressure Drying. ACS Nano 2018, 12, 521–532. [Google Scholar] [CrossRef] [PubMed]
Disclaimer/Publisher’s Note: The statements, opinions and data contained in all publications are solely those of the individual author(s) and contributor(s) and not of MDPI and/or the editor(s). MDPI and/or the editor(s) disclaim responsibility for any injury to people or property resulting from any ideas, methods, instructions or products referred to in the content. |
© 2023 by the authors. Licensee MDPI, Basel, Switzerland. This article is an open access article distributed under the terms and conditions of the Creative Commons Attribution (CC BY) license (https://creativecommons.org/licenses/by/4.0/).











